Evaluation and Characterization of the Use of Industrial-Solid-Waste Curing Agent instead of Cement on Improved Alluvial Silt
Abstract
:1. Introduction
2. Materials and Methods
2.1. Test Materials
2.1.1. Industrial Solid Waste
2.1.2. Alluvial Silt
2.2. Test Methods
2.2.1. Mechanical Test
2.2.2. Durability Test
2.2.3. Microcosmic Characterization
2.2.4. In-Service Performance
2.3. Evaluation Schemes
2.3.1. Incorporation Proportion Design
2.3.2. Test Arrangement for Improved Soil
3. Analysis of Mechanical and Durability
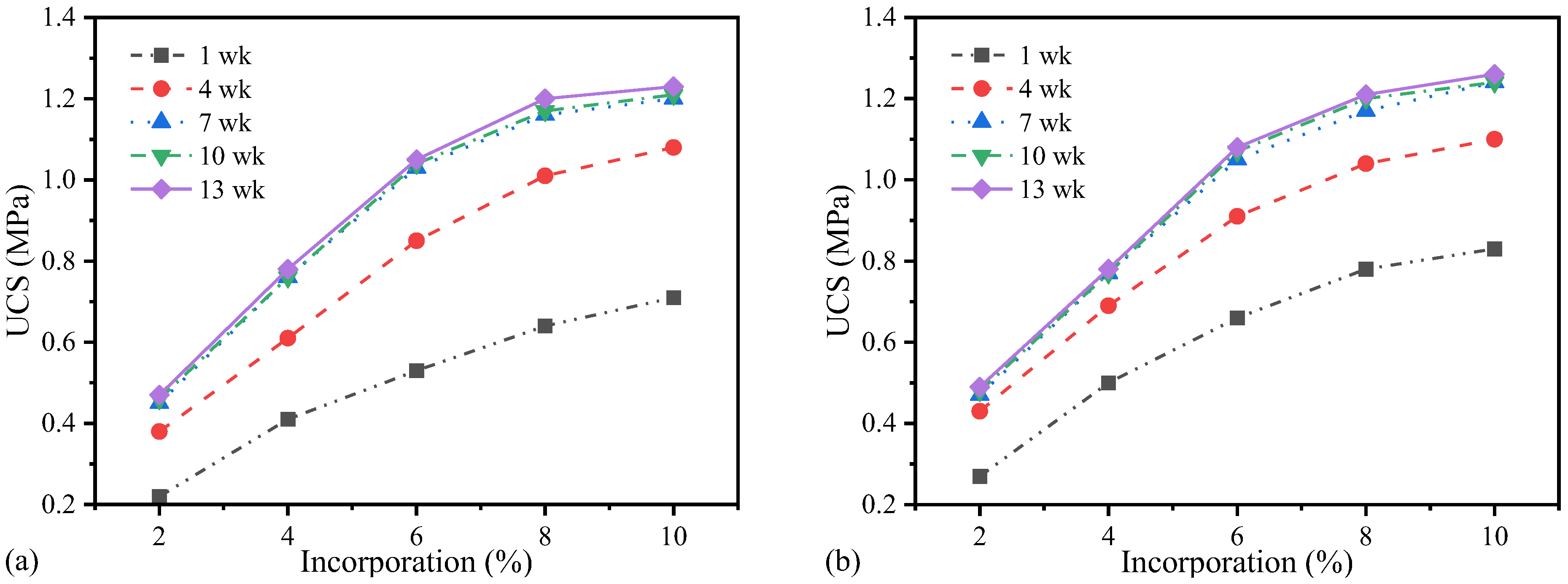
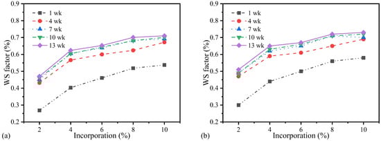
3.1. Mechanical Test Result and Analysis
3.2. Durability Test Result and Analysis
3.3. Statistical Analysis for ISW-Improved Silt
4. Discussion
4.1. Scanning Electron Microscope Analysis
4.2. X-ray Diffraction Analysis
5. Case Application and Study
5.1. Engineering Situation
5.2. In-Service Performance Analysis
5.3. Benefit and Environment Evaluation
6. Conclusions
- (i)
- The UCS, CBR, WS factor and WD factor of the two kinds of improved silt grow with the increase in incorporation and curing age. ISW-improved silt can present good mechanical property and durability, but much weaker than cement-improved silt in the early curing stage. The selected models of variance and regression are highly significant and well fitted; the correlation between factors and responses is established with good agreement.
