You are currently viewing a new version of our website. To view the old version click .
Coatings
  • Article
  • Open Access

5 December 2022

Surface Wettability and Coating Performance of Plasma-Treated Wood-Based Composite Panels

,
,
and
1
Department of Wood and Paper Science and Technology, Faculty of Natural Resources, University of Tehran, Karaj 77871-31587, Iran
2
Department of Wood and Paper Sciences and Technology, Faculty of Materials Engineering and New Technologies, Shahid Rajaee Teacher Training University, Tehran 16788-15811, Iran
3
Department of Forestry and Wood Technology, Linnaeus University, Lückligs Plats 1, 351 95 Växjö, Sweden
4
College of Forest Resources and Environmental Science, Michigan Technological University, Houghton, MI 49931, USA
This article belongs to the Special Issue Wood Coatings: Formulation, Testing and Performance

Abstract

The effect of dielectric barrier discharge (DBD) plasma treatment was studied on the surface characteristics and coating performance of transparent epoxy resin on the surface of particleboard (PB) and medium-density fiberboard (MDF). The plasma treatment was performed at three plasma energies (10, 15, and 20 kW) and three distances from the nozzle (10, 20, and 30 mm). Analyzing the samples by Fourier transform infrared (FTIR) spectroscopy and X-ray photoelectron spectroscopy (XPS) indicated the changes of their chemical structure by means of the plasma treatment. The contact angle study showed a significant increase in surface wettability after plasma treatment with a pronounced effect observed by treatment parameters. The surface roughness was also significantly increased by the plasma treatment. The strength of the coating adhesion to the surface of the PB and MDF composite panels was also significantly improved by the plasma treatment, while no obvious trend was observed by treatment parameters. The highest adhesion strength of 2.03 MPa and 3.63 MPa were obtained by the PB and MDF samples, respectively, treated at a 10 mm nozzle distance and 15 kW plasma energy. The scratch resistance of the epoxy coatings showed a similar trend as the adhesion strength illustrating an inferior isolated surface of the coating after the plasma treatment.

1. Introduction

Wood is one of the most sustainable, diverse, durable, environmentally friendly, and renewable raw materials in the world. In recent years, the increasing tendency to use wood and wood-based products has led to an expansion of the capacity and variety of its uses [1]. Wood-based composite panels are products that are created by joining wood-derived materials, such as veneers, particles, fibers, etc., using thermosetting or thermoplastic binders [2]. Thus, these products are more homogeneous and dimensionally stable than solid wood [3]. The two widely used types of wood-based composite panels in the construction and furniture industry are particleboard (PB) and fiberboard (FB), which are produced from wood particles and wood fibers, respectively, and formed with thermoset resins under heat and pressure [4]. Depending on the application, these products are mostly subjected to physical and chemical fluctuations as well as possible surface deteriorations [5]; thus, they often need to be protected by suitable coatings to withstand different interior or exterior degradation factors [6,7]. For interior uses, the stability of the coatings against light irradiation, climatic variations, mechanical damage (e.g., scratching, abrasion, and impacts), and chemical damage is critical [8]. The adhesion strength and durability of the coatings on wood-based materials vary by the coating composition, material types, and surface wettability [9,10]. The latter property can be altered by surface pre-treatment, such as sanding and machining [11]. Plasma treatment is a commonly used method to modify the surface wettability of wood-based products and panel composites [12]. Unlike typical finishing processes that generate dust and unclean surfaces, plasma treatment is clean. Avramidis and colleagues stated that the surface hydrophilicity of wood was increased by plasma treatment at atmospheric pressure using a dielectric barrier discharge [13]. Zigon et al. [8] improved the wettability and adhesion strength of waterborne acrylic coating on MDF panels with non-thermal dielectric barrier discharge (DBD) plasma in a floating electrode configuration (FE-DBD) at atmospheric pressure. Similar results were reported by Wolkenhauer and colleagues, who treated the MDF panels with DBD plasma at atmospheric pressure and coated them with waterborne coatings [14]. de Cademartori and co-workers [15] reported that the surface wettability of MDF panels was increased by DBD plasma under helium gas and also by increasing the plasma energy and duration; they also showed in a later study that the adhesion strength of acrylic coatings on the MDF surface was enhanced by the DBD plasma treatment with argon gas and the higher wettability of the plasma-treated MDF [16]. The coating adhesive quality and the hydrophilic nature of the wood surface were significantly improved by DBD plasma in the presence of helium [17]. The treatment of PB panels with FE-DBD plasma prior to application of the waterborne coating considerably enhanced the surface wettability [6]; as stated by the authors, this might be due to the higher abrasion resistance of plasma-treated PB panels. Similar results were reported on the coating performances of PB panels after treatment with DBD plasma [7]. Although many studies confirmed the effect of plasma treatment on the surface activation of wood and wood-based products, and also on the improvement of the coating performances (i.e., by increasing the adhesion strength), a major focus has been to understand the influence of plasma on the coating properties of a specific type of wood-based composite panel.
Therefore, the aim of this study was to explore and compare the effects of DBD plasma treatment on the performance of transparent epoxy-coated particleboard and medium-density fiberboard composite panels. The plasma treatment was carried out under an argon environment, and the influence of various energy levels and nozzle distances on the properties of the PB and MDF samples was analyzed by contact angle analysis, surface resistance to scratch, and the peel force of the coating films.

