Study on the Influence and Law of Waterproof System Design Factors on the Typical Stress of Bridge Deck Pavement
Abstract
1. Introduction
2. Establishment of the Finite Element Model
2.1. Numerical Simulation Calculation
2.2. Loading Test of the Cement Concrete Beam with Pavement
2.3. Validation of the Applicability of the Finite Element Model for Mechanical Analysis
3. Influence of Different Parameters of the Waterproof Adhesive Layer on Pavement Stress
3.1. Influence of Waterproof Layer Modulus on Interlayer Shear Stress
3.2. Influence of Waterproof Layer Type and Parameters on Interlayer Stability
3.2.1. Calculation and Analysis of Stability between Waterproof Layers
3.2.2. Calculation and Analysis of the Interlayer Stability of Pavement with Different Interlayer Connection States and Load Characteristics
3.2.3. Calculation and Analysis of Interlayer Stability under Variable Thickness Conditions
4. Influence of the Waterproof Leveling Layer on the Stress of Pavement
5. Influence of the Impermeable Structural Layer on the Stress of Pavement
5.1. COMSOL Finite Element Pore Water Pressure Verification
5.2. Study on the Influence of the Material Permeability of Each Structural Layer on the Stress of Pavement
5.3. Influence of Structural Layers on the Dynamic Water Pressure Resistance of Pavement
5.3.1. Pore Water Pressure Distribution
5.3.2. First Principal Stress Distribution
5.3.3. Shear Stress Distribution
6. Conclusions
- (1)
- When the thickness of the pavement layer was 8 cm, the maximum shear stress of the pavement layer occurs at 2 cm and 4 cm, that is, the middle of the wearing course and the connection between layers, which suggests that an upper pavement layer with sufficient high-temperature shear resistance should be selected as the load-bearing structural layer in the structural design.
- (2)
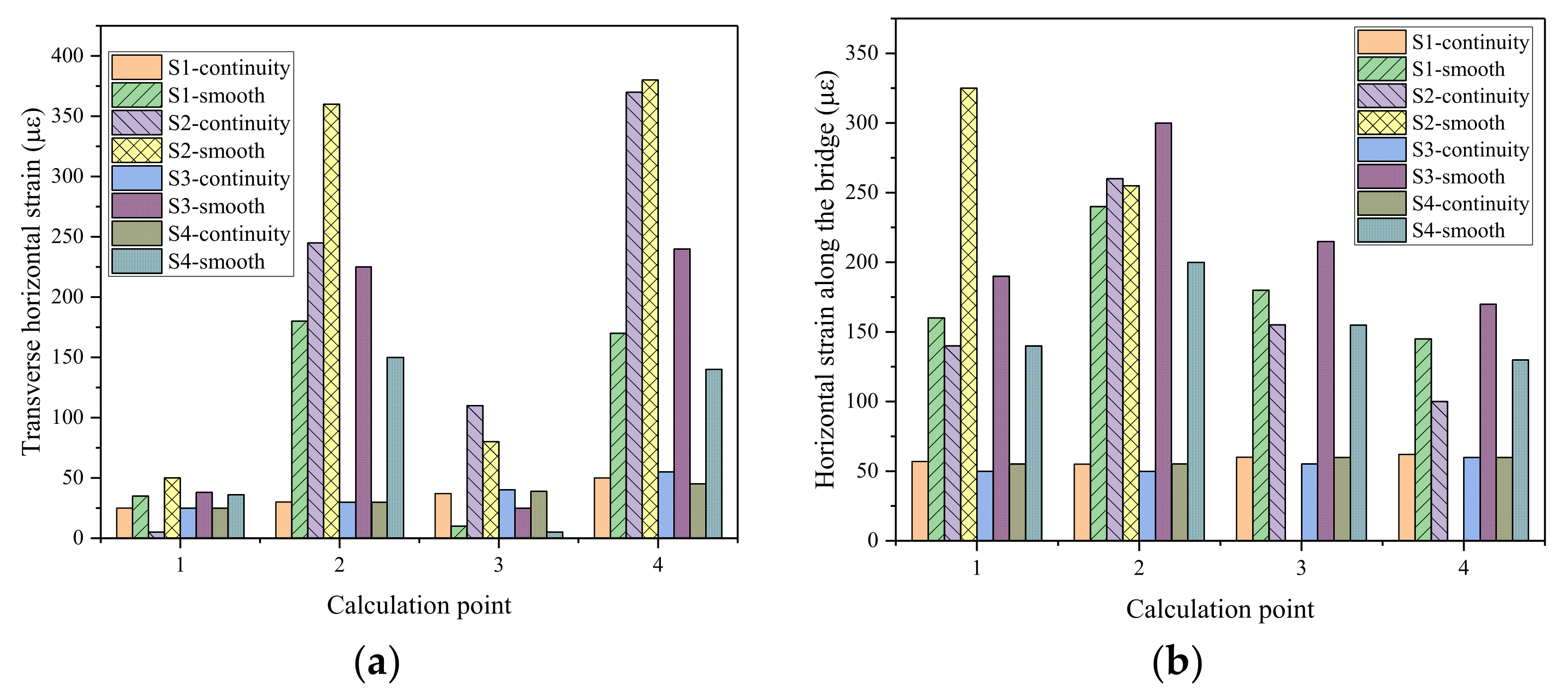
- When the paving layers are continuous, the difference between the elastic modulus of the waterproof bonding layer structure of “rubber asphalt + protective plate” and the modulus of the cement concrete slab is the largest, and the maximum horizontal strain in the transverse bridge direction and longitudinal bridge direction is 370 με and 298 με, respectively, The horizontal strain of the other three structures in the continuous state is less than 100 με. This shows that, to ensure that the load stress and strain remain stable in the pavement system, the ratio of the elastic modulus of the waterproof bonding layer material to the elastic modulus of the cement concrete slab should be considered in the structural design.
- (3)
