Non-Linear Thermal Radiations and Mass Transfer Analysis on the Processes of Magnetite Carreau Fluid Flowing Past a Permeable Stretching/Shrinking Surface under Cross Diffusion and Hall Effect
Abstract
:1. Introduction
2. Mathematical Model of the Problem
3. Solution by HAM
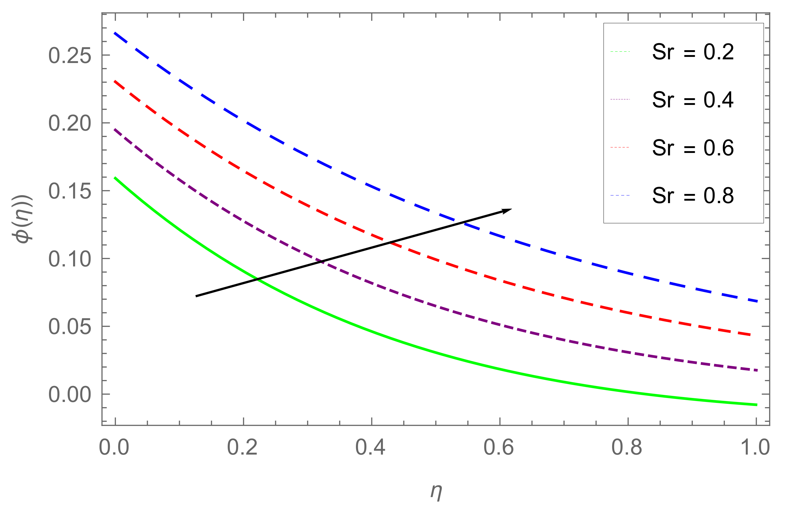
4. Results and Discussion
5. Tables Discussion
6. Conclusions
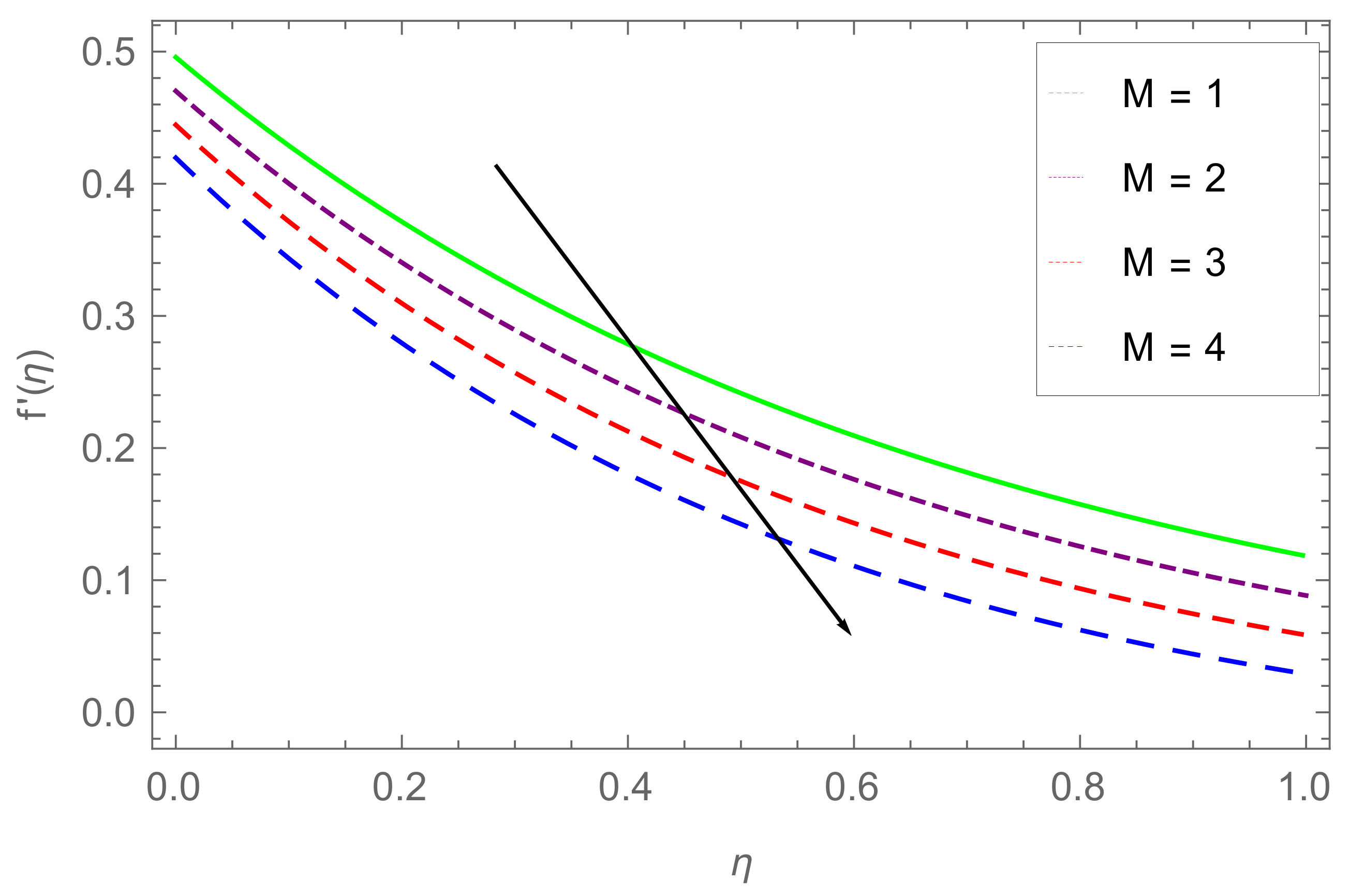
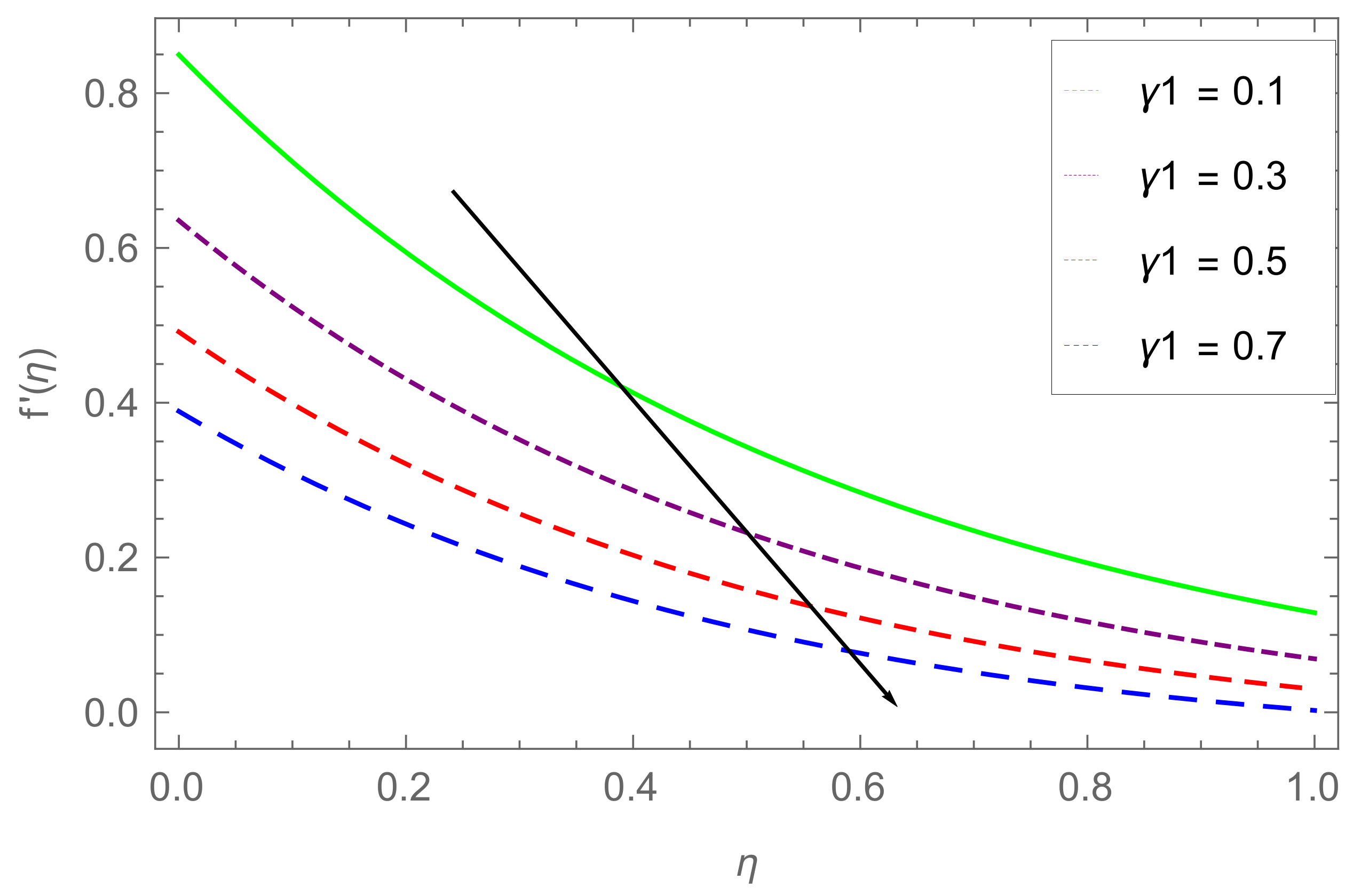
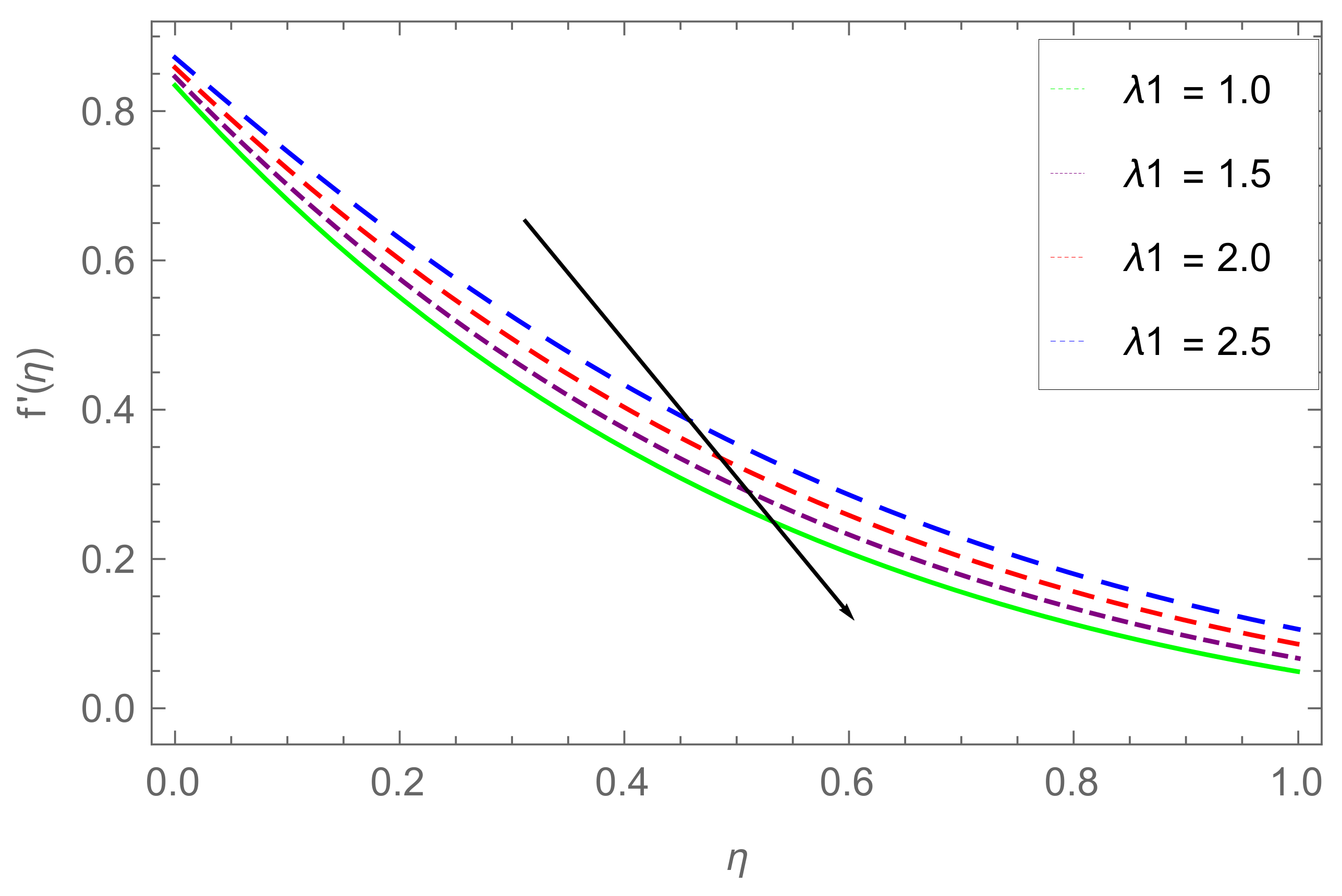