- (ii)
- Synergisms in the ISW curing agent are stimulated in the alkaline environment; the interlaced growth in Aft with C-S-H fills the pores between silt particles leads the tighter connection for silt particles. The dicalcium silicate gradually participates in the reaction with curing age and leads the strength-enhancement amplitude of ISW-improved silt between curing ages of 7 days to 28 days to be larger than that of cement-improved silt.
- (iii)
- The in-service performance of ISW-improved silt has little difference with that of cement-improved silt; both of them meet the requirements from the aspect of in-situ application. The unit cost of the ISW curing agent is less than 1/5 that of cement. A total of 6% incorporation of the ISW curing agent is recommended for the ideal in-service performance and economy. The ISW-improved silt saves a lot of construction cost, and effectively and legitimately utilizes ISW resources. It has extremely important environmental and social significance.
Author Contributions
Funding
Institutional Review Board Statement
Informed Consent Statement
Data Availability Statement
Acknowledgments
Conflicts of Interest
References
- Liu, Y.; Liu, J.; Xia, X.; Bi, H.; Huang, H.; Ding, R.; Zhao, L. Land subsidence of the Yellow River Delta in China driven by river sediment compaction. Sci. Total Environ. 2020, 750, 142165. [Google Scholar] [CrossRef] [PubMed]
- Zhang, Y.; Feng, X.; Ding, C.; Liu, Y.; Liu, T. Study of cone penetration rate effects in the Yellow River Delta silty soils with different clay contents and state parameters. Ocean Eng. 2022, 250, 110982. [Google Scholar] [CrossRef]
- Zhang, H.; Sun, Y.; Zhang, W.; Song, Z.; Ding, Z.; Zhang, X. Comprehensive evaluation of the eco-environmental vulnerability in the Yellow River Delta wetland. Ecol. Indic. 2021, 125, 107514. [Google Scholar] [CrossRef]
- Yao, Z.; Jiang, H.; Sun, M.; Yang, C.; Bao, J.; Cao, R. Analysis of equilibrium density state of highway subgrade with fine soils, China. J. Highw. Transp. 2020, 33, 94–103. [Google Scholar] [CrossRef]
- Li, K.; Li, Q.; Geng, Y.; Liu, C. An evaluation of the effects of microstructural characteristics and frost heave on the remediation of saline-alkali soils in the Yellow River Delta, China. Land Degrad. Dev. 2021, 32, 1325–1337. [Google Scholar] [CrossRef]
- Hao, J.; Cui, X.; Qi, H.; Zheng, Y.; Bao, Z. Dynamic behavior of thawed saturated saline silt subjected to freeze-thaw cycles. Cold Reg. Sci. Technol. 2022, 194, 103464. [Google Scholar] [CrossRef]
- Yao, Y.-P.; Wang, L. Double pot cover effect in unsaturated soils. Acta Geotech. 2019, 14, 1037–1047. [Google Scholar] [CrossRef]
- Zhang, S.; Teng, J.; He, Z.; Liu, Y.; Liang, S.; Yao, Y.; Sheng, D. Canopy effect caused by vapour transfer in covered freezing soils. Géotechnique 2016, 66, 927–940. [Google Scholar] [CrossRef]
- Zhang, J.; Hu, T.; Gan, X. Correlation analysis between subgrade performance and pavement disease during operation period. J. China Foreign Highw. 2013, 33, 12–14. [Google Scholar] [CrossRef]
- Lu, Y.; Liu, S.; Zhang, Y.; Li, Z.; Xu, L. Freeze-thaw performance of a cement-treated expansive soil. Cold Reg. Sci. Technol. 2020, 170, 102926. [Google Scholar] [CrossRef]
- Nguyen, T.T.H.; Cui, Y.-J.; Ferber, V.; Herrier, G.; Ozturk, T.; Plier, F.; Puiatti, D.; Salager, S.; Tang, A.M. Effect of freeze-thaw cycles on mechanical strength of lime-treated fine-grained soils. Transp. Geotech. 2019, 21, 100281. [Google Scholar] [CrossRef]
