Enhancing the Functional and Environmental Properties of Asphalt Binders and Asphalt Mixtures Using Tourmaline Anion Powder Modification
Abstract
1. Introduction
1.1. Literature Review and Study Motivation
1.2. Study Objectives and Scope of Work
2. Study Matrix Plan and Materials
2.1. Base Asphalt Binder
2.2. Tourmaline Anionic Powder (TAP)
2.3. Surface Modification Process
3. Laboratory Experimentation and Testing
3.1. Measurement of the Volatile Organic Compounds (VOC)
3.2. The Leaching Test of Heavy Metals
3.3. Morphological and Microstructure Characterization
3.4. Measuring the Piezoelectric and Thermoelectric Properties
3.5. The Semi-Circular Bending (SCB) Test
3.6. The 4-Point Flexural Bending Beam Fatigue (FBBF) Test
4. Laboratory Results, Analysis, and Discussions
4.1. DSR Rheological Properties and Synthesis
4.2. VOC Emission Results and Synthesis
4.3. Heavy Metal Leaching Results and Synthesis
4.4. SEM Morphological and Microstructure Results
4.5. Piezoelectric and Thermoelectric Properties
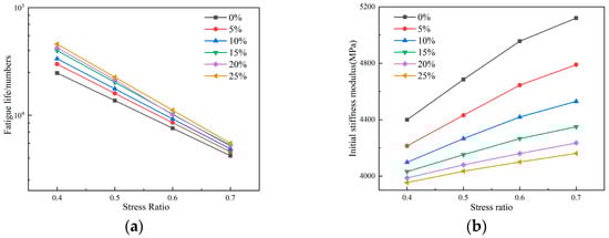
4.6. Fracture Properties and Fatigue Life of the TAPMA Mixture
5. Conclusions and Recommendations
- The addition of TAP improved the temperature tolerance, complex shear modulus, and rutting resistance of the TAP-modified asphalt binders;
- Whilst high temperature promoted VOCs emission, TAP exhibited the potential to inhibit VOCs emission;
- TAP indicated a potential to promote heavy metal leaching and that the TAP concentration had a significant effect on the heavy metal leaching of the asphalt binder;
- TAP indicated a potential for even distribution within the asphalt binder for TAP contents less than 25%. Thus, to optimize homogeneity within the asphalt binder matrix, the optimum TAP dosage should be less than 25%;
- TAP-modified asphalt binder indicated a potential to improve the low-temperature fracture properties and performance of the corresponding asphalt mixture, with the tensile strength results suggesting 15% as the optimum TAP dosage. Further, TAP reduced the initial stiffness modulus of the modified asphalt mixtures with a corresponding gain in the fatigue life.
Author Contributions
Funding
Data Availability Statement
Acknowledgments
Conflicts of Interest
References
- Zhou, X.; Moghaddam, T.B.; Chen, M.; Wu, S.; Adhikari, S. Biochar removes volatile organic compounds generated from asphalt. Sci. Total Environ. 2020, 745. [Google Scholar] [CrossRef]
- Puccini, M.; Leandri, P.; Tasca, A.L.; Pistonesi, L.; Losa, M. Improving the Environmental Sustainability of Low Noise Pavements: Comparative Life Cycle Assessment of Reclaimed Asphalt and Crumb Rubber Based Warm Mix Technologies. Coatings 2019, 9, 343. [Google Scholar] [CrossRef]
- Zhang, H.; Chen, Z.; Xu, G.; Shi, C. Evaluation of aging behaviors of asphalt binders through different rheological indices. Fuel 2018, 221, 78–88. [Google Scholar] [CrossRef]
- Zhang, J.; Yao, Z.; Wang, K.; Wang, F.; Jiang, H.; Liang, M.; Wei, J.; Airey, G. Sustainable utilization of bauxite residue (Red Mud) as a road material in pavements: A critical review. Constr. Build. Mater. 2021, 270. [Google Scholar] [CrossRef]
- Xia, B.; Ding, T.; Xiao, J. Life cycle assessment of concrete structures with reuse and recycling strategies: A novel framework and case study. Waste Manag. 2020, 105, 268–278. [Google Scholar] [CrossRef]
- Khare, P.; Machesky, J.; Soto, R.; He, M.; Presto, A.A.; Gentner, D.R. Asphalt-related emissions are a major missing nontraditional source of secondary organic aerosol precursors. Sci. Adv. 2020, 6. [Google Scholar] [CrossRef] [PubMed]
