Tuning Electronic Structure and Magnetic Properties of Flat Stanene by Hydrogenation and Al/P Doping: A First Principle DFT Study
Abstract
1. Introduction
2. Methods
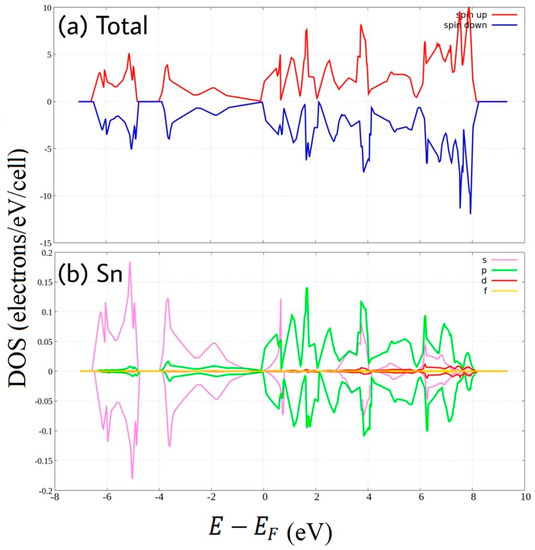
3. Results and Discussion
4. Conclusions
Author Contributions
Funding
Data Availability Statement
Conflicts of Interest
References
- Lyu, J.; Zhang, S.; Zhang, C.; Wang, P. Stanene: A Promising Material for New Electronic and Spintronic Applications. Ann. Phys. 2019, 531, 1900017. [Google Scholar] [CrossRef]
- Xu, Y.; Yan, B.; Zhang, H.; Wang, J.; Xu, G.; Tang, P.; Duan, W.; Zhang, S. Large-Gap Quantum Spin Hall Insulators in Tin Films. Phys. Rev. Lett. 2013, 111, 136804. [Google Scholar] [CrossRef] [PubMed]
- Peng, B.; Zhang, H.; Shao, H.; Xu, Y.; Zhang, X.; Zhu, H. Low lattice thermal conductivity of stanene. Sci. Rep. 2016, 6, 20225. [Google Scholar] [CrossRef] [PubMed]
- Wang, J.; Xu, Y.; Zhang, S. Two-dimensional time-reversal-invariant topological superconductivity in a doped quantum spin-Hall insulator. Phys. Rev. B Condens. Matter Mater. Phys. 2014, 90, 054503. [Google Scholar] [CrossRef]
- Rachel, S.; Ezawa, M. Giant magnetoresistance and perfect spin filter in silicene, germanene, and stanene. Phys. Rev. B 2014, 89, 195303. [Google Scholar] [CrossRef]
- Molle, A.; Goldberger, J.; Houssa, M.; Xu, Y.; Zhang, S. Buckled two-dimensional Xene sheets. Nat. Mater. 2017, 16, 163–169. [Google Scholar] [CrossRef]
- Deng, J.; Xia, B.; Ma, X.; Chen, H.; Shan, H.; Zhai, X.; Li, B.; Zhao, A.; Xu, Y.; Duan, W.; et al. Epitaxial growth of ultraflat stanene with topological band inversion. Nat. Mater. 2018, 17, 1081. [Google Scholar] [CrossRef]
- Ahmed, R.; Nakagawa, T.; Mizuno, S. Structure determination of ultra-flat stanene on Cu(111) using low energy electron diffraction. Surf. Sci. 2020, 691, 121498. [Google Scholar] [CrossRef]
- Yuhara, J.; Fujii, Y.; Nishino, K.; Isobe, N.; Nakatake, M.; Xian, L.; Rubio, A.; Lay, G. Le Large area planar stanene epitaxially grown on Ag (1 1 1). 2D Mater. 2018, 5, 025002. [Google Scholar] [CrossRef]
- Modarresi, M.; Kakoee, A.; Mogulkoc, Y.; Roknabadi, M.R. Effect of external strain on electronic structure of stanene. Comput. Mater. Sci. 2015, 101, 164–167. [Google Scholar] [CrossRef]
- Wang, D.; Chen, L.; Shi, C.; Grazianetti, C.; Cinquanta, E.; Molle, A.; Ren, C.; Ji, W.; Zhang, C.; Li, P.; et al. The effects of biaxial strain and electric fi eld on the electronic properties in stanene. Mater. Res. Express 2016, 3, 105008. [Google Scholar]
- Gou, J.; Kong, L.; Li, H.; Zhong, Q.; Li, W.; Cheng, P.; Chen, L. Strain-Induced Band Engineering in Monolayer Stanene on Sb(111). Phys. Rev. Mater. 2017, 1, 054004. [Google Scholar] [CrossRef]
- Van Den Broek, B.; Houssa, M.; Scalise, E.; Pourtois, G.; Afanas’ev, V.V.; Stesmans, A. Two-dimensional hexagonal tin: Ab initio geometry, stability, electronic structure and functionalization. 2D Mater. 2014, 1, 021004. [Google Scholar] [CrossRef]