- Tao, Z.; Zhang, Y.; Chen, X.; Gu, X. Effects of freeze-thaw cycles on the mechanical properties of cement-fiber composite treated silty clay. Constr. Build. Mater. 2022, 316, 125867. [Google Scholar] [CrossRef]
- Bozbey, I.; Kelesoglu, M.K.; Demir, B.; Komut, M.; Comez, S.; Ozturk, T.; Mert, A.; Ocal, K.; Oztoprak, S. Effects of soil pulverization level on resilient modulus and freeze and thaw resistance of a lime stabilized clay. Cold Reg. Sci. Technol. 2018, 151, 323–334. [Google Scholar] [CrossRef]
- Wang, S.; Xue, Q.; Zhu, Y.; Li, G.; Wu, Z.; Zhao, K. Experimental study on material ratio and strength performance of geopolymer-improved soil. Constr. Build. Mater. 2021, 267, 120469. [Google Scholar] [CrossRef]
- Ding, L.-Q.; Vanapalli, S.K.; Zou, W.-L.; Han, Z.; Wang, X.-Q. Freeze-thaw and wetting-drying effects on the hydromechanical behavior of a stabilized expansive soil. Constr. Build. Mater. 2021, 275, 122162. [Google Scholar] [CrossRef]
- Prakash, K.G.; Krishnamoorthy, A. Stability of Embankment Constructed on Soft Soil Treated with Soil–Cement Columns. Transp. Infrastruct. Geotechnol. 2022. [Google Scholar] [CrossRef]
- Bian, X.; Wang, Z.-F.; Ding, G.-Q.; Cao, Y.-P. Compressibility of cemented dredged clay at high water content with super-absorbent polymer. Eng. Geol. 2016, 208, 198–205. [Google Scholar] [CrossRef]
- Shibi, T.; Kamei, T. Effect of freeze–thaw cycles on the strength and physical properties of cement-stabilised soil containing recycled bassanite and coal ash. Cold Reg. Sci. Technol. 2014, 106–107, 36–45. [Google Scholar] [CrossRef]
- Lake, C.B.; Yousif, M.A.-M.; Jamshidi, R.J. Examining freeze/thaw effects on performance and morphology of a lightly cemented soil. Cold Reg. Sci. Technol. 2017, 134, 33–44. [Google Scholar] [CrossRef]
- Yang, K.-H.; Jung, Y.-B.; Cho, M.-S.; Tae, S.-H. Effect of supplementary cementitious materials on reduction of CO2 emissions from concrete. J. Clean. Prod. 2015, 103, 774–783. [Google Scholar] [CrossRef]
- Shen, W.; Liu, Y.; Yan, B.; Wang, J.; He, P.; Zhou, C.; Huo, X.; Zhang, W.; Xu, G.; Ding, Q. Cement industry of China: Driving force, environment impact and sustainable development. Renew. Sustain. Energy Rev. 2017, 75, 618–628. [Google Scholar] [CrossRef]
- Zhao, X.; Liu, C.; Zuo, L.; Wang, L.; Zhu, Q.; Liu, Y.; Zhou, B. Synthesis and characterization of fly ash geopolymer paste for goaf backfill: Reuse of soda residue. J. Clean. Prod. 2020, 260, 121045. [Google Scholar] [CrossRef]
- Song, W.; Zhu, Z.; Pu, S.; Wan, Y.; Huo, W.; Song, S.; Zhang, J.; Yao, K.; Hu, L. Synthesis and characterization of eco-friendly alkali-activated industrial solid waste-based two-component backfilling grouts for shield tunnelling. J. Clean. Prod. 2020, 266, 121974. [Google Scholar] [CrossRef]
- Sahile, K. Utilization of Red Mud-Fly Ash Reinforced with Cement in Road Construction Applications. Adv. Mater. Sci. Eng. 2021, 2021, 3728652. [Google Scholar] [CrossRef]
- Chen, M.; Wen, P.; Wang, C.; Chai, Z.; Gao, Z. Evaluation of particle size distribution and mechanical properties of mineral waste slag as filling material. Constr. Build. Mater. 2020, 253, 119183. [Google Scholar] [CrossRef]
- Nguyen, T.K.V.; Doan, T.T.H.; Cao, T.H.; Pham, H.S. A Study of State Parameters for Road Construction of MSWI Bottom Ash. Eng. Technol. Appl. Sci. Res. 2021, 11, 7624–7627. [Google Scholar] [CrossRef]
