Numerical Study of Thermal Radiation Phenomenon and Its Influence on Amelioration of the Heat Transfer Mechanism through MHD Non-Newtonian Casson Model
Abstract
:1. Introduction
2. Governing Equations
3. Implementation of the Proposed Numerical Method
- We implemented the proposed technique by using a Chebyshev function to approximate , , , and by taking and and the integration as follows:
 - We implemented the boundary conditions (7) to find the values of (the constants of integration) as follows:
 
4. Numerical Method Verification
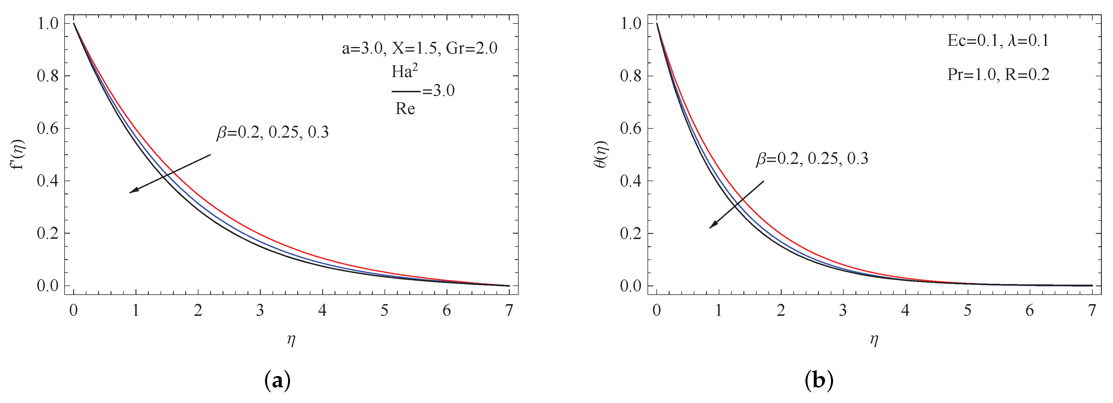
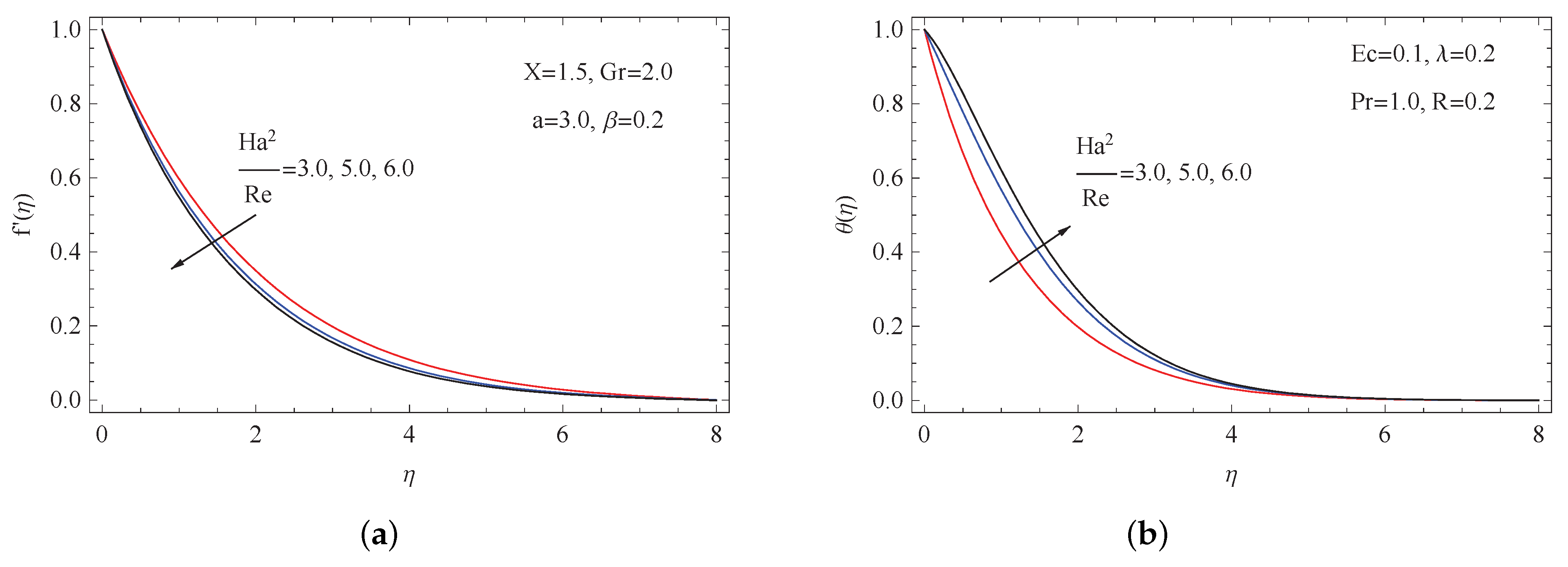
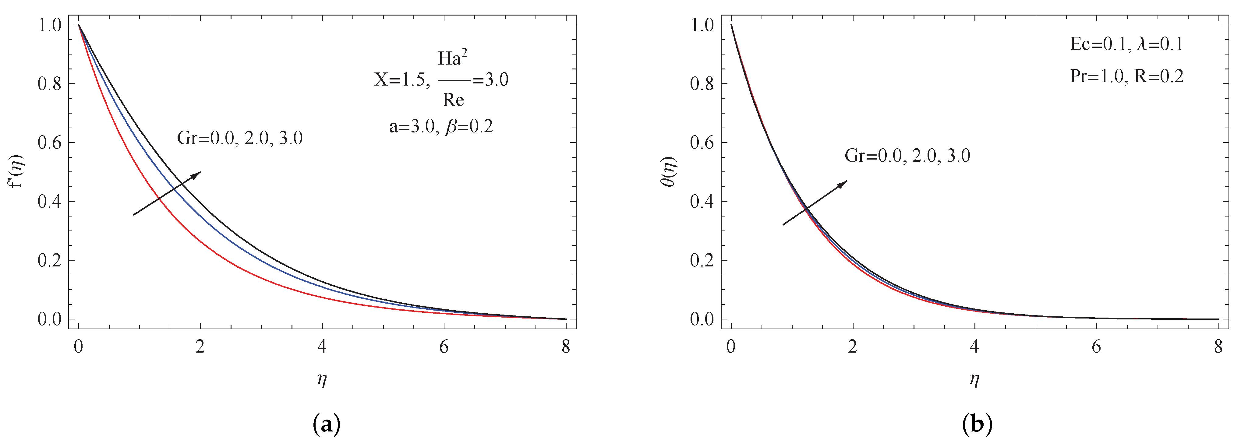
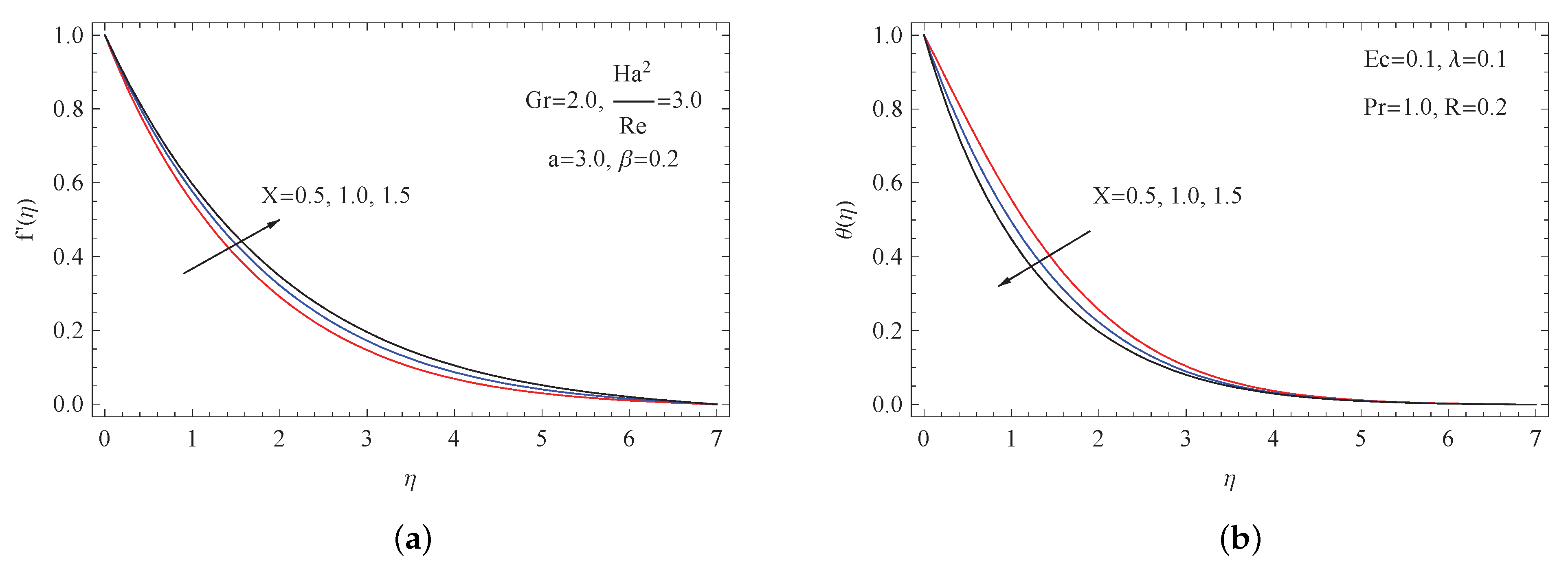
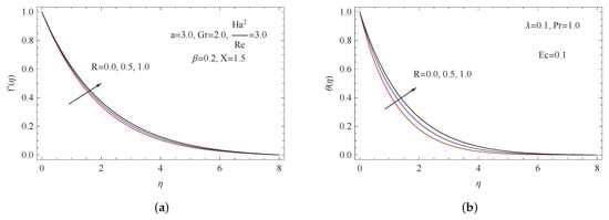
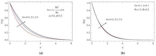
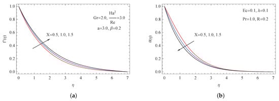
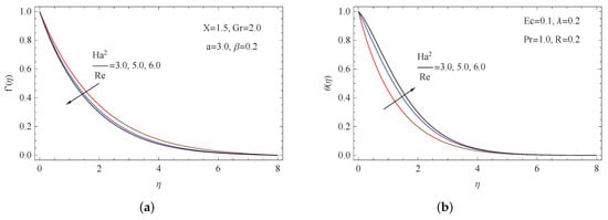
5. Results and Discussion
6. Conclusions
Author Contributions
Funding
Institutional Review Board Statement
Informed Consent Statement
Data Availability Statement
Acknowledgments
Conflicts of Interest
References
- Akbar, N. Influence of magnetic field on peristaltic flow of a Casson fluid in an asymmetric channel: Application in crude oil refinement. J. Magnet. Magnet. Mater. 2015, 378, 463–468. [Google Scholar] [CrossRef]
 - Hayat, T.; Shehzad, S.A.; Alsaedi, A. Soret and Dufour effects on magnetohydrodynamic (MHD) flow of Casson fluid. Appl. Math. Mech. 2012, 33, 1301–1312. [Google Scholar] [CrossRef]
 - Hussanan, A.; Zuki Salleh, M.; Tahar, R.M.; Khan, I. Unsteady boundary layer flow and heat transfer of a Casson fluid past an oscillating vertical plate with Newtonian heating. PLoS ONE 2014, 9, e108763. [Google Scholar] [CrossRef] [PubMed] [Green Version]
 - Kameswarani, P.K.; Shaw, S.; Sibanda, P. Dual solutions of Casson fluid flow over a stretching or shrinking sheet. Sadhana 2014, 39, 1573–1583. [Google Scholar] [CrossRef] [Green Version]
