Wear Resistance of Aluminum Matrix Composites’ Coatings Added on AA6082 Aluminum Alloy by Laser Cladding
Abstract
1. Introduction
2. Materials and Methods
3. Results and Discussion
3.1. Coatings’ Microstructure
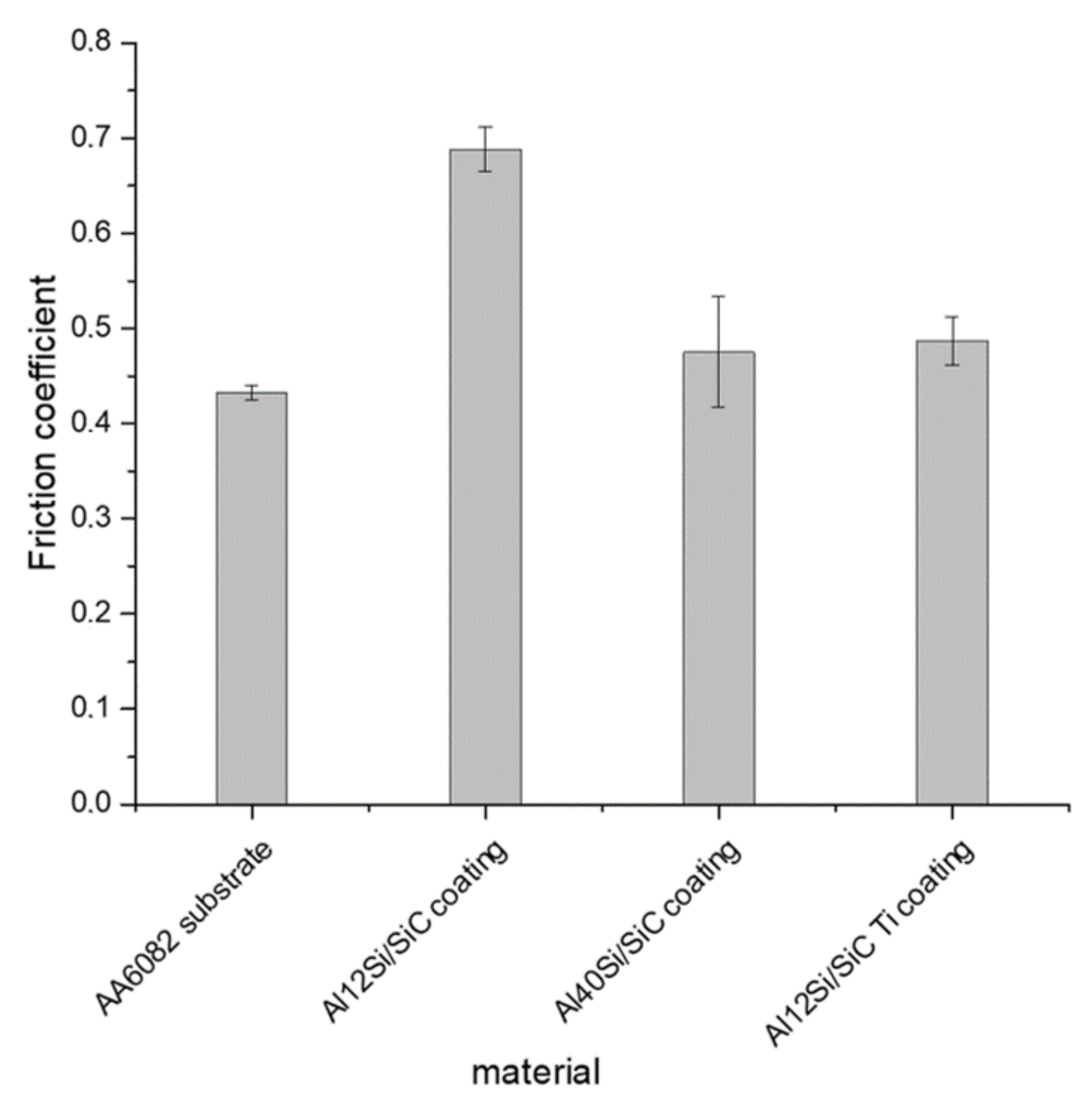
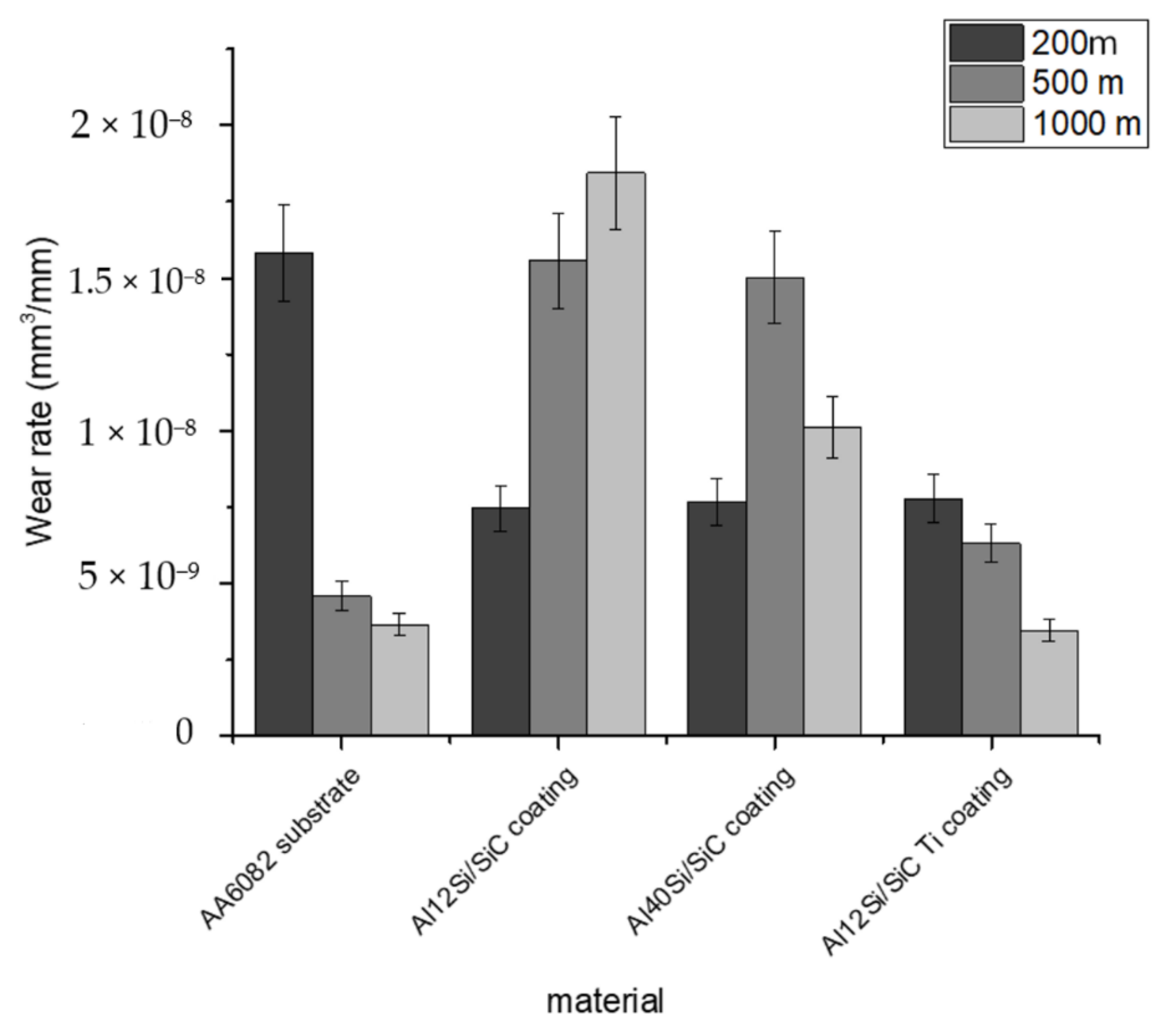
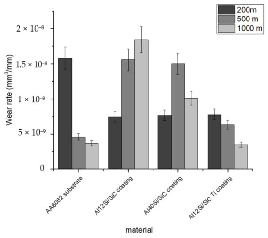
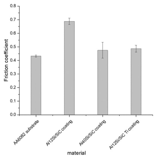
3.2. Wear Testing
3.3. Wear Mechanisms
4. Conclusions
Author Contributions
Funding
Institutional Review Board Statement
Informed Consent Statement
Data Availability Statement
Conflicts of Interest
References
- Lehmhus, D.; von Hehl, A.; Kayvantash, K.; Gradinger, R.; Becker, T.; Schimanski, K.; Avalle, M. Taking a Downward Turn on the Weight Spiral—Lightweight Materials in Transport Applications. Mater. Des. 2015, 66, 385–389. [Google Scholar] [CrossRef]
- Kainer, K.U. Metal Matrix Composites: Custom-Made Materials for Automotive and Aerospace Engineering; Wiley-VCH: Weinheim, Germany, 2006; ISBN 3527313600. [Google Scholar]
- Scamans, G. Editorial: The future of light metals. Mater. Technol. 2009, 24, 129–130. [Google Scholar] [CrossRef]
- Riquelme, A.; Escalera-Rodríguez, M.D.; Rodrigo, P.; Rams, J. Laser cladding of in situ al-Aln composite on light alloys substrate. In Key Engineering Materials; Trans Tech Publications Ltd.: Freienbach, Switzerland, 2017. [Google Scholar]
- Wiesenthal, T.; Condeço-Melhorado, A.; Leduc, G. Innovation in the European transport sector: A review. Transp. Policy 2015, 42, 86–93. [Google Scholar] [CrossRef]
- Ferraris, S. Special issue: Surface engineering of light alloys. Coatings 2020, 10, 1177. [Google Scholar] [CrossRef]
- Dubourg, L.; Ursescu, D.; Hlawka, F.; Cornet, A. Laser cladding of MMC coatings on aluminium substrate: Influence of composition and microstructure on mechanical properties. Wear 2005, 258, 1745–1754. [Google Scholar] [CrossRef]
