Review on Polysaccharides Used in Coatings for Food Packaging Papers
Abstract
1. Introduction
2. Polysaccharides in Food Packaging Paper
2.1. Polysaccharides from Wood and Lignocellulosic Plants
2.1.1. Cellulose and Cellulose Derivatives
- Cellulose Ethers
- Cellulose Esters
- Cellulose Micro(nano)fibrillated Structures
2.1.2. Hemicelluloses
- General Features
- Extraction of HCs
- Chemical Modifications of HCs
- Applications of HCs in Food Packaging
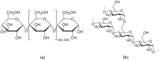
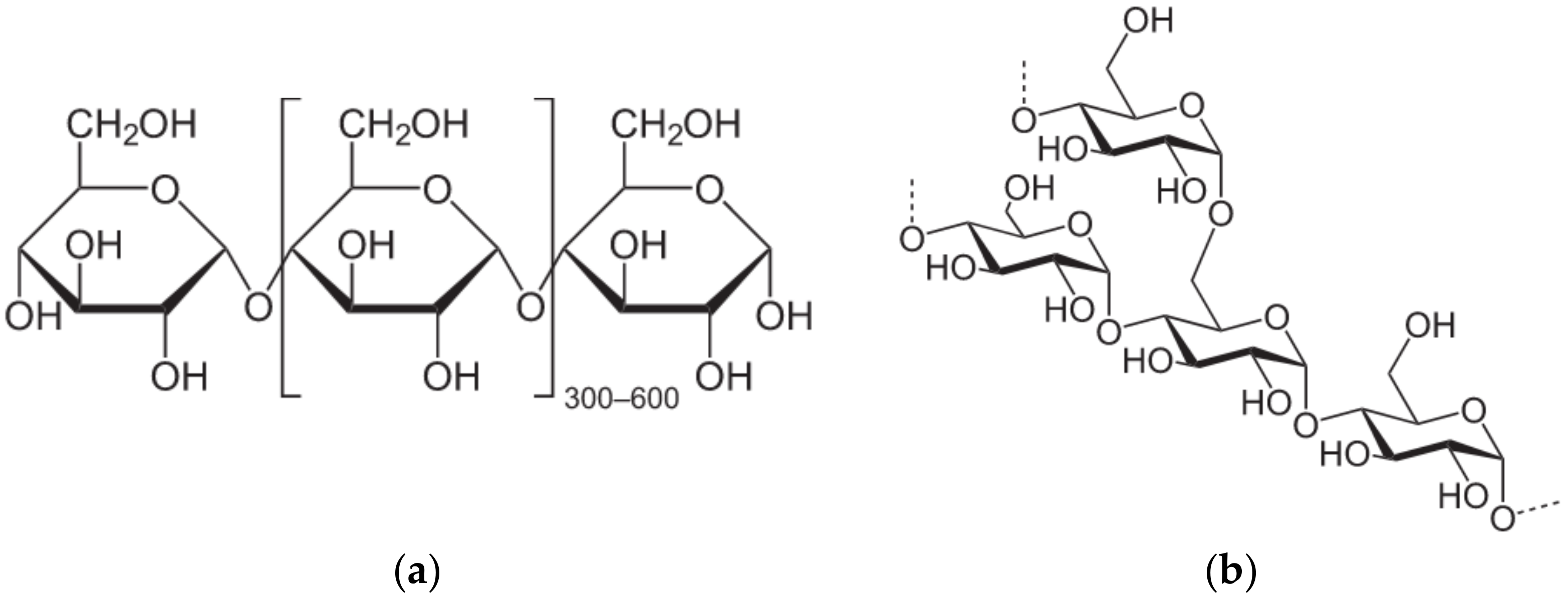
2.1.3. Starch
2.2. Polysaccharides from Marine Biomass
2.2.1. Chitosan and Chitosan Derivatives
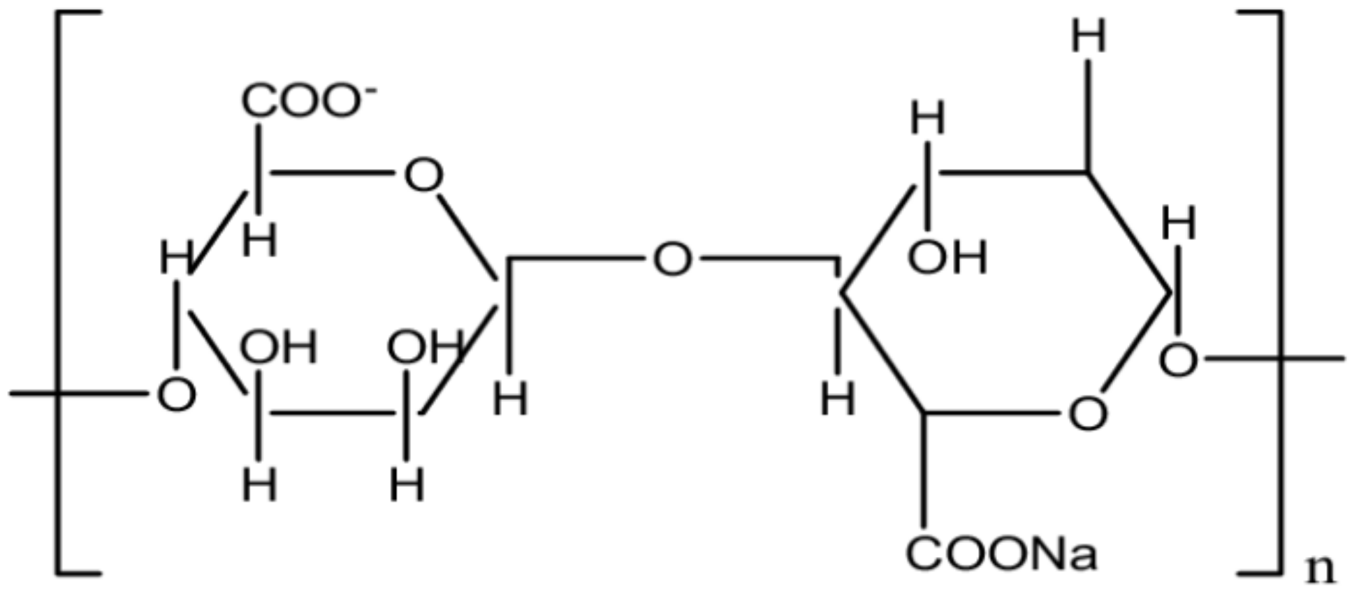
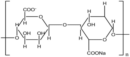
2.2.2. Alginates
3. Conclusions
Author Contributions
Funding
Acknowledgments
Conflicts of Interest
References
- Peelman, N.; Ragaert, P.; Verguldt, E.; Devlieghere, F.; De Meulenaer, B. Applicability of biobased packaging materials for long shelf-life food products. Packag. Res. 2016, 1, 7–20. [Google Scholar] [CrossRef]
- Piselli, A.; Garbagnoli, P.; Alfieri, I.; Lorenzi, A.; Del Curto, B. Natural-based coatings for food paper packaging. Int. J. Des. Sci. Technol. 2014, 20, 55–78. [Google Scholar]
- Bobu, E.; Nicu, R.; Obrocea, P.; Ardelean, E.; Dunca, S.; Balan, T. Antimicrobial properties of coatings based on chitosan derivatives for applications in sustainable paper conservation. Cell. Chem. Technol. 2016, 50, 689–699. [Google Scholar]
- COST Action. FP1003—Impact of Renewable Materials in Packaging for Sustainability—Development of Renewable Fibre and Bio-Based Materials for New Packaging Applications. Available online: https://www.cost.eu/cost-action/impact-of-renewable-materials-in-packaging-for-sustainability-development-of-renewable-fibre-and-bio-based-materials-for-new-packaging-applications/#tabs|Name:overview (accessed on 5 May 2020).
- Johansson, C.; Brass, J.; Mondragon, I.; Nechita, P.; Plackett, D.; Simon, P.; Gregor Svetec, D.; Virtanen, S.; Baschetti, M.G.; Breen, C.; et al. Renewable fibers and bio-based materials for packaging applications—A review of recent developments. BioResources 2012, 7, 2506–2552. [Google Scholar] [CrossRef]
- Rastogi, K.V.; Samyn, P. Bio-based coatings for paper applications. Coatings 2015, 5, 887–930. [Google Scholar] [CrossRef]
- Paper and Board Have Key Roles in the Future of Packaging. Available online: www.smithers.com/resources/2018 (accessed on 7 April 2020).
- Helanto, K.; Matikainen, L.; Talja, R.; Rojas, O.J. Bio-based polymers for sustainable packaging and biobarriers. BioResources 2019, 14, 4902–4951. [Google Scholar]
- Ramesh, H.P.; Tharanathan, R.N. Carbohydrates—The renewable raw materials of high biotechnological value. Crit. Rev. Biotechnol. 2003, 23, 149–173. [Google Scholar] [CrossRef]
- Mohana, K.; Ravichandrana, S.; Muralisankarb, T.; Uthayakumarc, V.; Chandirasekarc, R.; Seedevid, P.; Rajan, D.K. Potential uses of fungal polysaccharides as immunostimulants in fish and shrimp aquaculture: A review. Aquaculture 2019, 500, 250–263. [Google Scholar] [CrossRef]