2. Materials and Methods

2.1. Sample Preparation

Commercial three-layer PB and one-layer MDF with a mean density of 700 and 750 kg·cm−3, respectively, were kindly provided by Pouya Company (in Ahmad Kola, Mazandaran Province-Iran). The PB was prepared with core layer wood chips of 3 to 5 mm and a surface layer particle size of 0.2 to 0.5 mm and 9% melamine formaldehyde (MF) adhesive; the MDF panels were manufactured by thermos-mechanical pulp fibers of 50 to 150 µm and 11% MF resin. Both panels were cut to 150 × 100 × 16 mm3 (L × W × T) and conditioned at 20 °C and 65% humidity for 14 days prior to any further treatment.

2.2. Plasma Treatment

The plasma treatment was performed under an argon environment as the working gas using a DBD plasma jet (RGB model—Plasma Idea Azma Eng Co., Tehran, Iran). In the first stage, the plasma was placed between the electrode and the spray during a high-voltage process to discharge the pressure in the nozzle by the gas stream. In the second stage, the pulse repetition frequency was 50 kHz, the pulse duration was from 10 to 50 μs, and the current intensity was 45 to 60 L per minute in the system. Finally, plasma heating was performed at 75 °C. The plasma treatment was applied to the samples at three levels of plasma energy (10, 15, and 20 kW) and various distances to the nozzle (10, 20, and 30 mm). The schematic of the plasma treatment is shown in Figure 1.
Figure 1. Schematic of plasma treatment.

2.3. Coating

The plasma-treated and untreated composite panels were coated with a transparent epoxy resin coating (EPODEX, London, UK) according to Table 1. The panel surfaces were coated with a 300 µm primary layer and then 100 ± 1 µm of topcoat using a film remover (Model APF-3 MAXTECHNICS, China).
Table 1. Surface treatment of the PB and MDF composite panels. Sample codes refer to the coating type and plasma condition (distance from the nozzle and plasma energy).

2.4. Fourier Transform Infrared (FTIR) Spectroscopy

The effect of the plasma treatment on the chemical structure of the wood composite panels was analyzed by FTIR spectroscopy (Varian660-IR, Palo Alto, USA) in the PB and MDF samples treated at 15 kW plasma energy and 10 mm distance from the nozzle (E15D1) and compared with the untreated samples. The FTIR spectroscopy analysis was performed in the wave number range 1500–1800 cm−1 and 65 scans.

2.5. X-ray Photoelectron Spectroscopy (XPS)

XPS analyses of the untreated and plasma-treated wood samples with a dimension of 5 × 5 × 2 mm3 (L × T × R) by three repetitions per treatment were carried out by K-Alpha XPS (Thermo Fisher Scientific, West Palm Beach, FL, USA) using a monochromatic Al Ka X-ray at 1486.6 eV (hv) and under vacuum of 5 × 10−7 Pa as described previously [18,19].

2.6. Surface Wettability

The wettability of the samples was evaluated after plasma treatment and coating by contact angle analysis (OCA 15 Plus; Dataphysics Instruments GmbH, Filderstadt, Germany) according to the ASTM D-5946 standard. A probe liquid of deionized water with a volume of 4 µm was used. The apparent contact angle value was recorded 30 s after the deposition of the water droplet by ten repetitions per treatment (n = 10).

