Anti-Corrosion Performance of Polyaniline Coated Basalt Rockwool Wastes/Epoxy Resin Coatings
Abstract
1. Introduction
2. Experimental
2.1. Materials
2.2. Method
2.2.1. Synthesis of PANI and PANI@BRW
2.2.2. Preparation of Coatings
2.3. Characterization
2.3.1. Characterization of PANI and PANI@BRW
2.3.2. Characterization of Coatings
3. Results and Discussion
3.1. Characterization of PANI and PANI@BRW
3.1.1. Micromorphology Analysis
3.1.2. Microstructure Characterization
3.1.3. X-ray Diffraction Analysis
3.1.4. Stability of Samples in Different Solvents
3.1.5. Thermogravimetric Analysis
3.2. Characterization of the Coatings
3.2.1. Salt Spray Test
3.2.2. Open Circuit Potential (OCP)
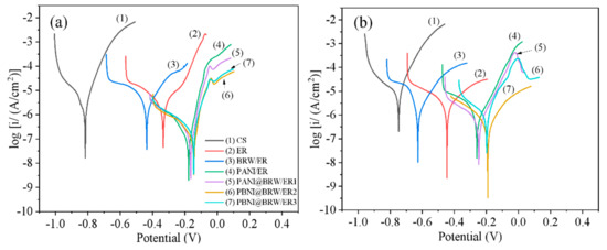
3.2.3. Polarization Curve Test
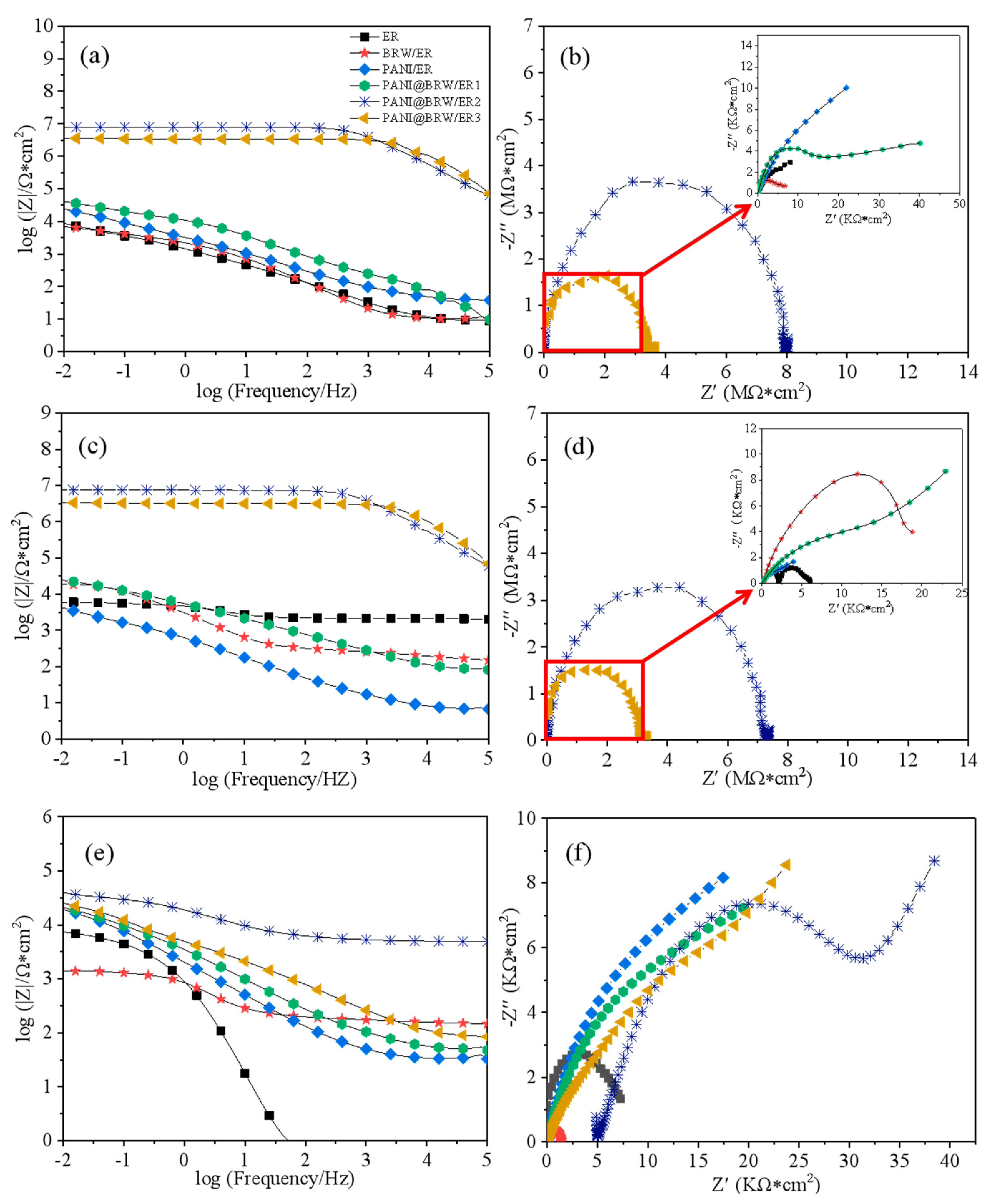
3.2.4. Electrochemical Impedance Spectroscopy (EIS)
3.2.5. Adhesion Test
4. Conclusions
Author Contributions
Funding
Institutional Review Board Statement
Informed Consent Statement
Data Availability Statement
Acknowledgments
Conflicts of Interest
References
- Keerthan, P.; Mahendran, M. Thermal Performance of Composite Panels Under Fire Conditions Using Numerical Studies: Plasterboards, Rockwool, Glass Fibre and Cellulose Insulations. Fire. Technol. 2013, 49, 329–356. [Google Scholar] [CrossRef]
- Rocha, E.; Sousa, A.; Furtado, C.J.P.T. Properties Investigation of novel nitrile rubber composites with rockwool fibers. Polym. Test. 2020, 82. [Google Scholar] [CrossRef]
- Kinnunen, P.; Yliniemi, J.; Talling, B.; Illikainen, M. Rockwool waste in fly ash geopolymer composites. J. Mater. Cycles. Waste. 2017, 19, 1220–1227. [Google Scholar] [CrossRef]
- He, P.; Wang, J.X.; Lu, F.Y.; Ma, Q.; Wang, Z. Synergistic effect of polyaniline grafted basalt plates for enhanced corrosion protective performance of epoxy coatings. Prog. Org. Coat. 2017, 110, 1–9. [Google Scholar] [CrossRef]
- He, P.; Wang, J.X.; Ma, Q.; Lu, F.Y.; Wang, Z.; Wang, S.C. Protective property of epoxy coatings containing polyaniline and laminar basalt in neutral, alkaline, and acidic media. Mater. Corros. 2017, 68, 1355–1364. [Google Scholar] [CrossRef]
- Liu, Y.; Wang, J.W.; Liu, L.; Li, Y.; Wang, F.H. Study of the failure mechanism of an epoxy coating system under high hydrostatic pressure. Corros. Sci. 2013, 74, 59–70. [Google Scholar] [CrossRef]
- Cai, K.W.; Zuo, S.X.; Luo, S.P.; Yao, C.; Liu, W.J.; Ma, J.F.; Mao, H.H.; Li, Z.Y. Preparation of polyaniline/graphene composites with excellent anti-corrosion properties and their application in waterborne polyurethane anticorrosive coatings. Rsc. Adv. 2016, 6, 95965–95972. [Google Scholar] [CrossRef]
