Electrochromic and Electrochemical Properties of Co3O4 Nanosheets Prepared by Hydrothermal Method
Abstract
1. Introduction
2. Materials and Methods
2.1. Preparation of Co3O4 Nanosheets
2.2. Material Characterization
2.3. Electrochemical Performance Test and Preparation and Characterization of the Supercapacitor Devices
2.4. Electrochromic Performance Testing
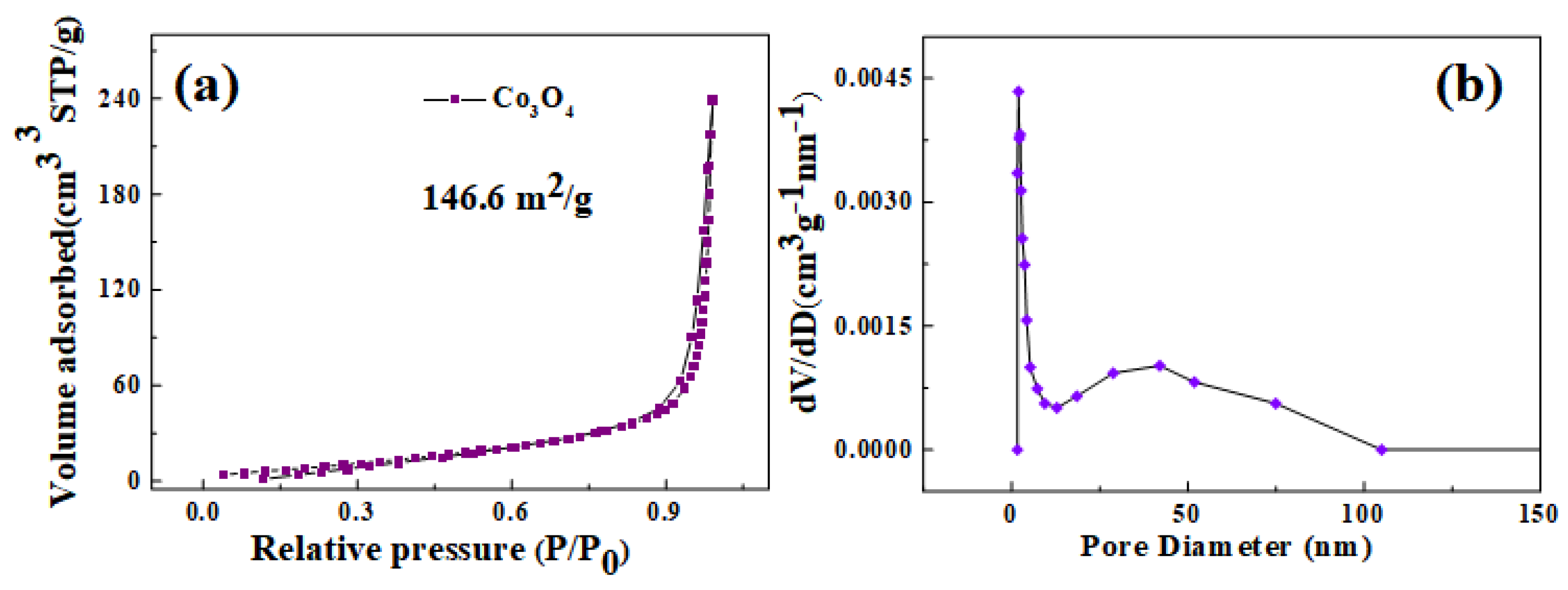
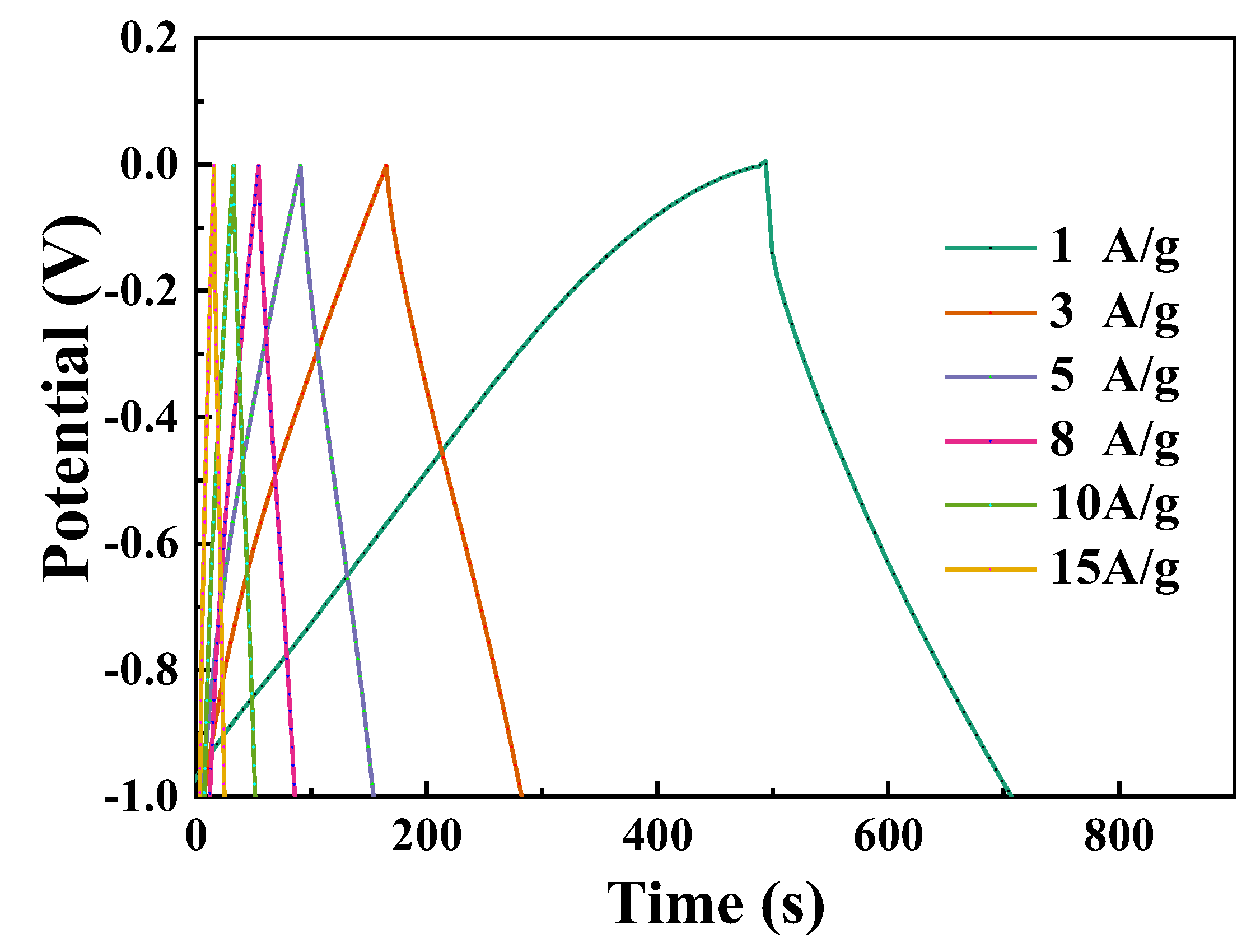
3. Results and Discussion
4. Conclusions
Author Contributions
Funding
Institutional Review Board Statement
Informed Consent Statement
Data Availability Statement
Conflicts of Interest
References
- Muhammad, A.; Jatoi, A.S.; Mazari, S.A.; Abro, R.; Mubarak, N.M.; Ahmed, S.; Wahocho, S.A. Recent advances and developments in advanced green porous nanomaterial for sustainable energy storage application. J. Porous Mater. 2021, 28, 1945–1960. [Google Scholar] [CrossRef]
- Lv, J.; Chen, J.; Lee, P.S. Sustainable wearable energy storage devices self-charged by human-body bioenergy. SusMat 2021, 1, 285–302. [Google Scholar] [CrossRef]
- Zhou, Y.; Qi, H.; Yang, J.; Bo, Z.; Huang, F.; Islam, M.S.; Han, Z. Two-birds-one-stone: Multifunctional supercapacitors beyond traditional energy storage. Energy Environ. Sci. 2021, 14, 1854–1896. [Google Scholar] [CrossRef]
- Guo, C.; Wang, H.; Liu, Y.; Zhang, Y.; Cui, S.; Guo, Z.; Ma, C. One-Dimensional/Two-Dimensional Homo-Orientation Co3O4/NiCo2O4 Nanoarray toward Ultrastable Hybrid Supercapacitor. Energy Fuel 2021, 35, 4524–4532. [Google Scholar] [CrossRef]
- Yan, H.; Bai, J.; Liao, M.; He, Y.; Liu, Q.; Liu, J.; Wang, J. One-Step Synthesis of Co3O4/Graphene Aerogels and Their All-Solid-State Asymmetric Supercapacitor. Eur. J. Inorg. Chem. 2017, 2017, 1143–1152. [Google Scholar] [CrossRef]
- Hu, X.; Wei, L.; Chen, R.; Wu, Q.; Li, J. Reviews and Prospectives of Co3O4-Based Nanomaterials for Supercapacitor Application. ChemistrySelect 2020, 5, 5268–5288. [Google Scholar] [CrossRef]
- Zhou, Y.; Wang, Y.; Wang, J.; Lin, L.; Wu, X.; He, D. Controlled synthesis and characterization of hybrid Sn-doped Co3O4 nanowires for supercapacitors. Mater. Lett. 2018, 216, 248–251. [Google Scholar] [CrossRef]