- The greater the thickness of the structural layer and the smaller the permeability coefficient, the lower the interlayer shear stress. Compared with other structural combinations, the shear stress between the middle and lower layers of Structure 6 was reduced to 0.04 kPa. Therefore, the use of high-density water-based asphalt concrete with a low permeability coefficient can reduce the shear stress between layers, which could more effectively ensure the connection effect between layers.
Author Contributions
Funding
Institutional Review Board Statement
Informed Consent Statement
Data Availability Statement
Conflicts of Interest
Nomenclature
| AC | Asphalt concrete |
| N | Ratio of the modulus of the asphalt mixture to the modulus of the cement concrete (dimensionless) |
| H | Thickness of the structural layer |
| SMA | Stone matrix asphalt |
| S1 | Structure 1 |
| S2 | Structure 2 |
| S3 | Structure 3 |
| S4 | Structure 4 |
| X | Transverse bridge direction |
| Y | Along bridge direction |
| Z | Vertical bridge deck direction |
References
- White, D.; Montani, R. Thin-bonded polymer concrete overlays for exposed concrete bridge deck protection and maintenance. Spec. Publ. 1997, 169, 99–106. [Google Scholar]
- Silfwerbrand, J.; Paulsson, J. Better bonding of bridge deck overlays. Concr. Int. 1998, 20, 56–61. [Google Scholar]
- Nabar, S.; Mendis, P. Experience with epoxy polymer concrete bridge deck thin overlays in service for over 10 years. Spec. Publ. 1997, 169, 1–17. [Google Scholar]
- Günther, G.; Bild, S.; Sedlacek, G. Durability of asphaltic pavements on orthotropic decks of steel bridges. J. Constr. Steel Res. 1987, 7, 85–106. [Google Scholar] [CrossRef]
- Olard, F.; Héritier, B.; Loup, F.; Krafft, S. New French standard test method for the design of surfacings on steel deck bridges: Case study of the Millau Viaduct. Road Mater. Pavement Des. 2005, 6, 515–531. [Google Scholar] [CrossRef]
- Xiao, F.; Amirkhanian, S.; Juang, C.H. Rutting resistance of rubberized asphalt concrete pavements containing reclaimed asphalt pavement mixtures. J. Mater. Civ. Eng. 2007, 19, 475–483. [Google Scholar] [CrossRef]
- Park, H.M.; Choi, J.Y.; Lee, H.J.; Hwang, E.Y. Performance evaluation of a high durability asphalt binder and a high durability asphalt mixture for bridge deck pavements. Constr. Build. Mater. 2009, 23, 219–225. [Google Scholar] [CrossRef]
- Zhang, K.; Luo, Y. Interlaminar performance of waterproof and cohesive materials for concrete bridge deck under specific test conditions. J. Mater. Civ. Eng. 2018, 30, 04018161. [Google Scholar] [CrossRef]
- Cheraghian, G.; Wistuba, M.P. Ultraviolet aging study on bitumen modified by a composite of clay and fumed silica nanoparticles. Sci. Rep. 2020, 10, 11216. [Google Scholar] [CrossRef]
- Liu, Y.; Wu, J.; Chen, J. Mechanical properties of a waterproofing adhesive layer used on concrete bridges under heavy traffic and temperature loading. Int. J. Adhes. Adhes. 2014, 48, 102–109. [Google Scholar] [CrossRef]
