Evaluating the Performance of Aluminum Sacrificial Anodes with Different Concentration of Gallium in Artificial Sea Water
Abstract
:1. Introduction
2. Materials and Experimental Procedures
3. Results and Discussion
3.1. Microstructures
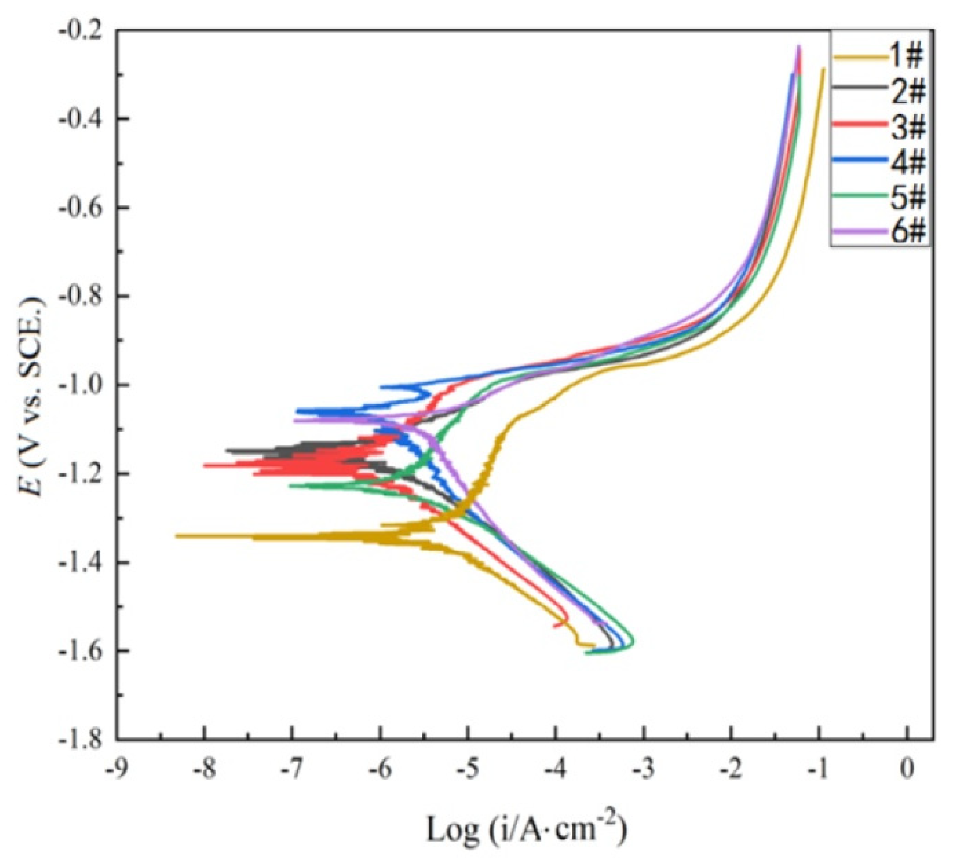
3.2. Polarization Behaviors
3.3. Electrochemical Impedance Spectroscopy
3.4. Surface Micromorphology Analysis
4. Conclusions
Author Contributions
Funding
Institutional Review Board Statement
Informed Consent Statement
Data Availability Statement
Acknowledgments
Conflicts of Interest
References
- Wyatt, B.S.; Irvine, D.J. A Review of Cathodic Protection of Reinforced-Concrete. Mater. Perform. 1987, 26, 12–21. [Google Scholar]
- Pedeferri, P. Cathodic and Anodic Protection. In Corrosion Science and Engineering; Springer International Publishing: Cham, Switzerland, 2018; pp. 383–422. [Google Scholar]
- Syrek-Gerstenkorn, B.; Paul, S.; Davenport, A.J. Sacrificial thermally sprayed aluminium coatings for marine environments: A review. Coatings 2020, 10, 267. [Google Scholar] [CrossRef] [Green Version]
- Mendolia, I.; Zanca, C.; Ganci, F.; Conoscenti, G.; Pavia, F.C.; Brucato, V.; La Carrubba, V.; Lopresti, F.; Piazza, S.; Sunseri, C.; et al. Calcium phosphate/polyvinyl acetate coatings on SS304 via galvanic co-deposition for orthopedic implant applications. Surf. Coat. Technol. 2021, 408, 126771. [Google Scholar] [CrossRef]
- Kotyk, J.F.K.; Chen, C.; Sheehan, S.W. Corrosion Potential Modulation on Lead Anodes Using Water Oxidation Catalyst Coatings. Coatings 2018, 8, 246. [Google Scholar] [CrossRef] [Green Version]
- McCafferty, E. Introduction to Corrosion Science; Springer Science & Business Media: Cham, Switzerland, 2010. [Google Scholar]
- Polder, R.B.; Peelen, W.H.A.; Courage, W.M.G. Non-traditional assessment and maintenance methods for aging concrete structures–technical and non-technical issues. Mater. Corros. 2012, 63, 1147–1153. [Google Scholar] [CrossRef]
- Li, L.; Liu, H.; Yan, Y.; Zhu, H.; Fang, H.; Luo, X.; Dai, Y.; Yu, K. Effects of alloying elements on the electrochemical behaviors of Al-Mg-Ga-In based anode alloys. Int. J. Hydrogen Energy 2019, 44, 12073–12084. [Google Scholar] [CrossRef]
- Moghanni-Bavil-Olyaei, H.; Arjomandi, J.; Hosseini, M. Effects of gallium and lead on the electrochemical behavior of Al-Mg-Sn-Ga-Pb as anode of high rate discharge battery. J. Alloys Compd. 2017, 695, 2637–2644. [Google Scholar] [CrossRef]
- Angst, U.; Büchler, M.; Martin, B.; Schöneich, H.G.; Haynes, G.; Leeds, S.; Kajiyama, F. Cathodic protection of soil buried steel pipelines–a critical discussion of protection criteria and threshold values. Mater. Corros. 2016, 67, 1135–1142. [Google Scholar] [CrossRef]
