Robustness of Surface Roughness against Low Number of Picture Elements and Its Benefit for Scaling Analysis
Abstract
1. Introduction
2. Materials and Methods
2.1. The Analyzed Surfaces
2.1.1. Artificial Fractal Surfaces
2.1.2. Surfaces of a Silver Thin Film
2.1.3. Surfaces of a Milled Workpiece
2.2. Calculation
2.2.1. Sampling of Surface Images
2.2.2. Traditional Roughness (TR) Method
2.2.3. Roughness Scaling Extraction (RSE) Method
3. Results
3.1. Influence of Low Number of Picture Elements on
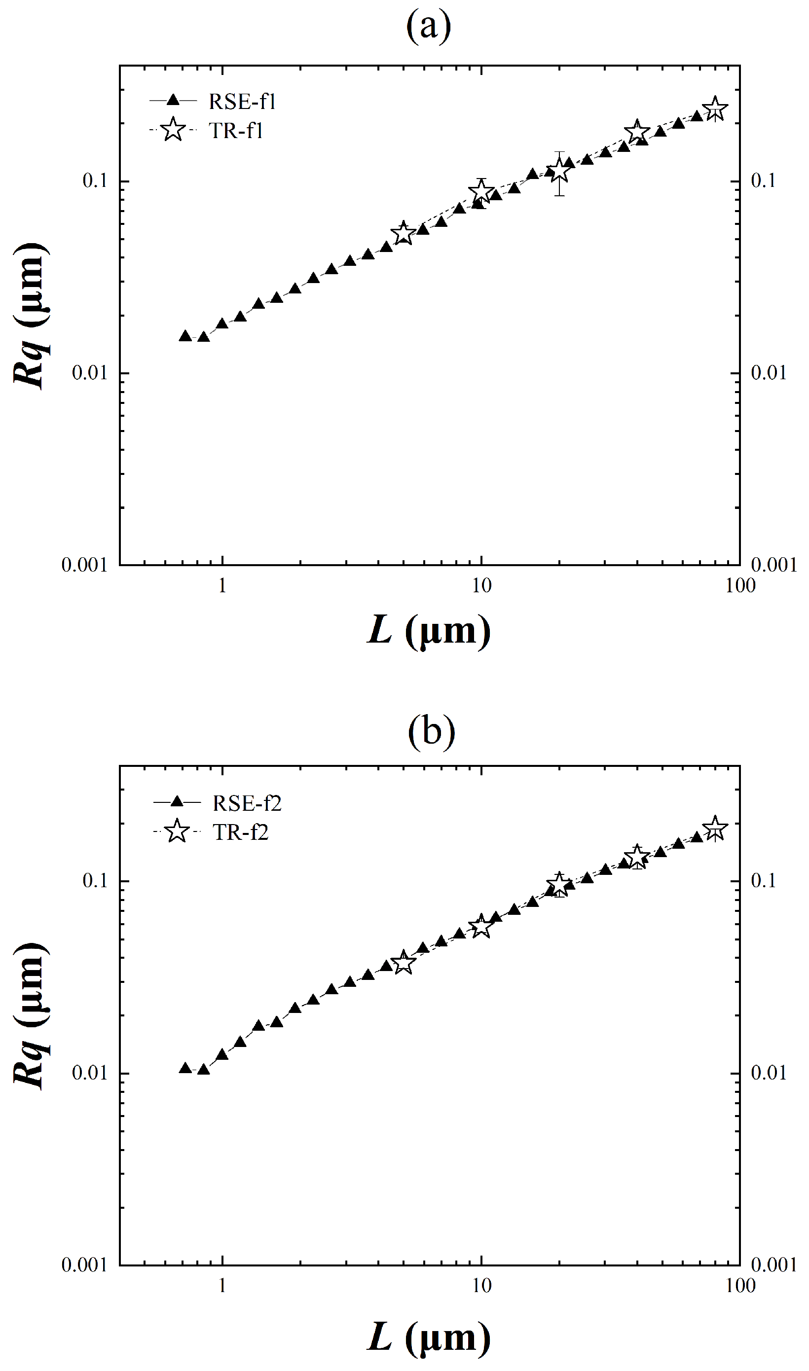
3.2. Comparison of RSE and TR methods
4. Discussion
5. Conclusions
- For artificial fractal surfaces, that is, the surfaces of a silver thin film and a milled workpiece, reliable values could be obtained using the images with low pixels, such as 20 × 20 (refer to the maximum average in Table 1).
