Design of a Double-Nozzle Air Spray Gun and Numerical Research in the Interference Spray Flow Field
Abstract
1. Introduction
2. Computational Model
2.1. Geometry of the Double-Bozzle Air Spray Gun
2.2. Computational Domain and Grid
2.3. Numerical Method and Initial Conditions
3. Simulation Results and Discussion
3.1. Setting of Structural Parameters
3.2. Grid Independence Study
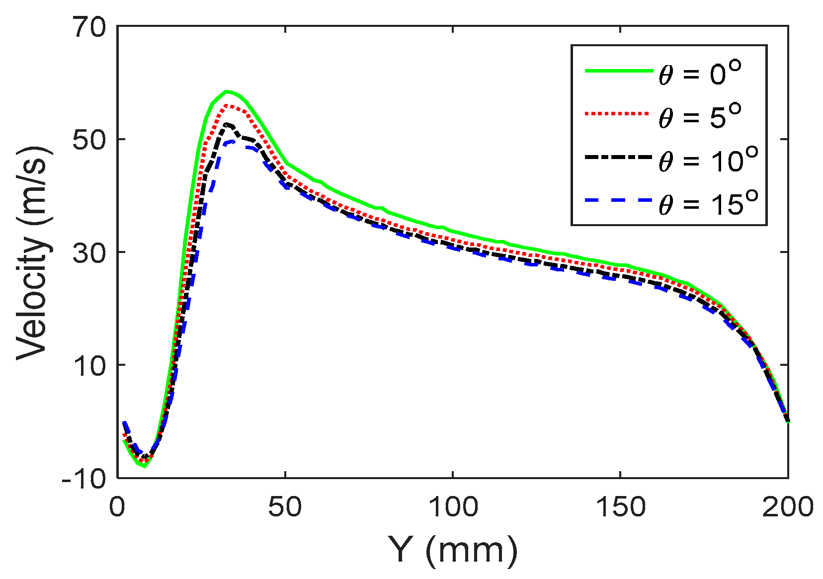
3.3. Simulation Results of the Velocity Field
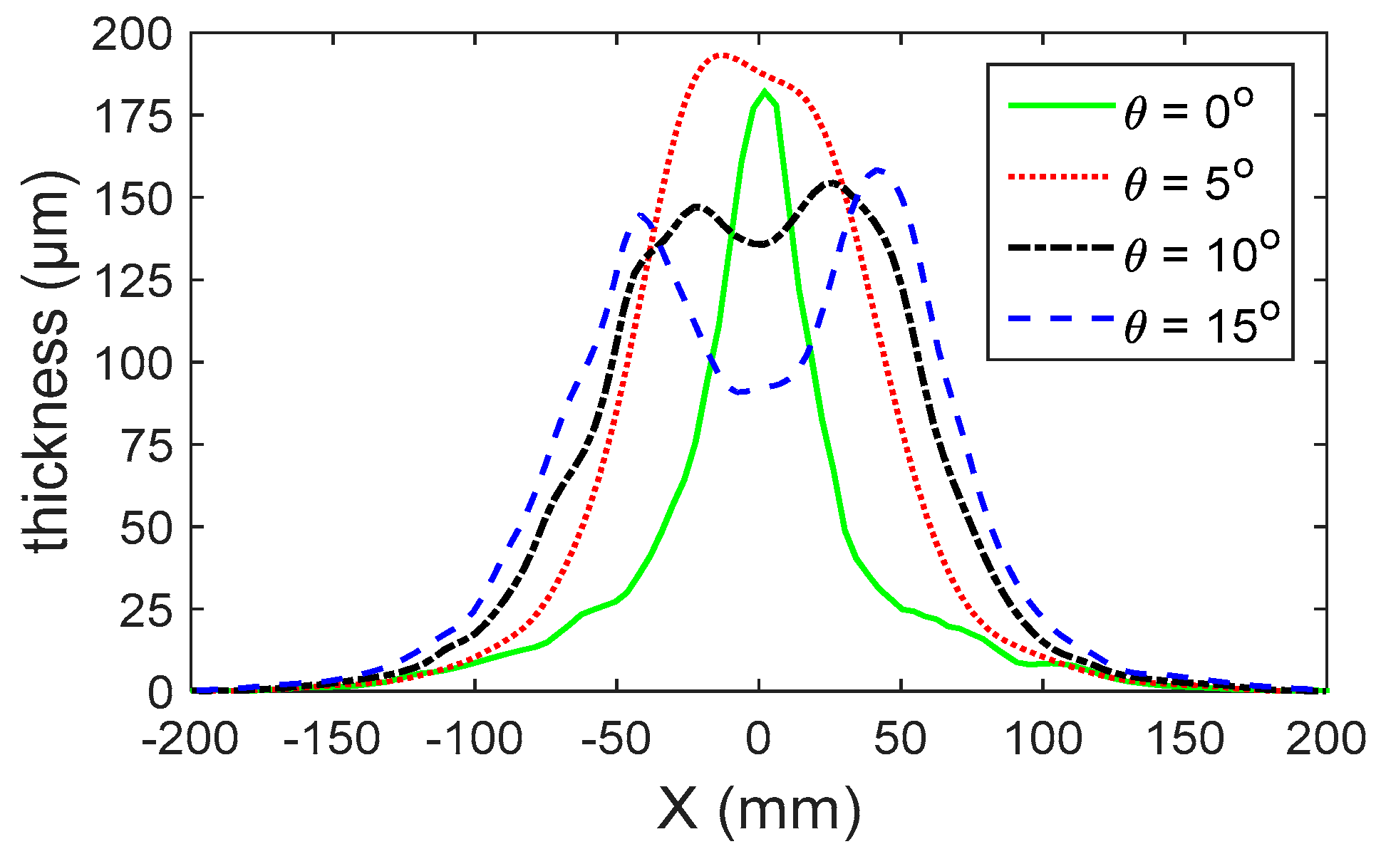
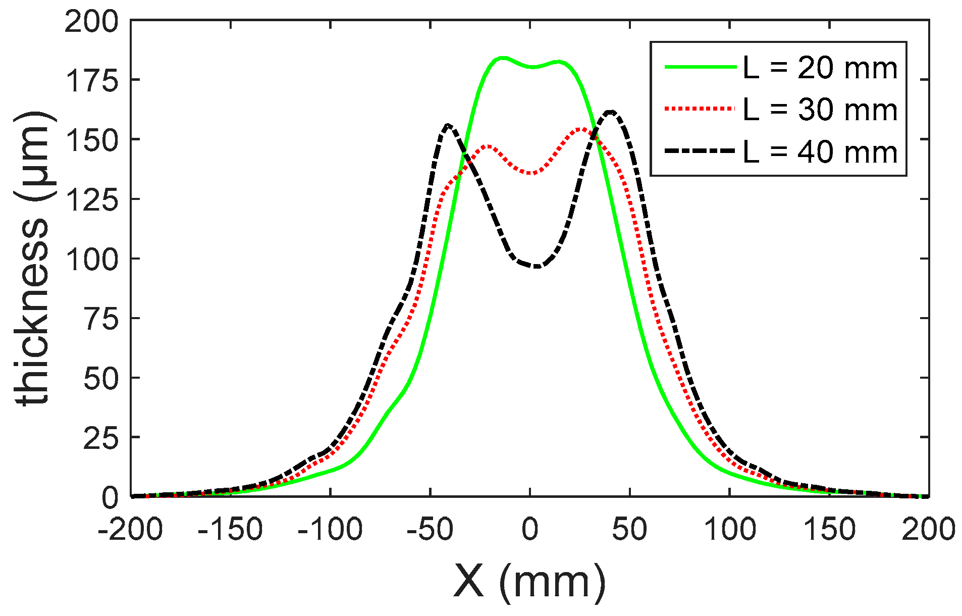
3.4. Simulation Results of the Coating Film Thickness Distribution
3.5. Comparison of Double-Nozzle and Single-Nozzle Air Spray Guns
4. Conclusions
Author Contributions
Funding
Conflicts of Interest
References
- Andulkar, M.V.; Chiddarwar, S.S.; Marathe, A.S. Novel integrated offline trajectory generation approach for robot assisted spray painting operation. J. Manuf. Syst. 2015, 37, 201–216. [Google Scholar] [CrossRef]
- Chen, H.P.; Xi, N. Automated tool trajectory planning of industrial robots for painting composite surfaces. Int. J. Adv. Manuf. Technol. 2008, 35, 680–696. [Google Scholar] [CrossRef]
- Chen, W.Z.; Chen, Y.; Li, B.; Zhang, W.M.; Chen, K. Design of redundant robot painting system for long non-regular duct. Ind. Robot 2016, 43, 58–64. [Google Scholar] [CrossRef]
- Chen, W.Z.; Chen, Y.; Zhang, W.M.; He, S.W.; Li, B.; Jiang, J.Z. Paint thickness simulation for robotic painting of curved surfaces based on Euler-Euler approach. J. Braz. Soc. Mech. Sci. Eng. 2019, 41, 9. [Google Scholar] [CrossRef]
- Chen, H.P.; Xi, N. Automated robot tool trajectory connection for spray forming process. J. Manuf. Sci. Eng. Trans. ASME 2012, 134, 9. [Google Scholar] [CrossRef]