- The velocity field () drops with the ascending values of M, and , while it is enhanced with the Hall effect parameter and n (power law index).
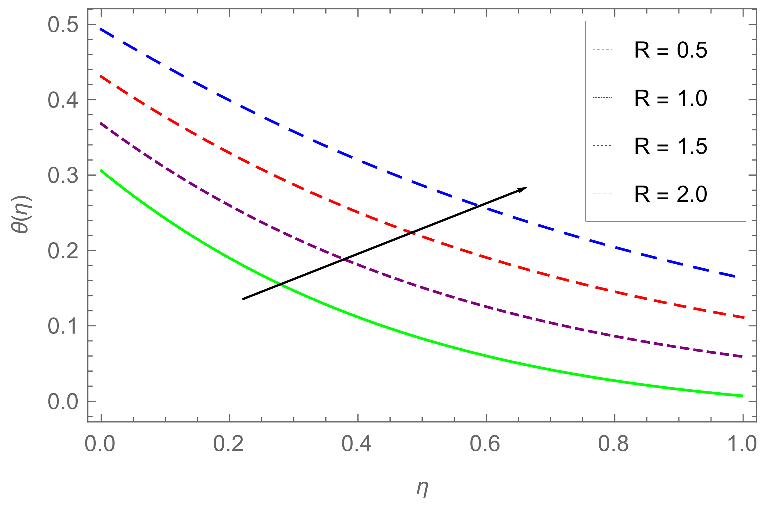
- The temperature of the Carreu fluid is augmented with the rising values of and R, whereas it drops with rising Prandtl number values.
- The fluid concentration rises with increasing values of and , and drops with the larger values of .
- The skin friction coefficient, local Nusselt Number and Sherwood number depreciate (augment) with the larger values of the magnetic parameter (index of the power law, n) in both cases.
- The Soret number and diffusion coefficient control the heat energy and mass transfer flow rates.
- The augmenting values of radiation parameter reduce both the and , whereas they enhance in both cases. The rising values of the velocity slip parameter affect these quantities in the opposite manner.
- The agreement between our results and published results confirms the accuracy of the employed procedure.