- Naqvi, S.R.; Hussain, T.; Luo, W.; Ahuja, R. Exploring Doping Characteristics of Various Adatoms on Single-layer Stanene. J. Phys. Chem. C 2017, 121, 7667. [Google Scholar] [CrossRef]
- Li, S.; Zhang, C. Tunable electronic structures and magnetic properties in two-dimensional stanene with hydrogenation. Mater. Chem. Phys. 2016, 173, 246. [Google Scholar] [CrossRef]
- Drissi, L.B.; Saidi, E.H.; Bousmina, M.; Fassi-Fehri, O. DFT investigations of the hydrogenation effect on silicene/graphene hybrids. J. Phys. Condens. Matter 2012, 24, 485502. [Google Scholar] [CrossRef] [PubMed]
- Houssa, M.; Scalise, E.; Sankaran, K.; Pourtois, G.; Afanas’Ev, V.V.; Stesmans, A. Electronic properties of hydrogenated silicene and germanene. Appl. Phys. Lett. 2011, 98, 2011–2014. [Google Scholar] [CrossRef]
- Boukhvalov, D.W.; Katsnelson, M.I.; Lichtenstein, A.I. Hydrogen on graphene: Electronic structure, total energy, structural distortions and magnetism from first-principles calculations. Phys. Rev. B Condens. Matter Mater. Phys. 2008, 77, 1–7. [Google Scholar] [CrossRef]
- Zhang, X.; Zhang, D.; Xie, F.; Zheng, X.; Wang, H.; Long, M. First-principles study on the magnetic and electronic properties of Al or P doped armchair silicene nanoribbons. Phys. Lett. A 2017, 381, 2097–2102. [Google Scholar] [CrossRef]
- Romero, M.T.; Alvarado, Y.A.; Garcia, C.R. First Principles Calculations of Graphene Doped with Al, P and Si Heteroatoms. Nano Hybrids Compos. 2017, 16, 52–55. [Google Scholar] [CrossRef]
- Gonze, X.; Amadon, B.; Anglade, P.M.; Beuken, J.M.; Bottin, F.; Boulanger, P.; Bruneval, F.; Caliste, D.; Caracas, R.; Côté, M.; et al. ABINIT: First-principles approach to material and nanosystem properties. Comput. Phys. Commun. 2009, 180, 2582–2615. [Google Scholar] [CrossRef]
- Perdew, J.P.; Burke, K.; Ernzerhof, M. Generalized Gradient Approximation Made Simple. Phys. Rev. Lett. 1996, 77, 3865–3868. [Google Scholar] [CrossRef] [PubMed]
- Pack, J.D.; Monkhorst, H.J. Special points for Brillouin-zone integrations. Phys. Rev. B 1976, 13, 5188. [Google Scholar] [CrossRef]
- Garg, P.; Choudhuri, I.; Mahata, A.; Pathak, B. Band Gap Opening in Stanene Induced by Patterned B-N Doping. Phys. Chem. Chem. Phys. 2017, 19, 3660. [Google Scholar] [CrossRef] [PubMed]
- Mao, Y.; Long, L.; Xu, C.; Yuan, J. First-principles study on the structure and electronic properties of stanane under electric fields. Mater. Res. Express 2018, 5, 065023. [Google Scholar] [CrossRef]
- Gao, H.; Wang, L.; Zhao, J.; Ding, F.; Lu, J. Band Gap Tuning of Hydrogenated Graphene: H Coverage and Configuration Dependence. J. Phys. Chem. C 2011, 115, 3236–3242. [Google Scholar] [CrossRef]