- Delattre, C.; Laroche, C.; Michaud, P. Production of bacterial and fungal polysaccharides. In Advances in Fermentation Technology; Pandey, A., Larroche, C., Soccol, C.R., Dussap, C.G., Eds.; Asiatech Pub: New Delhi, India, 2008; pp. 483–522. [Google Scholar]
- Bancerz, R.; Osińska-Jaroszuk, M.; Jaszek, M.; Sulej, J.; Wiater, A.; Matuszewska, A.; Rogalski, J. Fungal polysaccharides as a water-adsorbing material in esters production with the use of lipase from rhizomucor variabilis. Int. J. Biol. Macromol. 2018, 118, 957–964. [Google Scholar] [CrossRef]
- Bhatia, S. Mammalian polysaccharides and its nanomaterials. In Systems for Drug Delivery; Bhatia, S., Ed.; Springer Nature Switzerland AG: Basel, Switzerland, 2016; pp. 1–27. [Google Scholar]
- Popa, V.I. Polysaccharides in Medicinal and Pharmaceutical Applications; Smithers Rapra: Shawbury, UK, 2011; pp. 1–89. [Google Scholar]
- Nešic, A.; Cabrera-Barjas, G.; Dimitrijevic-Brankovic, S.; Davidovic, S.; Radovanovic, N.; Delattre, C. Prospect of polysaccharide-based materials as advanced food packaging. Molecules 2020, 25, 135. [Google Scholar] [CrossRef]
- Falguera, V.; Quintero, J.P.; Jiménez, A.; Muñoz, J.A.; Ibarz, A. Edible films and coatings: structures, active functions and trends in their use. Trends Food Sci. Technol. 2011, 22, 292–303. [Google Scholar] [CrossRef]
- Hussain, A.; Zia, K.M.; Tabasum, S.; Noreen, A.; Ali, M.; Iqbal, R.; Zuber, M. Blends and composites of exopolysaccharides; properties and applications: A review. Int. J. Biol. Macromol. 2017, 94, 10–27. [Google Scholar] [CrossRef] [PubMed]
- Majid, I.; Ahmad Nayik, G.; Mohammad Dar, S.; Nanda, V. Novel food packaging technologies: Innovations and future prospective. J. Saudi Soc. Agric. Sci. 2018, 17, 454–462. [Google Scholar] [CrossRef]
- Pandey, J.K.; Takagi, H.; Nakagaito, A.N.; Saini, D.R.; Ahn, S.H. An overview on the cellulose based conducting composites. Compos. Part B Eng. 2012, 43, 2822–2826. [Google Scholar] [CrossRef]
- Siqueira, G.; Bras, J.; Dufresne, A. Cellulosic Bionanocomposites: A Review of preparation, properties and applications. Polymers 2010, 2, 728–765. [Google Scholar] [CrossRef]
- Cunha, A.G.; Gandini, A. Turning polysaccharides into hydrophobic materials: A critical review. Part 1. Cellulose 2010, 17, 875–889. [Google Scholar] [CrossRef]
- Eichhorn, S.J.; Dufresne, A.; Aranguren, M.; Marcovich, N.E.; Capadona, J.R.; Rowan, S.J.; Weder, C.; Thielemans, W.; Roman, M.; Renneckar, S.; et al. Review: Current international research into cellulose nanofibres and nanocomposites. J. Mater. Sci. 2010, 45, 1–33. [Google Scholar] [CrossRef]
- Orliac, O.; Rouilly, A.; Silvestre, F.; Rigal, L. Effects of various plasticizers on the mechanical properties, water resistance and aging of thermo-molded films made from sunflower proteins. Ind. Crop. Prod. 2003, 18, 91–100. [Google Scholar] [CrossRef]
- Shen, J.; Fatehi, P.; Yonghao, N. Biopolymers for surface engineering of paper-based products. Cellulose 2014, 21, 3145–3160. [Google Scholar] [CrossRef]
- Allsopp, D.; Seal, K.J.; Gaylarde, C.C. Introduction to Biodeterioration, 2nd ed.; Cambridge University Press: Cambridge, UK, 2004; pp. 11–26. [Google Scholar]