- Dou, B.J.; Xiao, H.; Lin, X.Z.; Zhang, Y.J.; Zhao, S.X.; Duan, S.; Gao, X.L.; Fang, Z.W. Investigation of the Anti-Corrosion Properties of Fluorinated Graphene-Modified Waterborne Epoxy Coatings for Carbon Steel. Coatings 2021, 11, 254. [Google Scholar] [CrossRef]
- Hao, Y.S.; Sani, L.A.; Ge, T.J.; Fang, Q.H. Phytic acid doped polyaniline containing epoxy coatings for corrosion protection of Q235 carbon steel. Appl. Surf. Sci. 2017, 419, 826–837. [Google Scholar] [CrossRef]
- Armelin, E.; Aleman, C.; Iribarren, J.I. Anticorrosion performances of epoxy coatings modified with polyaniline: A comparison between the emeraldine base and salt forms. Prog. Org. Coat. 2009, 65, 88–93. [Google Scholar] [CrossRef]
- Yang, S.Q.; Zhu, S.; Hong, R.Y. Graphene Oxide/Polyaniline Nanocomposites Used in Anticorrosive Coatings for Environmental Protection. Coatings 2020, 10, 1215. [Google Scholar] [CrossRef]
- Wang, M.S.; Zhang, J.; Zhang, L.Z.; Li, J.Q.; Wang, W.J.; Yang, Z.L.; Zhang, L.; Wang, Y.X.; Chen, J.C.; Huang, Y.; et al. Graphene-like Vanadium Oxygen Hydrate (VOH) Nanosheets Intercalated and Exfoliated by Polyaniline (PANI) for Aqueous Zinc-Ion Batteries (ZIBs). Acs. Appl. Mater. Inter. 2020, 12, 31564–31574. [Google Scholar] [CrossRef] [PubMed]
- Bohari, N.A.; Siddiquee, S.; Saallah, S.; Misson, M.; Arshad, S.E. Optimization and Analytical Behavior of Electrochemical Sensors Based on the Modification of Indium Tin Oxide (ITO) Using PANI/MWCNTs/AuNPs for Mercury Detection. Sens. Basel. 2020, 20, 6502. [Google Scholar] [CrossRef] [PubMed]
- Liu, Y.; Lin, Z.; Lin, W.; Moon, K.S.; Wong, C.P. Reversible Superhydrophobic–Superhydrophilic Transition of ZnO Nanorod/Epoxy Composite Films. Acs. Appl. Mater. Inter. 2012, 4, 3959–3964. [Google Scholar] [CrossRef]
- Hao, Y.S.; Zhao, Y.F.; Li, B.; Song, L.X.; Guo, Z. Self-healing effect of graphene@PANI loaded with benzotriazole for carbon steel. Corros. Sci. 2020, 163. [Google Scholar] [CrossRef]
- Shetty, K.; Jayadev; Raj, K.; Mohan, N. Synthesis, characterization and corrosion studies of polyanailine (PANI)/ceriem dioxide(CeO2) nano composite. Mater. Today Proc. 2020, 27, 2158–2163. [Google Scholar] [CrossRef]
- Grgur, B.N.; Gvozdenović, M.M.; Mišković-Stanković, V.B.; Kačarević-Popović, Z. Corrosion behavior and thermal stability of electrodeposited PANI/epoxy coating system on mild steel in sodium chloride solution. Prog. Org. Coat. 2006, 56, 214–219. [Google Scholar] [CrossRef]
