Fracture Toughness of Different Region Materials from a Dissimilar Metal Welded Joint in Steam Turbine Rotor
Abstract
:1. Introduction
2. Experimental
2.1. Materials and Weld Manufacture
2.2. Fracture Toughness Tests
2.3. Microstructure Analysis
3. Results and Discussion
3.1. Force-Displacement Curves
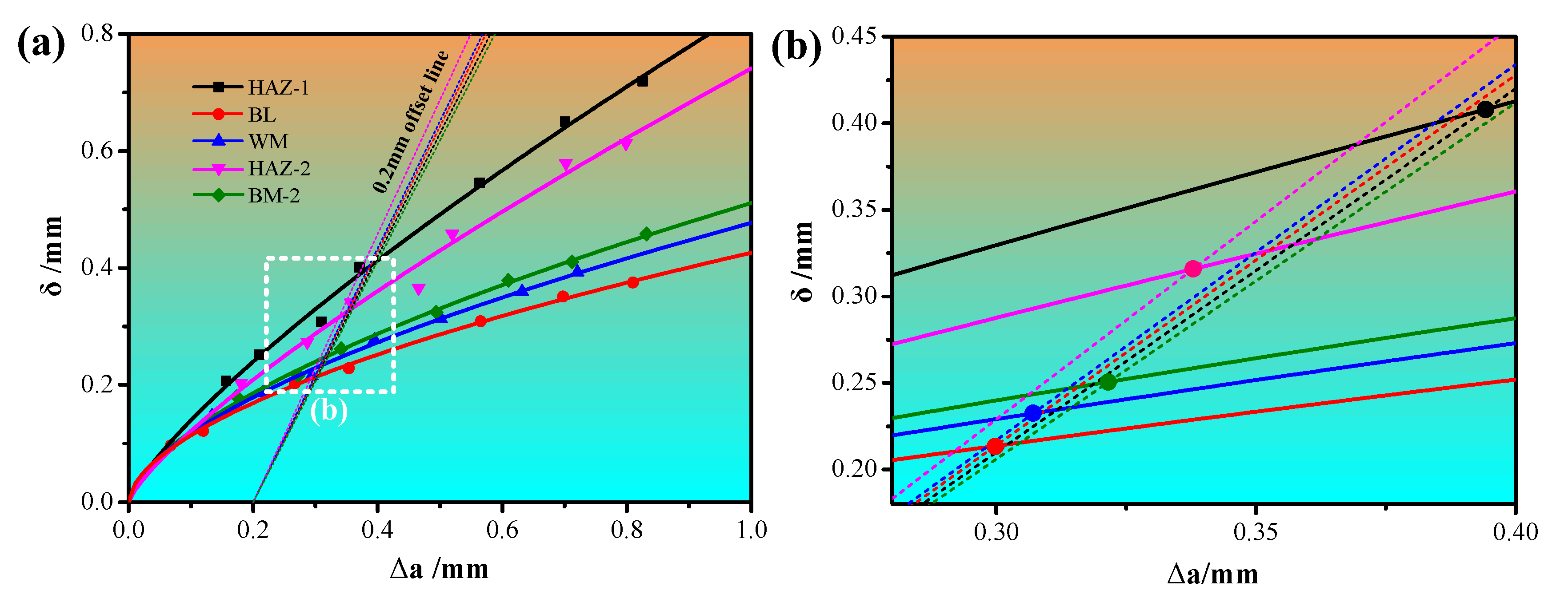
3.2. Fracture Resistance Curves and Parameters
3.3. Fractography Analysis
3.4. Microstructure Analysis
3.5. Inhomogeneity of Fracture Toughness in DMWJ
4. Conclusions
- The fracture resistance curves and parameters of six characteristic regions in the welded joint looked different. BM-1 was not able to obtain a resistance curve under the current test conditions. The resistance curve is highest in the middle of HAZ-1 but the lowest in BL. The fracture toughness parameters δ0.2BL of HAZ-1, BL, WM, HAZ-2, and BM-2 were estimated to be 0.407, 0.214, 0.232, 0.316, and 0.250 mm, respectively. The KQ of BM-1 was calculated as 91.2 MPa m1/2.