- The minimum sampling number of picture elements of RSE-f0 (about 6) was the lower than that of RSE-f1 and RSE-f2 (about 20 and 21, respectively), indicating that it had the best robustness. However, the deviation of the -L curve at a large L range could cost the accuracy of the RSE-f0 method.
- A direct comparison between the RSE method and the TR method was carried out. As indicated by the MRE values, the RSE method could be regarded as superior because it is more accurate and efficient than the TR method, especially the error of RSE-f1 and RSE-f2 of the whole fractal dimension calculation are both less than 1.5%.
- The investigation of the robustness of could help reconsidering the scaling property of a surface, regardless of its fractal nature.
Author Contributions
Funding
Acknowledgments
Conflicts of Interest
References
- Avnir, D.; Farin, D.; Pfeifer, P. Surface geometric irregularity of particulate materials—The fractal approach. J. Colloid Interface Sci. 1985, 103, 112–123. [Google Scholar] [CrossRef]
- Alonso, J.; Fdez-Gubieda, M.L.; Sarmiento, G.; Barandiaran, J.M.; Svalov, A.; Orue, I.; Chaboy, J.; Barquin, L.F.; Meneghini, C.; Neisius, T.; et al. Influence of the interface on the electronic channel switching of a Fe-Ag thin film on a Si substrate. Appl. Phys. Lett. 2009, 95, 3. [Google Scholar] [CrossRef]
- Yadav, R.P.; Kumar, M.; Mittal, A.K.; Pandey, A.C. Fractal and multifractal characteristics of swift heavy ion induced self-affine nanostructured BaF2 thin film surfaces. Chaos Interdiscip. J. Nonlinear Sci. 2015, 25, 083115. [Google Scholar] [CrossRef] [PubMed]
- Pizzanelli, S.; Forte, C.; Bronco, S.; Guazzini, T.; Serraglini, C.; Calucci, L. PVB/ATO nanocomposites for glass coating applications: Effects of nanoparticles on the PVB matrix. Coatings 2019, 9, 16. [Google Scholar] [CrossRef]
- Ren, L.; Cheng, Y.H.; Han, Z.T.; Meng, X.L.; Yang, J.Y. Investigation on the mechanical performance of the electroless Ni-W-P coating based on fractal theory. Surf. Topogr. Metrol. Prop. 2019, 7. [Google Scholar] [CrossRef]
- Wei, X.; Xu, M.J.; Chen, J.Q.; Yu, C.; Chen, J.M.; Lu, H.; Xu, J.J. Fractal analysis of Mo and Nb effects on grain boundary character and hot cracking behavior for Ni-Cr-Fe alloys. Mater. Charact. 2018, 145, 65–76. [Google Scholar] [CrossRef]
- Barhate, V.N.; Agrawal, K.S.; Patil, V.S.; Mahajan, A.M. Post-deposition-annealed lanthanum-doped cerium oxide thin films: Structural and electrical properties. Rare Metals 2020. [Google Scholar] [CrossRef]
- Zhang, X.H.; Xu, Y.; Jackson, R.L. An analysis of generated fractal and measured rough surfaces in regards to their multi-scale structure and fractal dimension. Tribol. Int. 2017, 105, 94–101. [Google Scholar] [CrossRef]
- Hosseinabadi, S.; Shirazi, M. Contour loop analysis of multi-affine nanostructure AZO rough surfaces. Surf. Topogr. Metrol. Prop. 2019, 7. [Google Scholar] [CrossRef]
- Lawrence, K.D.; Ramamoorthy, B. Surface topography characterization of automotive cylinder liner surfaces using fractal methods. Appl. Surf. Sci. 2013, 280, 332–342. [Google Scholar] [CrossRef]
- Thomas, T.R.; Rosen, B.G.; Amini, N. Fractal characterisation of the anisotropy of rough surfaces. Wear 1999, 232, 41–50. [Google Scholar] [CrossRef]
- Watson, A.S.; Gleason, M.A. A comparative assessment of texture analysis techniques applied to bone tool use-wear. Surf. Topogr. Metrol. Prop. 2016, 4. [Google Scholar] [CrossRef]
- Song, W.L.; Xia, Z.X.; Wang, S.J.; Zhang, Q.G. Effect of Zr target current on the mechanical and tribological performance of MoS2-Zr composite lubricating coatings. Coatings 2020, 10, 14. [Google Scholar] [CrossRef]