- Wang, N.; Liu, Q.; Kang, D. Facile self-cross-Linking cynthesis of 3D nanoporous Co3O4/carbon hybrid elec⁃trode materials for supercapacitors. ACS Appl. Mater. Inter. 2016, 8, 16035–16044. [Google Scholar] [CrossRef]
- Wang, H.; Zhang, L.; Tan, X.; Holt, C.M.; Zahiri, B.; Olsen, B.C.; Mitlin, D. Supercapacitive properties of hydrothermally synthesized Co3O4 nanostructures. J. Phys. Chem. C 2011, 115, 17599–17605. [Google Scholar] [CrossRef]
- Al-Jahdaly, B.A.; Abu-Rayyan, A.; Taher, M.M.; Shoueir, K. Phytosynthesis of Co3O4 Nanoparticles as the High Energy Storage Material of an Activated Carbon/Co3O4 Symmetric Supercapacitor Device with Excellent Cyclic Stability Based on a Na2SO4 Aqueous Electrolyte. ACS Omega 2022, 7, 23673–23684. [Google Scholar] [CrossRef]
- Wang, L.; Song, X.C.; Zheng, Y.F. Electrochromic properties of nanoporous Co3O4 thin films prepared by electrodeposition method. Micro Nano Lett. 2012, 7, 1026–1029. [Google Scholar] [CrossRef]
- Venkatesh, R.; Dhas, C.R.; Sivakumar, R.; Dhandayuthapani, T.; Sudhagar, P.; Sanjeeviraja, C.; Raj, A.M.E. Analysis of optical dispersion parameters and electrochromic properties of manganese-doped Co3O4 dendrite structured thin films. J. Phys. Chem. Solids 2018, 122, 118–129. [Google Scholar] [CrossRef]
- Dhas, C.R.; Venkatesh, R.; Sivakumar, R.; Dhandayuthapani, T.; Subramanian, B.; Sanjeeviraja, C.; Raj, A.M.E. Electrochromic performance of chromium-doped Co3O4 nanocrystalline thin films prepared by nebulizer spray technique. J. Alloys Compd. 2019, 784, 49–59. [Google Scholar] [CrossRef]
- Wang, J.; Wang, G.; Wang, S.; Hao, J.; Liu, B. Preparation of ZnCo2O4 Nanosheets Coated on evenly arranged and fully separated Nanowires with high capacitive and photocatalytic properties by a One-Step Low-Temperature Water bath method. ChemistrySelect 2022, 7, e202200472. [Google Scholar] [CrossRef]
- Wang, K.; Zhao, C.G.; Min, S.D.; Qian, X.Z. Facile Synthesis of Cu2O/RGO/Ni(OH)2 Nanocomposite and Its Double Synergistic Effect on Supercapacitor Performance. Electrochim. Acta 2015, 165, 314–322. [Google Scholar] [CrossRef]