- Anthonissen, J.; Bergh, W.V.D.; Braet, J. Review and environmental impact assessment of green technologies for base courses in bituminous pavements. Environ. Impact Assess. Rev. 2016, 60, 139–147. [Google Scholar] [CrossRef]
- Zhang, Y.; Gong, H.; Jiang, X.; Lv, X.; Xiao, R.; Huang, B. Environmental impact assessment of pavement road bases with reuse and recycling strategies: A comparative study on geopolymer stabilized macadam and conventional alternatives. Transp. Res. Part D Transp. Environ. 2021, 93. [Google Scholar] [CrossRef]
- Santos, J.; Cerezo, V.; Soudani, K.; Bressi, S. A Comparative Life Cycle Assessment of Hot Mixes Asphalt Containing Bituminous Binder Modified with Waste and Virgin Polymers. Proc. CIRP 2018, 69, 194–199. [Google Scholar] [CrossRef]
- Zhao, Y.Z.; Wang, P.; Wang, C.H.; Li, Y.W. Investigation of Road Performance and Colloidal Structure of Tourmaline Modified Asphalt. Adv. Mater. Res. 2012, 535–537, 1731–1734. [Google Scholar] [CrossRef]
- Casado-Barrasa, R.; Lastra-González, P.; Indacoechea-Vega, I.; Castro-Fresno, D. Assessment of carbon black modified binder in a sustainable asphalt concrete mixture. Constr. Build. Mater. 2019, 211, 363–370. [Google Scholar] [CrossRef]
- Li, J.; Yang, S.; Liu, Y.; Muhammad, Y.; Su, Z.; Yang, J. Studies on the properties of modified heavy calcium carbonate and SBS composite modified asphalt. Constr. Build. Mater. 2019, 218, 413–423. [Google Scholar] [CrossRef]
- Mu, Y.; Ma, F.; Dai, J.; Li, C.; Fu, Z.; Yang, T.; Jia, M. Investigation on High Temperature Rheological Behaviors and Fatigue Performance of Trans-Polyoctenamer-Activated Crumb Rubber Modified Asphalt Binder. Coatings 2020, 10, 771. [Google Scholar] [CrossRef]
- Arabani, M.; Shabani, A. Evaluation of the ceramic fiber modified asphalt binder. Constr. Build. Mater. 2019, 205, 377–386. [Google Scholar] [CrossRef]
- Guo, F.; Pei, J.; Zhang, J.; Xue, B.; Sun, G.; Li, R. Study on the adhesion property between asphalt binder and aggregate: A state-of-the-art review. Constr. Build. Mater. 2020, 256. [Google Scholar] [CrossRef]
- Mikhailenko, P.; Baaj, H. Comparison of Chemical and Microstructural Properties of Virgin and Reclaimed Asphalt Pavement Binders and Their Saturate, Aromatic, Resin, and Asphaltene Fractions. Energy Fuels 2019, 33, 2633–2640. [Google Scholar] [CrossRef]
- Chen, Q.; Wang, C.; Wen, P.; Wang, M.; Zhao, J. Comprehensive performance evaluation of low-carbon modified asphalt based on efficacy coefficient method. J. Clean. Prod. 2018, 203, 633–644. [Google Scholar] [CrossRef]
- Miricioiu, M.G.; Niculescu, V.-C. Fly Ash, from Recycling to Potential Raw Material for Mesoporous Silica Synthesis. Nano Mater. 2020, 10, 474. [Google Scholar] [CrossRef] [PubMed]
- Woszuk, A.; Bandura, L.; Franus, W. Fly ash as low cost and environmentally friendly filler and its effect on the properties of mix asphalt. J. Clean. Prod. 2019, 235, 493–502. [Google Scholar] [CrossRef]
- Ding, H.; Rahman, A.; Li, Q.; Qiu, Y. Advanced mechanical characterization of asphalt mastics containing tourmaline modifier. Constr. Build. Mater. 2017, 150, 520–528. [Google Scholar] [CrossRef]
- Meng, J.-P.; Liang, J.-S.; Liang, G.-C.; Yu, J.-M.; Pan, Y.-F. Effects of tourmaline on microstructures and photocatalytic activity of TiO2/SiO2 composite powders. Trans. Nonferrous Met. Soc. Chin. 2006, 16, s547–s550. [Google Scholar] [CrossRef]