Author Contributions
Funding
Acknowledgments
Conflicts of Interest
Abbreviations
| Electrical conductivity | |
| B | Uniform magnetic parameter strength T |
| Local Nusslet number | |
| Local Reynolds number | |
| Skin friction | |
| Sherwood number | |
| m | Hall parameter |
| S | Mass transfer parameter |
| Prandtl number | |
| Stretching velocity () | |
| T | Fluid temperature (K) |
| Kinematic viscosity | |
| Density | |
| Dynamic viscosity mPa | |
| Specific heat | |
| Mass flux | |
| f | Dimensionless velocity |
| Dimensionless temperature | |
| Dimensionless concentration | |
| ∞ | Condition at infinity |
| 0 | Reference condition |
| x, y, and z | Coordinates (m) |
| Similarity variable | |
| Thermal relaxation parameter | |
| Schmidt number | |
| Dufour number | |
| t | Time (s) |
| n | Power law index |
| M | Magnetic field interaction parameter |
| Extra stress tensor | |
| Strain rate tensor | |
| Stefan Boltzmann constant | |
| Convective heat transfer coefficient | |
| Convective mass transfer coefficient | |
| Surface mass transfer | |
| Surface heat transfer | |
| Thermal profile slip parameter | |
| Concentration profile slip parameter |
References
- Crane, L.J. Flow past a stretching plate. Z. Angew. Math. Phys. ZAMP 1970, 21, 645–647. [Google Scholar] [CrossRef]
- Moradikazerouni, A.; Afrand, M.; Alsarraf, J.; Mahian, O.; Wongwises, S.; Tran, M.D. Comparison of the effect of five different entrance channel shapes of a micro-channel heat sink in forced convection with application to cooling a supercomputer circuit board. Appl. Therm. Eng. 2019, 150, 1078–1089. [Google Scholar] [CrossRef]
- Moradikazerouni, A.; Afrand, M.; Alsarraf, J.; Wongwises, S.; Asadi, A.; Nguyen, T.K. Investigation of a computer CPU heat sink under laminar forced convection using a structural stability method. Int. J. Heat Mass Transf. 2019, 134, 1218–1226. [Google Scholar] [CrossRef]
- Eid, M.R.; Mahny, K.L. Flow and heat transfer in a porous medium saturated with a Sisko nanofluid over a nonlinearly stretching sheet with heat generation/absorption. Heat Transf. Asian Res. 2018, 47, 54–71. [Google Scholar] [CrossRef]
- Vajravelu, K. Viscous flow over a nonlinearly stretching sheet. Appl. Math. Comput. 2001, 124, 281–288. [Google Scholar] [CrossRef]
- Liu, I.C.; Wang, H.H.; Peng, Y.F. Flow and heat transfer for three-dimensional flow over an exponentially stretching surface. Chem. Eng. Commun. 2013, 200, 253–268. [Google Scholar] [CrossRef]
- Hayat, T.; Asad, S.; Mustafa, M.; Alsaedi, A. Boundary layer flow of Carreau fluid over a convectively heated stretching sheet. Appl. Math. Comput. 2014, 246, 12–22. [Google Scholar] [CrossRef]
- Schlichting, H.; Gersten, K. Boundary-Layer Theory; Springer: Berlin/Heidelberg, Germany, 2016. [Google Scholar]
- Dash, G.; Tripathy, R.; Rashidi, M.; Mishra, S. Numerical approach to boundary layer stagnation-point flow past a stretching/shrinking sheet. J. Mol. Liq. 2016, 221, 860–866. [Google Scholar] [CrossRef]
- Ishak, A.; Nazar, R.; Pop, I. Hydromagnetic flow and heat transfer adjacent to a stretching vertical sheet. Heat Mass Transf. 2008, 44, 921. [Google Scholar] [CrossRef]
- Ishak, A.; Jafar, K.; Nazar, R.; Pop, I. MHD stagnation point flow towards a stretching sheet. Phys. A Stat. Mech. Its Appl. 2009, 388, 3377–3383. [Google Scholar] [CrossRef]
- Xu, H.; Liao, S.J.; Pop, I. Series solutions of unsteady three-dimensional MHD flow and heat transfer in the boundary layer over an impulsively stretching plate. Eur. J. Mech. B/Fluids 2007, 26, 15–27. [Google Scholar] [CrossRef]
- Vajravelu, K.; Hadjinicolaou, A. Convective heat transfer in an electrically conducting fluid at a stretching surface with uniform free stream. Int. J. Eng. Sci. 1997, 35, 1237–1244. [Google Scholar] [CrossRef]
- Pop, I.; Na, T.Y. A note on MHD flow over a stretching permeable surface. Mech. Res. Commun. 1998, 25, 263–269. [Google Scholar] [CrossRef]
- Freidoonimehr, N.; Rashidi, M.M.; Mahmud, S. Unsteady MHD free convective flow past a permeable stretching vertical surface in a nano-fluid. Int. J. Therm. Sci. 2015, 87, 136–145. [Google Scholar] [CrossRef]