- Zhang, L.; Xu, H.; Wang, Z.; Li, Q.; Wu, J. Mechanical properties and corrosion behavior of Al/SiC composites. J. Alloys Compd. 2016, 678, 23–30. [Google Scholar] [CrossRef]
- Ramasubramanian, K.; Arunachalam, N.; Ramachandra Rao, M.S. Wear performance of nano-engineered boron doped graded layer CVD diamond coated cutting tool for machining of Al-SiC MMC. Wear 2019, 426–427, 1536–1547. [Google Scholar] [CrossRef]
- Torres, B.; Garrido, M.A.; Rico, A.; Rodrigo, P.; Campo, M.; Rams, J. Wear behaviour of thermal spray Al/SiCp coatings. Wear 2010, 268, 828–836. [Google Scholar] [CrossRef]
- Rodrigo, P.; Campo, M.; Torres, B.; Escalera, M.D.; Otero, E.; Rams, J. Microstructure and wear resistance of Al-SiC composites coatings on ZE41 magnesium alloy. Appl. Surf. Sci. 2009, 255, 9174–9181. [Google Scholar] [CrossRef]
- Toyserkani, E.; Khajepour, A.; Corbin, S. Laser Cladding Laser Cladding; CRC Press: Boca Raton, FL, USA, 2017; ISBN 0849321727. [Google Scholar]
- Zhu, L.; Xue, P.; Lan, Q.; Meng, G.; Ren, Y.; Yang, Z.; Xu, P.; Liu, Z. Recent research and development status of laser cladding: A review. Opt. Laser Technol. 2021, 138, 106915. [Google Scholar] [CrossRef]
- Das, A.K. Recent trends in laser cladding and alloying on magnesium alloys: A review. Mater. Today Proc. 2021; in press. [Google Scholar] [CrossRef]
- Riquelme, A.; Escalera-Rodriguez, M.D.; Rodrigo, P.; Rams, J. Role of Laser Cladding Parameters in Composite Coating (Al-SiC) on Aluminum Alloy. J. Therm. Spray Technol. 2016, 25, 1177–1191. [Google Scholar] [CrossRef]
- Cui, Y.; Wang, L.; Ren, J. Multi-functional SiC/Al composites for aerospace applications. Chin. J. Aeronaut. 2008, 21, 578–584. [Google Scholar] [CrossRef]
