Effect of Nitrogen Partial Pressure on the Structural, Mechanical, and Electrical Properties of (CrHfNbTaTiVZr)N Coatings Deposited by Reactive Magnetron Sputtering
Abstract
:1. Introduction
2. Experimental
3. Results and Discussion
4. Conclusions
- The deposition rate of the coatings gradually decreased with increasing RN. The nitrogen content of the (CrHfNbTaTiVZr)N coatings quickly increased initially and then became stable with increasing RN.
- The coatings deposited at RN = 0% had bundles of fibrous structures with an amorphous phase. A high density of cracks and voids was detected. At RN = 10%, the structure was transformed into a heavily open-voided columnar structure with an FCC phase. Moreover, the (111) orientation was preferred because it had the highest growth rate. When RN was further increased to 60%, the energetic bombardment at high RN caused grain refinement and lattice expansion. The structure gradually transformed into a compact and dense columnar structure. Moreover, high RN created a high amount of atomic reactive nitrogen, which led to the development of the (200) preferred orientation. The further increase in RN changed the structure into an amorphous-like phase because of excessive energetic bombardment.
- When RN = 0%, the coating had a cracked surface with a small roughness of 3.1 nm. Increasing the RN to 10% made the surface faceted and have a high roughness of 5.9 nm. Further increasing the RN to 100% formed a very smooth, dome-shaped surface with a roughness of 1.8 nm.
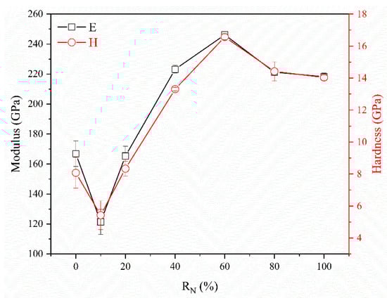
- The maximum hardness and modulus values were 16.6 and 246.2 GPa, respectively, which were obtained in the coating deposited at RN = 60%. This result was explained by structural densification and grain refinement.
- The coating obtained at RN = 60% exhibited the highest H/E and H3/E2 ratios and a decreased friction coefficient of 0.52.
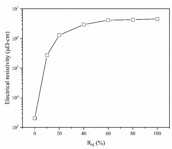
- The poor electrical performance at high RN could be attributed to the enhanced metal–N bonding and small grain size.
Author Contributions
Funding
Institutional Review Board Statement
Informed Consent Statement
Data Availability Statement
Acknowledgments
Conflicts of Interest
References
- Toth, L.E. Transition Metal Carbides and Nitrides; Academic Press: New York, NY, USA, 1971. [Google Scholar]
- Brus, V.V. Open-circuit analysis of thin film heterojunction solar cells. Sol. Energy 2012, 86, 1600–1604. [Google Scholar] [CrossRef]
- Solovan, M.M.; Brus, V.V.; Maryanchuk, P.D. Electrical and photoelectric properties of anisotype n-TiN/p-Si heterojunctions. Semiconductors 2013, 47, 1174–1179. [Google Scholar] [CrossRef]
- Solovan, M.N.; Brus, V.V.; Maistruk, E.V.; Maryanchuk, P.D. Electrical and optical properties of TiN thin films. Inorg. Mater. 2014, 50, 40–45. [Google Scholar] [CrossRef]
- Li, R.; Li, M.; Jiang, C.; Qiao, B.; Zhang, W.; Xu, J. Thermal stability of AlCrTaTiZrMo-nitride high entropy film as a diffusion barrier for Cu metallization. J. Alloys Compd. 2019, 773, 482–489. [Google Scholar] [CrossRef]
- Xing, Q.; Wang, H.; Chen, M.; Chen, Z.; Li, R.; Jin, P.; Zhang, Y. Mechanical Properties and Corrosion Resistance of NbTiAlSiZrNx High-Entropy Films Prepared by RF Magnetron Sputtering. Entropy 2019, 21, 396. [Google Scholar] [CrossRef] [Green Version]
- Zhang, X.; Pelenovich, V.; Liu, Y.; Ke, X.; Zhang, J.; Yang, B.; Ma, G.; Li, M.; Wang, X. Effect of bias voltages on microstructure and properties of (TiVCrNbSiTaBY)N high entropy alloy nitride coatings deposited by RF magnetron sputtering. Vacuum 2022, 195, 110710. [Google Scholar] [CrossRef]