- Jing, C.L.; Tang, W. Ga-doped ZnO thin film surface characterization by wavelet and fractal analysis. Appl. Surf. Sci. 2016, 364, 843–849. [Google Scholar] [CrossRef]
- Talu, S.; Bramowicz, M.; Kulesza, S.; Solaymani, S.; Ghaderi, A.; Dejam, L.; Elahi, S.M.; Boochani, A. Microstructure and micromorphology of ZnO thin films: Case study on Al doping and annealing effects. Superlattices Microstruct. 2016, 93, 109–121. [Google Scholar] [CrossRef]
- Talu, S.; Yadav, R.P.; Mittal, A.K.; Achour, A.; Luna, C.; Mardani, M.; Solaymani, S.; Arman, A.; Hafezi, F.; Ahmadpourian, A. Application of Mie theory and fractal models to determine the optical and surface roughness of Ag–Cu thin films. Opt. Quantum Electron. 2017, 49, 256. [Google Scholar] [CrossRef]
- Mandelbrot, B.B. The Fractal Geometry of Nature; W.H. Freeman: New York, NY, USA, 1977. [Google Scholar]
- Wu, J.J. Characterization of fractal surfaces. Wear 2000, 239, 36–47. [Google Scholar] [CrossRef]
- Feng, F.; Shi, K.; Xiao, S.Z.; Zhang, Y.Y.; Zhao, Z.J.; Wang, Z.; Wei, J.J.; Han, Z. Fractal analysis and atomic force microscopy measurements of surface roughness for Hastelloy C276 substrates and amorphous alumina buffer layers in coated conductors. Appl. Surf. Sci. 2012, 258, 3502–3508. [Google Scholar] [CrossRef]
- Wong, P.C.Y.; Kwon, Y.; Criddle, C.S. Use of atomic force microscopy and fractal geometry to characterize the roughness of nano-, micro-, and ultrafiltration membranes. J. Membr. Sci. 2009, 340, 117–132. [Google Scholar] [CrossRef]
- Boussu, K.; Van der Bruggen, B.; Volodin, A.; Snauwaert, J.; Van Haesendonck, C.; Vandecasteele, C. Roughness and hydrophobicity studies of nanofiltration membranes using different modes of AFM. J. Colloid Interface Sci. 2005, 286, 632–638. [Google Scholar] [CrossRef]
- Krim, J.; Heyvaert, I.; Haesendonck, C.V.; Bruynseraede, Y. Scanning tunneling microscopy observation of self-affine fractal roughness in ion-bombarded film surfaces. Phys. Rev. Lett. 1993, 70, 57–60. [Google Scholar] [CrossRef] [PubMed]
- Chen, S.T.; Feng, R.; Zhang, C.; Zhang, Y.Y. Surface roughness measurement method based on multi-parameter modeling learning. Measurement 2018, 129, 664–676. [Google Scholar] [CrossRef]
- Sui, S.C.; Feng, P.F. Precision prediction of surface roughness in high speed peripheral milling Ti6Al4V alloy. Int. J. Mach. Mach. Mater. 2015, 17, 259–276. [Google Scholar] [CrossRef]
- ISO 25178-2:2012c. Geometrical Product Specifications (GPS)—Surface Texture: Areal—Part 2: Terms, Definitions and Surface Texture Parameters; International Organization for Standardization: Geneva, Switzerland, 2012. [Google Scholar]
- ISO 4287:1997. Geometrical Product Specifications (GPS)—Surface Texture: Profile Method—Terms, Definitions and Surface Texture Parameters; German Institute for Standardization: Berlin, Germany, 1997. [Google Scholar]
- ISO 19606:2017. Fine Ceramics (Advanced Ceramics, Advanced Technical Ceramics)—Test Method for Surface Roughness of Fine Ceramic Films by Atomic Force Microscopy; British Standards Institution: London, UK, 2017. [Google Scholar]
- Ai, T.; Zhang, R.; Zhou, H.W.; Pei, J.L. Box-counting methods to directly estimate the fractal dimension of a rock surface. Appl. Surf. Sci. 2014, 314, 610–621. [Google Scholar] [CrossRef]
- Li, S.P.; Liang, J.; Li, L.; Cao, S.S.; Shu, W.G.; Peng, H.Q. Study of the ground workpiece surface topography in high-speed precision grinding using a scanning tunneling microscopy. J. Mater. Process. Technol. 2003, 139, 263–266. [Google Scholar] [CrossRef]