- Khan, M.S.; Karim, I.; Islam, M.S.; Wahiduzzaman, M. MHD boundary layer radiative, heat generating and chemical reacting flow past a wedge moving in a nanofluid. Nano Converg. 2014, 1, 20. [Google Scholar] [CrossRef] [PubMed] [Green Version]
- Reddy, M.G. Influence of magnetohydrodynamic and thermal radiation boundary layer flow of a nanofluid past a stretching sheet. J. Sci. Res. 2014, 6, 257–272. [Google Scholar] [CrossRef]
- AboEldahab, E.M. Radiation effect on heat transfer in an electrically conducting fluid at a stretching surface with a uniform free stream. J. Phys. D Appl. Phys. 2000, 33, 3180. [Google Scholar] [CrossRef]
- Gnaneswara Reddy, M. Thermal radiation and chemical reaction effects on MHD mixed convective boundary layer slip flow in a porous medium with heat source and Ohmic heating. Eur. Phys. J. Plus 2014, 129, 41. [Google Scholar] [CrossRef]
- Abo-Eldahab, E.M.; El Gendy, M.S. Radiation effect on convective heat transfer in an electrically conducting fluid at a stretching surface with variable viscosity and uniform free stream. Phys. Scr. 2000, 62, 321. [Google Scholar] [CrossRef]
- Reddy, M.G. Effects of thermophoresis, viscous dissipation and Joule heating on steady MHD Flow over an inclined radiative isothermal permeable surface with variable thermal conductivity. J. Appl. Fluid Mech. 2014, 7. [Google Scholar] [CrossRef]
- Ma, Y.; Shahsavar, A.; Moradi, I.; Rostami, S.; Moradikazerouni, A.; Yarmand, H.; Zulkifli, N.W.B.M. Using finite volume method for simulating the natural convective heat transfer of nano-fluid flow inside an inclined enclosure with conductive walls in the presence of a constant temperature heat source. Phys. A Stat. Mech. Its Appl. 2019, 123035. [Google Scholar] [CrossRef]
- Tian, Z.; Rostami, S.; Taherialekouhi, R.; Karimipour, A.; Moradikazerouni, A.; Yarmand, H.; Zulkifli, N.W.B.M. Prediction of rheological behavior of a new hybrid nanofluid consists of copper oxide and multi wall carbon nanotubes suspended in a mixture of water and ethylene glycol using curve-fitting on experimental data. Phys. A Stat. Mech. Its Appl. 2020, 124101. [Google Scholar] [CrossRef]
- Vo, D.D.; Alsarraf, J.; Moradikazerouni, A.; Afrand, M.; Salehipour, H.; Qi, C. Numerical investigation of γ-AlOOH nano-fluid convection performance in a wavy channel considering various shapes of nanoadditives. Powder Technol. 2019, 345, 649–657. [Google Scholar] [CrossRef]
- Alsarraf, J.; Moradikazerouni, A.; Shahsavar, A.; Afrand, M.; Salehipour, H.; Tran, M.D. Hydrothermal analysis of turbulent boehmite alumina nanofluid flow with different nanoparticle shapes in a minichannel heat exchanger using two-phase mixture model. Phys. A Stat. Mech. Its Appl. 2019, 520, 275–288. [Google Scholar] [CrossRef]
- Moradikazerouni, A.; Hajizadeh, A.; Safaei, M.R.; Afrand, M.; Yarmand, H.; Zulkifli, N.W.B.M. Assessment of thermal conductivity enhancement of nano-antifreeze containing single-walled carbon nanotubes: Optimal artificial neural network and curve-fitting. Phys. A Stat. Mech. Its Appl. 2019, 521, 138–145. [Google Scholar] [CrossRef]
- Asadi, A.; Aberoumand, S.; Moradikazerouni, A.; Pourfattah, F.; Żyła, G.; Estellé, P.; Mahian, O.; Wongwises, S.; Nguyen, H.M.; Arabkoohsar, A. Recent advances in preparation methods and thermophysical properties of oil-based nanofluids: A state-of-the-art review. Powder Technol. 2019, 352, 209–226. [Google Scholar] [CrossRef]
- Ranjbarzadeh, R.; Moradikazerouni, A.; Bakhtiari, R.; Asadi, A.; Afrand, M. An experimental study on stability and thermal conductivity of water/silica nanofluid: Eco-friendly production of nanoparticles. J. Clean. Prod. 2019, 206, 1089–1100. [Google Scholar] [CrossRef]
- Shi, E.; Zang, X.; Jiang, C.; Mohammadpourfard, M. Entropy generation analysis for thermomagnetic convection of paramagnetic fluid inside a porous enclosure in the presence of magnetic quadrupole field. J. Therm. Anal. Calorim. 2020, 139, 2005–2022. [Google Scholar] [CrossRef]
- Carreau, P.J. Rheological equations from molecular network theories. Trans. Soc. Rheol. 1972, 16, 99–127. [Google Scholar]
- Ali, N.; Hayat, T. Peristaltic motion of a Carreau fluid in an asymmetric channel. Appl. Math. Comput. 2007, 193, 535–552. [Google Scholar] [CrossRef]