- Son, J.; Lee, S.; Kim, S.J.; Park, B.C.; Lee, H.; Kim, S.; Kim, J.H. Hydrogenated monolayer graphene with reversible and tunable wide band gap and its field-effect transistor. Nat. Commun. 2016, 7, 13261. [Google Scholar] [CrossRef]
- Trivedi, S.; Srivastava, A.; Kurchania, R. Silicene and germanene: A first principle study of electronic structure and effect of hydrogenation-passivation. J. Comput. Theor. Nanosci. 2014, 11, 781–788. [Google Scholar] [CrossRef]
- Abbasi, A. DFT study of the effects of Al-P pair doping on the structural and electronic properties of stanene nanosheets. Phys. E Low Dimens. Syst. Nanostruct. 2019, 108, 34. [Google Scholar] [CrossRef]
- Zhou, J.; Wang, Q.; Sun, Q.; Chen, X.S.; Kawazoe, Y.; Jena, P. Ferromagnetism in Semihydrogenated Graphene Sheet. Nano Lett. 2009, 9, 3867–3870. [Google Scholar] [CrossRef]
- Zheng, F.; Zhang, C. The electronic and magnetic properties of functionalized silicene: A first-principles study. Nanoscale Res. Lett. 2012, 7, 422. [Google Scholar] [CrossRef] [PubMed]











| ∆E (eV). | Stanene System | Magnetic State |
|---|---|---|
| −0.284 | pristine stanene | NM |
| 0.003 | Al-doped stanene | FM |
| 0.096 | P-doped stanene | FM |
| 1.216 | hydrogenated stanene | FM |
| 0.544 | hydrogenated Al-doped stanene | FM |
| 1.341 | Hydrogenated P-doped stanene | FM |
Publisher’s Note: MDPI stays neutral with regard to jurisdictional claims in published maps and institutional affiliations. |
© 2021 by the authors. Licensee MDPI, Basel, Switzerland. This article is an open access article distributed under the terms and conditions of the Creative Commons Attribution (CC BY) license (http://creativecommons.org/licenses/by/4.0/).
Share and Cite
Pamungkas, M.A.; Sari, V.K.R.; Irwansyah; Putra, S.A.; Abdurrouf; Nurhuda, M. Tuning Electronic Structure and Magnetic Properties of Flat Stanene by Hydrogenation and Al/P Doping: A First Principle DFT Study. Coatings 2021, 11, 47. https://doi.org/10.3390/coatings11010047
Pamungkas MA, Sari VKR, Irwansyah, Putra SA, Abdurrouf, Nurhuda M. Tuning Electronic Structure and Magnetic Properties of Flat Stanene by Hydrogenation and Al/P Doping: A First Principle DFT Study. Coatings. 2021; 11(1):47. https://doi.org/10.3390/coatings11010047
Chicago/Turabian StylePamungkas, Mauludi Ariesto, Vinsa Kharisma Rofiqo Sari, Irwansyah, Setiawan Ade Putra, Abdurrouf, and Muhammad Nurhuda. 2021. "Tuning Electronic Structure and Magnetic Properties of Flat Stanene by Hydrogenation and Al/P Doping: A First Principle DFT Study" Coatings 11, no. 1: 47. https://doi.org/10.3390/coatings11010047
APA StylePamungkas, M. A., Sari, V. K. R., Irwansyah, Putra, S. A., Abdurrouf, & Nurhuda, M. (2021). Tuning Electronic Structure and Magnetic Properties of Flat Stanene by Hydrogenation and Al/P Doping: A First Principle DFT Study. Coatings, 11(1), 47. https://doi.org/10.3390/coatings11010047