- Hawthorne, F.C.; Henry, D.J. Classification of the minerals of the tourmaline group. Eur. J. Mineral. 1999, 11, 201–215. [Google Scholar] [CrossRef]
- Setkova, T.; Shapovalov, Y.; Balitsky, V. Growth of tourmaline single crystals containing transition metal elements in hydrothermal solutions. J. Cryst. Growth 2011, 318, 904–907. [Google Scholar] [CrossRef]
- Yeh, J.-T.; Wei, W.; Hsiung, H.-H.; Jiang, T. Negative air ions releasing properties of tourmaline contained ethylene propylene diene terpolymer/polypropylene thermoplastic elastomers. J. Appl. Polym. Sci. 2008, 109, 82–89. [Google Scholar] [CrossRef]
- Wang, C.; Chen, Q.; Guo, T.; Li, Q. Environmental effects and enhancement mechanism of graphene/tourmaline composites. J. Clean. Prod. 2020, 262. [Google Scholar] [CrossRef]
- Li, G.; Chen, D.; Zhao, W.; Zhang, X. Efficient adsorption behavior of phosphate on La-modified tourmaline. J. Environ. Chem. Eng. 2015, 3, 515–522. [Google Scholar] [CrossRef]
- Wang, F.; Meng, J.; Liang, J.; Fang, B.; Zhang, H. Insight into the Thermal Behavior of Tourmaline Mineral. JOM 2019, 71, 2468–2474. [Google Scholar] [CrossRef]
- Luo, Y.; Chen, Q.; Wang, C.; Guo, T. Preparation and improved negative ion release of graphene/tourmaline composite. Mater. Res. Express 2019, 6. [Google Scholar] [CrossRef]
- Ye, Q.; Dong, W.; Wang, S.; Li, H. Research on the Rheological Characteristics and Aging Resistance of Asphalt Modified with Tourmaline. Materials 2019, 13, 69. [Google Scholar] [CrossRef]
- Wang, X.Q.; Dong, B.; Wang, C.H.; Wang, X.H. Research on Proportioning Design of Tourmaline Modified Asphalt Mixture. Appl. Mech. Mater. 2013, 405–408, 1928–1931. [Google Scholar] [CrossRef]
- Hu, S.M.; Wang, C.H.; Le Du, Q.; Li, R. Research on Aging Properties of Tourmaline Modified Asphalt. Adv. Mater. Res. 2012, 535–537, 1715–1718. [Google Scholar] [CrossRef]
- Mozaffari, S.; Tchoukov, P.; Atias, J.; Czarnecki, J.; Nazemifard, N. Effect of Asphaltene Aggregation on Rheological Properties of Diluted Athabasca Bitumen. Energy Fuels 2015, 29, 5595–5599. [Google Scholar] [CrossRef]
- Ghasemi, H.; Mozaffari, S.; Mousavi, S.H.; Aghabarari, B.; Abu-Zahra, N. Decolorization of wastewater by heterogeneous Fenton reaction using MnO2-Fe3O4/CuO hybrid catalysts. J. Environ. Chem. Eng. 2021, 9. [Google Scholar] [CrossRef]
- ASTM D2872. Standard test method for effect of heat and air on a moving film of asphalt (rolling thin-film oven test). Am. Soc. Test. Mater. 2019, 1–6. [Google Scholar] [CrossRef]
- Wang, C.-H.; Li, Y.-W.; Sun, X.-L.; Gao, Z.-W. Automobile Exhaust-Purifying Performance of Tourmaline-Modified Asphalt Concrete. J. Mater. Civ. Eng. 2017, 29. [Google Scholar] [CrossRef]
- Çelikbilek, Y.; Tüysüz, F. An integrated grey based multi-criteria decision making approach for the evaluation of renewable energy sources. Energy 2016, 115, 1246–1258. [Google Scholar] [CrossRef]
- Chen, Q.; Wang, C.; Wen, P.; Sun, X.; Guo, T. Performance evaluation of tourmaline modified asphalt mixture based on grey target decision method. Constr. Build. Mater. 2019, 205, 137–147. [Google Scholar] [CrossRef]
- Chen, X.-F.; Kou, S.-C.; Xing, F. Effect of Agriculture and Construction Wastes on the Properties of Magnesium Oxychloride Cement Mortar with Tourmaline Powder. Materials 2018, 12, 115. [Google Scholar] [CrossRef] [PubMed]
- JTG E20-2011. Standard Test Methods for Bitumen and Bituminous Mixture of Highway Engineering; Ministry of Transport: Beijing, China, 2011.