 - Kirubhashankar, C.K.; Ganesh, S.; Mohamed Ismail, A. Casson fluid flow and heat transfer over an unsteady porous stretching surface. Appl. Math. Sci. 2015, 9, 345–351. [Google Scholar] [CrossRef]
 - Megahed, A.M. Heat flux and variable rhermal conductivity effects on Casson flow and heat transfer due to an exponentially stretching sheet with viscous dissipation and heat generation. Int. J. Chem. React. Eng. 2016, 14, 167–174. [Google Scholar] [CrossRef]
 - Mahmoud, M.A.A.; Megahed, A.M. MHD Flow and heat transfer characteristics in a Casson liquid film towards an unsteady stretching sheet with temperature-dependent thermal conductivity. Braz. J. Phys. 2017, 47, 512–523. [Google Scholar] [CrossRef]
 - Elham, A.; Megahed, A.M. MHD dissipative Casson nanofluid liquid film flow due to an unsteady stretching sheet with radiation influence and slip velocity phenomenon. Nanotechnol. Rev. 2022, 11, 463–472. [Google Scholar]
 - Nadeem, S.; Haq, R.L.; Akbar, N.S. MHD three-dimensional boundary layer flow of Casson nanofluid past a linearly stretching sheet with convective boundary conditions. IEEE Trans. Nanotechnol. 2014, 13, 109–115. [Google Scholar] [CrossRef]
 - Nadeem, S.; Haq, R.L.; Akbar, N.S.; Khan, Z.H. MHD three-dimensional Casson fluid flow past a porous linearly stretching sheet. Alex. Eng. J. 2013, 52, 577–582. [Google Scholar] [CrossRef]
 - Hussain, A.; Sarwar, L.; Akbar, S.; Nadeem, S.; Jamal, S. Numerical investigation of viscoelastic nanofluid flow with radiation effects. Proc. Inst. Mech. Eng. Part J. Nanomater. Nanoeng. Nanosyst. 2019, 233, 87–96. [Google Scholar] [CrossRef]
 - Vo, D.D.; Saleem, S.; Alderremy, A.A.; Nguyen, T.K. Heat transfer enhancement and migration of ferrofluid due to electric force inside a porous medium with complex geometry. Phys. Scr. 2019, 94, 115218. [Google Scholar] [CrossRef]