- Javad, S.; Khosro, A. Application of cellulose and cellulose derivatives in pharmaceutical industries. In Cellulose—Medical, Pharmaceutical and Electronic, Applications; Van De Ven, T.G.M., Ed.; IntechOpen: London, UK, 2013; pp. 47–66. [Google Scholar]
- Klass, C.P. Biobased materials for paper coating. In Proceedings of the Papercon Conference, Covington, KY, USA, 1–4 May 2011. [Google Scholar]
- Tang, Y.; Zhou, D.; Zhang, J.; Zhu, X. Fabrication and properties of paper coatings with the incorporation of nanoparticle pigments: Rheological behavior. Dig. J. Nanomater. Biostruct. 2013, 8, 1699–1710. [Google Scholar]
- Ghadermazi, R.; Hamdipour, S.; Sadeghi, K.; Ghadermazi, R.; Khosrowshahi Asl, A. Effect of various additives on the properties of the films and coatings derived from hydroxypropyl methylcellulose—A review. Food Sci. Nutr. 2019, 7, 3363–3377. [Google Scholar] [CrossRef] [PubMed]
- Zhang, Z.; Yang, R. Novel nanocomposites based on hydroxyethyl cellulose and graphene oxide. Fibers Polym. 2017, 18, 334–341. [Google Scholar] [CrossRef]
- Paunen, S. Strength and barrier enhancements of cellophane and cellulose derivative films: A review. BioResources 2013, 8, 3098–3121. [Google Scholar]
- Khwaldia, K. Physical and mechanical properties of hydroxypropyl methylcellulose-coated paper as affected by coating weight and coating composition. BioResources 2013, 8, 3438–3452. [Google Scholar] [CrossRef]
- Sothornvit, R. Effect of hydroxypropyl methylcellulose and lipid on mechanical properties and water vapor permeability of coated paper. Food Res. Int. 2009, 42, 307–311. [Google Scholar] [CrossRef]
- Petrie, E.M. Developments in Barrier Coatings for Paper and Board; Pira International Ltd.: Leatherhead, UK, 2006; p. 12. [Google Scholar]
- Tarus, B.K.; Mwasiagi, J.I.; Fadel, N.; Al-Oufy, A.; Elmessiry, M. Electrospun cellulose acetate and poly(vinyl chloride) nanofiber mats containing silver nanoparticles for antifungi packaging. SN Appl. Sci. 2019, 1, 245. [Google Scholar] [CrossRef]
- Willberg-Keyriläinen, P.; Ropponen, J.; Alakomi, H.L.; Vartiainen, J. Cellulose fatty acid ester coated papers for stand-up pouch applications. J. Appl. Polym. Sci. 2018, 135, 46936. [Google Scholar] [CrossRef]
- Lee, C.K.; Lee, S.B.; Hwang, S.W.; Park, K.W.; Shim, J.K. Cellulosic binder-assisted formation of graphene-paper electrode with flat surface and porous internal structure. J. Nanosci. Nanotechnol. 2013, 13, 7391–7395. [Google Scholar] [CrossRef]
- Thakur, V.K.; Thakur, M.K. Handbook of Sustainable Polymers: Processing and Applications; Pan Stanford Publishing: Singapore, 2015; pp. 576–604. [Google Scholar]
- Popa, V.I. Obtaining of nanocellulose. Celuloză și Hârtie 2015, 64, 3–10. (In Romanian) [Google Scholar]
- Nascimento, D.M. Comparação Ambiental e Tecnológica de Nanoestruturas de Celulose Obtidas da Fibra de Coco. Repository from EMBRAPA—Empresa Brasileira de Pesquisa Agropecuária, Ministério da Agricultura, Pecuária e Abastecimento, Federal University of Ceará, Brazil. Available online: https://www.alice.cnptia.embrapa.br/handle/doc/1102253 (accessed on 27 May 2020).