- Yuan, C.; Li, M.; Wang, M.; Dan, Y.; Lin, T.; Cao, H.; Yang, H. Electrochemical development and enhancement of latent fingerprints on stainless steel via electrochromic effect of electrodeposited Co3O4 films. Electrochim. Acta 2021, 370, 137771. [Google Scholar] [CrossRef]
- Xia, X.H.; Tu, J.P.; Zhang, Y.Q.; Mai, Y.J.; Wang, X.L.; Gu, C.D.; Zhao, X.B. Freestanding Co3O4 nanowire array for high performance supercapacitors. Rsc. Adv. 2012, 2, 1835–1841. [Google Scholar] [CrossRef]
- Zhang, Y.; Cai, W.; Guo, Y.; Wang, Y. Self-supported Co-Ni-S@ CoNi-LDH electrode with a nanosheet-assembled core-shell structure for a high-performance supercapacitor. J. Alloys Compd. 2022, 908, 164635. [Google Scholar] [CrossRef]
- Raj, C.J.; Manikandan, R.; Sivakumar, P.; Opar, D.O.; Savariraj, A.D.; Cho, W.J.; Kim, B.C. Origin of capacitance decay for a flower-like δ-MnO2 aqueous supercapacitor electrode: The quantitative surface and electrochemical analysis. J. Alloys Compd. 2022, 892, 162199. [Google Scholar] [CrossRef]
- Tian, Y.; Zhu, L.; Han, E.; Shang, M.; Song, M. Effect of templating agent on Ni, Co, Al-based layered double hydroxides for high-performance asymmetric supercapacitors. Ionics 2020, 26, 367–381. [Google Scholar] [CrossRef]
- Meher, S.K.; Rao, G.R. Ultralayered Co3O4 for high-performance supercapacitor applications. J. Phys. Chem. C 2011, 115, 15646–15654. [Google Scholar] [CrossRef]
- Chang, L.; Zhu, S.S.; Zhang, Y.J. Fabrication of supercapacitors using CO3O4/g-C3N4 nanomaterials and their electrochemical properties. Mod. Chem. 2021, 41, 107–111. [Google Scholar] [CrossRef]
- Xu, J.; Gao, L.; Cao, J.; Wang, W.; Chen, Z. Preparation and electrochemical capacitance of cobalt oxide (Co3O4) nanotubes as supercapacitor material. Electrochim. Acta 2010, 56, 732–736. [Google Scholar] [CrossRef]
- Gao, M.; Wang, W.K.; Rong, Q.; Jiang, J.; Zhang, Y.J.; Yu, H.Q. Porous ZnO-coated Co3O4 nanorod as a high-energy-density supercapacitor material. ACS Appl. Mater. Inter. 2018, 10, 23163–23173. [Google Scholar] [CrossRef]
- Wang, X.; Xia, H.; Wang, X.; Gao, J.; Shi, B.; Fang, Y. Facile synthesis ultrathin mesoporous Co3O4 nanosheets for high-energy asymmetric supercapacitor. J. Alloys Compd. 2016, 686, 969–975. [Google Scholar] [CrossRef]
