Nonlinear Numerical Analysis and Restoring force Model of Composite Joints with Steel Reinforced Recycled Concrete Columns and Steel Beams
Abstract
1. Introduction
2. Axial Compression Tests of the Composite Joints
2.1. Research Significance
2.2. Design and Production of Specimens
2.3. Failure Modes of Specimens
2.4. Comparison with Previous Studies
- (1)
- The failure modes of the joints in the reinforced steel recycled concrete frame are similar to those of the ordinary reinforced steel concrete frame, both of which are shear failure in the core area of the joints, and the shear deformation in the core area is significant [17].
- (2)
- The failure modes of the specimens under repeated cyclic loads were the same, and obvious “X”-shaped cross-oblique cracks were formed along the diagonal. The failure modes are shear baroclinic failure, flexural shear failure and bending failure. However, due to the different structures of the specimens, the results can only serve as a reference [18].
- (3)
- The hysteretic curves of the joints of the recycled steel concrete frame are roughly spindle-shaped, which are similar to the hysteretic curves obtained in the references, and the mechanical properties are in line with the mechanical properties of the steel frame and reinforced concrete frame [19].
3. Model Descriptions of the Composite Joints
3.1. Constitutive Models of the Materials in the Joints
3.2. Definition of Concrete Damage
3.3. Interaction between the Materials
3.4. Description of Mesh and Elements
3.5. Axial Loading Method and Boundary Conditions
4. Verification of FE Model on the Composite Joints
4.1. Comparative Analysis of Experimental Results and Simulation Results
4.2. Comparison of the Characteristic Values of the Composite Joints
4.3. Deformation and Stress Characteristics
5. Parametric Analysis of FE on the Composite Joints
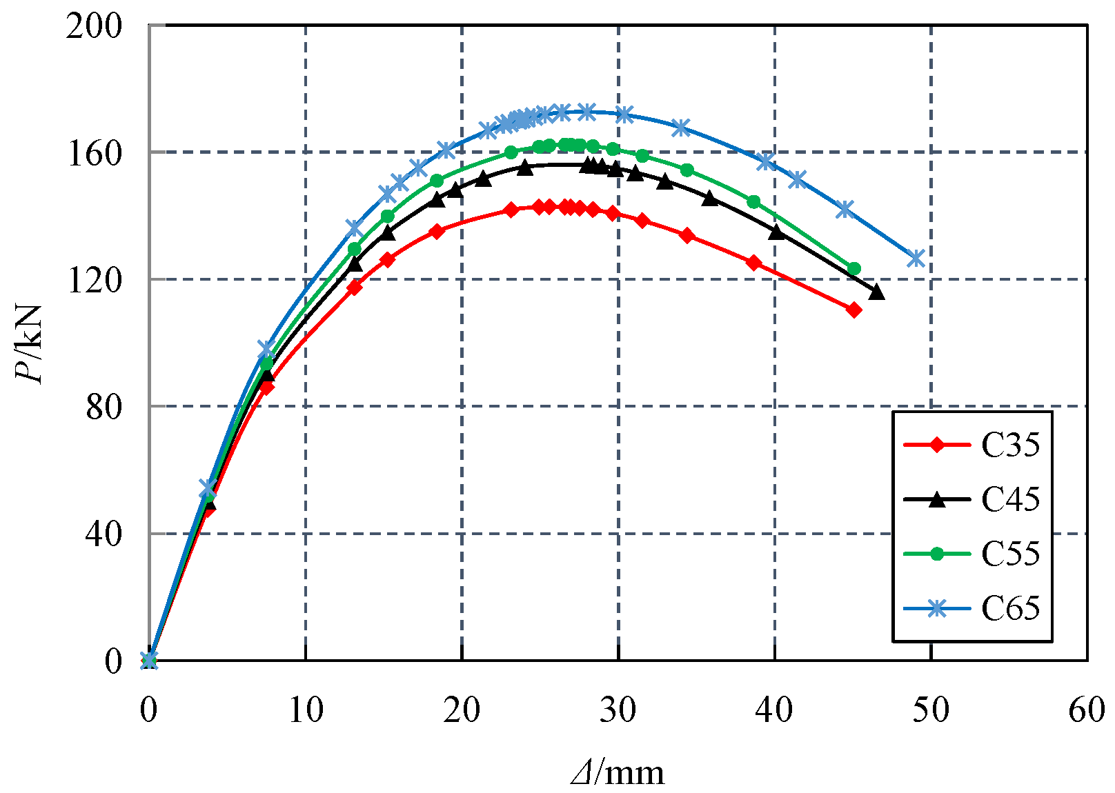
5.1. RAC Strength
5.2. Yield Strength of Steel
5.3. Thickness of Column Steel Web
6. Restoring Force Model of Composite Joints
6.1. Establishing Method
- (1)
- Assume that the elastic limit point of the specimen coincides with the cracking point of the composite joints;
- (2)
- Before the cracking point, the unloading stiffness and loading stiffness of the composite joints were the same, and after the elastic section, the stiffness decreased with the increase of displacement;
- (3)
- The skeleton curve adopted elastic stage, crack working stage, yield strengthening stage and failure stage four-fold line model.