- Zhong, M.; Liu, W. Laser surface cladding: The state of the art and challenges. Proc. Inst. Mech. Eng. Part C J. Mech. Eng. Sci. 2010, 224, 1041–1060. [Google Scholar] [CrossRef]
- Picasso, M.; Rappaz, M. Laser-powder-material interactions in the laser cladding process. J. Phys. 1994, 4, C4-27–C4-33. [Google Scholar] [CrossRef]
- Riquelme, A.; Escalera-Rodríguez, M.D.; Rodrigo, P.; Otero, E.; Rams, J. Effect of alloy elements added on microstructure and hardening of Al/SiC laser clad coatings. J. Alloys Compd. 2017, 727, 671–682. [Google Scholar] [CrossRef]
- Riquelme, A.; Rodrigo, P.; Escalera-rodríguez, M.D.; Rams, J. Characterisation and mechanical properties of Al / SiC metal matrix composite coatings formed on ZE41 magnesium alloys by laser cladding. Results Phys. 2019, 13, 102160. [Google Scholar] [CrossRef]
- Reddy, L.; Preston, S.P.; Shipway, P.H.; Davis, C.; Hussain, T. Process parameter optimisation of laser clad iron based alloy: Predictive models of deposition efficiency, porosity and dilution. Surf. Coat. Technol. 2018, 349, 198–207. [Google Scholar] [CrossRef]
- Bulletin, M.R. Effect of the processing methods on the formation of Al4C3 in SiCp/2024 Al composites. Mater. Res. Bull. 1997, 32, 1155–1163. [Google Scholar]
- Viala, J.C.; Fortier, P.; Bouix, J. Stable and metastable phase equilibria in the chemical interaction between aluminium and silicon carbide. J. Mater. Sci. 1990, 25, 1842–1850. [Google Scholar] [CrossRef]
- Ureña, A.; Rodrigo, P.; Gil, L.; Escalera, M.D.; Baldonedo, J.L. Interfacial reactions in an Al-Cu-Mg (2009)/SiCw composite during liquid processing Part II Arc welding. J. Mater. Sci. 2001, 36, 429–439. [Google Scholar] [CrossRef]