- Sukprasert, S.; Hoy, M.; Horpibulsuk, S.; Arulrajah, A.; Rashid, A.S.A.; Nazir, R. Fly ash based geopolymer stabilisation of silty clay/blast furnace slag for subgrade applications. Road Mater. Pavement Des. 2019, 22, 357–371. [Google Scholar] [CrossRef]
- Dong, F.; Xu, L.; Peng, T.; Dai, Q.; Chen, S. The mineralogy in the process of industrial solid wastes treatment andresource recycle. Earth Sci. Front. 2014, 21, 302–312. [Google Scholar] [CrossRef]
- Lang, L.; Chen, B.; Chen, B. Strength evolutions of varying water content-dredged sludge stabilized with alkali-activated ground granulated blast-furnace slag. Constr. Build. Mater. 2021, 275, 122111. [Google Scholar] [CrossRef]
- Mozejko, C.A.; Francisca, F.M. Enhanced mechanical behavior of compacted clayey silts stabilized by reusing steel slag. Constr. Build. Mater. 2020, 239, 117901. [Google Scholar] [CrossRef]
- Lang, L.; Song, C.; Xue, L.; Chen, B. Effectiveness of waste steel slag powder on the strength development and associated micro-mechanisms of cement-stabilized dredged sludge. Constr. Build. Mater. 2020, 240, 117975. [Google Scholar] [CrossRef]
- Huang, X.; Zhou, G. Utilization of industrial waste gypsum in soil stabilization. Ind. Constr. 1994, 9, 24–28. [Google Scholar] [CrossRef]
- Ye, G.; Shu, H.; Zhang, Z.; Kang, S.; Zhang, S.; Wang, Q. Solidification and field assessment of soft soil stabilized by a waste-based binder using deep mixing method. Bull. Eng. Geol. Environ. 2021, 80, 5061–5074. [Google Scholar] [CrossRef]
- Sun, R.; Fang, C.; Gao, F.; Ge, Z.; Zhang, H.; Lu, Q. Study on Pavement Performance and Solidified Mechanism of Solidified Soil Based on Solid Waste. China J. Highw. Transp. 2021, 34, 216–224. [Google Scholar] [CrossRef]
- Mujtaba, H.; Aziz, T.; Farooq, K.; Sivakugan, N.; Das, B.M. Improvement in Engineering Properties of Expansive Soils using Ground Granulated Blast Furnace Slag. J. Geol. Soc. India 2018, 92, 357–362. [Google Scholar] [CrossRef]
- Ji, X.; Hou, J.; Liu, Y.; Liu, J. Effect of CaO-FeO-MnO system solid solution on the hydration activity of tri-component f-CaO in steel slag. Constr. Build. Mater. 2019, 225, 476–484. [Google Scholar] [CrossRef]
- Pu, S.; Zhu, Z.; Huo, W. Evaluation of engineering properties and environmental effect of recycled gypsum stabilized soil in geotechnical engineering: A comprehensive review. Resour. Conserv. Recycl. 2021, 174, 105780. [Google Scholar] [CrossRef]
- Huang, Z.; Zhang, H. Spatial pattern analysis and influencing factors detection of general industrial solid waste in China. J. Saf. Environ. 2022, 22, 980–987. [Google Scholar]
- Wang, Q.; Wang, D.; Zhuang, S. The soundness of steel slag with different free CaO and MgO contents. Constr. Build. Mater. 2017, 151, 138–146. [Google Scholar] [CrossRef]
- Morel, J.-C.; Pkla, A.; Walker, P. Compressive strength testing of compressed earth blocks. Constr. Build. Mater. 2007, 21, 303–309. [Google Scholar] [CrossRef]
- Jiang, B.; Xia, W.; Wu, T.; Liang, J. The optimum proportion of hygroscopic properties of modified soil composites based on orthogonal test method. J. Clean. Prod. 2020, 278, 123828. [Google Scholar] [CrossRef]
- JTG E51-2009; Test Methods of Materials Stabilized with Inorganic Binders for Highway Engineering. China Communications Press: Beijing, China, 2009.