6.2. Establishment of Skeleton Curve Model
6.3. Stiffness Degradation Rule
- (1)
- The restoring force model was obtained by combining the main feature points (cracking point, yield point, peak point and limit point) of the test skeleton curve and by dimensionless processing and fitting of the test data. The coordinates were dimensionless coordinates.
- (2)
- The skeleton curve of the restoring force model was divided into four stages. In the figure, OA and OA′ were elastic sections under positive and negative loading, respectively, AB and A′B′ were working sections with cracks under positive and negative loading, respectively and BC and B′C′ were yield strengthening sections under positive and negative loading, respectively, while CD and C′D′ were failure sections under positive and negative loading, respectively.
- (3)
- When the specimen is loaded and unloaded in the elastic segment (OA and OA′), the unloading stiffness was the elastic stiffness of the specimen. When the specimen was loaded to the elastic segment (AD and A′D′), the unloading stiffness gradually degrades.
6.4. Validation of Restoring Force Model
7. Results of the Study
7.1. Conclusions
- (1)
- The finite element calculation results are in good agreement with the experimental results, which shows that the simulation method in this paper has good rationality and applicability. The modeling method can provide a reference for the numerical analysis of these kind of joints.
- (2)
- With the increase of RAC strength, the horizontal bearing capacity of the composite joints increases significantly, but the stiffness of the elastic section increases slightly, and the RAC strength has little effect on the deformation capacity of composite joints.
- (3)
- The increase of steel yield strength has no obvious effect on the horizontal bearing capacity and ductility of the composite joints.
- (4)
- The increase of the thickness of column steel web can improve the horizontal bearing capacity of composite joints, and reasonable thickness can improve the seismic ductility of the composite joints.
- (5)
- By fitting the experimental data of eight composite joints, a hysteretic curve restoring force model of composite joints under repeated load was proposed. The hysteretic characteristics of the composite joints under low cyclic loading can be well reflected by restoring the force model curve.
7.2. Recommendations
- (1)
- The influence of the bond slip between the steel and concrete, the friction coefficient value and how to extend the restoring force model proposed for other typologies of composite joints should be investigated systematically and deeply in future work.
- (2)
- The proposed nodal restoring force model in the combined framework is mainly proposed based on the test results. Although the model curve is in good agreement with the test curve, the number of specimens is small and has not been verified by numerical simulation, which needs to be further studied and modified.
- (3)
- The composite joints of the reclaimed steel reinforced concrete column and steel beam studied in this paper are planar joints with a strong axis direction, and the subsequent mechanical properties of the composite frame joints in the form of spatial joints need to be studied.
- (4)
- At present, there is a certain basis for the research on the mechanical properties of recycled concrete and related components, but the research content on the durability of recycled concrete is scant, and should be further studied in the future.