- Srinivas, M.; Adapaka, S.K.; Neelakantan, L. Solubility effects of Sn and Ga on the microstructure and corrosion behavior of Al-Mg-Sn-Ga alloy anodes. J. Alloys Compd. 2016, 683, 647–653. [Google Scholar] [CrossRef]
- Khireche, S.; Boughrara, D.; Kadri, A.; Hamadou, L.; Benbrahim, N. Corrosion mechanism of Al, Al–Zn and Al–Zn–Sn alloys in 3 wt% NaCl solution. Corros. Sci. 2014, 87, 504–516. [Google Scholar] [CrossRef]
- Farooq, A.; Hamza, M.; Ahmed, Q.; Deen, K.M. Evaluating the performance of zinc and aluminum sacrificial anodes in artificial seawater. Electrochim. Acta 2019, 314, 135–141. [Google Scholar] [CrossRef]
- Ran, F.Q.; Chai, L.H.; Gao, K.Y.; Nie, Z.R.; Chen, Z.Y. Influence of various aging treatments on microstructure, strength and corrosion behaviour of high Zn content Al–Zn–Mg–Cu alloy. Corros. Eng. Sci. Technol. 2014, 49, 712–718. [Google Scholar] [CrossRef]
- He, J.; Wen, J.; Li, X. Effects of precipitates on the electrochemical performance of Al sacrificial anode. Corros. Sci. 2011, 53, 1948–1953. [Google Scholar] [CrossRef]
- Ares, A.E.; Gassa, L.M. Corrosion susceptibility of Zn–Al alloys with different grains and dendritic microstructures in NaCl solutions. Corros. Sci. 2012, 59, 290–306. [Google Scholar] [CrossRef]
- Keyvani, A.; Saremi, M.; Saeri, M.R. Anodic behavior of Al–Zn–In sacrificial anodes at different concentration of zinc and indium. Int. J. Mater. Res. 2012, 103, 1533–1538. [Google Scholar] [CrossRef]
- El Shayeb, H.A.; Abd El Wahab, F.M.; El Abedin, S.Z. Electrochemical behaviour of Al, Al–Sn, Al–Zn and Al–Zn–Sn alloys in chloride solutions containing stannous ions. Corros. Sci. 2001, 43, 655–669. [Google Scholar] [CrossRef]
- Nestoridi, M.; Pletcher, D.; Wood, R.J.; Wang, S.; Jones, R.L.; Stokes, K.R.; Wilcock, I. The study of aluminium anodes for high power density Al/air batteries with brine electrolytes. J. Power Sources 2008, 178, 445–455. [Google Scholar] [CrossRef] [Green Version]
- Park, I.J.; Choi, S.R.; Kim, J.G. Aluminum anode for aluminum-air battery—Part II: Influence of In addition on the electrochemical characteristics of Al-Zn alloy in alkaline solution. J. Power Sources 2017, 357, 47–55. [Google Scholar] [CrossRef]
- Ma, J.; Wen, J.; Li, Q.; Zhang, Q. Electrochemical polarization and corrosion behavior of Al–Zn–In based alloy in acidity and alkalinity solutions. Int. J. Hydrogen Energy 2013, 38, 14896–14902. [Google Scholar] [CrossRef]
- Tang, Y.; Lu, L.; Roesky, H.W.; Wang, L.; Huang, B. The effect of zinc on the aluminum anode of the aluminum–air battery. J. Power Sources 2004, 138, 313–318. [Google Scholar] [CrossRef]