- BM-1 was made of cleavage brittle fracture mode, while HAZ-1, BL, WM, HAZ-2, and BM-2 were all based on dimple ductile fracture mode. The fracture toughnesses of the welded joint are not uniformly distributed. It is recommended that BM-1 be evaluated using the linear elastic fracture method KIC instead of the elastoplastic fracture methods CTOD and J-integral.
- Inhomogeneous fracture toughness existed in the DMWJ and was related to the grain size and the size, shape, and number of precipitated phases. The precipitated phase on grain boundary and regularly arranged needle-shaped carbide M3C were the reasons behind the brittle fracture of BM-1. The fine grain size and narrow lath of tempered martensite and bainite improved the toughness in the middle of HAZs, leading to better fracture toughness in the middle of HAZs than the corresponding BMs. The coarse spherical carbide M7C3 in BL and WM was the reason behind the lower fracture toughness of the welding area.
- Inhomogeneous fracture toughness is related to the strength mismatch of the DMWJ. Accurate micro-region mechanical properties contribute to the integrity evaluation of fracture toughness of DMWJs.
Author Contributions
Funding
Institutional Review Board Statement
Informed Consent Statement
Data Availability Statement
Conflicts of Interest
References
- Sun, Y.-J.; Liu, X.-Q.; Hu, L.-S.; Tang, X.-Y. Online life estimation for steam turbine rotor. J. Loss Prev. Process Ind. 2013, 26, 272–279. [Google Scholar] [CrossRef]
- Liu, X.G.; Meng, D.N.; Wang, Y.H.; Chen, H.; Jin, M. Influences of high-temperature diffusion on the homogenization and high-temperature fracture behavior of 30Cr1Mo1V. J. Mater. Eng. Perform. 2014, 24, 1079–1085. [Google Scholar] [CrossRef]
- Magoshi, R.; Tanaka, Y.; Nakano, T.; Konishi, T.; Nishimoto, S.; Shige, T.; Kadoya, Y. Development of welded rotors for high-temperature steam turbines. In Proceedings of the ASME 2005 Power Conference, Chicago, IL, USA, 5–7 April 2005; pp. 617–623. [Google Scholar]
- Shige, T.; Magoshi, R.; Itou, S.; Ichimura, T.; Kondou, Y. Development of large-capacity, highly efficient welded rotor for steam turbines. Tech. Rev. 2001, 38, 6–11. [Google Scholar]
- Yurioka, N.; Horii, Y. Recent developments in repair welding technologies in Japan. Sci. Technol. Weld. Join. 2013, 11, 255–264. [Google Scholar] [CrossRef]
- Sorrentino, S. Welding technologies for ultra-supercritical power plant materials. Weld. Consum. Res. Dev. 2017, 9, 247–319. [Google Scholar]
- Tan, L.; Zhang, L.; Zhang, J.; Zhuang, D. Effect of geometric construction on residual stress distribution in designing a nuclear rotor joined by multipass narrow gap welding. Fusion Eng. Des. 2014, 89, 456–465. [Google Scholar] [CrossRef]
- Zhang, C.; Lu, P.; Hu, X. Residual stress and softening in welded high-strength low-alloy steel with a buffering layer. J. Mater. Processing Technol. 2014, 214, 229–237. [Google Scholar] [CrossRef]
- Zhang, C.; Lu, P.; Hu, X.; Song, X. Effect of buffer layer and notch location on fatigue behavior in welded high-strength low-alloy. J. Mater. Processing Technol. 2012, 212, 2091–2101. [Google Scholar] [CrossRef]
- Celin, R.; Tehovnik, F. Degradation on of a Ni-Cr-Fe alloy in a pressurised-water power plant. Mater Technol 2011, 45, 151–157. [Google Scholar]