- Shinoda, K.; Fukuda, M.; Carlsson, A. Characteristic solution properties of mono-, di-, and triglyceryl alkyl ethers: Lipophobicity of hydrophilic groups. Langmuir 1990, 6, 334–337. [Google Scholar] [CrossRef]
- Biermann, O.; Hädicke, E.; Koltzenburg, S.; Müller-Plathe, F. Hydrophilicity and Lipophilicity of Cellulose Crystal Surfaces. Angew Chem. Int. Ed. 2010, 40, 3822–3825. [Google Scholar] [CrossRef]
- Walubita, L.F.; Jamison, B.P.; Das, G.; Scullion, T.; Martin, A.E.; Rand, D.; Mikhail, M. Search for a Laboratory Test to Evaluate Crack Resistance of Hot-Mix Asphalt. Transp. Res. Rec. J. Transp. Res. Board 2011, 2210, 73–80. [Google Scholar] [CrossRef]
- Walubita, L.; Faruk, A.; Das, G.; Tanvir, H.; Zhang, J.; Scullion, T. The Overlay Tester: A Sensitivity Study to Improve Repeatability and Minimize Variability in the Test Results; The National Academies of Sciences: Washington, DC, USA, 2012. [Google Scholar]
- Lee, S.I.; Faruk, A.N.M.; Walubita, L.F. Comparison of Fracture Cracking Parameters from Monotonic Loading Tests: Indirect Tension and Monotonic Overlay Tester Tests. Transp. Res. Rec. J. Transp. Res. Board 2016, 2576, 19–27. [Google Scholar] [CrossRef]
- Faruk, A.; Xiaodi, H.; Lopez, Y.; Walubita, L. Using the Fracture Energy Index Concept to Characterize the HMA Cracking Resistance Potential under Monotonic Crack Testing. Int. J. Pavement. Res. Technol. 2014, 2, 40–48. [Google Scholar] [CrossRef]
- Walubita, L.F. Comparison of Fatigue Analysis Approaches for Predicting Fatigue Lives of Hot-Mix Asphalt Concrete (HMAC) Mixtures. 2006. Available online: https://oaktrust.library.tamu.edu/handle/1969.1/3898 (accessed on 7 April 2021).
- Walubita, L.F.; Mahmoud, E.; Fuentes, L.; Prakoso, A.; Lee, S.I.; Souliman, M.; Komba, J.J. Correlating the asphalt-binder high-temperature properties (DSR) to HMA permanent deformation (RLPD) and field rutting: A laboratory-field study. Constr. Build. Mater. 2020, 262, 120761. [Google Scholar] [CrossRef]








| Technical Indices | Unit | Specification | Results | |
|---|---|---|---|---|
| Penetration (25 °C, 100 g, 5 s) | 0.1 mm | 60–80 | 61 | |
| Penetration index, PI | – | −1.5 ~ +1.0 | −1.42 | |
| Softening point, TR&B | °C | ≥46 | 48.5 | |
| Ductility (15 °C, 5 cm/min) | cm | ≥100 | >100 | |
| Ductility (10 °C, 5 cm/min) | cm | ≥15 | 18.3 | |
| Density @ 15 °C | g/cm3 | / | 1.044 | |
| Flash point | °C | ≥260 | 336 | |
| Dynamic viscosity @ 60 °C | Pa·s | ≥180 | 202 | |
| Kinematic viscosity @ 135 °C | Pa·s | / | 0.418 | |
| After RTFOT (163 °C, 85 min) | Mass change | % | −0.8 ~ +0.8 | 0.092 |
| Penetration ratio @ 25 °C | % | ≥61 | 72 | |
| Ductility (10 °C, 5 cm/min) | cm | ≥6 | 6.2 | |
| Ductility (15 °C, 5 cm/min) | cm | / | 49.4 | |