- Ponomareva, A.A.; Moshnikov, V.A.; Suchaneck, G. Evaluation of the fractal dimension of sol-gel deposited oxide films by means of the power spectral density. Glass Phys. Chem. 2014, 40, 203–207. [Google Scholar] [CrossRef]
- Sayles, R.S.; Thomas, T.R. The spatial representation of surface roughness by means of the structure function: A practical alternative to correlation. Wear 1977, 42, 263–276. [Google Scholar] [CrossRef]
- Talu, S.; Yadav, R.P.; Sik, O.; Sobola, D.; Dallaev, R.; Solaymani, S.; Man, O. How topographical surface parameters are correlated with CdTe monocrystal surface oxidation. Mater. Sci. Semicond. Process. 2018, 85, 15–23. [Google Scholar] [CrossRef]
- Kulesza, S.; Bramowicz, M. A comparative study of correlation methods for determination of fractal parameters in surface characterization. Appl. Surf. Sci. 2014, 293, 196–201. [Google Scholar] [CrossRef]
- Feng, F.; Liu, B.B.; Zhang, X.S.; Qian, X.; Li, X.H.; Huang, J.L.; Qu, T.M.; Feng, P.F. Roughness scaling extraction method for fractal dimension evaluation based on a single morphological image. Appl. Surf. Sci. 2018, 458, 489–494. [Google Scholar] [CrossRef]
- Feng, F.; Zhang, X.S.; Qu, T.M.; Liu, B.B.; Huang, J.L.; Li, J.; Xiao, S.Z.; Han, Z.H.; Feng, P.F. Surface scaling analysis of textured MgO thin films fabricated by energetic particle self-assisted deposition. Appl. Surf. Sci. 2017, 437, 287–293. [Google Scholar] [CrossRef]
- Feng, F.; Huang, J.L.; Li, X.H.; Qu, T.M.; Liu, B.B.; Zhou, W.M.; Qian, X.; Feng, P.F. Influences of planarization modification and morphological filtering by AFM probe-tip on the evaluation accuracy of fractal dimension. Surf. Coat. Technol. 2019, 363, 436–441. [Google Scholar] [CrossRef]
- Wang, S.C.; Zhang, J.F.; Feng, F.; Qian, X.; Jiang, L.Q.; Huang, J.L.; Liu, B.B.; Li, J.; Xia, Y.S.; Feng, P.F. Fractal analysis on artificial profiles and electroencephalography signals by roughness scaling extraction algorithm. IEEE Access 2019, 7, 89265–89277. [Google Scholar] [CrossRef]
- Vernhes, P.; Bloch, J.F.; Blayo, A.; Pineaux, B. Effect of calendering on paper surface micro-structure: A multi-scale analysis. J. Mater. Process. Technol. 2009, 209, 5204–5210. [Google Scholar] [CrossRef]
- Troutman, J.; Evans, C.J.; Ganguly, V.; Schmitz, T.L. Performance evaluation of a vibration desensitized scanning white light interferometer. Surf. Topogr. Metrol. Prop. 2014, 2, 014011. [Google Scholar] [CrossRef]
- Das, J.; Linke, B. Evaluation and systematic selection of significant multi-scale surface roughness parameters (SRPs) as process monitoring index. J. Mater. Process. Technol. 2017, 244, 157–165. [Google Scholar] [CrossRef]
- Berry, M.V.; Lewis, Z.V. On the Weierstrass-Mandelbrot Fractal Function. Proc. R. Soc. Lond. 1980, 370, 459–484. [Google Scholar]
- Low, F.W.; Lai, C.W.; Lee, K.M.; Juan, J.C. Enhance of TiO2 dopants incorporated reduced graphene oxide via RF magnetron sputtering for efficient dye-sensitised solar cells. Rare Met. 2018, 37, 919–928. [Google Scholar] [CrossRef]
- Zhu, X.M.; Chang, H.M.; Tao, H.Z.; Zhao, X.J. Deterioration behavior of c-Si solar cell decorated with silver nanoparticles. Rare Metals 2019, 38, 136–141. [Google Scholar] [CrossRef]
- Barabasi, A.L.; Stanley, H.E.; Sander, L.M. Fractal Concepts in Surface Growth. Phys. Today 1995, 48, 68–69. [Google Scholar] [CrossRef]