 - Saleem, A.; Akhtar, S.; Nadeem, S.; Issakhov, A.; Ghalambaz, M. Blood Flow Through a Catheterized Artery Having a Mild Stenosis at the Wall with a Blood Clot at the Centre. Comput. Model. Eng. Sci. 2020, 125, 565–577. [Google Scholar] [CrossRef]
 - Rehman, A.U.; Abbas, N.; Nadeem, S.; Saleem, A. Significance of Coriolis force on the dynamics of water conveying copper and copper oxide nanoparticles. Phys. Scr. 2020, 95, 115706. [Google Scholar] [CrossRef]
 - Saleem, A.; Kiani, M.N.; Nadeem, S.; Issakhov, A. Heat transfer and Helmholtz-Smoluchowski velocity in Bingham fluid flow. Appl. Math. Mech. 2020, 41, 1167–1178. [Google Scholar] [CrossRef]
 - Nadeem, S.; Khan M., N.; Abbas, N. Transportation of slip effects on nanomaterial micropolar fluid flow over exponentially stretching. Alex. Eng. J. 2020, 59, 3443–3450. [Google Scholar] [CrossRef]
 - Nadeem, S.; Abbas, N.; Malik, M.Y. Heat transport in CNTs based nanomaterial flow of non-Newtonian fluid having electro magnetize plate. Alex. Eng. J. 2020, 59, 3431–3442. [Google Scholar] [CrossRef]
 - Nadeem, S.; Ahmad, S.; Muhammad, N. Analysis of ferrite nanoparticles in liquid. Pramana 2020, 94, 1–9. [Google Scholar] [CrossRef]
 - Nadeem, S.; Ijaz, M.; El-Kott, A.; Ayub, M. Rosseland analysis for ferromagnetic fluid in presence of gyrotactic microorganisms and magnetic dipole. Ain Shams Eng. J. 2020, 11, 1295–1308. [Google Scholar] [CrossRef]
 - Nadeem, S.; Akhtar, S.; Saleem, A. Peristaltic flow of a heated Jeffrey fluid inside an elliptic duct: Streamline analysis. Appl. Math. Mech. 2021, 42, 583–592. [Google Scholar] [CrossRef]