| Chemical Components | Al2O3 | SiO2 | B2O3 | Fe2O3 | MgO | FeO | Na2O | Other |
|---|---|---|---|---|---|---|---|---|
| Contents/% | 35.1 | 34.8 | 11.0 | 10.2 | 4.7 | 1.4 | 0.9 | trace |
| Type | 160 °C VOCs Concentration | 180 °C VOCs Concentration |
|---|---|---|
| Base asphalt-binder | 253.1 | 696.0 |
| 5% TAPMA | 139.3 | 235.1 |
| 10% TAPMA | 112.2 | 189.2 |
| 15% TAPMA | 90.4 | 124.9 |
| 20% TAPMA | 87.0 | 123.5 |
| 25% TAPMA | 71.4 | 105.1 |
| Type | Al | Si | Mg | Fe | Na | La |
|---|---|---|---|---|---|---|
| Base asphalt binder | 0.15 | 0.24 | 0.23 | 0.58 | 0.62 | 0.01 |
| 5% TAPMA | 0.19 | 0.28 | 0.45 | 1.25 | 0.63 | 0.02 |
| 10% TAPMA | 0.23 | 0.31 | 0.52 | 1.46 | 0.64 | 0.04 |
| 15% TAPMA | 0.27 | 0.35 | 0.61 | 1.58 | 0.65 | 0.05 |
| 20% TAPMA | 0.31 | 0.38 | 0.68 | 1.63 | 0.65 | 0.05 |
| 25% TAPMA | 0.35 | 0.42 | 0.72 | 1.72 | 0.65 | 0.06 |
| Type | Piezoelectric Constant (pC/N) | Dielectric Constant (10–12 F/m) | Electrical Conductivity (S/m) | Seebeck Constant (μV/K) |
|---|---|---|---|---|
| TAP | 3.98 | 3.54 | 4.9 | 172.2 |
| 5% TAPMA | 3.29 | 3.30 | 4.5 | 174.4 |
| 10% TAPMA | 3.32 | 3.45 | 4.8 | 176.2 |
| 15% TAPMA | 3.41 | 3.51 | 5.6 | 179.8 |
| 20% TAPMA | 3.45 | 3.56 | 5.7 | 180.1 |
| 25% TAPMA | 3.48 | 3.59 | 5.8 | 180.3 |
Publisher’s Note: MDPI stays neutral with regard to jurisdictional claims in published maps and institutional affiliations. |
© 2021 by the authors. Licensee MDPI, Basel, Switzerland. This article is an open access article distributed under the terms and conditions of the Creative Commons Attribution (CC BY) license (https://creativecommons.org/licenses/by/4.0/).
Share and Cite
Zhang, X.; Zhou, X.; Xu, X.; Zhang, F.; Chen, L. Enhancing the Functional and Environmental Properties of Asphalt Binders and Asphalt Mixtures Using Tourmaline Anion Powder Modification. Coatings 2021, 11, 550. https://doi.org/10.3390/coatings11050550
Zhang X, Zhou X, Xu X, Zhang F, Chen L. Enhancing the Functional and Environmental Properties of Asphalt Binders and Asphalt Mixtures Using Tourmaline Anion Powder Modification. Coatings. 2021; 11(5):550. https://doi.org/10.3390/coatings11050550
Chicago/Turabian StyleZhang, Xiaorui, Xinxing Zhou, Xinquan Xu, Fan Zhang, and Leilei Chen. 2021. "Enhancing the Functional and Environmental Properties of Asphalt Binders and Asphalt Mixtures Using Tourmaline Anion Powder Modification" Coatings 11, no. 5: 550. https://doi.org/10.3390/coatings11050550
APA StyleZhang, X., Zhou, X., Xu, X., Zhang, F., & Chen, L. (2021). Enhancing the Functional and Environmental Properties of Asphalt Binders and Asphalt Mixtures Using Tourmaline Anion Powder Modification. Coatings, 11(5), 550. https://doi.org/10.3390/coatings11050550