- Zhang, Y.Y.; Feng, F.; Shi, K.; Lu, H.P.; Xiao, S.Z.; Wu, W.; Huang, R.X.; Qu, T.M.; Wang, X.H.; Wang, Z.; et al. Surface morphology evolution of CeO2/YSZ (001) buffer layers fabricated via magnetron sputtering. Appl. Surf. Sci. 2013, 284, 150–154. [Google Scholar] [CrossRef]
- Xiao, S.Z.; Feng, F.; Shi, K.; Deng, S.T.; Qu, T.M.; Zhu, Y.P.; Lu, H.Y.; Huang, R.X.; Han, Z.H. Resputtering effect during MgO buffer layer deposition by magnetron sputtering for superconducting coated conductors. J. Vac. Sci. Technol. A 2015, 33. [Google Scholar] [CrossRef]
- El-Sonbaty, I.A.; Khashaba, U.A.; Selmy, A.I.; Ali, A.I. Prediction of surface roughness profiles for milled surfaces using an artificial neural network and fractal geometry approach. J. Mater. Process. Technol. 2008, 200, 271–278. [Google Scholar] [CrossRef]
- Bigerelle, M.; Gautier, A.; Hagege, B.; Favergeon, J.; Bounichane, B. Roughness characteristic length scales of belt finished surface. J. Mater. Process. Technol. 2009, 209, 6103–6116. [Google Scholar] [CrossRef]
- Miyata, S.; Ibi, A.; Izumi, T.; Shiohara, Y. Surface roughness of MgO thin film and its critical thickness for optimal biaxial texturing by ion-beam-assisted deposition. J. Appl. Phys. 2011, 109, 219. [Google Scholar] [CrossRef]
- Feng, F.; Zhang, X.S.; Qu, T.M.; Zhang, Y.Y.; Qian, X.; Liu, B.B.; Huang, J.L.; Feng, P.F. Scaling analysis of current influence on Hastelloy surface roughness in electro-polishing process. Rare Met. 2019, 38, 142–150. [Google Scholar] [CrossRef]













| Flatten Order | (a) | (b) | (c) | (d) | Average | |
|---|---|---|---|---|---|---|
| Artificial surfaces | 0 1 2 | 4.73 6.97 7.94 | 2.49 6.93 13.13 | 4.27 8.83 12.68 | 4.45 10.47 14.14 | 3.99 8.30 11.97 |
| Silver thin film | 0 1 2 | 3.54 6.01 9.34 | 3.95 7.10 11.74 | 3.46 6.61 12.27 | 3.46 3.88 10.56 | 3.60 5.90 10.98 |
| Milled workpiece | 0 1 2 | 8.13 22.17 23.51 | 6.92 17.01 17.39 | 3.60 11.30 13.70 | 4.66 25.30 29.04 | 5.83 18.94 20.91 |
| = 2.2 | = 2.4 | = 2.6 | = 2.8 | |
|---|---|---|---|---|
| RSE-f0 RSE-f1 RSE-f2 TR | 2.2083 ± 0.0155 2.1928 ± 0.0070 2.2036 ± 0.0034 2.1733 ± 0.0081 | 2.4020 ± 0.0093 2.3979 ± 0.0041 2.3948 ± 0.0030 2.4283 ± 0.0107 | 2.6051 ± 0.0050 2.5984 ± 0.0029 2.5998 ± 0.0032 2.5496 ± 0.0173 | 2.7872 ± 0.0020 2.7888 ± 0.0018 2.7853 ± 0.0022 2.8086 ± 0.0022 |
© 2020 by the authors. Licensee MDPI, Basel, Switzerland. This article is an open access article distributed under the terms and conditions of the Creative Commons Attribution (CC BY) license (http://creativecommons.org/licenses/by/4.0/).
Share and Cite
Zhou, W.; Li, X.; Feng, F.; Qu, T.; Huang, J.; Qian, X.; Zha, H.; Feng, P. Robustness of Surface Roughness against Low Number of Picture Elements and Its Benefit for Scaling Analysis. Coatings 2020, 10, 776. https://doi.org/10.3390/coatings10080776
Zhou W, Li X, Feng F, Qu T, Huang J, Qian X, Zha H, Feng P. Robustness of Surface Roughness against Low Number of Picture Elements and Its Benefit for Scaling Analysis. Coatings. 2020; 10(8):776. https://doi.org/10.3390/coatings10080776
Chicago/Turabian StyleZhou, Wenmeng, Xinghui Li, Feng Feng, Timing Qu, Junlong Huang, Xiang Qian, Huiting Zha, and Pingfa Feng. 2020. "Robustness of Surface Roughness against Low Number of Picture Elements and Its Benefit for Scaling Analysis" Coatings 10, no. 8: 776. https://doi.org/10.3390/coatings10080776
APA StyleZhou, W., Li, X., Feng, F., Qu, T., Huang, J., Qian, X., Zha, H., & Feng, P. (2020). Robustness of Surface Roughness against Low Number of Picture Elements and Its Benefit for Scaling Analysis. Coatings, 10(8), 776. https://doi.org/10.3390/coatings10080776