- Jin, W.; Zhao, Y.; Wang, W.; He, F. Performance evaluation and optimization of waterproof adhesive layer for concrete bridge deck in seasonal frozen region using AHP. Adv. Mater. Sci. Eng. 2021, 2021, 1–12. [Google Scholar] [CrossRef]
- Cheraghian, G.; Falchetto, A.C.; You, Z.; Chen, S.; Kim, Y.S.; Westerhoff, J.; Moon, K.H.; Wistuba, M.P. Warm mix asphalt: An up to date review. J. Clean. Prod. 2020, 268, 122128. [Google Scholar] [CrossRef]
- Xu, Q.; Zhou, Q.; Medina, C.; Chang, G.K.; Rozycki, D.K. Experimental and numerical analysis of a waterproofing adhesive layer used on concrete-bridge decks. Int. J. Adhes. Adhes. 2009, 29, 525–534. [Google Scholar] [CrossRef]
- Han, D.; Zhu, G.; Hu, H.; Li, L. Dynamic simulation analysis of the tire-pavement system considering temperature fields. Constr. Build. Mater. 2018, 171, 261–272. [Google Scholar] [CrossRef]
- Sun, Y.; Du, C.; Gong, H.; Li, Y.; Chen, J. Effect of temperature field on damage initiation in asphalt pavement: A microstructure-based multiscale finite element method. Mech. Mater. 2020, 144, 103367. [Google Scholar] [CrossRef]
- Zhang, H.; Mao, Q.; Zhu, Z.; Zhang, Z.; Pan, Y.; Wan, J.; Zhou, C.; Qian, J. Experimental study on service performance of epoxy asphalt steel deck pavement of cable stayed bridge. Case Stud. Constr. Mater. 2020, 13, e00392. [Google Scholar] [CrossRef]
- Zhang, H.; Gao, P.; Pan, Y.; Li, K.; Zhang, Z.; Geng, F. Development of cold-mix high-toughness resin and experimental research into its performance in a steel deck pavement. Constr. Build. Mater. 2020, 235, 117427. [Google Scholar] [CrossRef]
- Yoon, Y.; Hastak, M. Condition improvement measurement using the condition evaluation criteria of concrete bridge decks. J. Transp. Eng. 2016, 142, 04016054. [Google Scholar] [CrossRef]
- ElSafty, A.; Graeff, M.K.; El-Gharib, G.; Abdel-Mohti, A.; Jackson, N.M. Analysis, prediction, and case studies of early-age cracking in bridge decks. Int. J. Adv. Struct. Eng. (IJASE) 2016, 8, 193–212. [Google Scholar] [CrossRef][Green Version]
- Chen, L.; Qian, Z.; Wang, J. Multiscale numerical modeling of steel bridge deck pavements considering vehicle–pavement interaction. Int. J. Geomech. 2016, 16, B4015002. [Google Scholar] [CrossRef]
- Seible, F.; Latham, C. Horizontal load transfer in structural concrete bridge deck overlays. J. Struct. Eng. 1990, 116, 2691–2710. [Google Scholar] [CrossRef]
- Tang, F.-F. Overlay for concrete segmental box-girder bridges. J. Bridge Eng. 2000, 5, 311–321. [Google Scholar] [CrossRef]
- Walter, R.; Olesen, J.F.; Stang, H.; Vejrum, T. Analysis of an orthotropic deck stiffened with a cement-based overlay. J. Bridge Eng. 2007, 12, 350–363. [Google Scholar] [CrossRef]
