Plasma Surface Engineering to Biofunctionalise Polymers for β-Cell Adhesion
Abstract
1. Introduction
2. Materials and Methods
2.1. PIII Treatment of Polymers
2.2. Surface Characterisation
2.3. Evaluation of Laminin Attachment on Polymers before and after the PIII Treatment
2.4. Comparison of MIN6 β-Cell Density Adhering to Untreated and PIII-Treated Polymers Coated with Laminin
2.5. Evaluation of Function in Dispersed Primary Mouse β-Cells Cultured on Laminin Coated Surfaces
3. Results
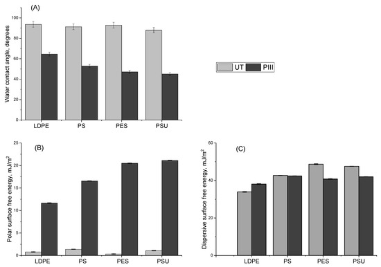
3.1. Surface Properties Change after the PIII Treatment
3.2. Laminin Attachment on Untreated and PIII-Treated Polymers
3.3. MIN6 β-Cell Attachment on Untreated and PIII-Treated Surfaces
4. Conclusions
Author Contributions
Funding
Institutional Review Board Statement
Informed Consent Statement
Data Availability Statement
Acknowledgments
Conflicts of Interest
References
- Tan, R.P.; Hallahan, N.; Kosobrodova, E.; Michael, P.L.; Wei, F.; Santos, M.; Lam, Y.T.; Chan, A.H.P.; Xiao, Y.; Bilek, M.M.M.; et al. Bioactivation of encapsulation membranes reduces fibrosis and enhances cell survival. ACS Appl. Mater. Interfaces 2020, 12, 56908–56923. [Google Scholar] [CrossRef]
- Kragl, M.; Lammert, E. Basement membrane in pancreatic islet function. Adv. Exp. Med. Biol. 2010, 654, 217–234. [Google Scholar] [CrossRef]
- Weber, L.M.; Hayda, K.N.; Anseth, K.S. Cell-matrix interactions improve beta-cell survival and insulin secretion in three-dimensional culture. Tissue Eng. Part A 2008, 14, 1959–1968. [Google Scholar] [CrossRef]
- Otonkoski, T.; Banerjee, M.; Korsgren, O.; Thornell, L.E.; Virtanen, I. Unique basement membrane structure of human pancreatic islets: Implications for beta-cell growth and differentiation. Diabetes Obes. Metab. 2008, 10 (Suppl. 4), 119–127. [Google Scholar] [CrossRef] [PubMed]
- Virtanen, I.; Banerjee, M.; Palgi, J.; Korsgren, O.; Lukinius, A.; Thornell, L.E.; Kikkawa, Y.; Sekiguchi, K.; Hukkanen, M.; Konttinen, Y.T.; et al. Blood vessels of human islets of Langerhans are surrounded by a double basement membrane. Diabetologia 2008, 51, 1181–1191. [Google Scholar] [CrossRef] [PubMed]
- Desai, S.M.; Singh, R.P. Surface modification of polyethylene. In Long Term Properties of Polyolefins; Albertsson, A.-C., Ed.; Springer: Berlin/Heidelberg, Germany, 2004; pp. 231–294. [Google Scholar]
- Singh, R.K.; Jin, G.-Z.; Mahapatra, C.; Patel, K.D.; Chrzanowski, W.; Kim, H.-W. Mesoporous silica-layered biopolymer hybrid nanofibrous scaffold: A novel nanobiomatrix platform for therapeutics delivery and bone regeneration. ACS Appl. Mater. Interfaces 2015, 7, 8088–8098. [Google Scholar] [CrossRef] [PubMed]
- Santiago, L.Y.; Nowak, R.W.; Peter Rubin, J.; Marra, K.G. Peptide-surface modification of poly(caprolactone) with laminin-derived sequences for adipose-derived stem cell applications. Biomaterials 2006, 27, 2962–2969. [Google Scholar] [CrossRef]
- Bilek, M.; McKenzie, D. Plasma modified surfaces for covalent immobilization of functional biomolecules in the absence of chemical linkers: Towards better biosensors and a new generation of medical implants. Biophys. Rev. 2010, 2, 55–65. [Google Scholar] [CrossRef] [PubMed]
- Kosobrodova, E.A.; Kondyurin, A.V.; Fisher, K.; Moeller, W.; McKenzie, D.R.; Bilek, M.M.M. Free radical kinetics in a plasma immersion ion implanted polystyrene: Theory and experiment. Nucl. Instrum. Methods Phys. Res. Sect. B 2012, 280, 26–35. [Google Scholar] [CrossRef]