Author Contributions
Funding
Institutional Review Board Statement
Informed Consent Statement
Data Availability Statement
Conflicts of Interest
Abbreviations
| SRRC | Steel Reinforced Recycled Concrete |
| RAC | Recycled Aggregate Concrete |
| FE | Finite Element |
| RCA | Recycled Coarse Aggregate |
| List of Symbols | |
| r | RCA replacement percentage |
| n | Axial compression ratio |
| ρa | Profile steel ratio |
| σi | Equivalent stress of steel |
| fs | Yield strength of steel |
| fy | Yield strength of steel |
| Es | Elastic modulus of steel |
| Et | Tangent modulus of steel |
| ζ | Profile steel index |
| εi | Equivalent strain of steel |
| εy | Strain of steel at yield |
| εu | Strain at the limit of steel |
| σs | Stress of steel |
| ε0 | Peak strain |
| εcc | Peak strain |
| fcp | Peak stress of concrete in the weak constraint area |
| εcp | Peak strain of concrete in the weak constraint area |
| fch | Peak stress of strong constraint concrete |
| εch | Peak strain of strong constraint concrete |
| σ1, σ2, σ3 | Three principal stresses |
| dc | Damage factor |
References
- Xue, J.; Zhai, L.; Bao, Y.; Ren, R.; Zhang, X. Cyclic loading tests and shear strength of steel reinforced recycled concrete beam–column inner joints. Struct. Des. Tall Spec. Build. 2018, 27, e1454. [Google Scholar] [CrossRef]
- Pan, Z.; Zheng, W.; Xiao, J.; Chen, Z.; Chen, Y.; Xu, J. Shear behavior of steel reinforced recycled aggregate concrete beams after exposure to elevated temperatures. J. Build. Eng. 2022, 48, 103953. [Google Scholar] [CrossRef]
- Dong, H.; Li, Y.; Cao, W.; Guo, Y. Seismic behavior of full-scale steel reinforced recycled concrete columns under high axial compression ratio. Structures 2021, 29, 1882–1897. [Google Scholar] [CrossRef]
- Dong, J.; Ma, H.; Zou, C.; Liu, Y.; Huang, C. Finite element analysis and axial bearing capacity of steel reinforced recycled concrete filled square steel tube columns. Struct. Eng. Mech. 2019, 72, 43–60. [Google Scholar]
- Ma, H.; Jia, C.; Xi, J.; Dong, J.; Zhang, X.; Zha, Y. Cyclic loading test and nonlinear analysis on composite frame consisting of steel reinforced recycled concrete columns and steel beams. Eng. Struct. 2021, 241, 112480. [Google Scholar] [CrossRef]
- Liu, Z.; Xue, J.; Qi, L.; Gao, L. Experimental study on seismic performance of steel–reinforced recycled concrete frame with infill wall. Struct. Des. Tall Spec. Build. 2020, 29, e1744. [Google Scholar] [CrossRef]
- Ke, X.; Yang, C.; Su, Y.; Jun, L. Experimental study on eccentric compressive performance of embedded steel tube confined reinforced recycle concrete composite columns. J. Basic Sci. Eng. 2020, 28, 354–365. [Google Scholar]
- Nassiraei, H.; Rezadoost, P. Static capacity of tubular X-joints reinforced with fiber reinforced polymer subjected to compressive load. Eng. Struct. 2021, 236, 112041. [Google Scholar] [CrossRef]