- de Amorim, J.D.P.; de Souza, K.C.; Duarte, C.R.; da Silva, I.; Ribeiro, F.D.A.S.; Santos Silva, G.; de Farias, P.M.A.; Stingl, A.; Costa, A.F.S.; Vinhas, G.M.; et al. Plant and bacterial nanocellulose: Production, properties and applications in medicine, food, cosmetics, electronics and engineering. A review. Environ. Chem. Lett. 2020, 18, 851–869. [Google Scholar] [CrossRef]
- Ahola, S.; Salmi, J.; Johansson, L.-S.; Laine, J.; Osterberg, M. Model films from native cellulose nanofibrils. Preparation, swelling, and surface interactions. Biomacromolecules 2008, 9, 1273–1282. [Google Scholar] [CrossRef] [PubMed]
- Abdul Khalil, H.P.S.; Bhat, A.H.; Abu Bakar, A.; Tahir, P.M.; Zaidul, S.M.; Jawaid, M. Cellulosic nanocomposites from natural fibers for medical applications: A review. In Handbook of Polymer Nanocomposites. Processing, Performance and Application: Volume C: Polymer Nanocomposites of Cellulose Nanoparticles; Pandey, J.K., Takagi, H., Nakagaito, A.N., Kim, H.-J., Eds.; Springer: Berlin/Heidelberg, Germany, 2014; pp. 119–144. [Google Scholar] [CrossRef]
- Klemm, D.; Kramer, F.; Moritz, S.; Lindstrom, T.; Ankerfors, M.; Gray, D. Nanocelluloses: A new family of nature-based materials. Angew. Chem. Int. Ed. 2011, 50, 5438–5466. [Google Scholar] [CrossRef] [PubMed]
- Siro, I.; Plackett, D. Microfibrillated cellulose and new nanocomposite materials: A review. Cellulose 2010, 17, 459–494. [Google Scholar] [CrossRef]
- Nogi, M.; Yano, H. Transparent nanocomposites based on cellulose produced by bacteria offer potential innovation in the electronics device industry. Adv. Mater. 2008, 20, 1849–1852. [Google Scholar] [CrossRef]
- Czaja, W.; Romanovicz, D.; Brown, R.M. Structural investigations of microbial cellulose produces in sattionary and agitated culture. Cellulose 2004, 11, 403–411. [Google Scholar] [CrossRef]
- Kaminski, K.; Jarosz, M.; Grudzien, J.; Pawlik, J.; Zastawnik, P.; Pandyra, P.; Kołodziejczyk, A.M. Hydrogel bacterial cellulose: A path to improved materials for new eco-friendly textiles. Cellulose 2020, 27, 5353–5365. [Google Scholar] [CrossRef]
- Santos, S.M.; Carbajo, H.M.; Gomez, N.; Quintana, E.; Ladero, M.; Sanchez, A.; Chinga-Carrasco, G.; Villar, J.C. Use of bacterial cellulose in degraded paper restoration. Part I: Application on model papers. J. Mater. Sci. 2016, 51, 1541–1552. [Google Scholar] [CrossRef]
- Fillat, A.; Martınez, J.; Valls, C.; Cusola, O.; Roncero, B.; Vidal, T.; Valenzuela, S.; Diaz, P.; Pastor, J. Bacterial cellulose for increasing barrier properties of paper products. Cellulose 2018, 25, 6093–6105. [Google Scholar] [CrossRef]
- Nechita, P.; Panaitescu, D.M. Improving the dispersibility of cellulose microfibrillated structures in polymer matrix by controlling of drying conditions and chemical surface modifications. Cell. Chem. Technol. 2013, 47, 711–719. [Google Scholar]
- Dufresne, A. Nanocellulose processing properties and potential applications. Curr. For. Rep. 2019, 5, 76–89. [Google Scholar] [CrossRef]
- Peresin, M.S.; Vartiainen, J.; Kunnari, V.; Kaljunen, T.; Tammelin, T.; Qvintus, P. Large-scale nanofibrillated cellulose film: An overview on its production, properties, and potential applications. In Proceedings of the 4th International Conference of Pulping, Papermaking and Biotechnology (ICPPB 2012), Nanjing, China, 7–9 November 2012. [Google Scholar]
- Lavoine, N.; Desloges, I.; Dufresne, A.; Bras, J. Microfibrillated cellulose—Its barrier properties and applications in cellulosic materials: A review. Carbohydr. Polym. 2012, 90, 735–764. [Google Scholar] [CrossRef] [PubMed]
- Aulin, C.; Gallstedt, M.; Lindstrom, T. Oxygen and oil barrier properties of microfibrillated cellulose films and coatings. Cellulose 2010, 17, 559–574. [Google Scholar] [CrossRef]
- Hubbe, M.A.; Ferrer, A.; Tyagi, P.; Yin, Y.; Salas, C.; Pal, L.; Rojas, O.J. Nanocellulose in thin films, coatings, and plies for packaging applications: A review. BioResources 2017, 12, 2143–2233. [Google Scholar] [CrossRef]
- Wang, J.; Gardner, D.J.; Stark, N.M.; Bousfield, D.W.; Tajvidi, M.; Cai, Z. Moisture and oxygen barrier properties of cellulose nanomaterial based films. ACS Sustain. Chem. Eng. 2018, 6, 49–70. [Google Scholar] [CrossRef]
- Österberg, M.; Vartiainen, J.; Lucenius, J.; Hippi, U.; Seppälä, J.; Serimaa, R. A fast method to produce strong NFC films as a platform for barrier and functional materials. ACS Appl. Mater. Interfaces 2013, 5, 4640–4647. [Google Scholar] [CrossRef]
- Li, F.; Mascheroni, E.; Piergiovanni, L. The potential of nanocellulose in the packaging field: A review. Packag. Technol. Sci. 2015, 28, 475–508. [Google Scholar] [CrossRef]
- Yook, S.; Park, H.; Lee, S.Y.; Kwon, J.; Youn, H.J. Barrier coatings with various types of cellulose nanofibrils and their barrier properties. Cellulose 2020, 27, 4509–4523. [Google Scholar] [CrossRef]