- Kondyurin, A.; Bilek, M. Ion Beam Treatment of Polymers; Elsevier: Amsterdam, The Netherlands, 2008. [Google Scholar]
- Cisse, I.; Oakes, S.; Sachdev, S.; Toro, M.; Lutondo, S.; Shedden, D.; Atkinson, K.M.; Shertok, J.; Mehan, M.; Gupta, S.K.; et al. Surface modification of polyethersulfone (PES) with UV photo-oxidation. Technologies 2021, 9, 36. [Google Scholar] [CrossRef]
- Yousif, E.; Hasan, A. Photostabilization of poly(vinyl chloride)—Still on the run. J. Taibah Univ. Sci. 2015, 9, 421–448. [Google Scholar] [CrossRef]
- Tran, C.T.; Nosworthy, N.J.; Kondyurin, A.; McKenzie, D.R.; Bilek, M.M. CelB and β-glucosidase immobilization for carboxymethyl cellulose hydrolysis. RSC Adv. 2013, 3, 23604–23611. [Google Scholar] [CrossRef]
- Bax, D.V.; Wang, Y.; Li, Z.; Maitz, P.K.M.; McKenzie, D.R.; Bilek, M.M.M.; Weiss, A.S. Binding of the cell adhesive protein tropoelastin to PTFE through plasma immersion ion implantation treatment. Biomaterials 2011, 32, 5100–5111. [Google Scholar] [CrossRef]
- Tran, C.T.H.; Craggs, M.; Smith, L.M.; Stanley, K.; Kondyurin, A.; Bilek, M.M.; McKenzie, D.R. Covalent linker-free immobilization of conjugatable oligonucleotides on polypropylene surfaces. RSC Adv. 2016, 6, 83328–83336. [Google Scholar] [CrossRef]
- Drobota, M.; Aflori, M.; Gradinaru, L.M.; Coroaba, A.; Butnaru, M.; Vlad, S.; Vasilescu, D.S. Collagen immobilization on ultraviolet light-treated poly(ethylene terephthalate). High Perform. Polym. 2015, 27, 646–654. [Google Scholar] [CrossRef]
- Gan, W.J.; Do, O.H.; Cottle, L.; Ma, W.; Kosobrodova, E.; Cooper-White, J.; Bilek, M.; Thorn, P. Local integrin activation in pancreatic β cells targets insulin secretion to the vasculature. Cell Rep. 2018, 24, 2819–2826.e3. [Google Scholar] [CrossRef] [PubMed]
- Henquin, J.-C. The dual control of insulin secretion by glucose involves triggering and amplifying pathways in β-cells. Diabetes Res. Clin. Pract. 2011, 93, S27–S31. [Google Scholar] [CrossRef]
- Grynkiewicz, G.; Poenie, M.; Tsien, R.Y. A new generation of Ca2+ indicators with greatly improved fluorescence properties. J. Biol. Chem. 1985, 260, 3440–3450. [Google Scholar] [CrossRef]
- Do, O.H.; Low, J.T.; Thorn, P. Lepr(db) mouse model of type 2 diabetes: Pancreatic islet isolation and live-cell 2-photon imaging of intact islets. Journal of visualized experiments. JoVE 2015, 99, e52632. [Google Scholar] [CrossRef]
- Alenazi, N.A.; Hussein, M.A.; Alamry, K.A.; Asiri, A.M. Nanocomposite-based aminated polyethersulfone and carboxylate activated carbon for environmental application. A Real Sample Analysis. C—J. Caron Res. 2018, 4, 30. [Google Scholar] [CrossRef]
- Liu, S.X.; Kim, J.-T. Characterization of surface modification of polyethersulfone membrane. J. Adhes. Sci. Technol. 2011, 25, 193–212. [Google Scholar] [CrossRef]
- Wavhal, D.S.; Fisher, E.R. Membrane surface modification by plasma-induced polymerization of acrylamide for improved surface properties and reduced protein fouling. Langmuir 2003, 19, 79–85. [Google Scholar] [CrossRef]
- Kosobrodova, E.; Kondyurin, A.; McKenzie, D.R.; Bilek, M.M.M. Kinetics of post-treatment structural transformations of nitrogen plasma ion immersion implanted polystyrene. Nucl. Instrum. Methods Phys. Res. Sect. B 2013, 304, 57–66. [Google Scholar] [CrossRef]
- Ashenhhurst, J. 3 Factors That Stabilize Free Radicals. Available online: https://www.masterorganicchemistry.com/2013/08/02/3-factors-that-stabilize-free-radicals/ (accessed on 15 July 2021).
