Preparation and Application of Polyurethane Coating Material Based on Epoxycyclohexane-Epoxychloropropane Protective for Paper
Abstract
:1. Introduction
2. Materials and Methods
2.1. Materials
2.2. Preparation of Epoxycyclohexane-Epoxychloropropane Polyether Polyol
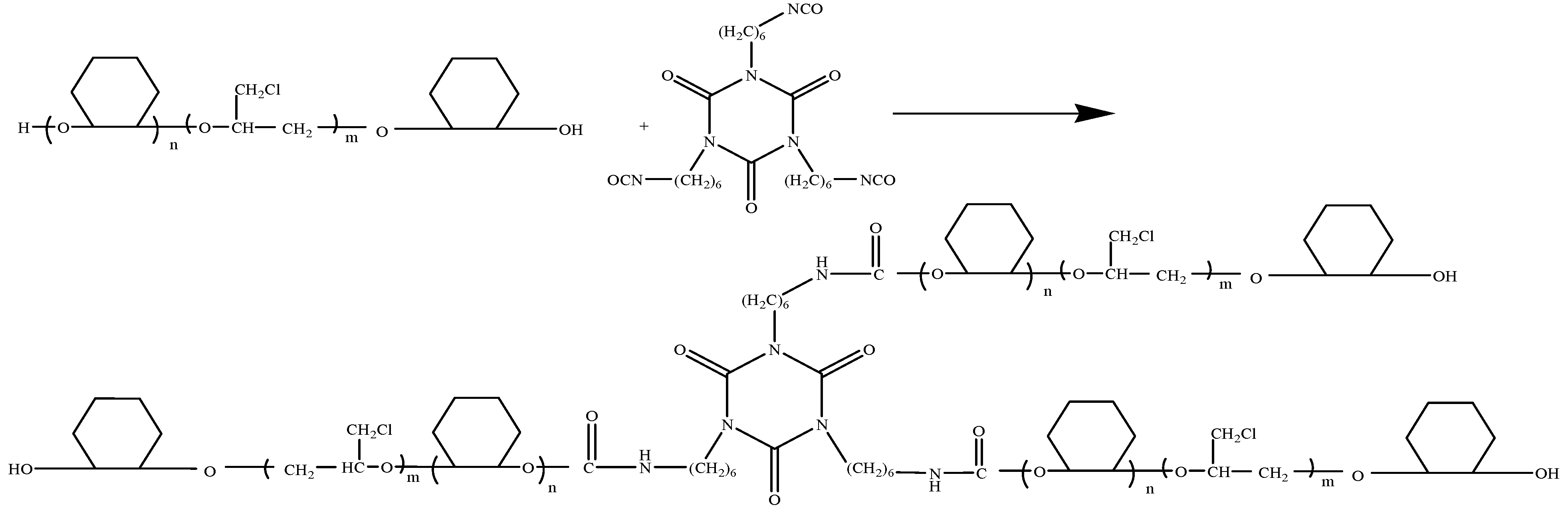
2.3. Preparation of Polyurethane Based on Epoxycyclohexane-Epoxychloropropane Polyether Polyol
2.4. Paper Coating
2.5. Analysis and Testing Methods
3. Results and Discussion
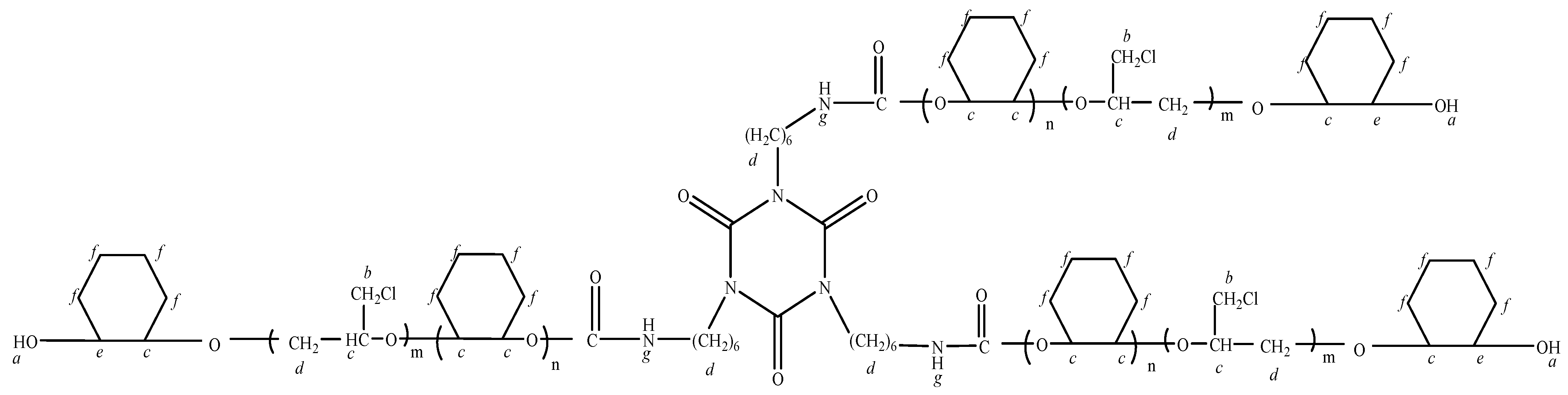
3.1. The Reaction Mechanism of Epoxycyclohexane-Epoxychloropropane Polyether Polyol
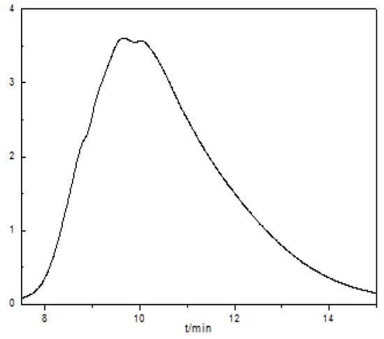
3.2. Properties of Polyurethane Based on Epoxycyclohexane-Epoxychloropropane Polyether Polyol
3.3. Application of Polyurethane Based on Epoxycyclohexane-Epoxychloropropane Polyether Polyol in Paper
4. Conclusions
Author Contributions
Funding
Institutional Review Board Statement
Informed Consent Statement
Data Availability Statement
Conflicts of Interest
Sample Availability
Abbreviations
References
- Camargos, C.H.M. Cellulose nanocrystal-based composite for restoration of lacunae on damaged documents and artworks on paper. J. Cult. Herit. 2017, 23, 170–175. [Google Scholar] [CrossRef]
- Vohrer, U. Plasma treatment-an increasing technology for paper restoration? Surf. Coat. Technol. 2001, 142, 1069–1073. [Google Scholar] [CrossRef]
- Qiao, L. The application of poly(methyl methacrylate-co-butyl acrylate-co-styrene) in reinforcing fragile papers: Experiments and computer simulations. Cellulose 2017, 24, 5157–5171. [Google Scholar] [CrossRef]
- El-Feky, O.M. Use of ZnO nanoparticles for protecting oil paintings on paper support against dirt, fungal attack, and UV aging. J. Cult. Herit. 2014, 15, 165–172. [Google Scholar] [CrossRef]
- Afsharpour, M. Preventive protection of paper works by using nanocomposite coating of zinc oxide. J. Cult. Herit. 2017, 25, 142–148. [Google Scholar] [CrossRef]
- Jin, S.S. A transparent polyurethane based on nanosilica in reinforcing papers. Nord. Pulp Pap. Res. J. 2020, 36, 82–90. [Google Scholar] [CrossRef]
- Melo, D. Stains versus colourants produced by fungi colonising paper cultural heritage: A review. J. Cult. Herit. 2019, 35, 161–182. [Google Scholar] [CrossRef]
- Xu, J. Synthesis of microcrystalline cellulose/TiO2/fluorine/styrene-acrylate coatings and the application for simulated paper cultural relic protection. Cellulose 2020, 27, 6549–6562. [Google Scholar] [CrossRef]