- Xue, J.; Li, H.; Ren, R.; Zhang, X. The bond behavior of steel reinforced recycled concrete under cyclic reversed load. Eng. Struct. 2021, 248, 113238. [Google Scholar] [CrossRef]
- Toshikazu, T.; Sozen, M.A.; Nielsen, N.N. Reinforced Concrete Response to Simulated Earthquakes. J. Struct. Div. 1970, 96, 2557–2572. [Google Scholar]
- Nassiraei, H.; Rezadoost, P. Stress concentration factors in tubular T/Y-joints strengthened with FRP subjected to compressive load in offshore structures. Int. J. Fatigue 2020, 140, 105719. [Google Scholar] [CrossRef]
- Valente, M.; Castiglioni, C.A.; Kanyilmaz, A. Welded fuses for dissipative beam-to-column connections of composite steel frames: Numerical analyses. J. Constr. Steel Res. 2017, 128, 498–511. [Google Scholar] [CrossRef]
- Xue, J.; Yang, Y.; Qi, L. Restoring force model of steel-reinforced recycled concrete frames infilled with recycled concrete blocks. J. Build. Eng. 2022, 60, 105173. [Google Scholar] [CrossRef]
- Bai, G.; Han, Y.; Liu, C. Resilience model test of recycled concrete beam-column joints. Ind. Build. 2016, 46, 42–46 + 62. (In Chinese) [Google Scholar]
- Ma, H.; Dong, J.; Liu, Y.; Yang, D. Cyclic loading tests and shear strength of composite joints with steel-reinforced recycled concrete columns and steel beams. Eng. Struct. 2019, 199, 109605. [Google Scholar] [CrossRef]
- Vymazal, T.; Hrabová, K.; Teplý, B.; Kocáb, D. Sustainability quantification of concrete with recycled aggregate. AIP Conf. Proc. 2020, 2210, 020018. [Google Scholar]
- Ma, H.; Gan, X.; Xi, J.; Dong, J.; Zhang, P.; Zhao, Y. Pseudo Static Test research on Seismic Behavior of Steel reinforced recycled Concrete Columns-steel Beams Combination Fram. J. Basic Sci. Eng. 2022, 30, 603–617. [Google Scholar]
- Xue, J.; Ma, H.; Liu, Y. Experimental study on seismic performance of steel reinforced recycled concrete columns under low-cyclic reversed loading. China Civ. Eng. J. 2014, 47, 36–46. (In Chinese) [Google Scholar]
- Xue, J.; Bao, Y.; Ren, R.; Wang, G. Experimental study on seismic performance of steel reinforced recycled concrete inner-frame joints under low-cyclic reversed loading. China Civ. Eng. J. 2014, 47, 1–8. (In Chinese) [Google Scholar]
- Vecchio, F.J. Towards Cyclic Load Modeling of Reinforced Concrete. Struct. J. 1999, 96, 193–202. [Google Scholar]
- Filippou, F.C.; Popov, E.P.; Bertero, V.V. Effects of Bond Deterioration on Hysteretic Behavior of Reinforced Concrete Joints; University of California, Berkeley: Berkeley, CA, USA, 1983. [Google Scholar]
- Wang, C.; Xu, H.; Zhang, J. An improved displacement based seismic design method of prestressed fabricated concrete frame. In Proceedings of the 2020 5th International Conference on Minerals Source, Geotechnology and Civil Engineering (MSGCE 2020), Hong Kong, China, 17–19 April 2020; pp. 360–374. [Google Scholar]