- Lavoine, N.; Desloges, I.; Khelifi, B.; Bras, J. Impact of different coating processes of microfibrillated cellulose on the mechanical and barrier properties of paper. J. Mater. Sci. 2014, 49, 2879–2893. [Google Scholar] [CrossRef]
- Lavoine, N.; Bras, J.; Desloges, I. Mechanical and barrier properties of cardboard and 3D packaging coated with microfibrillated cellulose. J. Appl. Polym. Sci. 2014, 131, 40106. [Google Scholar] [CrossRef]
- Vartiainen, J.; Rose, K.; Kusano, Y.; Mannila, Y.; Wikstrom, L. Hydrophobization, smoothing, and barrier improvements of cellulose nanofibril films by Sol–Gel coatings. J. Coat. Technol. Res. 2020, 17, 305–314. [Google Scholar] [CrossRef]
- Fanzhi, K.; Yim, F.H. Biomolecule immobilization techniques for bioactive paper fabrication. Anal. Bioanal. Chem. 2012, 403, 7–13. [Google Scholar]
- Khachatryan, K.; Khachatryan, G.; Fiedorowicz, M. Silver and gold nanoparticles embedded in potato starch gel films. J. Mater. Sci. Chem. Eng. 2016, 4, 22–31. [Google Scholar] [CrossRef][Green Version]
- Dutta, J.; Tripathi, S.; Dutta, P. Progress in antimicrobial activities of chitin, chitosan and its oligosaccharides: A systematic study needs for food applications. Food Sci. Technol. Int. 2012, 18, 3–34. [Google Scholar] [CrossRef] [PubMed]
- Amini, E.; Azadfallah, M.; Layeghi, M.; Talaei-Hassanloui, R. Silver-nanoparticle-impregnated cellulose nanofiber coating for packaging paper. Cellulose 2016, 23, 557–570. [Google Scholar] [CrossRef]
- Dumitriu, S.; Popa, V.I. Polymeric Biomaterials: Structure and Function, 1st ed.; CRC Press Taylor & Francis Group: Boca Raton, FL, USA, 2013; Volume 1, pp. 351–398. [Google Scholar]
- Menon, V.; Prakash, G.; Rao, M. Value added products from hemicelluloses: Biotechnological perspective. Glob. J. Biochem. 2010, 1, 36–67. [Google Scholar]
- Jabbar, A. Sustainable Jute-Based Composite Materials: Mechanical and Thermomechanical Behaviour; Springer Nature Switzerland AG: Basel, Switzerland, 2017; pp. 5–41. [Google Scholar]
- Sun, R.C.; Sun, X.F.; Tomkinson, J. Hemicelluloses and their derivatives. In Hemicelluloses: Science and Technology; Gatenholm, P., Tenkanen, M., Eds.; ACS Symposium Series: Washington, DC, USA, 2004; pp. 2–22. [Google Scholar]
- Fahlén, J.; Salmén, L. Pore and matrix distribution in the fiber wall revealed by atomic force microscopy and image analysis. Biomacromolecules 2005, 6, 433–438. [Google Scholar] [CrossRef]
- Placket, D. Biopolymers—New Materials for Sustainable Films and Coatings; Willey: Chichester, UK, 2011; pp. 20–179. [Google Scholar]
- Farhat, W. Investigation of Hemicellulose Biomaterial Approaches: The Extraction and Modification of Hemicellulose and its Use in Value added Applications. Ph.D. Thesis, University of Lyon, Lyon, France, August 2018. [Google Scholar]
- Geng, W.; Narron, R.; Jiang, X.; Pawlak, J.J.; Chang, H.; Park, S.; Jameel, H.; Venditti, R.A. The influence of lignin content and structure on hemicellulose alkaline extraction for non-wood and hardwood lignocellulosic biomass. Cellulose 2019, 26, 3219–3230. [Google Scholar] [CrossRef]
- Ohno, H.; Fukaya, Y. Task specific ionic liquids for cellulose technology. Chem. Lett. 2009, 38, 2–7. [Google Scholar] [CrossRef]
- Zavrel, M.; Bross, D.; Funke, M.; Buchs, J.; Spiess, A.C. High-throughput screening for ionic liquids dissolving (ligno-)cellulose. Bioresour. Technol. 2009, 100, 2580–2587. [Google Scholar] [CrossRef]
- Galbe, M.; Zacchi, G. A review of the production of ethanol from softwood. Appl Microbiol Biotechnol. 2002, 59, 618–628. [Google Scholar] [CrossRef]
- Li, R.; Yang, G.; Chen, J.; He, M. The Characterization of hemicellulose extract from corn stalk with stepwise alkali extraction. J. Korea TAPPI 2017, 49, 29–40. [Google Scholar] [CrossRef]
- Xiao, L.P.; Xu, F.; Sun, R.C. Fractional isolation and structural characterization of hemicellulosic polymers from caragana sinica. Polymers 2011, 11, 979–994. [Google Scholar] [CrossRef]
- Sun, R.; Sun, X.F.; Tomkinson, J. Hemicelluloses and their derivatives. ACS Symp. Ser. 2003, 864, 2–22. [Google Scholar]
- Ma, X.; Huang, H.; Huang, F.; Long, Y.; Cao, S.; Chen, L.; Huang, L.; Ni, Y. Synergistic effects of enzyme pretreatment for hemicellulose separation from paper-grade pulp in ionic liquid/water. Cellulose 2018, 25, 4193–4198. [Google Scholar] [CrossRef]
- Miyafuji, H.; Nakata, T.; Ehara, K.; Saka, S. Fermentability of water-soluble portion to ethanol obtained by supercritical water treatment of lignocellulosics. Appl. Biochem. Biotechnol. 2005, 121, 963–971. [Google Scholar] [CrossRef]
- Laine, C.; Harlin, A.; Hartman, J.; Hyvärinen, S.; Kammiovirta, K.; Krogerus, B.; Pajari, H.; Rautkoski, H.; Setälä, H.; Sievänen, J.; et al. Hydroxyalkylated xylans: Their synthesis and application in coatings for packaging and paper. Ind. Crop. Prod. 2013, 44, 692–704. [Google Scholar] [CrossRef]