- Zhou, F.Y.; Liu, Q.L.; Gu, J.J.; Zhang, W.; Zhang, D. A facile low-temperature synthesis of highly distributed and size-tunable cobalt oxide nanoparticles anchored on activated carbon for supercapacitors. J. Power Source 2015, 273, 945–953. [Google Scholar] [CrossRef]
- Ramesh, S.; Haldorai, Y.; Sivasamy, A.; Kim, H.S. Nanostructured Co3O4/nitrogen doped carbon nanotube composites for high-performance supercapacitors. Mater. Lett. 2017, 206, 39–43. [Google Scholar] [CrossRef]
- Wei, H.; Guo, X.; Wang, Y.; Zhou, Z.; Lv, H.; Zhao, Y.; Chen, Z. Inherently porous Co3O4@NiO core–shell hierarchical material for excellent electrochemical performance of supercapacitors. Appl. Surf. Sci. 2022, 574, 151487. [Google Scholar] [CrossRef]
- Zhang, J.; Lin, J.; Wu, J.; Xu, R.; Lai, M.; Gong, C.; Chen, X.; Zhou, P. Excellent Electrochemical Performance Hierarchical Co3O4@Ni3S2 core/shell nanowire arrays for Asymmetric Supercapacitors. Electrochim. Acta 2016, 207, 87–96. [Google Scholar] [CrossRef]
- Chen, X.B.; Liu, X.; Liu, Y.X.; Zhu, Y.M.; Zhuang, G.C.; Zheng, W.; Cai, Z.Y.; Yang, P.Z. Advanced binder-free electrodes based on CoMn2O4@Co3O4 core/shell nanostructures for high-performance supercapacitors. RSC Adv. 2018, 8, 31594–31602. [Google Scholar] [CrossRef]
- Zhu, J.; Song, D.; Pu, T.; Li, J.; Huang, B.; Wang, W.; Chen, L. Two-dimensional porous ZnCo2O4 thin sheets assembled by 3D nanoflake array with enhanced performance for aqueous asymmetric supercapacitor. Chem. Eng. J. 2018, 336, 679–689. [Google Scholar] [CrossRef]
- Moosavifard, S.E.; El-Kady, M.F.; Rahmanifar, M.S.; Kaner, R.B.; Mousavi, M.F. Designing 3D highly ordered nanoporous CuO electrodes for high-performance asymmetric supercapacitors. ACS Appl. Mater. Inter. 2015, 7, 4851–4860. [Google Scholar] [CrossRef] [PubMed]
- Chen, S.; Yang, Y.; Zhan, Z.; Xie, J.; Xiong, J. Designed construction of hierarchical NiCo2S4@polypyrrole core–shell nanosheet arrays as electrode materials for high-performance hybrid supercapacitors. RSC Adv. 2017, 7, 18447–18455. [Google Scholar] [CrossRef]