- Munoz, A.G.; Saidman, S.B.; Bessone, J.B. Corrosion of an Al–Zn–In alloy in chloride media. Corros. Sci. 2002, 44, 2171–2182. [Google Scholar] [CrossRef]
- Zazoua, A.; Azzouz, N. An investigation on the use of indium to increase dissolution of AlZn anodes in sea water. Mater. Des. 2008, 29, 806–810. [Google Scholar] [CrossRef]
- Venugopal, A.; Raja, V.S. AC impedance study on the activation mechanism of aluminium by indium and zinc in 3.5% NaCl medium. Corros. Sci. 1997, 39, 2053–2065. [Google Scholar] [CrossRef]
- Breslin, C.B.; Carroll, W.M. The electrochemical behaviour of aluminium activated by gallium in aqueous electrolytes. Corros. Sci. 1992, 33, 1735–1746. [Google Scholar] [CrossRef]
- Xia, Z.; Zhang, W.; Yang, X.; Chen, T.; Zhu, Y.; Ma, H.; Li, L. Influence of Sn, Cd, and Si addition on the electrochemical performance of Al–Zn–In sacrificial anodes. Mater. Corros. 2020, 71, 585–592. [Google Scholar] [CrossRef]
- Cheng, Y.; Lai, Q.; Li, X.; Xi, X.; Zheng, Q.; Ding, C.; Zhang, H. Zinc-nickel single flow batteries with improved cycling stability by eliminating zinc accumulation on the negative electrode. Electrochim. Acta 2014, 145, 109–115. [Google Scholar] [CrossRef]
- Peng, S.; Xie, S.K.; Xiao, F.; Lu, J.T. Corrosion behavior of spangle on a batch hot-dip galvanized Zn-0.05 Al-0.2 Sb coating in 3.5 wt% NaCl solution. Corros. Sci. 2020, 163, 108237. [Google Scholar] [CrossRef]
- Abubakar, M.; Onimisi, M.A. Effect of Precipitation Hardening Treatment on Corrosion Behavior and Anodic Efficiency of Sacrificial Anode Produced from Recycled Al–Zn–Mg Alloy. J. Fail. Anal. Prev. 2021, 21, 1–8. [Google Scholar] [CrossRef]
- Jingling, M.; Fengzhang, R.; Guangxin, W.; Yi, X.; Yaqiong, L.; Jiuba, W. Electrochemical performance of melt-spinning Al–Mg–Sn based anode alloys. Int. J. Hydrogen Energy 2017, 42, 11654–11661. [Google Scholar] [CrossRef]
- He, J.; Wen, J.; Li, X.; Wang, G.; Xu, C. Influence of Ga and Bi on electrochemical performance of Al-Zn-Sn sacrificial anodes. Trans. Nonferrous Met. Soc. China 2011, 21, 1580–1586. [Google Scholar] [CrossRef]
- Oulmas, C.; Mameri, S.; Boughrara, D.; Boutarfaia, S.; Delhalle, J.; Mekhalif, Z.; Kadri, A. Development of Al-5% Zn-0.5% Sn-2.6% Mg Alloy as Sacrificial Anode for Cathodic Protection of Steel in 3 wt% NaCl Solution. J. Electrochem. Soc. 2021, 168, 031514. [Google Scholar] [CrossRef]
- Barros, A.; Cruz, C.; Garcia, A.; Cheung, N. Corrosion behavior of an Al–Sn–Zn alloy: Effects of solidification microstructure characteristics. J. Mater. Res. Technol. 2021, 12, 257–263. [Google Scholar] [CrossRef]
- El-Hadad, S.; Moussa, M.E.; Waly, M. Effects of Alloying with Sn and Mg on the Microstructure and Electrochemical Behavior of Cast Aluminum Sacrificial Anodes. Int. J. Met. 2021, 15, 548–565. [Google Scholar] [CrossRef]