- Talja, R.; Clegg, F.; Breen, C.; Poppius-Levlin, K. Nano clay reinforced xylan barriers. In Proceedings of the 3rd Nordic Wood Biorefinery Conference, NWBC 2011, Stockholm, Sweden, 22–24 March 2011; pp. 132–137. [Google Scholar]
- Chen, G.G.; Qi, X.M.; Guan, Y.; Peng, F.; Yao, C.L.; Sun, R.C. High strength hemicellulose-based nanocomposite film for food packaging applications. ACS Sustain. Chem. Eng. 2016, 4, 1985–1993. [Google Scholar] [CrossRef]
- Konduri, M.K.; Fatehi, P. Synthesis and characterization of arboxymethylated xylan and its application as a dispersant. Carbohydr. Polym. 2016, 146, 26–35. [Google Scholar] [CrossRef]
- Geng, W.; Venditti, R.A.; Pawlak, J.J.; Hou-Ming, C.; Lokendra, P.; Ericka, F. Carboxymethylation of hemicellulose isolated from poplar (Populus grandidentata) and its potential in water-soluble. Cellulose 2020, 27, 3359–3377. [Google Scholar] [CrossRef]
- Peng, X.W.; Ren, J.L.; Zhong, L.X.; Peng, F.; Sun, R.C. Xylan-rich hemicellulosesgraft -acrylic acid ionic hydrogels with rapid responses to pH, salt, and organic solvents. J. Agric. Food Chem. 2011, 59, 8208–8215. [Google Scholar] [CrossRef]
- Mohamad, N.L.; Kamal, S.M.M.; Mokhtar, M.N. Xylitol biological production: A review of recent studies. Food Rev. Int. 2015, 31, 74–89. [Google Scholar] [CrossRef]
- Yamabhai, M.; Sak-Ubol, S.; Srila, W.; Haltrich, D. Mannan biotechnology: From biofuels to health. Crit. Rev. Biotechnol. 2016, 36, 32–42. [Google Scholar] [CrossRef]
- Kricka, W.; Fitzpatrick, J.; Bond, U. Challenges for the production of bioethanol from biomass using recombinant yeasts. Adv. Appl. Microbiol. 2015, 92, 89–125. [Google Scholar] [PubMed]
- Karlsson, K.; Nylander, F.; Lundman, M.; Berta, M.; Stading, M.; Westman, G.; Rigdahl, M. Hot-mould foaming of modified hemicelluloses and hydroxypropyl methylcellulose. J. Polym. Res. 2019, 26, 206. [Google Scholar] [CrossRef]
- Anthony, R.; Xiang, Z.Y.; Runge, T. Paper coating performance of hemicellulose-rich natural polymer from distiller’s grains. Prog. Org. Coat. 2015, 89, 40–245. [Google Scholar] [CrossRef]
- Prakobna, K.; Kisonen, V.; Xu, C.; Berglund, L.A. Strong reinforcing effects from galactoglucomannan hemicellulose on mechanical behavior of wet cellulose nanofiber gels. J. Mater. Sci. 2015, 50, 7413–7423. [Google Scholar] [CrossRef]
- Hansen, N.M.L.; Plackett, D. Sustainable films and coatings from hemicelluloses: A review. Biomacromolecules 2008, 9, 1493–1505. [Google Scholar] [CrossRef]
- Xu, C.; Eckerman, C.; Smeds, A.; Reunanen, M.; Eklund, P.C.; Sjoholm, R.; Willfor, S. Carboxymethylated spruce galactoglucomannans: preparation, characterisation, dispersion stability, water-in-oil emulsion stability, and sorption on cellulose surface. Nordic Pulp Pap. Res. J. 2011, 26, 1–12. [Google Scholar] [CrossRef]
- Li, Z.; Pan, X. Strategies to modify physicochemical properties of hemicelluloses from biorefinery and paper industry for packaging material. Rev. Environ. Sci. Biotechnol. 2018, 17, 47–69. [Google Scholar] [CrossRef]
- Vartiainen, J.; Vähä-Nissi, M.; Harlin, A. Biopolymer films and coatings in packaging applications—A review of recent developments. Mat. Sci. Appl. 2014, 5, 708. [Google Scholar] [CrossRef]
- Renewable Barriers. Available online: https://seelution.se/products/renewable-barriers/ (accessed on 13 May 2020).
- Zhang, X.; Luo, W.; Xiao, N.; Chen, M.; Liu, C. Construction of functional composite films originating from hemicellulose reinforced with poly(vinyl alcohol) and nano-ZnO. Cellulose 2020, 27, 1341–1355. [Google Scholar] [CrossRef]
- Yu, J.; Zhu, Y.; Ma, H.; Liu, L.; Hu, Y.; Xu, J.; Wang, Z.; Fan, Y. Contribution of hemicellulose to cellulose nanofiber-based nanocomposite films with enhanced strength, flexibility and UV-blocking properties. Cellulose 2019, 26, 6023–6034. [Google Scholar] [CrossRef]
- Hartman, J.; Albertsson, A.C.; Söderqvist Lindblad, M.; Sjöberg, J. Oxygen barrier materials from renewable sources: Material properties of softwood hemicellulose-based films. J. Appl. Polym. Sci. 2006, 100, 2985–2991. [Google Scholar] [CrossRef]
- Hartman, J.; Albertsson, A.C.; Sjöberg, J. Surface- and bulk-modified galactoglucomannan hemicellulose films and film laminates for versatile oxygen barriers. Biomacromolecules 2006, 7, 1983. [Google Scholar] [CrossRef] [PubMed]
- Gabor (Naiaretti), D.; Tita, O. Biopolymers used in food packaging: A review. Acta Univ. Cibiniensis Ser. E Food Technol. 2012, 16, 3–19. [Google Scholar]
- Talja, R.; Helén, H.; Roos, Y.; Jouppila, K. Effect of various polyols and polyol contents on physical and mechanical properties of potato starch-based films. Carbohydr. Polym. 2007, 67, 288–295. [Google Scholar] [CrossRef]
- Myllymäki, O.; Myllärinen, P.; Forssell, P.; Suortti, T.; Lähteenkorva, K.; Ahvenainen, R.; Poutanen, K. Mechanical and permeability properties of biodegradable extruded starch/polycaprolactone films. Packag. Technol. Sci. 1998, 11, 265–274. [Google Scholar] [CrossRef]