- Chen, Q. Preparation and application of modified carboxymethyl cellulose Si/polyacrylate protective coating material for paper relics. Chem. Pap. 2016, 70, 946–959. [Google Scholar] [CrossRef]
- Totolin, M.I. Positive findings for plasma polymer (meth)acrylate thin films in heritage protective applications. J. Cult. Herit. 2011, 12, 392–398. [Google Scholar] [CrossRef]
- Chao-Shi, M.U. Study progress in polyether polyol. Chem. Ind. Dev. 2009, 38, 13–18. [Google Scholar]
- Qian, B.Z. Development progress on polyether polyol at home and abroad. FineSpec. Chem. 2010, 18, 5–12. [Google Scholar]
- Sung, C.S.P. Properties of segmented polyether poly(urethaneureas) based of 2,4-toluene diisocyanate infrared and mechanical studies. Macromolecules 1980, 13, 117–121. [Google Scholar] [CrossRef]
- Adhikari, R. Mixed macrodiol-based siloxane polyurethanes: Effect of the comacrodiol structure on properties and morphology. J. Appl. Polym. 2015, 78, 1071–1082. [Google Scholar] [CrossRef]
- Wang, C.B. Morphology and properties of segmented polyether polyurethaneureas. Macromolecules 1983, 16, 775–786. [Google Scholar] [CrossRef]
- Miller, J.A. Properties of polyether-polyurethane block copolymers:Effects of hard segment length distribution. Macromolecules 1985, 18, 32–44. [Google Scholar] [CrossRef]
- Gui, X. Synthesis of CHO-THF PolyetherTransparent PolyurethaneMaterials; Zhengzhou University: Zhengzhou, China, 2017. [Google Scholar]
- Jin, S.S. Study on Conservation Materials of Silicon-Based Polyurethane for Paper Relics; Zhengzhou University: Zhengzhou, China, 2019. [Google Scholar]
- Liu, J. Preparation and Application of Polyurethane Coating Material Based on Epoxy Cyclohexane Protective for Paper. Coatings 2021, 11, 431. [Google Scholar] [CrossRef]
- Qiao, Y.H. Synthesis of Polyether Polyol and Preparation of Polyurethane Materials Based on Epoxy Cyclohexane and Epichlorohydrin; Zhengzhou University: Zhengzhou, China, 2018. [Google Scholar]
- Jin, S.S. Study on the application of oligomers in paper reinforcement protection. J. Chem. 2018, 1, 229–233. [Google Scholar]
- Jin, S.S. The application of organosilicon modifiedpolyurethane in reinforcing traditional paper. Nord. Pulp Pap. Res. J. 2019, 34, 485–494. [Google Scholar] [CrossRef]
- Yang, N.N. Study on Synthesis and Properties of Transparent Polyurethane Materials Based on Epoxy Cyclohexane; Zhengzhou University: Zhengzhou, China, 2016. [Google Scholar]
- Yan, L. Deteriorated Paper Conservation with Cellulose Solution Based on NaOH/urea Solvent; Zhengzhou University: Zhengzhou, China, 2019. [Google Scholar]