- Farley, S. An Overview of Non Destructive Inspection Services in Nuclear Power Plants. In Proceedings of the International Conference Nuclear Energy for New Europe, Portoraz, Slovenia, 6−9 September 2004. [Google Scholar]
- Rathod, D.W.; Singh, P.K.; Pandey, S.; Aravindan, S. Effect of buffer-layered buttering on microstructure and mechanical properties of dissimilar metal weld joints for nuclear plant application. Mater. Sci. Eng. A 2016, 666, 100–113. [Google Scholar] [CrossRef]
- Wang, H.; Wang, G.; Xuan, F.; Tu, S. Fracture mechanism of a dissimilar metal welded joint in nuclear power plant. Eng. Fail. Anal. 2013, 28, 134–148. [Google Scholar] [CrossRef]
- Antunes, F.V.; Ferreira, M.S.C.; Branco, R.; Prates, P.; Gardin, C.; Sarrazin-Baudoux, C. Fatigue crack growth versus plastic CTOD in the 304L stainless steel. Eng. Fract. Mech. 2019, 214, 487–503. [Google Scholar] [CrossRef]
- Simonovski, I.; Oliver, M.; Bourgeois, M. J-integral fracture toughness assessment of specimens containing dissimilar metal welds. In Proceedings of the 23nd Conference on Structural Mechanics in Reactor Technology, Manchester, UK, 10–14 August 2015. [Google Scholar]
- Gao, W.; Chen, K.; Guo, X.; Zhang, L. Fracture toughness of type 316LN stainless steel welded joints. Mater. Sci. Eng. A 2017, 685, 107–114. [Google Scholar] [CrossRef]
- Yang, J.; Wang, G.Z.; Xuan, F.Z.; Tu, S.T.; Liu, C.J. An experimental investigation of in-plane constraint effect on local fracture resistance of a dissimilar metal welded joint. Mater. Des. 2014, 53, 611–619. [Google Scholar] [CrossRef]
- Li, J.; Zhang, C.; Jiang, B.; Zhou, L.; Liu, Y. Effect of large-size M23C6-type carbides on the low-temperature toughness of martensitic heat-resistant steels. J. Alloy. Compd. 2016, 685, 248–257. [Google Scholar] [CrossRef]
- Zheng, Y.; Wang, F.; Li, C.; Li, Y.; Cheng, J.; Cao, R. Effect of Microstructure and Precipitates on Mechanical Properties of Cr–Mo–V Alloy Steel with Different Austenitizing Temperatures. ISIJ Int. 2017, 58, 1126–1135. [Google Scholar] [CrossRef] [Green Version]
- Samal, M.K.; Seidenfuss, M.; Roos, E.; Balani, K. Investigation of failure behavior of ferritic–austenitic type of dissimilar steel welded joints. Eng. Fail. Anal. 2011, 18, 999–1008. [Google Scholar] [CrossRef]
- Shen, M.H.H.; Akanda, S.R.; Liu, X.; Wang, P. Fracture toughness of welded joints of a steam turbine low pressure rotor. Int. J. Damage Mech. 2014, 24, 828–839. [Google Scholar] [CrossRef]
- Guo, Q.; Lu, F.; Liu, X.; Yang, R.; Cui, H.; Gao, Y. Correlation of microstructure and fracture toughness of advanced 9Cr/CrMoV dissimilarly welded joint. Mater. Sci. Eng. A 2015, 638, 240–250. [Google Scholar] [CrossRef]
- Fan, K.; Wang, G.; Xuan, F.; Tu, S. Local fracture resistance behavior of interface regions in a dissimilar metal welded joint. Eng. Fract. Mech. 2015, 136, 279–291. [Google Scholar] [CrossRef]
- Zhu, L.; Tao, X. The study of weld strength mismatch effect on limit loads of part surface and embedded flaws in plate. Int. J. Press. Vessel. Pip. 2016, 139–140, 61–68. [Google Scholar] [CrossRef]
- Metallic Materials-Unified Method of Test for Determination of Quasistatic Fracture Toughness; ISO 12135, MOD; ISO International Standard: Geneva, Switzerland, 2021.