- Kumar, R.; Ghoshal, G.; Goyal, M. Synthesis and functional properties of gelatin/CA–starch composite film: Excellent food packaging material. J. Food Sci. Technol. 2019, 56, 1954–1965. [Google Scholar] [CrossRef]
- Khwaldia, K.; Arab-Tehrany, E.; Desobry, S. Biopolymer coatings on paper packaging materials. Compr. Rev. Food Sci. Food Saf. 2010, 9, 82–91. [Google Scholar] [CrossRef]
- Cunha, A.G.; Gandini, A. Turning polysaccharides into hydrophobic materials: A critical review. Part 2. Hemicelluloses, chitin/chitosan, starch, pectin and alginates. Cellulose 2010, 17, 1045–1065. [Google Scholar] [CrossRef]
- Bastos, D.C.; Santos, A.E.F.; da Silva, M.L.V.J.; Simao, R.A. Hydrophobic corn starch thermoplastic films produced by plasma treatment. Ultramicroscopy 2009, 109, 1089–1093. [Google Scholar] [CrossRef] [PubMed]
- Chauhan, I.; Aggrawal, S.; Mohanty, P. ZnO nanowire-immobilized paper matrices for visible light-induced antibacterial activity against Escherichia coli. Environ. Sci. Nano 2015, 2, 273–279. [Google Scholar] [CrossRef]
- Samyn, P.; Barhoum, A.; Ohlund, T.; Dufresne, A. Review: Nanoparticles and nanostructured materials in papermaking. J. Mater. Sci. 2018, 53, 146–184. [Google Scholar] [CrossRef]
- Martins, N.C.T.; Freire, C.S.R.; Pinto, R.J.B. Electrostatic assembly of Ag nanoparticles onto nanofibrillated cellulose for antibacterial paper products. Cellulose 2012, 19, 1425–1436. [Google Scholar] [CrossRef]
- Bloembergen, S. Paper Binder Performance with Biobased Nanoparticles. Ph.D. Thesis, University of Waterloo, Waterloo, ON, Canada, September 2008. [Google Scholar]
- Mitelut, A.C.; Tanase, E.E.; Popa, V.I.; Popa, M.E. Sustainable alternative for food packaging: Chitosan biopolymer—A review. AgroLife Sci. J. 2015, 4, 2286. [Google Scholar]
- Song, Z.; Li, G.; Liu, G.; Liu, W. Application of chitin/chitosan and their derivatives in the papermaking industry. Polymers 2018, 10, 389. [Google Scholar] [CrossRef]
- Nicu, R.; Lupei, M.; Balan, T.; Bobu, E. Alkyl–chitosan as paper coating material to improve water barrier properties. Cell Chem. Technol. 2013, 47, 623. [Google Scholar]
- Wang, S.; Jing, Y. Effects of a chitosan coating layer on the surface properties and barrier properties of kraft paper. BioResources 2016, 11, 1868. [Google Scholar] [CrossRef]
- Bobu, E.; Nicu, R.; Desbrieres, J. Chitosan as cationic polyelectrolyte in wet-end papermaking systems. Cell Chem. Technol. 2011, 45, 105. [Google Scholar]
- Zakaria, S.; Chia, C.H.; Wan, H.W.A.; Kaco, H.; Chook, S.W.; Chi, H.C. Mechanical and antibacterial properties of paper coated with chitosan. Sains Malays. 2015, 44, 905–911. [Google Scholar] [CrossRef]
- Bordenave, N.; Grelier, S.; Coma, V. Hydrophobization and antimicrobial activity of chitosan and paper-based packaging material. Biomacromolecules 2010, 11, 88–96. [Google Scholar] [CrossRef] [PubMed]
- Hampichavant, F.; Sebe, G.; Pardon, P.; Coma, V. Fat resistance properties of chitosan-based paper packaging for food applications. Carbohydr. Polym. 2005, 61, 259–265. [Google Scholar] [CrossRef]
- Zhang, W.; Xiao, H.; Qian, L. Enhanced water vapour barrier and grease resistance of paper bilayer-coated with chitosan and beeswax. Carbohydr. Polym. 2014, 101, 401–406. [Google Scholar] [CrossRef]
- Nechita, P. Active-antimicrobial coatings based on silver nano-particles and natural polymers for paper packaging functionalization. Nord. Pulp Pap. Res. J. 2017, 32, 452–458. [Google Scholar] [CrossRef]
- Saral Sarojini, K.; Indumathi, M.P.; Rajarajeswari, G.R. Mahua oil-based polyurethane/chitosan/nano ZnO composite films for biodegradable food packaging applications. Int. J. Biol. Macromol. 2019, 124, 163–174. [Google Scholar]
- Coma, V.; Freire, C.S.R.; Silvestre, A.J.D. Recent Advances on the Development of Antibacterial Polysaccharide-Based Materials; Rinaudo, M., Goycoolea, F.M., Eds.; MDPI: Basel, Switzwerland, 2015; pp. 106–116. [Google Scholar]
- Maciel, V.B.V.; Yoshida, C.M.P.; Franco, T.T. Development of a prototype of a colourimetric temperature indicator for monitoring food quality. J. Food Eng. 2012, 111, 21–27. [Google Scholar] [CrossRef]
- Poverenov, E.; Rutenberg, R.; Danino, S.; Horev, B.; Rodov, V. Gelatin-chitosan composite films and edible coatings to enhance the quality of food products: Layer-by-layer vs. blended formulations. Food Bioprocess Technol. 2014, 7, 3319–3327. [Google Scholar] [CrossRef]
- Merzendorfer, H. Chitosan derivatives and grafted adjuncts with unique properties. In Extracellular Sugar-Based Biopolymers Matrices; Cohen, E., Merzendorfer, H., Eds.; Springer Biologically-Inspired Systems, Springer Nature Switzerland AG: Cham, Switzerland, 2019; pp. 95–151. [Google Scholar]
- Philippova, O.E.; Korchagina, E.V. Chitosan and its hydrophobic derivatives: Preparation and aggregation in dilute aqueous solutions. Polym. Sci. Ser. A 2012, 54, 552–572. [Google Scholar] [CrossRef]