- GB/T12914-2008. Paper and Board-Determination of Tensile Properties; Standards Press of China: Beijing, China, 2008. [Google Scholar]
- GB/T 457-2008. Paper and Board-Determination of Folding Endurance; Standards Press of China: Beijing, China, 2008. [Google Scholar]
- GB/T 455-2002. Paper and Board-Determination of Tearing Resistance; Standards Press of China: Beijing, China, 2002. [Google Scholar]
- GB/T 8941-2013. Paper and Board-Measurement of Specular Gloss; Standards Press of China: Beijing, China, 2013. [Google Scholar]
- GB/T 7974-2013. Paper, Board and Pulps-Measurement of Diffuse Blue Reflectance Factor-D65 Brightness; Standards Press of China: Beijing, China, 2013. [Google Scholar]
- Li, Y. Paper conservation with an aqueous NaOH/urea cellulose solution. Cellulose 2019, 26, 4589–4599. [Google Scholar] [CrossRef]

















| Characteristic Functional Groups | Chemical Shift δ, ppm |
|---|---|
| a | 3.9 |
| b | 3.6 |
| c | 3.7 |
| d | 3.3 |
| e | 2.0 |
| f | 1.6 |
| Characteristic Functional Groups | Chemical Shift δ, ppm |
|---|---|
| a | 3.9 |
| b | 3.6 |
| c | 3.7 |
| d | 3.3 |
| e | 2.0 |
| f | 1.6 |
| g | 5-9 |
Publisher’s Note: MDPI stays neutral with regard to jurisdictional claims in published maps and institutional affiliations. |
© 2021 by the authors. Licensee MDPI, Basel, Switzerland. This article is an open access article distributed under the terms and conditions of the Creative Commons Attribution (CC BY) license (https://creativecommons.org/licenses/by/4.0/).
Share and Cite
Liu, J.; Jin, S.-S.; Qi, Y.-P.; Shen, Y.-F.; Li, H. Preparation and Application of Polyurethane Coating Material Based on Epoxycyclohexane-Epoxychloropropane Protective for Paper. Coatings 2021, 11, 1005. https://doi.org/10.3390/coatings11081005
Liu J, Jin S-S, Qi Y-P, Shen Y-F, Li H. Preparation and Application of Polyurethane Coating Material Based on Epoxycyclohexane-Epoxychloropropane Protective for Paper. Coatings. 2021; 11(8):1005. https://doi.org/10.3390/coatings11081005
Chicago/Turabian StyleLiu, Juan, Shan-Shan Jin, Ying-Ping Qi, Yong-Feng Shen, and Hua Li. 2021. "Preparation and Application of Polyurethane Coating Material Based on Epoxycyclohexane-Epoxychloropropane Protective for Paper" Coatings 11, no. 8: 1005. https://doi.org/10.3390/coatings11081005
APA StyleLiu, J., Jin, S.-S., Qi, Y.-P., Shen, Y.-F., & Li, H. (2021). Preparation and Application of Polyurethane Coating Material Based on Epoxycyclohexane-Epoxychloropropane Protective for Paper. Coatings, 11(8), 1005. https://doi.org/10.3390/coatings11081005