- Chen, T.K.; Shun, T.T.; Yeh, J.W.; Wong, M.S. Nanostructured nitride films of multi-element high-entropy alloys by reactive DC sputtering. Surf. Coat. Technol. 2004, 188–189, 193–200. [Google Scholar] [CrossRef]
- Tsai, D.-C.; Chang, Z.-C.; Kuo, L.-Y.; Lin, T.-J.; Lin, T.-N.; Shiao, M.-H.; Shieu, F.-S. Oxidation resistance and structural evolution of (TiVCrZrHf)N coatings. Thin Solid Film. 2013, 544, 580–587. [Google Scholar] [CrossRef]
- Braic, V.; Vladescu, A.; Balaceanu, M.; Luculescu, C.R.; Braic, M. Nanostructured multi-element (TiZrNbHfTa)N and (TiZrNbHfTa)C hard coatings. Surf. Coat. Technol. 2012, 211, 117–121. [Google Scholar] [CrossRef]
- Johansson, K.; Riekehr, L.; Fritze, S.; Lewin, E. Multicomponent Hf-Nb-Ti-V-Zr nitride coatings by reactive magnetron sputter deposition. Surf. Coat. Technol. 2018, 349, 529–539. [Google Scholar] [CrossRef]
- Dedoncker, R.; Djemia, P.; Radnóczi, G.; Tétard, F.; Belliard, L.; Abadias, G.; Martin, N.; Depla, D. Reactive sputter deposition of CoCrCuFeNi in nitrogen/argon mixtures. J. Alloys Compd. 2018, 769, 881–888. [Google Scholar] [CrossRef]
- Ren, B.; Lv, S.J.; Zhao, R.F.; Liu, Z.X.; Guan, S.K. Effect of sputtering parameters on (AlCrMnMoNiZr)N films. Surf. Eng. 2014, 30, 152–158. [Google Scholar] [CrossRef]
- Zhang, Y.; Yan, X.-H.; Liao, W.-B.; Zhao, K. Effects of Nitrogen Content on the Structure and Mechanical Properties of (Al0.5CrFeNiTi0.25)Nx High-Entropy Films by Reactive Sputtering. Entropy 2018, 20, 624. [Google Scholar] [CrossRef] [PubMed] [Green Version]
- Padamata, S.K.; Yasinskiy, A.; Yanov, V.; Saevarsdottir, G. Magnetron Sputtering High-Entropy Alloy Coatings: A Mini-Review. Metals 2022, 12, 319. [Google Scholar] [CrossRef]
- Yan, X.H.; Li, J.S.; Zhang, W.R.; Zhang, Y. A brief review of high-entropy films. Mater. Chem. Phys. 2018, 210, 12–19. [Google Scholar] [CrossRef]
- Chen, R.; Cai, Z.; Pu, J.; Lu, Z.; Chen, S.; Zheng, S.; Zeng, C. Effects of nitriding on the microstructure and properties of VAlTiCrMo high-entropy alloy coatings by sputtering technique. J. Alloys Compd. 2020, 827, 153836. [Google Scholar] [CrossRef]
- von Fieandt, K.; Riekehr, L.; Osinger, B.; Fritze, S. Erik Lewin, Influence of N content on structure and mechanical properties of multi-component Al-Cr-Nb-Y-Zr based thin films by reactive magnetron sputtering. Surf. Coat. Technol. 2020, 389, 125614. [Google Scholar] [CrossRef]
- Feng, X.; Zhang, K.; Zheng, Y.; Zhou, H.; Wan, Z. Chemical state, structure and mechanical properties of multi-element (CrTaNbMoV)Nx films by reactive magnetron sputtering. Mater. Chem. Phys. 2020, 239, 121991. [Google Scholar] [CrossRef]
- Cui, P.; Li, W.; Liu, P.; Zhang, K.; Ma, F.; Chen, X.; Feng, R.; Liaw, P.K. Effects of nitrogen content on microstructures and mechanical properties of (AlCrTiZrHf)N high-entropy alloy nitride films. J. Alloys Compd. 2020, 834, 155063. [Google Scholar] [CrossRef]
- Sha, C.; Zhou, Z.; Xie, Z.; Munroe, P. FeMnNiCoCr-based high entropy alloy coatings: Effect of nitrogen additions on microstructural development, mechanical properties and tribological performance. Appl. Surf. Sci. 2020, 507, 145101. [Google Scholar] [CrossRef]
- Park, J.-K.; Baik, Y.-J. Increase of hardness and oxidation resistance of VN coating by nanoscale multilayered structurization with AlN. Mater. Lett. 2008, 62, 2528–2530. [Google Scholar] [CrossRef]
- Ramadoss, R.; Kumar, N.; Dash, S.; Arivuoli, D.; Tyagi, A.K. Wear mechanism of CrN/NbN superlattice coating sliding against various counterbodies. Int. J. Refract. Met. Hard Mater. 2013, 41, 547–552. [Google Scholar] [CrossRef]