- Fernandes, S.C.M.; Freire, C.S.R.; Silvestre, A.J.D.; Neto, C.P.; Gandini, A. Novel coated-paper materials based on chitosan and its derivatives. Ind. Eng. Chem. Res. 2010, 49, 6432–6439. [Google Scholar] [CrossRef]
- Ardelean, E.; Nicu, R.; Asandei, D.; Bobu, E. Carboxymethyl-chitosan as consolidation agent of old documents on paper support. Eur. J. Sci. Technol. 2009, 5, 53–61. [Google Scholar]
- Mourya, V.K.; Inamdar, N.N. Chitosan-modifications and applications: Opportunities galore. React. Funct. Polym. 2008, 68, 1013–1051. [Google Scholar] [CrossRef]
- Dutta, P.K.; Tripathi, S.; Mehotra, G.K.; Dutta, J. Perspectives for chitosan based antimicrobial films in food applications. Food Chem. 2009, 114, 1173–1182. [Google Scholar] [CrossRef]
- Bobu, E.; Nicu, R.; Lupei, M.; Ciolacu, F. Synthesis and characterization of N-alkyl chitosan for papermaking Applications. Cell. Chem. Technol. 2011, 45, 619–625. [Google Scholar]
- Ciolacu, F.; Nicu, R.; Balan, T.; Bobu, E. Chitosan derivatives as bio-based materials for paper heritage conservation. BioResources 2017, 12, 735. [Google Scholar] [CrossRef]
- Bobu, E.; Balan, T.; Ciolacu, F.; Nicu, R. Active packaging paper based on biodegradable and renewable resources. In Proceedings of the Global Conference on Polymer and Composite Materials, Hangzhou, China, 20–23 May 2016. [Google Scholar]
- Balan, T.; Guezennec, C.; Nicu, R.; Ciolacu, F.; Bobu, E. Improving barrier and strength properties of paper by multi-layer coating with bio-based additives. Cellul. Chem. Technol. 2015, 49, 607–615. [Google Scholar]
- Lupei, M. Research on the Synthesis of Multi-Functional Additives for Papermaking. Ph.D. Thesis, Gheorghe Asachi Technical University, Iasi, Romania, 2012. [Google Scholar]
- Ciolacu, F.; Parpalea, R.; Bobu, E. Carboxymethyl chitosan as multifunctional bio-additive in papermaking. In Proceedings of the 13th International Symposium on Cellulose Chemistry and Technology, Iasi, Romania, 3–5 September 2003; pp. 192–204. [Google Scholar]
- Kopacic, S.; Walz, A.; Zankel, A.; Leitner, E.; Bauer, W. Alginate and chitosan as a functional barrier for paper-based packaging materials. Coatings 2018, 8, 235. [Google Scholar] [CrossRef]
- Nesic, A.R.; Seslija, S.I. The influence of nanofillers on physical–chemical properties of polysaccharide-based film intended for food packaging. In Nanotechnology in the Agri-Food Industry, 1st ed.; Grumezescu, A., Ed.; Elsevier: Amsterdam, The Netherlands, 2016; pp. 637–697. [Google Scholar]
- Wong, D.W.S.; Gregorski, K.S.; Hudson, J.S.; Pavlath, A.E. Calcium alginate films: Thermal properties and permeability to sorbate and ascorbate. J. Food Sci. 1995, 61, 337–341. [Google Scholar] [CrossRef]
- Da Silva, M.A.; Iamanaka, B.T.; Taniwaki, M.H.; Kieckbusch, T.G. Evaluation of the antimicrobial potential of alginate and alginate/chitosan films containing potassium sorbate and natamycin. Packag. Technol. Sci. 2012, 26, 479–492. [Google Scholar] [CrossRef]
- Rhim, J.-W.; Lee, J.-H.; Hong, S.-I. Water resistance and mechanical properties of biopolymer (alginate and soy protein) coated paperboards. LWT Food Sci. Technol. 2006, 39, 806–813. [Google Scholar] [CrossRef]
- Ivancic, A. Recent trends in alginate, chitosan and alginate-chitosan antimicrobial systems. Chem. J. Moldova 2016, 11, 17–25. [Google Scholar] [CrossRef]
- Song, Z.; Xiao, H.; Li, Y. Effects of renewable materials coatings on oil resistant properties of paper. Nord. Pulp Pap. Res. J. 2015, 30, 344–349. [Google Scholar] [CrossRef]
- Sheng, J.; Li, J.; Zhao, L. Fabrication of grease resistant paper with non-fluorinated chemicals for food packaging. Cellulose 2019, 26, 6291–6302. [Google Scholar] [CrossRef]










| Diameter (μm) | Biological Structure | Technological Terms |
|---|---|---|
| 10–50 | Tracheid | Cellulose fibers |
| <1 | Macrofibrils | Fibrila fines, fibrils |
| <0.1 | Microfibrils Elementary fibril | Nanofibrils, nanofibers |
© 2020 by the authors. Licensee MDPI, Basel, Switzerland. This article is an open access article distributed under the terms and conditions of the Creative Commons Attribution (CC BY) license (http://creativecommons.org/licenses/by/4.0/).
Share and Cite
Nechita, P.; Roman, M. Review on Polysaccharides Used in Coatings for Food Packaging Papers. Coatings 2020, 10, 566. https://doi.org/10.3390/coatings10060566
Nechita P, Roman M. Review on Polysaccharides Used in Coatings for Food Packaging Papers. Coatings. 2020; 10(6):566. https://doi.org/10.3390/coatings10060566
Chicago/Turabian StyleNechita, Petronela, and Mirela Roman (Iana-Roman). 2020. "Review on Polysaccharides Used in Coatings for Food Packaging Papers" Coatings 10, no. 6: 566. https://doi.org/10.3390/coatings10060566
APA StyleNechita, P., & Roman, M. (2020). Review on Polysaccharides Used in Coatings for Food Packaging Papers. Coatings, 10(6), 566. https://doi.org/10.3390/coatings10060566