 - Saleem, S.; Akhtar, S.; Nadeem, S.; Saleem, A.; Ghalambaz, M.; Issakhov, A. Mathematical study of electroosmotically driven peristaltic flow of Casson fluid inside a tube having systematically contracting and relaxing sinusoidal heated walls. Chin. Phys. 2021, 71, 300–311. [Google Scholar] [CrossRef]
 - El-Gendi, S.E. Chebyshev solution of differential, integral and integro-differential equations. Comput. J. 1696, 12, 282–287. [Google Scholar] [CrossRef] [Green Version]
 - Khader, M.M.; Ahmed, M. Megahed, Differential transformation method for studying flow and heat transfer due to a stretching sheet embedded in a porous medium with variable thickness, variable thermal conductivity and thermal radiation. Appl. Math. Mech. 2014, 35, 1387–1400. [Google Scholar] [CrossRef]
 - Khader, M.M. Mittag–Leffler collocation optimization method for studying a physical problem in fluid flow with fractional derivatives. Math. Methods Appl. Sci. 2022, 7763, 1–15. [Google Scholar] [CrossRef]
 - Khader, M.M. Numerical study of the nanofluid thin film flow past an unsteady stretching sheet with fractional derivatives using the spectral collocation Chebyshev approximation. Int. J. Mod. Phys. C 2021, 32, 1–14. [Google Scholar] [CrossRef]
 - Khader, M.M. On the numerical solutions for the fractional diffusion equation. Commun. Nonlinear Sci. Numer. Simul. 2011, 16, 2535–2542. [Google Scholar] [CrossRef]
 - Khader, M.M.; Sharma, R.P. Evaluating the unsteady MHD micropolar fluid flow past stretching/shirking sheet with heat source and thermal radiation: Implementing fourth order predictor-corrector FDM. Math. Comput. Simul. 2021, 181, 333–350. [Google Scholar] [CrossRef]
 - Pal, D. Mixed convection heat transfer in the boundary layers on an exponentially stretching surface with magnetic field. Appl. Math. Comput. 2010, 217, 2356–2369. [Google Scholar] [CrossRef]
 






| a | Pal ([28]) | Present Work | |
|---|---|---|---|