- Xu, Q.; Sun, Z.; Wang, H.; Shen, A. Laboratory testing material property and FE modeling structural response of PAM-modified concrete overlay on bridges. J. Bridge Eng. 2009, 14, 26–35. [Google Scholar] [CrossRef]
- Liu, H.; Li, Y.; Zhang, Q.; Hao, P. Deformation characteristic and mechanism of blisters in cement concrete bridge deck pavement. Constr. Build. Mater. 2018, 172, 358–369. [Google Scholar] [CrossRef]
- Farreras-Alcover, I.; Chryssanthopoulos, M.K.; Andersen, J.E. Data-based models for fatigue reliability of orthotropic steel bridge decks based on temperature, traffic and strain monitoring. Int. J. Fatigue 2017, 95, 104–119. [Google Scholar] [CrossRef]
- Gong, M.; Zhou, B.; Chen, J.; Sun, Y. Mechanical response analysis of asphalt pavement on concrete curved slope bridge deck based on complex mechanical system and temperature field. Constr. Build. Mater. 2021, 276, 122206. [Google Scholar] [CrossRef]
- Wang, L.; Hou, Y.; Zhang, L.; Liu, G. A combined static-and-dynamics mechanics analysis on the bridge deck pavement. J. Clean. Prod. 2017, 166, 209–220. [Google Scholar] [CrossRef]
- Ma, H.; Zhang, Z.; Ding, B.; Tu, X. Investigation on the adhesive characteristics of Engineered Cementitious Composites (ECC) to steel bridge deck. Constr. Build. Mater. 2018, 191, 679–691. [Google Scholar] [CrossRef]
- Cheng, H.; Liu, L.; Sun, L. Critical response analysis of steel deck pavement based on viscoelastic finite element model. Int. J. Pavement Eng. 2021, 22, 307–318. [Google Scholar] [CrossRef]
- Dong, Z. Study on Dynamic Response of Asphalt Pavement; Science Press: Beijing, China, 2014; Volume 102–109. [Google Scholar]




























| Calculation Parameters | Asphalt Concrete Modulus (MPa) | Asphalt Concrete Thickness | Asphalt Concrete Thickness (cm) | Cement Concrete Modulus (Mpa) | Poisson’s Ratio of Cement Concrete | Modulus of Waterproof Layer (Mpa) | Poisson’s Ratio of Waterproof Layer | Thickness of Waterproof Layer (mm) |
|---|---|---|---|---|---|---|---|---|
| Value | 1500 | 0.25 | 8 | 35,000 | 0.15 | 10–1500 | 0.3 | 3 |
| Project | Material Type | Thickness of Structural Layer/cm | Modulus Value/MPa | Poisson’s Ratio |
|---|---|---|---|---|
| Structure 1 (S1) | SMA-13 | 6 | 2515 | 0.25 |
| Asphalt mortar | 2 | 1988 | 0.3 | |
| Hot SBS-modified asphalt + ready mixed macadam | 0.12 | - | - | |
| Cement concrete slab | 22 | 50,000 | 0.15 | |
| Structure 2 (S2) | SMA-13 | 7.2 | 2515 | 0.25 |
| Rubber-modified asphalt + protective board | 0.8 | 85 | 0.35 | |
| Cement concrete slab | 22 | 50,000 | 0.15 | |
| Structure 3 (S3) | SMA-13 | 5 | 2515 | 0.25 |
| Cast asphalt concrete | 3 | 1308 | 0.3 | |
| Cement concrete slab | 22 | 50,000 | 0.15 | |
| Structure 4 (S4) | SMA-13 | 8 | 2515 | 0.25 |
| Waterproof coating | 0.12–0.15 | - | - | |
| Cement concrete slab | 22 | 50,000 | 0.15 |