- Yang, Y.H.; Chen, D.J.; Wu, F.B. Microstructure, hardness, and wear resistance of sputtering TaN coating by controlling RF input power. Surf. Coat. Technol. 2016, 303, 32–40. [Google Scholar] [CrossRef]
- Fontalvo, G.A.; Terziyska, V.; Mitterer, C. High-temperature tribological behaviour of sputtered NbNx thin films. Surf. Coat. Technol. 2007, 202, 1017–1022. [Google Scholar] [CrossRef]
- Mason, R.S.; Pichilingi, M. Sputtering in a glow discharge ion source-pressure dependence: Theory and experiment. J. Phys. D Appl. Phys. 1994, 27, 2363–2371. [Google Scholar] [CrossRef]
- Tao, K.; Mao, D.; Hopwood, J. Ionized physical vapor deposition of titanium nitride: A global plasma model. J. Appl. Phys. 2002, 91, 4040–4048. [Google Scholar] [CrossRef]
- Ohring, M. Chapter 3—Thin-Film Evaporation Processes. In Materials Science of Thin Films, 2nd ed.; Ohring, M., Ed.; Academic Press: San Diego, CA, USA, 2002; pp. 95–144. [Google Scholar]
- Chang, Z.-C. Structure and properties of duodenary (TiVCrZrNbMoHfTaWAlSi)N coatings by reactive magnetron sputtering. Mater. Chem. Phys. 2018, 220, 98–110. [Google Scholar] [CrossRef]
- Lewin, E. Multi-component and high-entropy nitride coatings—A promising field in need of a novel approach. J. Appl. Phys. 2020, 127, 160901. [Google Scholar] [CrossRef]
- Guo, S.; Liu, C.T. Phase stability in high entropy alloys: Formation of solid-solution phase or amorphous phase. Prog. Nat. Sci. Mater. Int. 2011, 21, 433–446. [Google Scholar] [CrossRef] [Green Version]
- Huang, P.-K.; Yeh, J.-W. Effects of nitrogen content on structure and mechanical properties of multi-element (AlCrNbSiTiV)N coating. Surf. Coat. Technol. 2009, 203, 1891–1896. [Google Scholar] [CrossRef]
- Zhang, C.; Lu, X.; Wang, C.; Sui, X.; Wang, Y.; Zhou, H.; Hao, J. Tailoring the microstructure, mechanical and tribocorrosion performance of (CrNbTiAlV)Nx high-entropy nitride films by controlling nitrogen flow. J. Mater. Sci. Technol. 2022, 107, 172–182. [Google Scholar] [CrossRef]
- Lai, C.-H.; Lin, S.-J.; Yeh, J.-W.; Chang, S.-Y. Preparation and characterization of AlCrTaTiZr multi-element nitride coatings. Surf. Coat. Technol. 2006, 201, 3275–3280. [Google Scholar] [CrossRef]
- Senkov, O.N.; Miller, J.D.; Miracle, D.B.; Woodward, C. Accelerated exploration of multi-principal element alloys with solid solution phases. Nat. Commun. 2015, 6, 6529. [Google Scholar] [CrossRef] [PubMed]
- Yeh, J.-W.; Lin, S.-J.; Chin, T.-S.; Gan, J.-Y.; Chen, S.-K.; Shun, T.-T.; Tsau, C.-H.; Chou, S.-Y. Formation of simple crystal structures in Cu-Co-Ni-Cr-Al-Fe-Ti-V alloys with multiprincipal metallic elements. Metall. Mater. Trans. A 2004, 35, 2533–2536. [Google Scholar] [CrossRef]
- Rost, C.M.; Sachet, E.; Borman, T.; Moballegh, A.; Dickey, E.C.; Hou, D.; Jones, J.L.; Curtarolo, S.; Maria, J.-P. Entropy-stabilized oxides. Nat. Commun. 2015, 6, 8485. [Google Scholar] [CrossRef] [Green Version]
- Greene, J.E.; Sundgren, J.-E.; Hultman, L.; Petrov, I.; Bergstrom, D.B. Development of preferred orientation in polycrystalline TiN layers grown by ultrahigh vacuum reactive magnetron sputtering. Appl. Phys. Lett. 1995, 67, 2928–2930. [Google Scholar] [CrossRef]
- Hultman, L.; Sundgren, J.-E.; Greene, J.E.; Bergstrom, D.B.; Petrov, I. High-flux low-energy (≂20 eV) N+2 ion irradiation during TiN deposition by reactive magnetron sputtering: Effects on microstructure and preferred orientation. J. Appl. Phys. 1995, 78, 5395–5403. [Google Scholar] [CrossRef]