- AASHTO T 193-2013; Standard Method of Test for The California Bearing Ratio. American Association of State Highway and Transportation Officials (AASHTO): Washington, DC, USA, 2013.
- ASTM D4843-88; Standard Test Methods for Wetting and Drying Test of Solid Wastes. American Society for Testing Materials: Washington, DC, USA, 2009.
- Wu, H.; Li, Z.; Song, W.; Zou, J.; Liu, W.; Yu, J. Experimental Study on Moisture Susceptibility of Subgrade Soil with Superabsorbent Polymers. J. Mater. Civ. Eng. 2019, 31, 04019120. [Google Scholar] [CrossRef]
- AASHTO T 307-99; Standard Method of Test for Determining the Resilient Modulus of Soil and Aggregate Materials. American Association of State Highway Transportation Officials (AASHTO): Washington, DC, USA, 1999.
- ASTM D. 4695-03; Standard Guide for General Pavement Deflection Measurements. American Society for Testing and Materials: Washington, DC, USA, 2003. Available online: https://scholar.google.com/scholar_lookup?title=StandardGuideforGeneralPavementDeflectionMeasurements&author=ASTM&publication_year=2015 (accessed on 21 May 2022).
- Mohammed, B.S.; Achara, B.E.; Nuruddin, M.F.; Yaw, M.; Zulkefli, M.Z. Properties of nano-silica-modified self-compacting engineered cementitious composites. J. Clean. Prod. 2017, 162, 1225–1238. [Google Scholar] [CrossRef]
- Khan, M.I.; Sutanto, M.H.; Bin Napiah, M.; Khan, K.; Rafiq, W. Design optimization and statistical modeling of cementitious grout containing irradiated plastic waste and silica fume using response surface methodology. Constr. Build. Mater. 2020, 271, 121504. [Google Scholar] [CrossRef]
- Zahid, M.; Shafiq, N.; Isa, M.H.; Gil, L. Statistical modeling and mix design optimization of fly ash based engineered geopolymer composite using response surface methodology. J. Clean. Prod. 2018, 194, 483–498. [Google Scholar] [CrossRef]
- Achara, B.E.; Mohammed, B.S.; Liew, M. Bond behaviour of nano-silica-modified self-compacting engineered cementitious composite using response surface methodology. Constr. Build. Mater. 2019, 224, 796–814. [Google Scholar] [CrossRef]
- Pooni, J.; Robert, D.; Giustozzi, F.; Setunge, S.; Xie, Y.; Xia, J. Performance evaluation of calcium sulfoaluminate as an alternative stabilizer for treatment of weaker subgrades. Transp. Geotech. 2021, 27, 100462. [Google Scholar] [CrossRef]
- Hassan, N.; Hassan, W.H.W.; Rashid, A.S.A.; Latifi, N.; Yunus, N.Z.M.; Horpibulsuk, S.; Moayedi, H. Microstructural characteristics of organic soils treated with biomass silica stabilizer. Environ. Earth Sci. 2019, 78, 367. [Google Scholar] [CrossRef]
- Pu, S.; Zhu, Z.; Wang, H.; Song, W.; Wei, R. Mechanical characteristics and water stability of silt solidified by incorporating lime, lime and cement mixture, and SEU-2 binder. Constr. Build. Mater. 2019, 214, 111–120. [Google Scholar] [CrossRef]
- Pu, S.Y.; Zhu, Z.D.; Song, W.L.; Wan, Y.; Wang, H.R.; Song, S.G.; Zhang, J. Mechanical and Microscopic Properties of Cement Stabilized Silt. KSCE J. Civ. Eng. 2020, 24, 2333–2344. [Google Scholar] [CrossRef]