- Hayat, T.; Saleem, N.; Ali, N. Effect of induced magnetic field on peristaltic transport of a Carreau fluid. Commun. Nonlinear Sci. Numer. Simul. 2010, 15, 2407–2423. [Google Scholar] [CrossRef]
- Tshehla, M. The flow of Carreau fluid down an incline with a free surface. Int. J. Phys. Sci. 2011, 6, 3896–3910. [Google Scholar] [CrossRef]
- Ellahi, R.; Riaz, A.; Nadeem, S.; Ali, M. Peristaltic flow of Carreau fluid in a rectangular duct through a porous medium. Math. Probl. Eng. 2012, 2012. [Google Scholar] [CrossRef]
- Machireddy, G.R.; Polarapu, P.; Bandari, S. Effects of magnetic field and Ohmic heating on viscous flow of a nanofluid towards a nonlinear permeable stretching sheet. J. Nanofluids 2016, 5, 459–470. [Google Scholar] [CrossRef]
- E, J.; Jin, Y.; Deng, Y.; Zuo, W.; Zhao, X.; Han, D.; Peng, Q.; Zhang, Z. Wetting models and working mechanisms of typical surfaces existing in nature and their application on superhydrophobic surfaces: A review. Adv. Mater. Interfaces 2018, 5, 1701052. [Google Scholar] [CrossRef]
- Krisna, P.M.; Sandeep, N.; Sugunamma, V. Effects of radiation and chemical reaction on MHD convective flow over a permeable stretching surface with suction and heat generation. Walailak J. Sci. Technol (WJST) 2015, 12, 831–847. [Google Scholar] [CrossRef]
- Sandeep, N.; Sulochana, C.; Sugunamma, V. Radiation and magnetic field effects on unsteady mixed convection flow over a vertical stretching/shrinking surface with suction/injection. Ind. Eng. Lett. 2015, 5, 127–136. [Google Scholar]
- Jonnadula, M.; Polarapu, P.; Reddy, G.; Venakateswarlu, M. Influence of thermal radiation and chemical reaction on MHD flow, heat and mass transfer over a stretching surface. Procedia Eng. 2015, 127, 1315–1322. [Google Scholar] [CrossRef] [Green Version]
- Datta, N.; Jana, R.N. Oscillatory magnetohydrodynamic flow past a flat plate with Hall effects. J. Phys. Soc. Jpn. 1976, 40, 1469–1474. [Google Scholar] [CrossRef]
- Aboeldahab, E.M.; Elbarbary, E.M. Hall current effect on magnetohydrodynamic free-convection flow past a semi-infinite vertical plate with mass transfer. Int. J. Eng. Sci. 2001, 39, 1641–1652. [Google Scholar] [CrossRef]
- Biswal, S.; Sahoo, P. Hall effect on oscillatory hydromagnetic free convective flow of a visco-elastic fluid past an infinite vertical porous flat plate with mass transfer. In Proceedings-National Academy of Sciences India Section A; Springer Nature: Basel, Switzerland, 1999; pp. 45–58. [Google Scholar]
- Changal, R.M.; Ananda, R.N.; Vijaya, K.V.S. Hall-current effects on unsteady MHD flow between stretching sheet and an oscillating porous upper parallel plate with constant suction. Therm. Sci. 2011, 15, 527–536. [Google Scholar] [CrossRef]
- Rajput, U.; Kanaujia, N. Chemical reaction in MHD flow past a vertical plate with mass diffusion and constant wall temperature with hall current. Int. J. Eng. Sci. Technol. 2016, 8, 28–38. [Google Scholar] [CrossRef] [Green Version]
- Shah, Z.; Dawar, A.; Khan, I.; Islam, S.; Ching, D.L.C.; Khan, A.Z. Cattaneo-Christov model for electrical magnetite micropoler Casson ferrofluid over a stretching/shrinking sheet using effective thermal conductivity model. Case Stud. Therm. Eng. 2019, 13, 100352. [Google Scholar] [CrossRef]
- Ullah, A.; Alzahrani, E.O.; Shah, Z.; Ayaz, M.; Islam, S. Nanofluids thin film flow of Reiner-Philippoff fluid over an unstable stretching surface with Brownian motion and thermophoresis effects. Coatings 2019, 9, 21. [Google Scholar] [CrossRef] [Green Version]
- Alharbi, S.O.; Dawar, A.; Shah, Z.; Khan, W.; Idrees, M.; Islam, S.; Khan, I. Entropy generation in MHD eyring–powell fluid flow over an unsteady oscillatory porous stretching surface under the impact of thermal radiation and heat source/sink. Appl. Sci. 2018, 8, 2588. [Google Scholar] [CrossRef] [Green Version]
- Hayat, T.; Ahmed, B.; Abbasi, F.; Alsaedi, A. Numerical investigation for peristaltic flow of Carreau–Yasuda magneto-nanofluid with modified Darcy and radiation. J. Therm. Anal. Calorim. 2019, 137, 1359–1367. [Google Scholar] [CrossRef]