| Serial Number | Mixture Type | Modulus/Hz | Poisson’s Ratio |
|---|---|---|---|
| 1 | (AC-16, AK-13) | 1800 | 0.25 |
| 2 | Cement concrete bridge deck | 50,000 | 0.15 |
| 3 | SMA-13, AC-13 | 2515 | 0.25 |
| 4 | AC-20 | 3200 | 0.25 |
| 5 | SMA-10 | 2200 | 0.25 |
| 6 | SMA-13 | 2515 | 0.25 |
| 7 | SBS-modified asphalt mortar | 1988 | 0.30 |
| 8 | Dense high-modulus asphalt mortar | 4100 | 0.25 |
| 9 | OGFC-10 (13) | 1500 | 0.30 |
| 10 | Dense high-modulus asphalt mixture | 4100 | 0.25 |
| Maximum Shear Stress between Layers/kPa (Standard Load, Continuous, No Braking) | |||||
|---|---|---|---|---|---|
| Structure 1 | h (cm) | 0 | 6 | ||
| Without water | 33 | 31 | |||
| With water | 32 | 32 | |||
| Structure 2 | h (cm) | 0 | 4 | 9 | |
| Without water | 43 | 50 | 27 | ||
| With water | 42 | 45 | 28 | ||
| Structure 3 | h (cm) | 0 | 4 | 8 | 10 |
| Without water | 51 | 130 | 41 | 29 | |
| With water | 49 | 120 | 38 | 29 | |
| Structure 4 | h (cm) | 0 | 4 | 8 | 11 |
| Without water | 56 | 52 | 46 | 31 | |
| With water | 54 | 47 | 42 | 30 | |
| Structure 5 | h (cm) | 0 | 4 | 10 | 13 |
| Without water | 55 | 51 | 42 | 34 | |
| With water | 53 | 47 | 41 | 33 | |
| Structure 6 | h (cm) | 0 | 4 | 10 | 13 |
| Without water | 45 | 5.7 | 0.02 | 0.04 | |
| With water | 45 | 4 | 0.01 | 0.05 | |
| Structure 7 | h (cm) | 0 | 4 | 8 | |
| Without water | 32 | 47 | 28 | ||
| With water | 32 | 47 | 29 | ||
| Structure 8 | h (cm) | 0 | 4 | 8 | |
| Without water | 82 | 66 | 28 | ||
| With water | 74 | 53 | 28 | ||
Publisher’s Note: MDPI stays neutral with regard to jurisdictional claims in published maps and institutional affiliations. |
© 2021 by the authors. Licensee MDPI, Basel, Switzerland. This article is an open access article distributed under the terms and conditions of the Creative Commons Attribution (CC BY) license (https://creativecommons.org/licenses/by/4.0/).
Share and Cite
Fu, J.; Shen, A.; Zhang, H. Study on the Influence and Law of Waterproof System Design Factors on the Typical Stress of Bridge Deck Pavement. Coatings 2021, 11, 1540. https://doi.org/10.3390/coatings11121540
Fu J, Shen A, Zhang H. Study on the Influence and Law of Waterproof System Design Factors on the Typical Stress of Bridge Deck Pavement. Coatings. 2021; 11(12):1540. https://doi.org/10.3390/coatings11121540
Chicago/Turabian StyleFu, Jiancun, Aiqin Shen, and Huan Zhang. 2021. "Study on the Influence and Law of Waterproof System Design Factors on the Typical Stress of Bridge Deck Pavement" Coatings 11, no. 12: 1540. https://doi.org/10.3390/coatings11121540
APA StyleFu, J., Shen, A., & Zhang, H. (2021). Study on the Influence and Law of Waterproof System Design Factors on the Typical Stress of Bridge Deck Pavement. Coatings, 11(12), 1540. https://doi.org/10.3390/coatings11121540