2.7. Surface Roughness

The roughness of the PB and MDF samples before and after plasma treatment was measured according to DIN 4768 using a roughness measuring instrument (model SJ-201P, Mitutoyo, Japan). The random points were measured by ten repetitions per treatment (n = 10).

2.8. Adhesion Strength

The adhesion of the coatings on the surface of the plasma-treated and coated samples was evaluated by a tensile adhesion test using a pull-off device (Elcometer 510 Automatic, Ontario, Canada) according to the ASTM D 4541 standard. To perform this test, small dollies 20 mm in diameter were glued to the film surface with a two-component epoxy adhesive. After 24 h, the area around the dolly was cut with a circular saw drill bit, and then the test was performed on three sample types and four repetitions (n = 12).

2.9. Scratch Adhesion

The resistance of the coating film on the substrate was evaluated by a scratch adhesion test using a cross-cut machine (KIT CC3000, Capelle, The Netherlands) according to the ASTM D 3359 standard. The scratch adhesion grading scale is shown in Table 2.
Table 2. Scratch adhesion grading scale according to the ASTM D 3359 standard.

2.10. Statistical Analysis

The effect of plasma treatment on the adhesion properties of the PB and MDF samples was analyzed by one-way analysis of variance (ANOVA) using SPSS software with Duncan’s multiple range test at a 95% confidence level.

3. Results and Discussion

3.1. Chemical Structure of Plasma-Treated Panels

The chemical changes of the PB and MDF composite panels that were plasma-treated at 15 kW plasma energy and a 10 mm distance from the nozzle and the untreated composite panels were studied by FTIR spectroscopy and XPS analyses. The FTIR spectroscopy spectra showed obvious changes in the chemical structure of the panels that received plasma treatment compared with the untreated panels (Figure 2). The increases in the absorption peaks at 1734 and 1650 cm−1 were attributed to the C=O and C–H, respectively [20,21]. The presence of carboxyl groups is confirmed by the strong peak around 1648 cm−1, which corresponds to the antisymmetric deformation of COO groups as a result of the plasma treatment [22]. The FTIR spectroscopy results confirmed that the formation of polar groups (e.g., C–O, C=O) were higher than the non-polar ones (C–C, C–H) introduced on the surface of the plasma-treated fiberboards [23].
Figure 2. FTIR spectroscopy of untreated and plasma-treated PB and MDF composite panels.
The energy spectra level of untreated and plasma-treated PB and MDF composite panels at 15 kW plasma energy and a 10 mm distance as well as their conforming surface composition are illustrated in Figure 3 and Table 3, respectively. As can be seen, the signals related to C=O, O–C–O, and O=C–O increased after the plasma treatments in both PB and MDF composite panels. The increases of the C2, C3, and C4 peaks might be related to the higher interaction of carbon and oxygen molecules during the plasma discharge [24]. The presence of carbonyl groups (C-O) was confirmed by the C2s spectra. The concentration of carbon atoms was decreased by the plasma treatment, while the oxygen level was increased (Table 3). As indicated in the FTIR spectroscopy results, these alterations in the concentration of carbon and oxygen atoms could lead to the formation of more polar groups after plasma treatment.
Figure 3. High-resolution spectra of (a) Control 1 PB, (b) Control 1MDF, (c) plasma-treated PB, and (d) plasma-treated MDF.
Table 3. Relative surface composition of untreated and plasma-treated PB and MDF.