- Carreau, P.; Kee, D.D.; Daroux, M. An analysis of the viscous behaviour of polymeric solutions. Can. J. Chem. Eng. 1979, 57, 135–140. [Google Scholar] [CrossRef]
- Reddy, P.S.; Chamkha, A.J. Soret and Dufour effects on MHD convective flow of Al2O3–water and TiO2–water nanofluids past a stretching sheet in porous media with heat generation/absorption. Adv. Powder Technol. 2016, 27, 1207–1218. [Google Scholar] [CrossRef]
- Ghadikolaei, S.; Hosseinzadeh, K.; Yassari, M.; Sadeghi, H.; Ganji, D. Analytical and numerical solution of non-Newtonian second-grade fluid flow on a stretching sheet. Therm. Sci. Eng. Progress 2018, 5, 309–316. [Google Scholar] [CrossRef]
- Ghadikolaei, S.; Hosseinzadeh, K.; Ganji, D.; Hatami, M. Fe3O4–(CH2OH)2 nanofluid analysis in a porous medium under MHD radiative boundary layer and dusty fluid. J. Mol. Liq. 2018, 258, 172–185. [Google Scholar]
- Hosseinzadeh, K.; Alizadeh, M.; Ganji, D. Hydrothermal analysis on MHD squeezing nanofluid flow in parallel plates by analytical method. Int. J. Mech. Mater. Eng. 2018, 13, 4. [Google Scholar] [CrossRef] [Green Version]
- Sheikholeslami, M.; Shah, Z.; Shafee, A.; Khan, I.; Tlili, I. Uniform magnetic force impact on water based nanofluid thermal behavior in a porous enclosure with ellipse shaped obstacle. Sci. Rep. 2019, 9, 1196. [Google Scholar] [CrossRef] [PubMed] [Green Version]
- Reddy, B.P. Hall effect on MHD transient flow past an impulsively atarted infinite horizontal porous plate in a rotating system. Int. J. Appl. Mech. Eng. 2018, 23, 471–483. [Google Scholar] [CrossRef] [Green Version]
- Ahmad Farooq, A.; Shah, Z.; O Alzahrani, E. Heat transfer analysis of a magneto-bio-fluid transport with variable thermal viscosity through a vertical ciliated channel. Symmetry 2019, 11, 1240. [Google Scholar] [CrossRef] [Green Version]
- Vo, D.D.; Shah, Z.; Sheikholeslami, M.; Shafee, A.; Nguyen, T.K. Numerical investigation of MHD nanomaterial convective migration and heat transfer within a sinusoidal porous cavity. Phys. Scr. 2019, 94, 115225. [Google Scholar] [CrossRef]
- Olajuwon, I.B. Convection heat and mass transfer in a hydromagnetic Carreau fluid past a vertical porous plate in presence of thermal radiation and thermal diffusion. Therm. Sci. 2011, 15, 241–252. [Google Scholar] [CrossRef]
- Hassani, M.; Tabar, M.M.; Nemati, H.; Domairry, G.; Noori, F. An analytical solution for boundary layer flow of a nanofluid past a stretching sheet. Int. J. Therm. Sci. 2011, 50, 2256–2263. [Google Scholar] [CrossRef]
- Sha, Z.; Dawar, A.; Alzahrani, E.O.; Kumam, P.; Khan, A.J.; Islam, S. Hall effect on couple stress 3D nanofluid flow over an exponentially stretched surface with cattaneo christov heat flux model. IEEE Access 2019, 7, 64844–64855. [Google Scholar] [CrossRef]
- Liao, S.J. The Proposed Homotopy Analysis Technique for the Solution of Nonlinear Problems. Ph.D. Thesis, Shanghai Jiao Tong University, Shanghai, China, 1992. [Google Scholar]
- Ellahi, R. The effects of MHD and temperature dependent viscosity on the flow of non-Newtonian nanofluid in a pipe: Analytical solutions. Appl. Math. Model. 2013, 37, 1451–1467. [Google Scholar] [CrossRef]
- Gul, T.; Khan, M.A.; Khan, A.; Shuaib, M. Fractional-order three-dimensional thin-film nanofluid flow on an inclined rotating disk. Eur. Phys. J. Plus 2018, 133, 500. [Google Scholar] [CrossRef]












| S | Reference [7] | Present Results | |
|---|---|---|---|
| 0.0 | 0.4 | 0.991339 | 0.9913393 |
| 0.3 | 0.4 | 1.15760 | 1.157602 |
| 0.6 | 0.4 | 1.34872 | 1.348724 |
| 0.6 | 0.0 | 1.34403 | 1.344032 |
| 0.6 | 0.2 | 1.34872 | 1.348725 |
| 0.6 | 0.4 | 1.33304 | 1.333041 |
| n | S | Reference [7] | Present Results | |||
|---|---|---|---|---|---|---|
| 0.0 | 0.6 | 0.6 | 0.2 | 0.2 | 0.166837 | 0.1668374 |
| 0.1 | 0.6 | 0.6 | 0.2 | 0.2 | 0.1666775 | 0.1666775 |
| 0.2 | 0.6 | 0.6 | 0.2 | 0.2 | 0.474120 | 0.4741203 |
| 0.2 | 0.3 | 0.7 | 1.3 | 0.2 | 0.166631 | 0.1666314 |
| 0.2 | 0.5 | 0.7 | 1.3 | 0.2 | 0.166691 | 0.1666914 |
| 0.2 | 0.7 | 0.7 | 1.3 | 0.2 | 0.166750 | 0.1667505 |
| n | R | M | Reference [58] | Present Results | ||
|---|---|---|---|---|---|---|
| 0.5 | 0.6 | 0.5 | 0.75 | 0.75 | 1.21108 | 1.2110832 |