| −0.5 | 0.5 | 0.17582 | 0.17581998 | 
| 0.0 | 0.5 | 0.33049 | 0.33048741 | 
| 1.0 | 0.5 | 0.59434 | 0.59433910 | 
| 3.0 | 0.5 | 1.00841 | 1.00840812 | 
| −0.5 | 1.0 | 0.29988 | 0.29987911 | 
| −0.5 | 3.0 | 0.63411 | 0.63410742 | 
| −0.5 | 5.0 | 0.87043 | 0.87042951 | 
| −0.5 | 8.0 | 1.15032 | 1.15031918 | 
| −0.5 | 10.0 | 1.30861 | 1.30860815 | 
Publisher’s Note: MDPI stays neutral with regard to jurisdictional claims in published maps and institutional affiliations.  | 
© 2022 by the authors. Licensee MDPI, Basel, Switzerland. This article is an open access article distributed under the terms and conditions of the Creative Commons Attribution (CC BY) license (https://creativecommons.org/licenses/by/4.0/).
Share and Cite
Khader, M.M.; Babatin, M.M.; Megahed, A.M. Numerical Study of Thermal Radiation Phenomenon and Its Influence on Amelioration of the Heat Transfer Mechanism through MHD Non-Newtonian Casson Model. Coatings 2022, 12, 208. https://doi.org/10.3390/coatings12020208
Khader MM, Babatin MM, Megahed AM. Numerical Study of Thermal Radiation Phenomenon and Its Influence on Amelioration of the Heat Transfer Mechanism through MHD Non-Newtonian Casson Model. Coatings. 2022; 12(2):208. https://doi.org/10.3390/coatings12020208
Chicago/Turabian StyleKhader, Mohamed M., Mohammed M. Babatin, and Ahmed M. Megahed. 2022. "Numerical Study of Thermal Radiation Phenomenon and Its Influence on Amelioration of the Heat Transfer Mechanism through MHD Non-Newtonian Casson Model" Coatings 12, no. 2: 208. https://doi.org/10.3390/coatings12020208
APA StyleKhader, M. M., Babatin, M. M., & Megahed, A. M. (2022). Numerical Study of Thermal Radiation Phenomenon and Its Influence on Amelioration of the Heat Transfer Mechanism through MHD Non-Newtonian Casson Model. Coatings, 12(2), 208. https://doi.org/10.3390/coatings12020208
        