- Shi, S.E.; Zhao, Y.Y.; Zhang, Z.M.; Yu, L.M. Corrosion protection of a novel SiO2@PANI coating for Q235 carbon steel. Prog. Org. Coat. 2019, 132, 227–234. [Google Scholar] [CrossRef]
- Li, C.; Li, Y.; Wang, X.; Yuan, S.C.; Lin, D.; Zhu, Y.J.; Wang, H.Y. Synthesis of hydrophobic fluoro-substituted polyaniline filler for the long-term anti-corrosion performance enhancement of epoxy coatings. Corros. Sci. 2021, 178. [Google Scholar] [CrossRef]
- Liao, G.F.; Li, Q.; Xu, Z.S. The chemical modification of polyaniline with enhanced properties: A review. Prog. Org. Coat. 2019, 126, 35–43. [Google Scholar] [CrossRef]
- Wu, Y.P.; Zhu, S.F.; Shi, P.; Yan, B.J.; Cai, D.Z.; Zhang, Y.P. Corrosion behavior of Al film on uranium in salt spray test. Rsc. Adv. 2017, 7, 14981–14988. [Google Scholar] [CrossRef]
- Sathiyanarayanan, S.; Azim, S.S.; Venkatachari, G.J.E.A. A new corrosion protection coating with polyaniline–TiO2 composite for steel. Electrochim. Acta. 2007, 52, 2068–2074. [Google Scholar] [CrossRef]
- Eskizeybek, V.; Sari, F.; Gulce, H.; Gulce, A.; Avci, A. Preparation of the new polyaniline/ZnO nanocomposite and its photocatalytic activity for degradation of methylene blue and malachite green dyes under UV and natural sun lights irradiations. Appl. Catal. B Environ. 2012, 119, 197–206. [Google Scholar] [CrossRef]
- Fan, W.; Wang, H.; Wang, C.; Liu, Z.; Zhu, Y.; Li, K. Epoxy coating capable of providing multi-component passive film for long-term anti-corrosion of steel. Appl. Surf. Sci. 2020, 521. [Google Scholar] [CrossRef]
- Mostafaei, A.; Zolriasatein, A. Synthesis and characterization of conducting polyaniline nanocomposites containing ZnO nanorods. Prog. Nat. Sci. Mater. 2012, 22, 273–280. [Google Scholar] [CrossRef]
- Hayatgheib, Y.; Ramezanzadeh, B.; Kardar, P.; Mandavian, M. A comparative study on fabrication of a highly effective corrosion protective system based on graphene oxide-polyaniline nanofibers/epoxy composite. Corros. Sci. 2018, 133, 358–373. [Google Scholar] [CrossRef]
- Hao, Y.S.; Zhao, Y.F.; Yang, X.X.; Hu, B.; Ye, S.W.; Song, L.X.; Li, R.G. Self-healing epoxy coating loaded with phytic acid doped polyaniline nanofibers impregnated with benzotriazole for Q235 carbon steel. Corros. Sci. 2019, 151, 175–189. [Google Scholar] [CrossRef]