3.2. Surface Characteristics

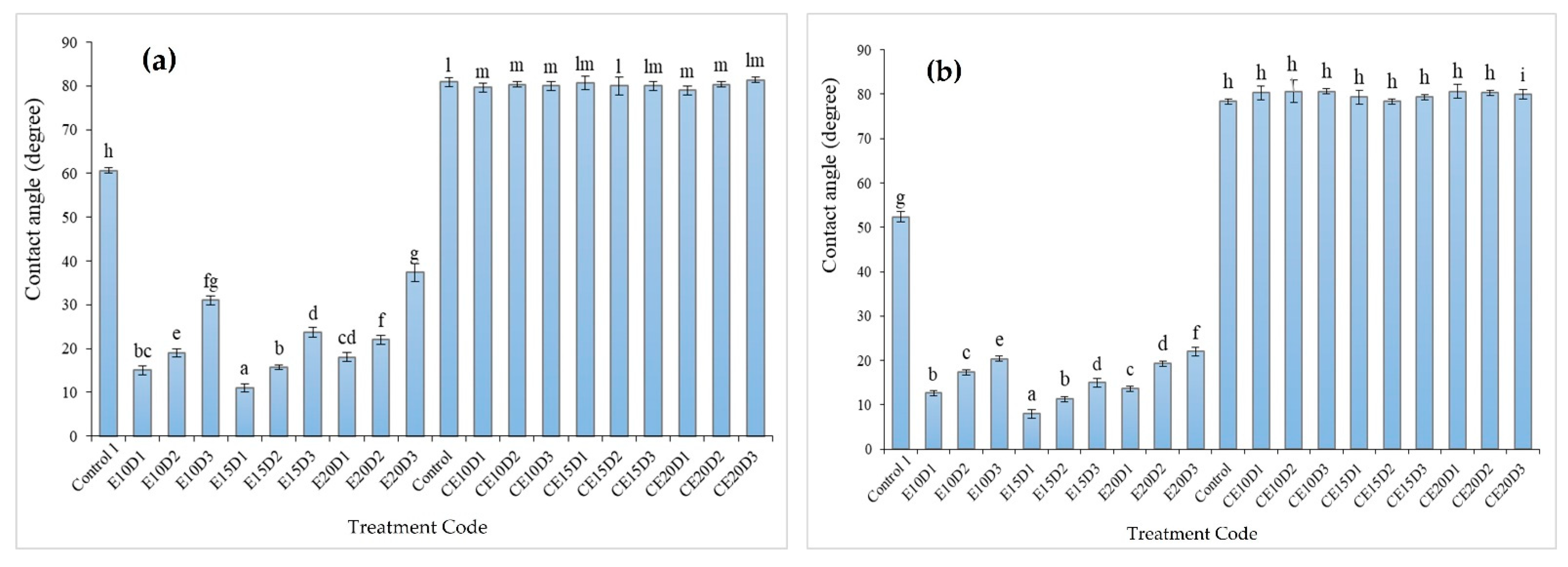
The surface characteristics of the PB and MDF samples before and after plasma treatment were evaluated by surface wettability and surface roughness. The surface wettability was assessed by contact angle analysis (Figure 4a,b). Similar trends were observed in the surface wettability of the PB and MDF samples due to plasma treatment at various parameter variations with no significant differences between the two sample types. The decreases in contact angle values after plasma treatment indicate the increase of surface wettability in the PB and MDF samples. This might be due to the creation of more polar groups [12,25] as indicated by the FTIR spectroscopy and XPS results. Plasma treatment creates oxygen groups on the surface and the higher the concentration of oxygen, the higher the surface reactivity [26]. Moreover, high surface energy facilitates the spreading of the liquid over the surface and, thus, the penetration of the liquid into the substrate solid [27]. The contact angle values increased by increasing the distance between the plasma nozzle and the sample surface from 10 mm to 30 mm in both PB and MDF. This might be due to the alteration of the oxygen atom density on the surface of the materials by the plasma treatment [28,29]. Furthermore, the results of variance analysis showed a significant difference between the contact angle of the control samples and the samples treated with plasma and coated. E15D1 treatment caused the most changes in the contact angle values of the PB and MDF, showing a decrease of 81.86% and 84.71%, respectively, compared to the control samples. The lowest changes in the contact angle values were observed in the E20D3 treatment, showing a decrease of 57.96% and 38.46% in the PB and MDF composites, respectively. This indicates that the surface wettability increased by increasing the plasma energy from 10 kW to 15 kW but then decreased by increasing the energy from 15 kW to 20 kW. The plasma treatment at 15 kW may cause the formation of carboxyl at the surface of the cellulose polymer and, by increasing the plasma intensity, further cleavage of carbohydrate rings can occur, hence, reducing the degree of polymerization and changing the amount of carboxyl and surface free energy [30,31,32]. As expected, the contact angle values increased by coating, but no significant differences were observed between the plasma-treated and untreated control samples.
Figure 4. Contact angle value of Control 1, plasma-treated, and plasma-treated and coated PB (a) and MDF (b). The statistical differences were tested with ANOVA and Duncan test, and the labelled values with the same letter were statistically equal at an error probability of α = 0.05. Error bars represent the standard deviations.
The surface roughness of the PB and MDF samples was considerably changed by the plasma treatment (Figure 5). The roughness values were significantly increased after the plasma treatment compared with the untreated control samples (ANOVA, α = 0.05). This is in accordance with the previous reports [31,33]. Similar trends were observed between the roughness values of the PB and MDF samples at various plasma parameters with no obvious differences between the two composite panel types (i.e., the differences in roughness values of PB and MDF were statistically insignificant). Except for the roughness values of the PB and MDF samples treated at a 10 mm nozzle distance and 10- and 15-kW plasma energy, which illustrated the highest roughness values, no significant differences were detected among the plasma-treated samples at various treatment parameters.
Figure 5. Surface roughness of untreated and plasma-treated PB and MDF composite panels. The statistical differences were tested with ANOVA and Duncan test, and the labelled values with the same letter were statistically equal at an error probability of α = 0.05. Error bars represent the standard deviations.