- Zhu, M.; Wang, D.; Xuan, F. Effect of long-term aging on microstructure and local behavior in the heat-affected zone of a Ni–Cr–Mo–V steel welded joint. Mater. Charact. 2014, 87, 45–61. [Google Scholar] [CrossRef]
- Hong, S.-P.; Kim, S.-I.; Ahn, T.-Y.; Hong, S.-T.; Kim, Y.-W. Effects of extended heat treatment on carbide evolution in Cr-Mo steels. Mater. Charact. 2016, 115, 8–13. [Google Scholar] [CrossRef]
- Kong, X.; Lan, L.; Hu, Z.; Li, B.; Sui, T. Optimization of mechanical properties of high strength bainitic steel using thermo-mechanical control and accelerated cooling process. J. Mater. Processing Technol. 2015, 217, 202–210. [Google Scholar] [CrossRef]
- Wen, T.; Hu, X.; Song, Y.; Yan, D.; Rong, L. Carbides and mechanical properties in a Fe–Cr–Ni–Mo high-strength steel with different V contents. Mater. Sci. Eng. A 2013, 588, 201–207. [Google Scholar] [CrossRef]
- Wang, W.K.; Liu, Y.; Zhang, Q.B.; Zhang, L.J.; Zhang, J.X. Microstructure and local mechanical properties of a dissimilar metal welded joint with buttering layer in steam turbine rotor. Mater. Sci. Eng. A 2019, 747, 244–254. [Google Scholar] [CrossRef]
- Wang, W.-K.; Liu, Y.; Guo, Y.; Xu, Z.-Z.; Zhong, J.; Zhang, J.-X. High cycle fatigue and fracture behaviors of CrMoV/NiCrMoV dissimilar rotor welded joint at 280 °C. Mater. Sci. Eng. A 2020, 786, 139473. [Google Scholar] [CrossRef]
- Jiang, Z.H.; Wang, P.; Li, D.Z.; Li, Y.Y. The evolutions of microstructure and mechanical properties of 2.25Cr-1Mo-0.25V steel with different initial microstructures during tempering. Mater. Sci. Eng. A 2017, 699, 165–175. [Google Scholar] [CrossRef]
- Moitra, A.; Parameswaran, P.; Sreenivasan, P.R.; Mannan, S.L. A toughness study of the weld heat-affected zone of a 9Cr-1Mo steel. Mater. Charact. 2002, 48, 55–61. [Google Scholar] [CrossRef]
- Hong, S.; Lee, J.; Lee, B.-J.; Kim, H.S.; Kim, S.-K.; Chin, K.-G.; Lee, S. Effects of intergranular carbide precipitation on delayed fracture behavior in three TWinning Induced Plasticity (TWIP) steels. Mater. Sci. Eng. A 2013, 587, 85–99. [Google Scholar] [CrossRef]
- Baker, B.W.; McNelley, T.R.; Brewer, L.N. Grain size and particle dispersion effects on the tensile behavior of friction stir welded MA956 oxide dispersion strengthened steel from low to elevated temperatures. Mater. Sci. Eng. A 2014, 589, 217–227. [Google Scholar] [CrossRef] [Green Version]
- Wang, H.T.; Wang, G.Z.; Xuan, F.Z.; Liu, C.J.; Tu, S.T. Local mechanical properties of a dissimilar metal welded joint in nuclear power systems. Mater. Sci. Eng. A 2013, 568, 108–117. [Google Scholar] [CrossRef]
- Wang, W.; Dong, Z.; Xu, Z.; Zhu, B.; Zhang, X.; Zhong, J.; Zhang, J. Local strain hardening behavior in a dissimilar metal welded joint with buttering layer of ultra-supercritical turbine rotor. Mater. Sci. Eng. A 2020, 785, 139379. [Google Scholar] [CrossRef]