- Kondyurin, A.V.; Naseri, P.; Tilley, J.M.R.; Nosworthy, N.J.; Bilek, M.M.M.; McKenzie, D.R. Mechanisms for covalent immobilization of horseradish peroxi-dase on ion beam treated polyethylene. Scientifica 2011, arXiv:1110.3125. [Google Scholar]
- Kosobrodova, E.; Kondyurin, A.; Solodko, V.; Weiss, A.S.; McKenzie, D.R.; Bilek, M.M.M. Covalent biofunctionalization of the inner surfaces of a hollow-fiber capillary bundle using packed-bed plasma ion implantation. ACS Appl. Mater. Interfaces 2020, 12, 32163–32174. [Google Scholar] [CrossRef]
- MacDonald, C.; Morrow, R.; Weiss, A.S.; Bilek, M.M.M. Covalent attachment of functional protein to polymer surfaces: A novel one-step dry process. J. R. Soc. Interface 2008, 5, 663–669. [Google Scholar] [CrossRef]
- Hirsh, S.L.; Bilek, M.M.M.; Nosworthy, N.J.; Kondyurin, A.; Dos Remedios, C.G.; McKenzie, D.R. A comparison of covalent immobilization and physical adsorption of a cellulase enzyme mixture. Langmuir 2010, 26, 14380–14388. [Google Scholar] [CrossRef]
- MacDonald, P.E.; Rorsman, P. Oscillations, intercellular coupling, and insulin secretion in pancreatic β cells. PLoS Biol. 2006, 4, e49. [Google Scholar] [CrossRef]
- Rorsman, P.; Trube, G. Calcium and delayed potassium currents in mouse pancreatic beta-cells under voltage-clamp conditions. J. Physiol. 1986, 374, 531–550. [Google Scholar] [CrossRef]
- Ravier, M.A.; Güldenagel, M.; Charollais, A.; Gjinovci, A.; Caille, D.; Söhl, G.; Wollheim, C.B.; Willecke, K.; Henquin, J.-C.; Meda, P. Loss of connexin36 channels alters β-cell coupling, islet synchronization of glucose-induced Ca2+ and insulin oscillations, and basal insulin release. Diabetes 2005, 54, 1798–1807. [Google Scholar] [CrossRef] [PubMed]
- Hirsh, S.L.; McKenzie, D.R.; Nosworthy, N.J.; Denman, J.A.; Sezerman, O.U.; Bilek, M.M.M. The Vroman effect: Competitive protein exchange with dynamic multilayer protein aggregates. Colloids Surf. B 2013, 103, 395–404. [Google Scholar] [CrossRef]
- Ranieri, J.P.; Bellamkonda, R.; Bekos, E.J.; Vargo, T.G.; Gardella, J.A., Jr.; Aebischer, P. Neuronal cell attachment to fluorinated ethylene propylene films with covalently immobilized laminin oligopeptides YIGSR and IKVAV. II. J. Biomed. Mater. Res. 1995, 29, 779–785. [Google Scholar] [CrossRef]










| Sample | C1s | N1s | O1s | S2p |
|---|---|---|---|---|
| LDPE | 99.6 | 0.0 | 0.4 | - |
| PIII LDPE | 73.5 | 8.9 | 17.6 | - |
| UT PS | 99.3 | 0.0 | 0.8 | - |
| PIII PS | 75.4 | 8.5 | 16.1 | - |
| UT PES | 75.5 | 0.0 | 18.3 | 6.2 |
| PIII PES | 67.0 | 8.5 | 20.4 | 4.1 |
| UT PSU | 78.4 | 0.6 | 17.9 | 3.1 |
| PIII PSU | 69.3 | 9.2 | 19.4 | 2.1 |
Publisher’s Note: MDPI stays neutral with regard to jurisdictional claims in published maps and institutional affiliations. |
© 2021 by the authors. Licensee MDPI, Basel, Switzerland. This article is an open access article distributed under the terms and conditions of the Creative Commons Attribution (CC BY) license (https://creativecommons.org/licenses/by/4.0/).
Share and Cite
Tran, C.; Hallahan, N.; Kosobrodova, E.; Tong, J.; Thorn, P.; Bilek, M. Plasma Surface Engineering to Biofunctionalise Polymers for β-Cell Adhesion. Coatings 2021, 11, 1085. https://doi.org/10.3390/coatings11091085
Tran C, Hallahan N, Kosobrodova E, Tong J, Thorn P, Bilek M. Plasma Surface Engineering to Biofunctionalise Polymers for β-Cell Adhesion. Coatings. 2021; 11(9):1085. https://doi.org/10.3390/coatings11091085
Chicago/Turabian StyleTran, Clara, Nicole Hallahan, Elena Kosobrodova, Jason Tong, Peter Thorn, and Marcela Bilek. 2021. "Plasma Surface Engineering to Biofunctionalise Polymers for β-Cell Adhesion" Coatings 11, no. 9: 1085. https://doi.org/10.3390/coatings11091085
APA StyleTran, C., Hallahan, N., Kosobrodova, E., Tong, J., Thorn, P., & Bilek, M. (2021). Plasma Surface Engineering to Biofunctionalise Polymers for β-Cell Adhesion. Coatings, 11(9), 1085. https://doi.org/10.3390/coatings11091085