3.3. Coating Performance

The coating performance of the PB and MDF panels was evaluated by adhesion strength and resistance-to-scratch tests. Figure 6 and Figure 7 show the adhesion strength and cross-cut of the coating on the PB and MDF samples. The findings showed that the adhesion strengths of the coatings on the PB and MDF composite panels were increased by the plasma treatment, and the values were significantly higher than the untreated control samples. The adhesion strength in both the PB and MDF samples decreased by increasing the distance to the nozzle; however, different trends were observed in terms of the plasma energy. At similar distance levels, the samples treated with 15 kW plasma energy showed higher adhesion strength than the samples treated with 10 and 20 kW plasma energy. The differences in adhesion strength of the samples treated at 15 kW plasma energy and those treated at 10 and 20 kW plasma energy were statistically significant (α = 0.05). For the samples treated at 10 and 20 kW plasma energy, a 10 mm nozzle distance significantly increased the adhesion strength, while no meaningful differences were observed at the nozzle distances of 20 and 30 mm. The highest adhesion strengths in the PB and MDF composite panels were 2.03 and 3.63 MPa, respectively, which were 56.41% and 28.23% higher than their respective untreated control samples. The increases in the adhesion strength of wood-based composite panels by means of the plasma treatment could be explained by the effect of the treatment on the surface properties, such as surface wettability and surface roughness [19].
Figure 6. Adhesion strength of epoxy coatings on untreated and plasma-treated PB (a) and MDF (b). The statistical differences were tested with ANOVA and Duncan test, and the labelled values with the same letter were statistically equal at an error probability of α = 0.05. Error bars represent the standard deviations.
Figure 7. The adhesion strength of PB and MDF samples after adhesion strength tests.
Although the effects of variations in plasma treatment parameters on adhesion strength and surface wettability were not the same, the surface wettability was increased by the plasma treatment, which may lead to better spreading of the coatings on the surface. The increased surface roughness by the plasma treatment might be an additional reason for the improved adhesion strength. Alteration in the surface roughness of wood and wood-based products was reported previously [19,33,34]. Higher surface roughness could possibly lead to enhancement in the physical and/or mechanical interlocking of the epoxy coating films on the surface of wood-based materials, thus, resulting in higher adhesion strength than that in the untreated ones. The MDF composite panels showed higher adhesion strength than that in the PB composite panels after plasma treatment, which could be related to the different geometry of materials in these products (i.e., wood fibers in MDF panels have higher aspect ratios than the wood chips in PB panels and may lead to a higher adhesion strength).
The adhesion strength and cross-cut are important parameters to show the resistance of the coating to separation from the substrate and are influenced by the coating quality, thickness of the layer, and surface characteristics prior to coating [35,36]. The quality of the coating adhesion to the MDF and PB surfaces was assessed by the scratch resistance via the cross-cutting test. According to ASTM D 3359 and as indicated in Table 2, the higher the rate the more stable the coating to the surface with smoother edges and no disconnected lattice squares. The scratch resistance of coatings on the untreated and plasma-treated PB and MDF composite panels is shown in Table 4 and Figure 8. The results illustrated that the coating residuals from the surface of the samples were decreased after the plasma treatment. The scratch resistance of the untreated control PB and MDF specimens were graded 2B (area separated by more than 15%) and 4B (isolated area of coverage of less than 5% of the surface), respectively (Figure 6a–d). However, after the plasma treatment, the separation of the coating on the PB and MDF samples was decreased, and this resulted in resistance grading of 3B and 5B for the PB and MDF composite samples, respectively. The MDF composite panels showed higher scratch resistance than the PB samples. The cross-cut results are in line with the adhesion strength by the pull-off test. In both the PB and MDF samples, small coating flakes of about 5%–15% were separated along the edges and cut the intersections with unconnected lattice squares. This could be due to the better interaction of the coating to the surface by the plasma treatment [8]. The improvement in the scratch resistance of epoxy coatings on the PB and MDF panels by plasma treatment seems to be directly related to their higher adhesion strength in comparison to the untreated samples. Similar results were reported previously on the scratch resistance of waterborne acrylic coatings on MDF [8].
Table 4. Cross-cutting rating of coated samples.
Figure 8. Scratch-adhesion test of coatings on (a,b) untreated and (c,d) plasma-treated PB and MDF samples at 10 mm nozzle distance and 15 kW plasma energy.