- Zhu, M.; Xuan, F. Correlation between microstructure, hardness and strength in HAZ of dissimilar welds of rotor steels. Mater. Sci. Eng. A 2010, 527, 4035–4042. [Google Scholar] [CrossRef]
- Li, H.; Wei, J.; Yang, S.; Liu, Y. The relationship between fracture toughness and tensile property in high-strength steels. Eng. Fail. Anal. 2021, 131, 105854. [Google Scholar] [CrossRef]
- Wang, H.; Wang, G.; Xuan, F.; Tu, S. An experimental investigation of local fracture resistance and crack growth paths in a dissimilar metal welded joint. Mater. Des. 2013, 44, 179–189. [Google Scholar] [CrossRef]
- Zhang, M.; Shi, Y.; Zhang, X. Influence of strength mis-matching on crack driving force and failure assessment curve of weldment. Int. J. Press Ves. Pip. 1997, 70, 33–41. [Google Scholar]















| Material | C | Mn | Ni | Cr | Mo | V |
|---|---|---|---|---|---|---|
| 30Cr1Mo1V | 0.25~0.36 | 0.66~1.04 | ≤0.53 | 1.00~1.40 | 0.98~1.32 | 0.20~0.30 |
| 30Cr2Ni4MoV | ≤0.37 | 0.17~0.43 | 3.18~3.82 | 1.45~2.05 | 0.22~0.62 | 0.06~0.16 |
| BL and WM wire | ≤0.10 | 1.30~2.25 | 2.00~2.80 | ≤0.08 | 0.30~0.80 | / |
| Materials | Yield Strength (MPa) | Ultimate Tensile Strength (MPa) | Elongation Percentage (%) | Charpy Impact Energy /J (25 °C) |
|---|---|---|---|---|
| 30Cr1Mo1V | 637 | 789 | 26 | 56 |
| 30Cr2Ni4MoV | 834 | 928 | 35 | 145 |
| SAW wire | 770 | 863 | 30 | 89 |
| Region | BM-1 | HAZ-1 | BL | WM | HAZ-2 | BM-2 |
|---|---|---|---|---|---|---|
| KQ (MPa·m1/2) | 91.2 | 101.8 | 83.6 | 93.5 | 127.7 | 103.4 |
| Region | BM-1 | HAZ-1 | BL | WM | HAZ-2 | BM-2 |
|---|---|---|---|---|---|---|
| δ0.2BL (mm) | / | 0.407 | 0.214 | 0.232 | 0.316 | 0.250 |
Publisher’s Note: MDPI stays neutral with regard to jurisdictional claims in published maps and institutional affiliations. |
© 2022 by the authors. Licensee MDPI, Basel, Switzerland. This article is an open access article distributed under the terms and conditions of the Creative Commons Attribution (CC BY) license (https://creativecommons.org/licenses/by/4.0/).
Share and Cite
Wang, W.; Guo, Y.; Li, Y.; Li, Z. Fracture Toughness of Different Region Materials from a Dissimilar Metal Welded Joint in Steam Turbine Rotor. Coatings 2022, 12, 174. https://doi.org/10.3390/coatings12020174
Wang W, Guo Y, Li Y, Li Z. Fracture Toughness of Different Region Materials from a Dissimilar Metal Welded Joint in Steam Turbine Rotor. Coatings. 2022; 12(2):174. https://doi.org/10.3390/coatings12020174
Chicago/Turabian StyleWang, Wenke, Yang Guo, Yuanbo Li, and Zhengning Li. 2022. "Fracture Toughness of Different Region Materials from a Dissimilar Metal Welded Joint in Steam Turbine Rotor" Coatings 12, no. 2: 174. https://doi.org/10.3390/coatings12020174
APA StyleWang, W., Guo, Y., Li, Y., & Li, Z. (2022). Fracture Toughness of Different Region Materials from a Dissimilar Metal Welded Joint in Steam Turbine Rotor. Coatings, 12(2), 174. https://doi.org/10.3390/coatings12020174
