Investigation on Adhesion Characteristics of Virgin-Aged Composite Binder and Binder-Aggregate System
Abstract
:1. Introduction
2. Objective and Scope
3. Materials and Sample Preparation
3.1. Materials
3.2. Sample Preparation and Pretreatment
4. Methodology and Experiments
4.1. Tests for Fundamental Properties
4.2. Modified Boiling Test
4.3. Pull-Off Test
5. Results and Discussions
5.1. Fundamental Performances of the Binders
5.1.1. Rheological Properties
5.1.2. Creep Recovery Capacity
5.1.3. Fatigue Resistance
5.2. Adhesion Characteristics of Aggregate-Binder
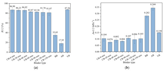
5.2.1. Results from Modified Boiling Tests
5.2.2. Failure Behaviors of the Binder-Aggregate System
5.2.3. Adhesion Characteristics and Moisture-Damage Resistance
6. Conclusions and Recommendations
Author Contributions
Funding
Institutional Review Board Statement
Informed Consent Statement
Data Availability Statement
Conflicts of Interest
References
- Xiao, F.; Su, N.; Yao, S.; Amirkhanian, S.; Wang, J. Performance grades, environmental and economic investigations of reclaimed asphalt pavement materials. J. Clean. Prod. 2019, 211, 1299–1312. [Google Scholar] [CrossRef]
- Al-Qadi, I.L.; Elseifi, M.; Carpenter, S.H. Reclaimed Asphalt Pavement—A Literature Review; FHWA-ICT-07–001; Illinois Center for Transportation: Rantoul, IL, USA, 2007. [Google Scholar]
- Alharbi, F.; Alshubrumi, F.; Almoshaogeh, M.; Haider, H.; Elragi, A.; Elkholy, S. Sustainability Evaluation of Cold In-Place Recycling and Hot Mix Asphalt Pavements: A Case of Qassim, Saudi Arabia. Coatings 2022, 12, 50. [Google Scholar] [CrossRef]
- Song, W.; Huang, B.; Shu, X. Influence of warm-mix asphalt technology and rejuvenator on performance of asphalt mixtures containing 50% reclaimed asphalt pavement. J. Clean. Prod. 2018, 192, 191–198. [Google Scholar] [CrossRef]
- Xu, J.; Hao, P.; Guo, X.; Li, H.; Zhang, B.; Le, C. Review of Mix Design Method of Hot In-plant Recycled Asphalt Mixture. China J. Highw. Transp. 2021, 34, 72–88. [Google Scholar]
- Zhan, Y.; Wu, H.; Song, W.; Zhu, L. Molecular Dynamics Study of the Diffusion between Virgin and Aged Asphalt Binder. Coatings 2022, 12, 403. [Google Scholar] [CrossRef]
- Song, W.; Xu, Z.; Xu, F.; Wu, H.; Yin, J. Fracture investigation of asphalt mixtures containing reclaimed asphalt pavement using an equivalent energy approach. Eng. Fract. Mech. 2021, 253, 107892. [Google Scholar] [CrossRef]
- Caro, S.; Beltrán, D.P.; Alvarez, A.E.; Estakhri, C. Analysis of moisture damage susceptibility of warm mix asphalt (WMA) mixtures based on Dynamic Mechanical Analyzer (DMA) testing and a fracture mechanics model. Constr. Build. Mater. 2012, 35, 460–467. [Google Scholar] [CrossRef]
- Zhang, Y.; Bahia, H.U. Effects of recycling agents (RAs) on rutting resistance and moisture susceptibility of mixtures with high RAP/RAS content. Constr. Build. Mater. 2021, 270, 121369. [Google Scholar]
- Goli, H.; Latifi, M. Evaluation of the effect of moisture on behavior of warm mix asphalt (WMA) mixtures containing recycled asphalt pavement (RAP). Constr. Build. Mater. 2020, 247, 118526. [Google Scholar] [CrossRef]
- Doyle, J.D.; Mejias-Santiago, M.; Brown, E.; Howard, I.L. Performance of high RAP-WMA surface mixtures. J. Assoc. Asph. Paving Technol. 2011, 80, 419–458. [Google Scholar]
- Xu, S.; Wu, H.; Song, W.; Zhan, Y. Investigation of the aging behaviors of reclaimed asphalt. J. Clean. Prod. 2022, 356, 131837. [Google Scholar] [CrossRef]
- Showkat, B.; Singh, D. Perceiving moisture damage of asphalt mixes containing RAP using survival analysis based on Kaplan-Meier estimator and Cox proportional hazards model. Constr. Build. Mater. 2022, 320, 126249. [Google Scholar] [CrossRef]
- Fakhri, M.; Mottahed, A.R. Improving moisture and fracture resistance of warm mix asphalt containing RAP and nanoclay additive. Constr. Build. Mater. 2021, 272, 121900. [Google Scholar] [CrossRef]