4. Conclusions

Treatment of the PB and MDF composite panels with DBD plasma changed their chemical structure and considerably increased the surface wettability and surface roughness of the samples compared with the untreated panels. Increasing the nozzle distance slightly decreased the surface wettability. As noted by FTIR spectroscopy and XPS analyses, more polar groups were formed on the wood surface after the plasma treatment. The adhesion strength of the epoxy coatings on the composite panels was significantly improved by the plasma treatment and was also affected by the treatment parameters; the highest adhesion strength was obtained on the samples treated at a 10 mm nozzle distance and 15 kW plasma energy (CE15D1). The resistance of the epoxy coating to scratch was improved after the plasma treatment, while no pronounced effect was observed by variation of treatment parameters. Overall, the plasma treatment highly improved the epoxy coating performance in the PB and MDF composite panels. The compatibility and strength of the coating in the MDF panels seemed to be higher than the PB panels after the plasma treatment; however, its stability against irradiation and climatic variations need to be addressed in future studies.

Author Contributions

Conceptualization, H.G. and R.H.; methodology, J.A.; validation, J.A.; formal analysis, J.A. and P.A.; investigation, J.A.; resources, H.G. and R.H; data curation, H.G. and J.A.; writing—original draft preparation, J.A. and P.A.; writing—review and editing, H.G. and R.H.; visualization, H.G. and J.A.; supervision, H.G. and R.H. All authors have read and agreed to the published version of the manuscript.

Funding

This research received no external funding.

Institutional Review Board Statement

Not applicable.

Data Availability Statement

The data presented in this study are available on request from the corresponding author.

Conflicts of Interest

The authors declare no conflict of interest.