- Ferdian, D.; Pratesa, Y.; Togina, I.; Adelia, I. Development of Al-Zn-Cu alloy for low voltage aluminum sacrificial anode. Procedia Eng. 2017, 184, 418–422. [Google Scholar] [CrossRef]








| Specimen | Zn | Mg | Ga | Al |
|---|---|---|---|---|
| 1# | 4 | 1 | 0 | Rest |
| 2# | 4 | 1 | 0.01 | Rest |
| 3# | 4 | 1 | 0.02 | Rest |
| 4# | 4 | 1 | 0.03 | Rest |
| 5# | 4 | 1 | 0.04 | Rest |
| 6# | 4 | 1 | 0.05 | Rest |
| Specimen | Ecorr (mV) | icorr (A/cm2) |
|---|---|---|
| 1# | −1351.58 ± 0.2 | 3.62 × 10−5 ± 0.6 |
| 2# | −1140.45 ± 0.1 | 9.72 × 10−5 ± 0.4 |
| 3# | −1162.85 ± 0.3 | 1.28 × 10−6 ± 0.3 |
| 4# | −1051.56 ± 0.2 | 6.58 × 10−5 ± 0.5 |
| 5# | −1236.93 ± 0.4 | 5.85 × 10−5 ± 0.7 |
| 6# | −1097.78 ± 0.5 | 7.21 × 10−5 ± 0.4 |
| Specimen | Open Circuit Potential(V) | Theoretical Capacitance Ah/kg | Working Potential V | Weight Loss g | Current Efficiency % |
|---|---|---|---|---|---|
| 1# | −1.1189 | 2881.07 | −1.0076~−0.8581 | 0.9586 | 90.02 |
| 2# | −1.0990 | 2875.45 | −1.0880~−0.9587 | 0.9308 | 92.89 |
| 3# | −1.0391 | 2875.15 | −1.0910~−0.9434 | 0.9841 | 87.88 |
| 4# | −1.1020 | 2874.86 | −1.0440~−0.8261 | 0.8802 | 98.25 |
| 5# | −1.1041 | 2874.55 | −1.0410~−0.8842 | 0.9025 | 95.84 |
| 6# | −0.9901 | 2874.26 | −0.9870~−0.8287 | 1.0115 | 85.52 |
Publisher’s Note: MDPI stays neutral with regard to jurisdictional claims in published maps and institutional affiliations. |
© 2022 by the authors. Licensee MDPI, Basel, Switzerland. This article is an open access article distributed under the terms and conditions of the Creative Commons Attribution (CC BY) license (https://creativecommons.org/licenses/by/4.0/).
Share and Cite
Xi, Y.; Jia, M.; Zhang, J.; Zhang, W.; Yang, D.; Sun, L. Evaluating the Performance of Aluminum Sacrificial Anodes with Different Concentration of Gallium in Artificial Sea Water. Coatings 2022, 12, 53. https://doi.org/10.3390/coatings12010053
Xi Y, Jia M, Zhang J, Zhang W, Yang D, Sun L. Evaluating the Performance of Aluminum Sacrificial Anodes with Different Concentration of Gallium in Artificial Sea Water. Coatings. 2022; 12(1):53. https://doi.org/10.3390/coatings12010053
Chicago/Turabian StyleXi, Yuntao, Mao Jia, Jun Zhang, Wanli Zhang, Daoyong Yang, and Liang Sun. 2022. "Evaluating the Performance of Aluminum Sacrificial Anodes with Different Concentration of Gallium in Artificial Sea Water" Coatings 12, no. 1: 53. https://doi.org/10.3390/coatings12010053
APA StyleXi, Y., Jia, M., Zhang, J., Zhang, W., Yang, D., & Sun, L. (2022). Evaluating the Performance of Aluminum Sacrificial Anodes with Different Concentration of Gallium in Artificial Sea Water. Coatings, 12(1), 53. https://doi.org/10.3390/coatings12010053