- Ghabchi, R.; Singh, D.; Zaman, M. Evaluation of moisture susceptibility of asphalt mixes containing RAP and different types of aggregates and asphalt binders using the surface free energy method. Constr. Build. Mater. 2014, 73, 479–489. [Google Scholar] [CrossRef]
- Caro, S.; Masad, E.; Bhasin, A.; Little, D.N. Moisture susceptibility of asphalt mixtures, Part 1: Mechanisms. Int. J. Pavement Eng. 2008, 9, 81–98. [Google Scholar] [CrossRef]
- Caro, S.; Masad, E.; Bhasin, A.; Little, D.N. Moisture susceptibility of asphalt mixtures, Part 2: Characterisation and modelling. Int. J. Pavement Eng. 2008, 9, 99–114. [Google Scholar] [CrossRef]
- Jiménez Del Barco Carrión, A.; Carvajal-Muñoz, J.S.; Lo Presti, D.; Airey, G. Intrinsic adhesive and cohesive assessment of the moisture sensitivity of bio-rejuvenated recycled asphalt binders. Road Mater. Pavement Des. 2019, 20, S347–S364. [Google Scholar] [CrossRef]
- Li, X.; Gao, S.; Ye, P.; Shao, H.; Wang, C. Effect of Waterborne Epoxy Resin on Adhesion of SBR Modified Emulsified Asphalt to Aggregate. J. Mater. Sci. Eng. 2022, 40, 116–122. [Google Scholar]
- AASHTO. Standard Method of Test for Determining Asphalt Binder Strength by Means of the Binder Bond Strength (BBS) Test; AASHTO: Washington, DC, USA, 2011. [Google Scholar]
- Zhou, L.; Huang, W.; Lv, Q.; Zhang, Y.; Yan, C.; Jiao, Y. Effects of Multiple Modifiers on Adhesive and Self-Healing Properties of Asphalt Based on Bitumen Bond Strength Test. J. Tongji Univ. (Nat. Sci.) 2021, 49, 670–679. [Google Scholar]
- Xu, G. Study on Performance of Foamed Asphalt Cold Recycled Mixture Based on Virgin-Aged Asphalt Fusion Characteristics; Dalian Maritime University: Dalian, China, 2019. (In Chinese) [Google Scholar]
- Xu, Q. Multi-scale Analysis and Evaluation Method of Asphalt-Aggregate Adhesion Chongqing; Jiaotong University: Shanghai, China, 2020. (In Chinese) [Google Scholar]
- Gan, X. The Surface Character Analysis of Bitumen and Aggregates and the Evaluation of the Adhesion Between Them; Chang’an University: Xi’An, China, 2017. (In Chinese) [Google Scholar]
- Moraes, R.; Velasquez, R.; Bahia, H.U. Measuring the Effect of Moisture on Asphalt-Aggregate Bond with the Bitumen Bond Strength Test. Transp. Res. Rec. 2011, 2209, 70–81. [Google Scholar] [CrossRef]
- Rahim, A.; Thom, N.; Airey, G. Development of compression pull-off test (CPOT) to assess bond strength of bitumen. Constr. Build. Mater. 2019, 207, 412–421. [Google Scholar] [CrossRef]
- Yan, C.; Huang, W.; Lv, Q. Study on bond properties between RAP aggregates and virgin asphalt using Binder Bond Strength test and Fourier Transform Infrared spectroscopy. Constr. Build. Mater. 2016, 124, 1–10. [Google Scholar] [CrossRef]
- Cardone, F.; Virgili, A.; Graziani, A. Evaluation of bonding between reclaimed asphalt aggregate and bitumen emulsion composites. Constr. Build. Mater. 2018, 184, 565–574. [Google Scholar] [CrossRef]
- Canestrari, F.; Ferrotti, G.; Cardone, F.; Stimilli, A. Innovative testing protocol for evaluation of binder-reclaimed aggregate bond strength. Transp. Res. Rec. 2014, 2444, 63–70. [Google Scholar] [CrossRef]
- Ingrassia, L.P.; Cardone, F.; Canestrari, F.; Lu, X. Experimental investigation on the bond strength between sustainable road bio-binders and aggregate substrates. Mater. Struct. 2019, 52, 1–14. [Google Scholar] [CrossRef]
- AASHTO. Standard Practice for Evaluating the Elastic Behavior of Asphalt Binders Using the Multiple Stress Creep Recovery (MSCR) Test; AASHTO: Washington, DC, USA, 2018. [Google Scholar]
- Liu, H.; Zeiada, W.; Al-Khateeb, G.G.; Shanableh, A.; Samarai, M. Use of the multiple stress creep recovery (MSCR) test to characterize the rutting potential of asphalt binders: A literature review. Constr. Build. Mater. 2021, 269, 121320. [Google Scholar] [CrossRef]