- Depla, D.; Mahieu, S.; Greene, J.E. Chapter 5—Sputter Deposition Processes. In Handbook of Deposition Technologies for Films and Coatings, 3rd ed.; Martin, P.M., Ed.; William Andrew Publishing: Boston, MA, USA, 2010; pp. 253–296. [Google Scholar]
- Ren, B.; Yan, S.Q.; Zhao, R.F.; Liu, Z.X. Structure and properties of (AlCrMoNiTi)Nx and (AlCrMoZrTi)Nx films by reactive RF sputtering. Surf. Coat. Technol. 2013, 235, 764–772. [Google Scholar] [CrossRef]
- Tsai, D.-C.; Huang, Y.-L.; Lin, S.-R.; Liang, S.-C.; Shieu, F.-S. Effect of nitrogen flow ratios on the structure and mechanical properties of (TiVCrZrY)N coatings prepared by reactive magnetron sputtering. Appl. Surf. Sci. 2010, 257, 1361–1367. [Google Scholar] [CrossRef]
- Tsai, D.-C.; Huang, Y.-L.; Lin, S.-R.; Jung, D.-R.; Shieu, F.-S. Effect of nitrogen flow ratios on the microstructure and properties of (TiVCr)N coatings by reactive magnetic sputtering. Nucl. Instrum. Methods Phys. Res. Sect. B Beam Interact. Mater. At. 2011, 269, 685–691. [Google Scholar] [CrossRef]
- Siegel, R.W.; Fougere, G.E. Mechanical properties of nanophase metals. Nanostruct. Mater. 1995, 6, 205–216. [Google Scholar] [CrossRef] [Green Version]
- Leyland, A.; Matthews, A. On the significance of the H/E ratio in wear control: A nanocomposite coating approach to optimised tribological behaviour. Wear 2000, 246, 1–11. [Google Scholar] [CrossRef]
- Mayrhofer, P.H.; Mitterer, C.; Musil, J. Structure–property relationships in single- and dual-phase nanocrystalline hard coatings. Surf. Coat. Technol. 2003, 174–175, 725–731. [Google Scholar] [CrossRef]
- Ren, B.; Shen, Z.; Liu, Z. Structure and mechanical properties of multi-element (AlCrMnMoNiZr)Nx coatings by reactive magnetron sputtering. J. Alloys Compd. 2013, 560, 171–176. [Google Scholar] [CrossRef]
- Tsai, D.-C.; Chang, Z.-C.; Kuo, B.-H.; Liu, Y.-C.; Chen, E.-C.; Shieu, F.-S. Structural, electro-optical, and mechanical properties of reactively sputtered (TiZrHf)N coatings. Ceram. Int. 2016, 42, 14257–14265. [Google Scholar] [CrossRef]











Publisher’s Note: MDPI stays neutral with regard to jurisdictional claims in published maps and institutional affiliations. |
© 2022 by the authors. Licensee MDPI, Basel, Switzerland. This article is an open access article distributed under the terms and conditions of the Creative Commons Attribution (CC BY) license (https://creativecommons.org/licenses/by/4.0/).
Share and Cite
Tsai, D.-C.; Chen, E.-C.; Chang, Z.-C.; Shieu, F.-S. Effect of Nitrogen Partial Pressure on the Structural, Mechanical, and Electrical Properties of (CrHfNbTaTiVZr)N Coatings Deposited by Reactive Magnetron Sputtering. Coatings 2022, 12, 437. https://doi.org/10.3390/coatings12040437
Tsai D-C, Chen E-C, Chang Z-C, Shieu F-S. Effect of Nitrogen Partial Pressure on the Structural, Mechanical, and Electrical Properties of (CrHfNbTaTiVZr)N Coatings Deposited by Reactive Magnetron Sputtering. Coatings. 2022; 12(4):437. https://doi.org/10.3390/coatings12040437
Chicago/Turabian StyleTsai, Du-Cheng, Erh-Chiang Chen, Zue-Chin Chang, and Fuh-Sheng Shieu. 2022. "Effect of Nitrogen Partial Pressure on the Structural, Mechanical, and Electrical Properties of (CrHfNbTaTiVZr)N Coatings Deposited by Reactive Magnetron Sputtering" Coatings 12, no. 4: 437. https://doi.org/10.3390/coatings12040437
APA StyleTsai, D.-C., Chen, E.-C., Chang, Z.-C., & Shieu, F.-S. (2022). Effect of Nitrogen Partial Pressure on the Structural, Mechanical, and Electrical Properties of (CrHfNbTaTiVZr)N Coatings Deposited by Reactive Magnetron Sputtering. Coatings, 12(4), 437. https://doi.org/10.3390/coatings12040437