- Fang, Z.; Zhen, Y.; Li, X. Reinforcement hysteresis model for reinforced concrete structures. J. Wuhan Univ. (Eng. Ed.) 2018, 51, 613–619. (In Chinese) [Google Scholar]
- Fang, Z.; Zhou, H.; Lai, S.; Xie, Q. ABAQUS bond-slip element of reinforced concrete under cyclic loading. J. Wuhan Univ. (Eng. Ed.) 2014, 47, 527–531. (In Chinese) [Google Scholar]
- Mander, J.B.; Priestley, M.J.N.; Park, R. Theoretical Stress-Strain Model for Confined Concrete. J. Struct. Eng. 1988, 114, 1804–1826. [Google Scholar] [CrossRef]
- Mirza, S.A.; Skrabek, B.W. Statistical Analysis of Slender Composite Beam-Column Strength. J. Struct. Eng. 1992, 118, 1312–1332. [Google Scholar] [CrossRef]
- Thanh, C.; HoangLe, M.; Thanh, S. A nonlinear concrete damaged plasticity model for simulation reinforced concrete structures using ABAQUS. Fract. Struct. Integr. Int. J. Ital. Group Fract. 2022, 16, 232–242. [Google Scholar] [CrossRef]
- Zhang, J.; Wang, Q.; Hu, S.; Wang, C. Parameter verification of ABAQUS concrete damage plasticity model. Build. Struct. 2008, 8, 127–130. (In Chinese) [Google Scholar]
- Jean, L. A Continuous Damage Mechanics Model for Ductile Fracture. J. Eng. Mater. Technol. 1985, 107, 83–89. [Google Scholar]
- Huang, W.; Yang, T.; Chen, Y.; Ge, P.; Zhou, L. Study on Damage Constitutive Model of Recycled Aggregate Concrete in Code for Design of Concrete Structures and Development in ABAQUS. J. Phys. Conf. Ser. 2021, 1759, 012002. [Google Scholar]
- Jia, Z.-L.; Wang, W.-D.; Shi, Y.-L.; Xian, W. Performance of steel-reinforced concrete-filled square steel tubular members under sustained axial compression loading. Eng. Struct. 2022, 264, 114464. [Google Scholar] [CrossRef]
- Balaty, P.; Gjelsyilk, A. Coefficient of riction for steel on concrete at high normal stress. J. Mater. Civ. Eng. 1990, 2, 46–49. [Google Scholar] [CrossRef]
































| Design Parameter Level | Level 1 | Level 2 | Level 3 |
|---|---|---|---|
| RCA replacement percentage r/% | 0% | 50% | 100% |
| Axial compression ratio n | 0.18 | 0.36 | 0.54 |
| RAC Strength Grade | RCA Replacement Percentage r/(%) | Mass of Each Component in Concrete per Cubic Meter (kg) | |||||
|---|---|---|---|---|---|---|---|
| Water–Cement Ratio | Cement | Sand | NCA | RCA | Water | ||
| C40 | 0 | 0.43 | 464 | 585 | 1187 | 0 | 195 |
| 50% | 0.43 | 464 | 585 | 593.5 | 593.5 | 195 | |
| 100% | 0.43 | 464 | 585 | 0 | 1187 | 195 | |
| Specimen Number | RAC Strength Grade | RCA Replacement Percentage r (%) | Axial Compression Ratio n | Profile Steel Ratio ρa (%) | Joint Forms |
|---|---|---|---|---|---|
| CFJ1 | C40 | 0 | 0.36 | 4.8 | Interior joint |
| CFJ2 | C40 | 50 | 0.36 | 4.8 | Interior joint |
| CFJ3 | C40 | 100 | 0.36 | 4.8 | Interior joint |
| CFJ4 | C40 | 100 | 0.18 | 4.8 | Interior joint |
| CFJ5 | C40 | 100 | 0.54 | 4.8 | Interior joint |