- Rajib, A.I.; Shariati, S.; Fini, E.H. The effect of progressive aging on the bond strength of bitumen to siliceous stones. Appl. Surf. Sci. 2021, 550, 9. [Google Scholar] [CrossRef]



















| Properties | Unit | Virgin Binder | Aged Binder |
|---|---|---|---|
| Penetration (25 °C, 100 g, 5 s) | 0.01 mm | 55.6 | 23.5 |
| Ductility (5 cm/min, 5 °C) | cm | 30.2 | 5 |
| Softening point | °C | 78.9 | 86.3 |
| Kinematic viscosity (135 °C) | Pa·s | 1.98 | - |
| Elastic recovery (25 °C, 10) | % | 95 | - |
| Residue after RTFOT | |||
| Mass loss | % | 0.024 | - |
| Penetration ratio (25 °C) | % | 75 | - |
| Ductility (5 cm/min, 5 °C) | cm | 17.2 | - |
| Binder Type | Formation | Schematic Description |
|---|---|---|
| Virgin binder (VB) | New SBS asphalt | ![]() |
| Aged binder (AB) | Extracted from RAP | ![]() |
| Blended binder (BB) | A mixture of virgin and aged binders | ![]() |
| Composite binder (CB) | A two-layered combination of virgin binder and aged binder | ![]() |
| Test | Objective | Thermostatic Treatment | Conditioning | Test Setting | ||
|---|---|---|---|---|---|---|
| Temperature | Duration | Dry | Wet | |||
| DSR | Rheological characteristics | 120 °C | 0, 20, 40, 60, 90, 120, 150 min | Not applicable | Not applicable | 10–70 °C, 0–30 Hz |
| MSCR | Creep resilience | 64 °C | ||||
| LAS | Fatigue resistance | 25 °C | ||||
| Modified boiling test | Moisture susceptibility | 24 h in air at 20 °C | 24 h in water at 40 °C | Full boiling | ||
| Pull-off test | Adhesion performance | 20 °C | ||||
| Binder Type | Thermostatic Treatment | Drying Conditioning | Wetting Conditioning | ||||
|---|---|---|---|---|---|---|---|
| POTS | Failure State | POTS | Failure State | ||||
| Average (MPa) | Cov (%) | Average (MPa) | Cov (%) | ||||
| Virgin binder (VB) | - | 1.51 | 3.07 | C | 1.38 | 9.26 | C/A |
| Aged binder (AB) | - | 2.76 | 2.10 | C/R | 2.54 | 2.25 | C/A |
| Virgin-aged composite binder (CB) | 0 min | 1.67 | 6.14 | C | 1.17 | 7.10 | A |
| 20 min | 1.96 | 1.44 | C | 1.42 | 7.06 | A | |
| 40 min | 2.23 | 4.48 | C | 1.72 | 2.58 | C/A | |
| 60 min | 2.28 | 1.28 | C/A | 2.25 | 0.94 | C/A | |
| 90 min | 2.37 | 3.37 | C/A | 2.38 | 1.83 | C | |
| 120 min | 2.51 | 0.51 | C | 2.54 | 2.25 | C | |
| 150 min | 2.65 | 3.41 | C | 2.69 | 3.59 | C | |
| Blended binder (BB) | 0 min | 1.80 | 3.90 | C/A | 1.64 | 5.49 | C/A |
| 20 min | 2.08 | 2.65 | C/A | ||||
| 40 min | 2.27 | 6.58 | C/A | ||||
| 60 min | 2.53 | 1.29 | C | ||||
| 90 min | 2.56 | 8.54 | C | ||||
| 120 min | 2.61 | 4.26 | C | ||||
| 150 min | 2.65 | 4.29 | C | ||||
Publisher’s Note: MDPI stays neutral with regard to jurisdictional claims in published maps and institutional affiliations. |
© 2022 by the authors. Licensee MDPI, Basel, Switzerland. This article is an open access article distributed under the terms and conditions of the Creative Commons Attribution (CC BY) license (https://creativecommons.org/licenses/by/4.0/).
Share and Cite
Wu, H.; Xu, S.; Zhan, Y.; Song, W.; Bai, S. Investigation on Adhesion Characteristics of Virgin-Aged Composite Binder and Binder-Aggregate System. Coatings 2022, 12, 1413. https://doi.org/10.3390/coatings12101413
Wu H, Xu S, Zhan Y, Song W, Bai S. Investigation on Adhesion Characteristics of Virgin-Aged Composite Binder and Binder-Aggregate System. Coatings. 2022; 12(10):1413. https://doi.org/10.3390/coatings12101413
Chicago/Turabian StyleWu, Hao, Shidong Xu, Yiqun Zhan, Weimin Song, and Shu Bai. 2022. "Investigation on Adhesion Characteristics of Virgin-Aged Composite Binder and Binder-Aggregate System" Coatings 12, no. 10: 1413. https://doi.org/10.3390/coatings12101413
APA StyleWu, H., Xu, S., Zhan, Y., Song, W., & Bai, S. (2022). Investigation on Adhesion Characteristics of Virgin-Aged Composite Binder and Binder-Aggregate System. Coatings, 12(10), 1413. https://doi.org/10.3390/coatings12101413