References

  1. Ali, S.; Hussain, S.A.; Tohir, M.Z. Fire Test and Effects of Fire Retardant on the Natural Ability of Timber: A Review. Pertanika J. Sci. Technol. 2019, 27, 867–895. [Google Scholar]
  2. Rowell, R.M.; Pettersen, R.; Han, J.S.; Rowell, J.S.; Tshabalala, M.A. Chapter 3: Cell Wall Chemistry. Rowell, R.M., Ed.; In Handbook of Wood Chemistry and Wood Composites; CRC Press: Boca Raton, FL, USA, 2005; pp. 35–74. [Google Scholar]
  3. Stark, N.; Cai, Z. Wood-based composite materials: Panel products, glued laminated timber, structural composite lumber, and wood–nonwood composites. In Wood handbook wood as an engineering material; U.S. Department of Agriculture, Forest Service, Forest Products Laboratory: Madison, WI, USA, 2021; pp. 1–11. [Google Scholar]
  4. Kojima, Y.; Shimoda, T.; Suzuki, S. Evaluation of the weathering intensity of wood-based panels under outdoor exposure. J. Wood Sci. 2011, 57, 408–414. [Google Scholar] [CrossRef]
  5. An, J.-Y.; Kim, S.; Kim, H.-J. Formaldehyde and TVOC emission behavior of laminate flooring by structure of laminate flooring and heating condition. J. Hazard. Mater. 2011, 187, 44–51. [Google Scholar] [CrossRef] [PubMed]
  6. Žigon, J.; Dahle, S.; Petrič, M.; Pavlič, M. Enhanced Abrasion Resistance of Coated Particleboard Pre-Treated with Atmospheric Plasma. Drv. Ind. 2020, 71, 129–137. [Google Scholar] [CrossRef]
  7. Dahle, S.; Petric, M.; Pavlic, M. Enhanced Abrasion Resistance of Coated Particleboard Pre-Treated with Atmospheric Plas-ma/Pojacana otpornost na abraziju premazanih iverica prethodno obradenih atmosferskom plazmom. Drv. Ind. 2020, 71, 129–138. [Google Scholar]
  8. Žigon, J.; Pavlič, M.; Petrič, M.; Dahle, S. Surface properties of coated MDF pre-treated with atmospheric plasma and the in-fluence of artificial weathering. Mater. Chem. Phys. 2021, 263, 0254–0584. [Google Scholar]
  9. Papp, E.A.; Csiha, C.; Makk, A.N.; Hofmann, T.; Csoka, L. Wettability of Wood Surface Layer Examined From Chemical Change Perspective. Coatings 2020, 10, 257. [Google Scholar] [CrossRef]
  10. Kúdela, J.; Liptáková, E. Adhesion of coating materials to wood. J. Adhes. Sci. Technol. 2006, 20, 875–895. [Google Scholar] [CrossRef]
  11. Ugulino, B.; Hernández, R.E. Analysis of sanding parameters on surface properties and coating performance of red oak wood. Wood Mater. Sci. Eng. 2016, 13, 64–72. [Google Scholar] [CrossRef]
  12. Klébert, S.; Mohai, M.; Csiszár, E. Can Plasma Surface Treatment Replace Traditional Wood Modification Methods? Coatings 2022, 12, 487. [Google Scholar] [CrossRef]
  13. Avramidis, G.; Hauswald, E.; Lyapin, A.; Militz, H.; Viöl, W.; Wolkenhauer, A. Plasma treatment of wood and wood-based materials to generate hydrophilic or hydrophobic surface characteristics. Wood Mater. Sci. Eng. 2009, 4, 52–60. [Google Scholar] [CrossRef]
  14. Wolkenhauer, A.; Militz, H.; Viöl, W. Increased PVA-Glue Adhesion on Particle Board and Fibre Board by Plasma Treatment. Holz als Roh-und Werkst. 2007, 66, 143–145. [Google Scholar] [CrossRef]
  15. de Cademartori, P.H.; de Muniz, G.I.; Magalhães, W.L. Changes of wettability of medium density fiberboard (MDF) treated with He-DBD plasma. Holzforschung 2015, 69, 187–192. [Google Scholar] [CrossRef]
  16. de Cademartori, P.H.G.; de Carvalho, A.R.; Marangoni, P.R.D.; Berton, M.A.C.; Blanchet, P.; de Cademartori, P.H.; de Carvalho, A.R.; Marangoni, P.R.; Berton, M.A.; Blanchet, P.; et al. Adhesion performance and film formation of acrylic emulsion coating on medium density fiberboard treated with Ar plasma. Int. J. Adhes. Adhes. 2016, 70, 322–328. [Google Scholar] [CrossRef]
  17. Asandulesa, M.; Topala, I.; Dumitrascu, N. Effect of helium DBD plasma treatment on the surface of wood samples. Holzforschung 2010, 64, 223–227. [Google Scholar] [CrossRef]
  18. Ghavidel, A.; Hosseinpourpia, R.; Militz, H.; Vasilache, V.; Sandu, I. Characterization of Archaeological European White Elm (Ulmus laevis P.) and Black Poplar (Populus nigra L.). Forests 2020, 11, 1329. [Google Scholar] [CrossRef]
  19. Gholamiyan, H.; Gholampoor, B.; Hosseinpourpia, R. Application of Waterborne Acrylic and Solvent-Borne Polyester Coatings on Plasma-Treated Fir (Abies alba M.) Wood. Materials 2022, 15, 370. [Google Scholar] [CrossRef]