- Bandyopadhyay, P.; Saeed, G.; Kim, N.H.; Lee, J.H. Zinc-nickel-cobalt oxide@ NiMoO4 core-shell nanowire/nanosheet arrays for solid state asymmetric supercapacitors. Chem. Eng. J. 2020, 384, 123357. [Google Scholar] [CrossRef]








| Materials | Current Density [A/g] | Capacitance [F/g] | Number of Cycles | Retention [%] | Ref. |
|---|---|---|---|---|---|
| Co3O4 | 8 | 548 | 2000 | 98.5% | [21] |
| Co3O4/g-C3N4 | 1 | 1071 | 1000 | 95.5% | [22] |
| Co3O4 | 0.1 | 574 | 1000 | 95% | [23] |
| ZnO/Co3O4 | 1 | 1135 | 5000 | 83% | [24] |
| Co3O4 | 1 | 610 | 3000 | 94.5% | [25] |
| Co3O4/AC | 0.1 | 491 | 5000 | 89% | [26] |
| Co3O4/CNT | 2 | 406 | 10,000 | 93% | [27] |
| Co3O4@NiO-1 | 1 | 692.8 | 2500 | 90.88% | [28] |
| Co3O4@Ni3S2 | 1 | 1710 | 5000 | 83.5% | [29] |
| CoMn2O4@Co3O4 | 1 | 1627 | 5000 | 89.2% | [30] |
| Co3O4 | 1 | 1850 | 5000 | 99.6% | This paper |
Publisher’s Note: MDPI stays neutral with regard to jurisdictional claims in published maps and institutional affiliations. |
© 2022 by the authors. Licensee MDPI, Basel, Switzerland. This article is an open access article distributed under the terms and conditions of the Creative Commons Attribution (CC BY) license (https://creativecommons.org/licenses/by/4.0/).
Share and Cite
Yue, X.; Wang, G.; Wang, J.; Fan, L.; Hao, J.; Wang, S.; Yang, M.; Liu, Y. Electrochromic and Electrochemical Properties of Co3O4 Nanosheets Prepared by Hydrothermal Method. Coatings 2022, 12, 1682. https://doi.org/10.3390/coatings12111682
Yue X, Wang G, Wang J, Fan L, Hao J, Wang S, Yang M, Liu Y. Electrochromic and Electrochemical Properties of Co3O4 Nanosheets Prepared by Hydrothermal Method. Coatings. 2022; 12(11):1682. https://doi.org/10.3390/coatings12111682
Chicago/Turabian StyleYue, Xinrui, Gang Wang, Jing Wang, Licai Fan, Jian Hao, Shen Wang, Mingli Yang, and Yang Liu. 2022. "Electrochromic and Electrochemical Properties of Co3O4 Nanosheets Prepared by Hydrothermal Method" Coatings 12, no. 11: 1682. https://doi.org/10.3390/coatings12111682
APA StyleYue, X., Wang, G., Wang, J., Fan, L., Hao, J., Wang, S., Yang, M., & Liu, Y. (2022). Electrochromic and Electrochemical Properties of Co3O4 Nanosheets Prepared by Hydrothermal Method. Coatings, 12(11), 1682. https://doi.org/10.3390/coatings12111682