- Ureña, A.; Martínez, E.E.; Rodrigo, P.; Gil, L. Oxidation treatments for SiC particles used as reinforcement in aluminium matrix composites. Compos. Sci. Technol. 2004, 64, 1843–1854. [Google Scholar] [CrossRef]
- Rams, J.; Ureña, A.; Campo, M. Dual layer silica coatings of SiC particle reinforcements in aluminium matrix composites. Surf. Coat. Technol. 2006, 200, 4017–4026. [Google Scholar] [CrossRef]
- Szala, M.; Łatka, L.; Walczak, M.; Winnicki, M. Comparative Study on the Cavitation Erosion and Sliding Wear of Cold-Sprayed Al/Al2O3 and Cu/Al2O3 Coatings, and Stainless Steel, Aluminium Alloy, Copper and Brass. Metals 2020, 10, 856. [Google Scholar] [CrossRef]
- Munoz-Escalona, P.; Mridha, S.; Baker, T. Advances in Surface Engineering Using TIG Processing to Incorporate Ceramic Particulates into Low Alloy and Microalloyed Steels—A Review. Adv. Sci. Technol. Res. J. 2021, 15, 88–98. [Google Scholar] [CrossRef]
- Kanyane, L.R.; Malepe, T.J.; Malatji, N.; Popoola, A.P.I. Synthesis and Characterization of Al–SiC Composite Coatings on 316L Stainless Steel Fabricated via Laser Cladding Technique. Metallogr. Microstruct. Anal. 2021, 10, 601–609. [Google Scholar] [CrossRef]
- Riquelme, A.; Rodrigo, P.; Escalera-Rodriguez, M.D.; Rams, J. Evaluation of the wear resistance and corrosion behavior of laser cladding al/sic metal matrix composite coatings on ze41 magnesium alloy. Coatings 2021, 11, 639. [Google Scholar] [CrossRef]










| Product | – | D50 (µm) | ρ (g·cm−3) |
|---|---|---|---|
| Al 12 wt.% Si | Metco 52C-NS | 71 | 2.7 |
| SiC | Navarro S.A F-360 | 26.2 | 2–2.25 |
| Si | Alfa Aesar | 44 | 2.33 |
| Ti | Alsa Aesar | 74 | 1.6–2.1 |
| Percentage | Abbreviated Name |
|---|---|
| Al12 wt.% Si–30 wt.% SiC | Al12Si/SiC |
| Al40 wt.% Si–30 wt.% SiC | Al40Si/SiC |