| CFJ6 | C40 | 100 | 0.18 | 4.8 | Exterior joint |
| CFJ7 | C40 | 100 | 0.36 | 4.8 | Exterior joint |
| CFJ8 | C40 | 100 | 0.54 | 4.8 | Exterior joint |
| Specimen Number | Yield Load | Yield Displacement | Peak Load | Peak Displacement | Ultimate Load | Ultimate Displacement | |
|---|---|---|---|---|---|---|---|
| Py/kN | Δy/mm | Pm/kN | Δm/mm | Pu/kN | Δu/mm | ||
| CFJ1 | TEST | 131.15 | 13.37 | 170.34 | 27.04 | 144.77 | 44.66 |
| FEM | 128.21 | 11.54 | 160.86 | 26.53 | 141.98 | 44.89 | |
| δ/% | −2.24% | −13.69% | −5.57% | −1.89% | −1.93% | 0.52% | |
| CFJ2 | TEST | 121.65 | 12.79 | 162.14 | 28.67 | 137.42 | 41.32 |
| FEM | 137.51 | 12.98 | 159.74 | 28.94 | 144.22 | 43.64 | |
| δ/% | 13.04% | 1.49% | −1.48% | 0.94% | 4.95% | 5.61% | |
| CFJ3 | TEST | 113.67 | 12.94 | 153.19 | 27.28 | 130.21 | 40.51 |
| FEM | 103.27 | 12.89 | 145.19 | 31.87 | 136.06 | 39.68 | |
| δ/% | −9.15% | −0.39% | −5.22% | 16.83% | 4.49% | −2.05% | |
| CFJ4 | TEST | 91.83 | 12.98 | 144.68 | 32.42 | 123.14 | 49.88 |
| FEM | 94.82 | 12.15 | 150.64 | 35.08 | 116.86 | 50.51 | |
| δ/% | 3.26% | −6.39% | 4.12% | 8.20% | −5.10% | 1.26% | |
| CFJ5 | TEST | 108.76 | 12.25 | 168.93 | 25.05 | 143.59 | 34.94 |
| FEM | 115.38 | 13.74 | 158.64 | 28.63 | 140.53 | 37.52 | |
| δ/% | 6.09% | 12.16% | −6.09% | 14.29% | −2.13% | 7.38% | |
| CFJ6 | TEST | 88.76 | 14.08 | 128.68 | 31.83 | 109.38 | 50.16 |
| FEM | 90.82 | 14.32 | 135.56 | 33.61 | 120.85 | 49.82 | |
| δ/% | 2.32% | 1.70% | 5.35% | 5.59% | 10.49% | −0.68% | |
| CFJ7 | TEST | 95.56 | 14.21 | 141.03 | 31.78 | 119.88 | 43.33 |
| FEM | 90.66 | 13.15 | 140.16 | 35.71 | 115.26 | 44.17 | |
| δ/% | −5.13% | −7.46% | −0.62% | 12.37% | −3.85% | 1.94% | |
| CFJ8 | TEST | 108.06 | 13.39 | 150.85 | 27.45 | 128.22 | 35.01 |
| FEM | 110.86 | 11.53 | 150.36 | 22.02 | 127.68 | 37.59 | |
| δ/% | 2.59% | −13.89% | −0.32% | −19.78% | −0.42% | 7.37% | |
| RAC Strength | Yield Load | Yield Displacement | Peak Load | Peak Displacement | Ultimate Load | Ultimate Displacement |
|---|---|---|---|---|---|---|
| Py/kN | Δy/mm | Pm/kN | Δm/mm | Pu/kN | Δu/mm | |
| C35 | 117.39 | 13.12 | 142.85 | 25.59 | 110.35 | 45.08 |
| C45 | 124.98 | 14.13 | 156.16 | 28.04 | 116.18 | 46.53 |
| C55 | 129.55 | 13.98 | 162.36 | 26.59 | 123.38 | 45.08 |
| C65 | 136.08 | 14.87 | 172.67 | 27.99 | 126.67 | 49.06 |
| Yield Strength of Steel | Yield Load | Yield Displacement | Peak Load | Peak Displacement | Ultimate Load | Ultimate Displacement |
|---|---|---|---|---|---|---|
| Py/kN | Δy/mm | Pm/kN | Δm/mm | Pu/kN | Δu/mm | |
| Q235 | 120.04 | 13.12 | 143.71 | 25.32 | 109.06 | 43.63 |
| Q345 | 130.34 | 14.51 | 159.57 | 27.68 | 127.03 | 44.99 |
| Q390 | 130.74 | 13.98 | 162.41 | 27.12 | 125.21 | 48.11 |
| Q420 | 132.66 | 14.33 | 164.64 | 26.76 | 126.87 | 49.09 |
| Thickness d/mm | Yield Load | Yield Displacement | Peak Load | Peak Displacement | Ultimate Load | Ultimate Displacement |