- Caldona, E.B.; de Leon, A.C.; Pajarito, B.B.; Advincula, R.C. Novel anti-corrosion coatings from rubber-modified polybenzoxazine-based polyaniline composites. Appl. Surf. Sci. 2017, 422, 162–171. [Google Scholar] [CrossRef]
- Motlatle, A.M.; Ray, S.S.; Scriba, M. Polyaniline-clay composite-containing epoxy coating with enhanced corrosion protection and mechanical properties. Synth. Met. 2018, 245, 102–110. [Google Scholar] [CrossRef]
- Li, Y.; Wang, G.Q.; Guo, Z.H.; Wang, P.Q.; Wang, A.M. Preparation of Microcapsules Coating and the Study of Their Bionic Anti-Fouling Performance. Materials 2020, 13, 1669. [Google Scholar] [CrossRef] [PubMed]
- Kumar, A.M.; Gasem, Z.M. Effect of functionalization of carbon nanotubes on mechanical and electrochemical behavior of polyaniline nanocomposite coatings. Surf. Coat. Tech. 2015, 276, 416–423. [Google Scholar] [CrossRef]
- Narayanasamy, B.; Rajendran, S. Electropolymerized bilayer coatings of polyaniline and poly(N-methylaniline) on mild steel and their corrosion protection performance. Prog. Org. Coat. 2010, 67, 246–254. [Google Scholar] [CrossRef]
- Tian, Z.F.; Yu, H.J.; Wang, L.; Saleem, M.; Ren, F.J.; Ren, P.F.; Chen, Y.S.; Sun, R.L.; Sun, Y.B.; Huang, L. Recent progress in the preparation of polyaniline nanostructures and their applications in anticorrosive coatings. Rsc. Adv. 2014, 4, 28195–28208. [Google Scholar] [CrossRef]
- Ashassi-Sorkhabi, H.; Es’haghi, M. Corrosion protection of mild steel by nano-colloidal polyaniline/nanodiamond composite coating in NaCl solution. J. Coat. Technol. Res. 2014, 11, 371–380. [Google Scholar] [CrossRef]
- Mostafaei, A.; Nasirpouri, F. Epoxy/polyaniline–ZnO nanorods hybrid nanocomposite coatings: Synthesis, characterization and corrosion protection performance of conducting paints. Prog. Org. Coat. 2014, 77, 146–159. [Google Scholar] [CrossRef]
- Fan, L.L.; Miao, Z.X. Admittance-Based Stability Analysis: Bode Plots, Nyquist Diagrams or Eigenvalue Analysis? IEEE T. Power. Syst. 2020, 35, 3312–3315. [Google Scholar] [CrossRef]
- Xu, Y.; Wang, S.; Peng, H.; Yang, Z.; Martin, D.J.; Bund, A.; Nanjundan, A.K.; Yamauchi, Y. Electrochemical Characteristics of Cobaltosic Oxide in Organic Electrolyte According to Bode Plots: Double-Layer Capacitance and Pseudocapacitance. Chemelectrochem 2019, 6, 2456–2463. [Google Scholar] [CrossRef]
- Torknezhad, Y.; Khosravi, M.; Assefi, M. Corrosion protection performance of nanoparticle incorporated epoxy paint assessed by linear polarization and electrochemical impedance spectroscopy. Mater. Corros. 2018, 69, 472–480. [Google Scholar] [CrossRef]