- Ren, C.; Wang, W.; Li, G. Preparation of high-performance cementitious materials from industrial solid waste. Constr. Build. Mater. 2017, 152, 39–47. [Google Scholar] [CrossRef]
- Wu, S.; Yao, Y.; Yao, X.; Ren, C.; Li, J.; Xu, D.; Wang, W. Co-preparation of calcium sulfoaluminate cement and sulfuric acid through mass utilization of industrial by-product gypsum. J. Clean. Prod. 2020, 265, 121801. [Google Scholar] [CrossRef]
- Yao, Y.; Wang, W.; Ge, Z.; Ren, C.; Yao, X.; Wu, S. Hydration study and characteristic analysis of a sulfoaluminate high-performance cementitious material made with industrial solid wastes. Cem. Concr. Compos. 2020, 112, 103687. [Google Scholar] [CrossRef]















| Materials | Chemical Composition (wt%) | |||||||
|---|---|---|---|---|---|---|---|---|
| CaO | SiO2 | Al2O3 | MgO | Fe2O3 | SO3 | TiO2 | K2O | |
| SS | 30.62 | 16.28 | 8.72 | 6.29 | 28.57 | — | — | — |
| MS | 44.71 | 29.29 | 14.85 | 7.33 | 0.39 | 1.28 | 0.68 | 0.41 |
| DP A | 3.44 | 49.93 | 36.17 | 0.79 | 5.8 | 1.12 | 1.01 | 1.17 |
| DP B | 45.35 | 1.56 | 0.8 | 0.35 | 0.12 | 50.63 | 0.02 | 0.41 |
| Portland Cement | 63.21 | 18.48 | 6.74 | 3.24 | 3.45 | 3.16 | 0.35 | — |
| Items | Values | Specifications |
|---|---|---|
| Natural moisture content (%) | 5.9 | ASTM D2216-10 |
| Specific gravity | 2.69 | ASTM D854 |
| Liquid limit (%) | 23.5 | ASTM D4318 |
| Plastic limit (%) | 18.0 | ASTM D4318 |
| Plasticity index (%) | 5.5 | ASTM D4318 |
| Maximum dry density (g/cm3) | 1.81 | ASTM D1557 |
| Optimum moisture content (%) | 12.1 | ASTM D1557 |
| Source | Items | Sum of Squares | Df | Mean of Squares | F Value | p Value | Significance |
|---|---|---|---|---|---|---|---|
| Model | UCS | 4.81 | 24 | 0.2005 | 4575.20 | <0.0001 | Significant |
| CBR | 1.458 × 105 | 6075.29 | 7694.03 | <0.0001 | Significant | ||
| WS factor | 0.6440 | 0.0268 | 879.50 | <0.0001 | Significant | ||
| WD factor | 0.6608 | 0.0275 | 1119.90 | <0.0001 | Significant | ||
| A | UCS | 3.34 | 4 | 0.8355 | 19,061.91 | <0.0001 | - |
| CBR | 1.390 × 105 | 34,747.06 | 44,005.27 | <0.0001 | - | ||
| WS factor | 0.3799 | 0.0950 | 3113.18 | <0.0001 | - | ||
| WD factor | 0.3230 | 0.0807 | 3284.13 | <0.0001 | - | ||
| B | UCS | 1.37 | 4 | 0.3425 | 7813.16 | <0.0001 | - |
| CBR | 5425.74 | 1356.44 | 1717.85 | <0.0001 | |||
| WS factor | 0.2607 | 0.0652 | 2135.78 | <0.0001 | |||
| WD factor | 0.3333 | 0.0833 | 3389.42 | <0.0001 | |||
| AB | UCS | 0.1010 | 16 | 0.0063 | 144.03 | <0.0001 | - |
| CBR | 1393.04 | 87.06 | 110.26 | <0.0001 | |||
| WS factor | 0.0034 | 0.0002 | 7.01 | <0.0001 | |||
| WD factor | 0.0045 | 0.0003 | 11.46 | <0.0001 | |||
| Residual | UCS | 0.0011 | 24 | 0.0000 | - | - | - |
| CBR | 18.95 | 0.7896 | - | - | |||
| WS factor | 0.0007 | 0.0000 | - | - | |||
| WD factor | 0.0006 | 0.0000 | - | - | |||
| Cor total | UCS | 4.81 | 49 | - | - | - | - |
| CBR | 1.458 × 105 | - | - | - | |||
| WS factor | 0.6448 | - | - | - | |||
| WD factor | 0.6618 | - | - | -- |
| Model | X0 | X1 | X2 | X3 | X4 | X5 | R2 | Adj. R2 |