| 1.0 | 0.6 | 0.5 | 0.75 | 0.75 | 1.0581 | 1.058124 |
| 1.5 | 0.6 | 0.5 | 0.75 | 0.75 | 0.9053 | 0.905314 |
| 0.2 | 0.6 | 0.5 | 0.75 | 0.75 | 0.7525 | 0.752515 |
| M | n | R | / | / | ||||
|---|---|---|---|---|---|---|---|---|
| 1 | − | − | − | − | − | −0.950678 | 0.125518 | 0.150193 |
| 2 | − | − | − | − | − | −1.069653 | 0.120818 | 0.147393 |
| 3 | − | − | − | − | − | −1.168544 | 0.116819 | 0.144993 |
| − | 1 | − | − | − | − | −1.085312 | 0.120461 | 0.147167 |
| − | 5 | − | − | − | − | −0.970058 | 0.123213 | 0.148882 |
| − | 10 | − | − | − | − | −0.853761 | 0.126262 | 0.150757 |
| − | − | 0.2 | − | − | − | −1.069652 | 0.127662 | 0.155867 |
| − | − | 0.4 | − | − | − | −1.069651 | 0.122989 | 0.150090 |
| − | − | 0.6 | − | − | − | −1.069653 | 0.118758 | 0.143891 |
| − | − | − | 0.2 | − | − | −1.069652 | 0.139853 | 0.146271 |
| − | − | − | 0.4 | − | − | −1.069651 | 0.126867 | 0.148472 |
| − | − | − | 0.6 | − | − | −1.069654 | 0.115051 | 0.146580 |
| − | − | − | − | 0.5 | − | −1.069651 | 0.125799 | 0.147390 |
| − | − | − | − | 1.0 | − | −1.069651 | 0.120819 | 0.148126 |
| − | − | − | − | 1.5 | − | −1.069653 | 0.116279 | 0.149515 |
| − | − | − | − | − | 0.1 | −1.220020 | 0.124010 | 0.145515 |
| − | − | − | − | − | 0.3 | −0.954323 | 0.118002 | 0.143293 |
| − | − | − | − | − | 0.5 | −0.788011 | 0.113204 | 0.142297 |
| M | n | R | / | / | ||||
|---|---|---|---|---|---|---|---|---|
| 1 | − | − | − | − | − | −0.889776 | 0.114028 | 0.139181 |
| 2 | − | − | − | − | − | −1.011871 | 0.106677 | 0.134409 |
| 3 | − | − | − | − | − | −1.113430 | 0.100334 | 0.130193 |
| − | 1 | − | − | − | − | −1.025844 | 0.106198 | 0.134071 |
| − | 5 | − | − | − | − | −0.922493 | 0.109861 | 0.136627 |
| − | 10 | − | − | − | − | −0.817218 | 0.113931 | 0.139391 |
| − | − | 0.2 | − | − | − | −1.011874 | 0.113041 | 0.142802 |
| − | − | 0.4 | − | − | − | −1.011874 | 0.108654 | 0.137044 |
| − | − | 0.6 | − | − | − | −1.011874 | 0.104832 | 0.131925 |
| − | − | − | 0.2 | − | − | −1.011874 | 0.125738 | 0.130361 |
| − | − | − | 0.4 | − | − | −1.011874 | 0.112658 | 0.133111 |
| − | − | − | 0.6 | − | − | −1.011874 | 0.101036 | 0.135657 |
| − | − | − | − | 0.5 | − | −1.011872 | 0.111641 | 0.133395 |
| − | − | − | − | 1.0 | − | −1.011874 | 0.106677 | 0.134407 |
| − | − | − | − | 1.5 | − | −1.011874 | 0.102281 | 0.135322 |
| − | − | − | − | − | 0.1 | −1.147816 | 0.110879 | 0.137607 |
| − | − | − | − | − | 0.3 | −0.906699 | 0.102933 | 0.131509 |
| − | − | − | − | − | 0.5 | −0.753593 | 0.096511 | 0.126388 |
© 2020 by the authors. Licensee MDPI, Basel, Switzerland. This article is an open access article distributed under the terms and conditions of the Creative Commons Attribution (CC BY) license (http://creativecommons.org/licenses/by/4.0/).
Share and Cite
Ullah, A.; Hafeez, A.; Mashwani, W.K.; Ikramullah; Kumam, W.; Kumam, P.; Ayaz, M. Non-Linear Thermal Radiations and Mass Transfer Analysis on the Processes of Magnetite Carreau Fluid Flowing Past a Permeable Stretching/Shrinking Surface under Cross Diffusion and Hall Effect. Coatings 2020, 10, 523. https://doi.org/10.3390/coatings10060523
Ullah A, Hafeez A, Mashwani WK, Ikramullah, Kumam W, Kumam P, Ayaz M. Non-Linear Thermal Radiations and Mass Transfer Analysis on the Processes of Magnetite Carreau Fluid Flowing Past a Permeable Stretching/Shrinking Surface under Cross Diffusion and Hall Effect. Coatings. 2020; 10(6):523. https://doi.org/10.3390/coatings10060523
Chicago/Turabian StyleUllah, Asad, Abdul Hafeez, Wali Khan Mashwani, Ikramullah, Wiyada Kumam, Poom Kumam, and Muhammad Ayaz. 2020. "Non-Linear Thermal Radiations and Mass Transfer Analysis on the Processes of Magnetite Carreau Fluid Flowing Past a Permeable Stretching/Shrinking Surface under Cross Diffusion and Hall Effect" Coatings 10, no. 6: 523. https://doi.org/10.3390/coatings10060523
APA StyleUllah, A., Hafeez, A., Mashwani, W. K., Ikramullah, Kumam, W., Kumam, P., & Ayaz, M. (2020). Non-Linear Thermal Radiations and Mass Transfer Analysis on the Processes of Magnetite Carreau Fluid Flowing Past a Permeable Stretching/Shrinking Surface under Cross Diffusion and Hall Effect. Coatings, 10(6), 523. https://doi.org/10.3390/coatings10060523