- Zhang, Y.J.; Shao, Y.W.; Zhang, T.; Meng, G.Z.; Wang, F.H. The effect of epoxy coating containing emeraldine base and hydrofluoric acid doped polyaniline on the corrosion protection of AZ91D magnesium alloy. Corros. Sci. 2011, 53, 3747–3755. [Google Scholar] [CrossRef]
- Gupta, G.; Birbilis, N.; Cook, A.B.; Khanna, A.S. Polyaniline-lignosulfonate/epoxy coating for corrosion protection of AA2024-T3. Corros. Sci. 2013, 67, 256–267. [Google Scholar] [CrossRef]












| Sample | icorr × 10−6 (A/cm2) | Ecorr (mV) | PE (%) | icorr × 10−6 (A/cm2) | Ecorr (mV) | PE (%) |
|---|---|---|---|---|---|---|
| 0 d | 30 d | |||||
| CS | 3.0420 | −810 | - | 2.1140 | −744 | 29.5 |
| ER | 0.7824 | −322 | 74.3 | 0.7223 | −445 | 76.3 |
| BRW/ER | 1.0710 | −434 | 64.8 | 0.8350 | −630 | 72.6 |
| PANI/ER | 0.0367 | −174 | 98.8 | 0.4687 | −258 | 84.6 |
| PANI@BRW/ER1 | 0.0424 | −159 | 98.6 | 0.1563 | −227 | 94.9 |
| PANI@BRW/ER2 | 0.0351 | −142 | 98.8 | 0.0688 | −189 | 97.7 |
| PANI@BRW/ER3 | 0.0497 | −144 | 98.4 | 0.1835 | −196 | 94.0 |
Publisher’s Note: MDPI stays neutral with regard to jurisdictional claims in published maps and institutional affiliations. |
© 2021 by the authors. Licensee MDPI, Basel, Switzerland. This article is an open access article distributed under the terms and conditions of the Creative Commons Attribution (CC BY) license (https://creativecommons.org/licenses/by/4.0/).
Share and Cite
Fang, Z.; Wang, G.; Xiong, Y.; Li, J.; Yang, Y.; Huang, L.; Wang, P.; Liao, J.; Wang, A. Anti-Corrosion Performance of Polyaniline Coated Basalt Rockwool Wastes/Epoxy Resin Coatings. Coatings 2021, 11, 463. https://doi.org/10.3390/coatings11040463
Fang Z, Wang G, Xiong Y, Li J, Yang Y, Huang L, Wang P, Liao J, Wang A. Anti-Corrosion Performance of Polyaniline Coated Basalt Rockwool Wastes/Epoxy Resin Coatings. Coatings. 2021; 11(4):463. https://doi.org/10.3390/coatings11040463
Chicago/Turabian StyleFang, Zhiqiang, Guoqing Wang, Yangkai Xiong, Jiang Li, Yu Yang, Lei Huang, Peiqing Wang, Jianhe Liao, and Aimin Wang. 2021. "Anti-Corrosion Performance of Polyaniline Coated Basalt Rockwool Wastes/Epoxy Resin Coatings" Coatings 11, no. 4: 463. https://doi.org/10.3390/coatings11040463
APA StyleFang, Z., Wang, G., Xiong, Y., Li, J., Yang, Y., Huang, L., Wang, P., Liao, J., & Wang, A. (2021). Anti-Corrosion Performance of Polyaniline Coated Basalt Rockwool Wastes/Epoxy Resin Coatings. Coatings, 11(4), 463. https://doi.org/10.3390/coatings11040463