|---|---|---|---|---|---|---|
| Py/kN | Δy/mm | Pm/kN | Δm/mm | Pu/kN | Δu/mm | |
| 4 | 117.39 | 13.12 | 149.14 | 24.37 | 100.33 | 43.34 |
| 6 | 124.98 | 14.13 | 156.79 | 28.04 | 118.04 | 46.53 |
| 8 | 129.55 | 13.98 | 164.11 | 24.03 | 117.39 | 44.74 |
| 10 | 136.08 | 14.87 | 171.41 | 25.66 | 127.45 | 47.59 |
| Line Segment | Regression Equation | Angle to Displacement Axis | Rigidity |
|---|---|---|---|
| OA | P/(+Pm) = 2.1151Δ/(+Δm) | 65° | 2.1151 |
| AB | P/(+Pm) = 0.9534Δ/(+Δm) + 0.2407 | 44° | 0.9534 |
| BC | P/(+Pm) = 0.465Δ/(+Δm) + 0.555 | 25° | 0.465 |
| CD | P/(+Pm) = −0.4409Δ/(+Δm) + 1.4745 | −24° | −0.4409 |
| OA′ | P/|−Pm| = 1.9697Δ/|−Δm| | 63° | 1.9697 |
| A′B′ | P/|−Pm| = 1.0582Δ/|−Δm|−0.2126 | 47° | 1.0582 |
| B′C′ | P/|−Pm| = 0.4369Δ/|−Δm|−0.5749 | 24° | 0.4369 |
| C′D′ | P/|−Pm| = −0.3568Δ/|−Δm|−1.3909 | −20° | −0.3568 |
| Line Segment | Regression Equation | Angle to Displacement Axis | Rigidity |
|---|---|---|---|
| OA | P/Pm = 1.7705Δ/Δm | 60 | 1.7705 |
| AB | P/Pm = 1.1003Δ/Δm + 0.1707 | 48 | 1.1003 |
| BC | P/Pm = 0.5188Δ/Δm + 0.5066 | 27 | 0.5188 |
| CD | P/(+Pm) = −0.4409Δ/(+Δm) + 1.4745 | −15 | −0.2675 |
| OA′ | P/|−Pm| = 1.9697Δ/|−Δm| | 59 | 1.6875 |
| A′B′ | P/|−Pm| = 1.0582Δ/|−Δm|−0.2126 | 51 | 1.2427 |
| B′C′ | P/|−Pm| = 0.4369Δ/|−Δm|−0.5749 | 20 | 0.3605 |
| C′D′ | P/|−Pm| = −0.3568Δ/|−Δm|−1.3909 | −24 | −0.4395 |
Publisher’s Note: MDPI stays neutral with regard to jurisdictional claims in published maps and institutional affiliations. |
© 2022 by the authors. Licensee MDPI, Basel, Switzerland. This article is an open access article distributed under the terms and conditions of the Creative Commons Attribution (CC BY) license (https://creativecommons.org/licenses/by/4.0/).
Share and Cite
Dong, J.; Shen, C.; Ma, H.; Liu, Y.; Cong, X. Nonlinear Numerical Analysis and Restoring force Model of Composite Joints with Steel Reinforced Recycled Concrete Columns and Steel Beams. Coatings 2022, 12, 1606. https://doi.org/10.3390/coatings12111606
Dong J, Shen C, Ma H, Liu Y, Cong X. Nonlinear Numerical Analysis and Restoring force Model of Composite Joints with Steel Reinforced Recycled Concrete Columns and Steel Beams. Coatings. 2022; 12(11):1606. https://doi.org/10.3390/coatings12111606
Chicago/Turabian StyleDong, Jing, Changling Shen, Hui Ma, Yunhe Liu, and Xiaoran Cong. 2022. "Nonlinear Numerical Analysis and Restoring force Model of Composite Joints with Steel Reinforced Recycled Concrete Columns and Steel Beams" Coatings 12, no. 11: 1606. https://doi.org/10.3390/coatings12111606
APA StyleDong, J., Shen, C., Ma, H., Liu, Y., & Cong, X. (2022). Nonlinear Numerical Analysis and Restoring force Model of Composite Joints with Steel Reinforced Recycled Concrete Columns and Steel Beams. Coatings, 12(11), 1606. https://doi.org/10.3390/coatings12111606