  20. Cheng, S.; Huang, A.; Wang, S.; Zhang, Q. Effect of Different Heat Treatment Temperatures on the Chemical Composition and Structure of Chinese Fir Wood. BioResources 2016, 11, 4006–4016. [Google Scholar] [CrossRef]
  21. Braz, D.C.; Silva, D.L.; Rocha-Silva, M.; Sousa, R.R.; Moncão, R.M.; Lima, C.D.; Andrade, M.V. Effect of low-pressure plasma treatment on the seed surface structure of desmanthus virgatus L. WILLD. Rev. Árvore 2022, 46, 11. [Google Scholar] [CrossRef]
  22. Nancy, P.; Joy, J.; James, J.; Joseph, B.; Thomas, S.; Kalarikkal, N. Spectroscopic and mass spectrometry analyses of plas-ma-activated polymeric materials. In Applications in Composites, Nanostructured Materials and Biomedical Fields; Elsevier: Amsterdam, The Netherlands, 2019; pp. 319–340. [Google Scholar]
  23. Jang, J.; Yang, H. The effect of surface treatment on the performance improvement of carbon fiber/polybenzoxazine composites. J. Mater. Sci. 2000, 35, 2297–2303. [Google Scholar] [CrossRef]
  24. Köhler, R.; Sauerbier, P.; Militz, H.; Viöl, W. Atmospheric Pressure Plasma Coating of Wood and MDF with Polyester Powder. Coatings 2017, 7, 171. [Google Scholar] [CrossRef]
  25. El Shaer, M.; Mobasher, M.; Elsebaei, A.; Adel, F. Polymers surface treatment by cold atmospheric plasma in air. In Proceedings of the 13th Arab International Conference on Polymer Science and Technology, Sharm El Sheikh, Egypt, 23–26 October 2017; Volume 19, pp. 434–444. [Google Scholar]
  26. Bartis, E.A.J.; Luan, P.; Knoll, A.J.; Hart, C.; Seog, J.; Oehrlein, G.S. Polystyrene as a model system to probe the impact of ambient gas chemistry on polymer surface modifications using remote atmospheric pressure plasma under well-controlled conditions. Biointerphases 2015, 10, 029512. [Google Scholar] [CrossRef]
  27. de Cademartori, P.H.; Schreiner, W.H.; Magalhães, W.L. Facile one-step fabrication of highly hydrophobic medium density fiberboard (MDF) surfaces via spray coating. Prog. Org. Coat. 2018, 125, 153–159. [Google Scholar] [CrossRef]
  28. Vesel, A.; Primc, G. Investigation of Surface Modification of Polystyrene by a Direct and Remote Atmospheric-Pressure Plasma Jet Treatment. Materials 2020, 13, 2435. [Google Scholar] [CrossRef] [PubMed]
  29. Jiang, J.; Luo, Y.; Moldgy, A.; Aranda Gonzalvo, Y.; Bruggeman, P.J. Absolute spatially and time-resolved O, O3, and air den-sities in the effluent of a modulated RF-driven atmospheric pressure plasma jet obtained by molecular beam mass spectrometry. Plasma Process. Polym. 2020, 17, 163–198. [Google Scholar] [CrossRef]
  30. Ellerweg, D.; Benedikt, J.; von Keudell, A.; Knake, N.; Schulz-von der Gathen, V. Characterization of the effluent of a He/O2 microscale atmospheric pressure plasma jet by quantitative molecular beam mass spectrometry. New J. Phys. 2010, 12, 013021. [Google Scholar] [CrossRef]
  31. Demirkir, C.; Aydin, I.; Colak, S.; Ozturk, H. Effects of plasma surface treatment on bending strength and modulus of elasticity of beech and poplar plywood. Cienc. Y Tecnol. 2017, 19, 195–202. [Google Scholar] [CrossRef]
  32. Xie, L.; Tang, Z.; Jiang, L.; Breedveld, V.; Hess, D.W. Creation of superhydrophobic wood surfaces by plasma etching and thin-film deposition. Surf. Coatings Technol. 2015, 281, 125–132. [Google Scholar] [CrossRef]
  33. Aydin, I.; Demirkir, C. Activation of Spruce Wood Surfaces by Plasma Treatment After Long Terms of Natural Surface Inactivation. Plasma Chem. Plasma Process. 2010, 30, 697–706. [Google Scholar] [CrossRef]
  34. Žigon, J.; Kovač, J.; Zaplotnik, R.; Saražin, J.; Šernek, M.; Petrič, M.; Dahle, S. Enhancement of strength of adhesive bond between wood and metal using atmospheric plasma treatment. Cellulose 2020, 27, 6411–6424. [Google Scholar] [CrossRef]
  35. De Meijer, M. A review of interfacial aspects in wood coatings: Wetting, surface energy, substrate penetration and adhesion. In Proceedings of the COST E18 Final Seminar, Paris, France, 26–27 April 2004; Volume 14, pp. 26–27. [Google Scholar]
  36. Yona, A.M.C.; Žigon, J.; Dahle, S.; Petrič, M. Study of the Adhesion of Silicate-Based Coating Formulations on a Wood Substrate. Coatings 2021, 11, 61. [Google Scholar] [CrossRef]
Publisher’s Note: MDPI stays neutral with regard to jurisdictional claims in published maps and institutional affiliations.

Article Metrics

Citations

Article Access Statistics

Multiple requests from the same IP address are counted as one view.