|---|---|---|---|---|---|---|---|---|
| UCS | −0.2695 | 0.1841 | 0.0917 | −0.0096 | −0.0052 | 0.0026 | 0.9825 | 0.9779 |
| CBR | −36.4012 | 30.1130 | 3.3160 | −1.2070 | −0.2449 | 0.4026 | 0.9922 | 0.9901 |
| WD factor | 0.2049 | 0.0692 | 0.0500 | −0.0037 | −0.0025 | +2.8 × 10−4 | 0.9824 | 0.9777 |
| WS factor | 0.1015 | 0.0825 | 0.0477 | −0.0043 | −0.0023 | −2.88 × 10−4 | 0.9588 | 0.9480 |
| Test Area | Material | Incorporation | Test Point | Curing Age | Locations |
|---|---|---|---|---|---|
| Section A | Cement curing agent | 4% | Left: 4,4,3 | 7 days | K55+700~K55+725 |
| Right: 4,4,3 | 28 days | K55+725~K55+750 | |||
| Section B | ISW curing agent | 4% | Left: 4,4,3 | 7 days | K55+750~K55+775 |
| Right: 4,4,3 | 28 days | K55+775~K55+800 | |||
| Section C | Cement curing agent | 6% | Left: 4,4,3 | 7 days | K55+800~K55+825 |
| Right: 4,4,3 | 28 days | K55+825~K55+850 | |||
| Section D | ISW curing agent | 6% | Left: 4,4,3 | 7 days | K55+850~K55+875 |
| Right: 4,4,3 | 28 days | K55+875~K55+900 |
| Materials | SS | MS | DP A | DP B | ISW Curing Agent | Cement |
|---|---|---|---|---|---|---|
| Price (CNY/t) | 75 | 350 | 35 | 65 | 121 | 650 |
| Test Area | Materials | Incorporation (%) | The Total Amount (t) | Cost (CNY) |
|---|---|---|---|---|
| Section A | Cement curing agent | 4 | 262.9 | 170,885.0 |
| Section B | ISW curing agent | 4 | 277.7 | 33,629.5 |
| Section C | Cement curing agent | 6 | 408.6 | 265,590.0 |
| Section D | ISW curing agent | 6 | 389.1 | 47,120.0 |
Publisher’s Note: MDPI stays neutral with regard to jurisdictional claims in published maps and institutional affiliations. |
© 2022 by the authors. Licensee MDPI, Basel, Switzerland. This article is an open access article distributed under the terms and conditions of the Creative Commons Attribution (CC BY) license (https://creativecommons.org/licenses/by/4.0/).
Share and Cite
Shen, Q.; Jiang, P.; Zhang, X.; Sun, H.; Yang, Y.; Wang, S.; Li, L.; Shang, H. Evaluation and Characterization of the Use of Industrial-Solid-Waste Curing Agent instead of Cement on Improved Alluvial Silt. Coatings 2022, 12, 1417. https://doi.org/10.3390/coatings12101417
Shen Q, Jiang P, Zhang X, Sun H, Yang Y, Wang S, Li L, Shang H. Evaluation and Characterization of the Use of Industrial-Solid-Waste Curing Agent instead of Cement on Improved Alluvial Silt. Coatings. 2022; 12(10):1417. https://doi.org/10.3390/coatings12101417
Chicago/Turabian StyleShen, Quanjun, Peng Jiang, Xiaoning Zhang, Hao Sun, Yaohui Yang, Shuai Wang, Li Li, and Hongfa Shang. 2022. "Evaluation and Characterization of the Use of Industrial-Solid-Waste Curing Agent instead of Cement on Improved Alluvial Silt" Coatings 12, no. 10: 1417. https://doi.org/10.3390/coatings12101417
APA StyleShen, Q., Jiang, P., Zhang, X., Sun, H., Yang, Y., Wang, S., Li, L., & Shang, H. (2022). Evaluation and Characterization of the Use of Industrial-Solid-Waste Curing Agent instead of Cement on Improved Alluvial Silt. Coatings, 12(10), 1417. https://doi.org/10.3390/coatings12101417