| Al12Si wt.%–20 wt.% Ti–30 wt.% SiC | Al12Si20Ti/SiC |
| Alloy | Composition (wt.%) |
|---|---|
| AA6082 | 1.05 Si; 0.23 Fe; 0.03 Cu; 0.57 Mg, 0.57 Mn; 0.02 Zn; 0.02 Ti, balance Al |
| Laser Power (w) | Scan Speed (mm/s) | Distance between Consecutive Laser Lines (mm) | Powder Feed Rate (g/min) | Focal Position of the Laser Beam (mm) |
|---|---|---|---|---|
| 1000 | 10 | 0.7 | 3 | 0 |
Publisher’s Note: MDPI stays neutral with regard to jurisdictional claims in published maps and institutional affiliations. |
© 2021 by the authors. Licensee MDPI, Basel, Switzerland. This article is an open access article distributed under the terms and conditions of the Creative Commons Attribution (CC BY) license (https://creativecommons.org/licenses/by/4.0/).
Share and Cite
Riquelme, A.; Rodrigo, P.; Escalera-Rodriguez, M.D.; Rams, J. Wear Resistance of Aluminum Matrix Composites’ Coatings Added on AA6082 Aluminum Alloy by Laser Cladding. Coatings 2022, 12, 41. https://doi.org/10.3390/coatings12010041
Riquelme A, Rodrigo P, Escalera-Rodriguez MD, Rams J. Wear Resistance of Aluminum Matrix Composites’ Coatings Added on AA6082 Aluminum Alloy by Laser Cladding. Coatings. 2022; 12(1):41. https://doi.org/10.3390/coatings12010041
Chicago/Turabian StyleRiquelme, Ainhoa, Pilar Rodrigo, María Dolores Escalera-Rodriguez, and Joaquin Rams. 2022. "Wear Resistance of Aluminum Matrix Composites’ Coatings Added on AA6082 Aluminum Alloy by Laser Cladding" Coatings 12, no. 1: 41. https://doi.org/10.3390/coatings12010041
APA StyleRiquelme, A., Rodrigo, P., Escalera-Rodriguez, M. D., & Rams, J. (2022). Wear Resistance of Aluminum Matrix Composites’ Coatings Added on AA6082 Aluminum Alloy by Laser Cladding. Coatings, 12(1), 41. https://doi.org/10.3390/coatings12010041