- Guan, L.W.; Chen, L. Trajectory planning method based on transitional segment optimization of spray painting robot on complex-free surface. Ind. Robot 2019, 46, 31–43. [Google Scholar] [CrossRef]
- Park, K.; Jeon, D. Optimization of Tool Path Pitch of Spray Painting Robots for Automotive Painting Quality. Int. J. Control Autom. Syst. 2018, 16, 2832–2838. [Google Scholar] [CrossRef]
- Suk-Hwan, S.; In-Kee, W.; Sung-Kee, N. Automatic trajectory planning system (ATPS) for spray painting robots. J. Manuf. Syst. 1991, 10, 396–406. [Google Scholar] [CrossRef]
- Zhang, Y.J.; Li, W.B.; Zhang, C.; Liao, H.L.; Zhang, Y.C.; Deng, S.H. A spherical surface coating thickness model for a robotized thermal spray system. Robot. Comput. Integr. Manuf. 2019, 59, 297–304. [Google Scholar] [CrossRef]
- Arikan, M.A.S.; Balkan, T. Process simulation and paint thickness measurement for robotic spray painting. CIRP Ann. Manuf. Technol. 2001, 50, 291–294. [Google Scholar] [CrossRef]
- Chen, H.P.; Xi, N.; Sheng, W.H.; Chen, M.F. General framework of optimal tool trajectory planning for free-form surfaces in surface manufacturing. J. Manuf. Sci. Eng. Trans. ASME 2005, 127, 49–59. [Google Scholar] [CrossRef]
- Feng, C.; Sun, Z.-Q. Models of spray gun and simulation in robotics spray painting. Robot 2003, 25, 353–358. [Google Scholar]
- Klein, A. CAD-based off-line programming of painting robots. Robotica 1987, 5, 267–271. [Google Scholar] [CrossRef]
- Antonio, J.K. Optimal trajectory planning for spray coating. In Proceedings of the 1994 IEEE International Conference on Robotics and Automation (Cat. No.94CH3375-3), San Diego, CA, USA, 8–13 May 1994; Volume 2573, pp. 2570–2577. [Google Scholar] [CrossRef]
- Freund, E.; Rokossa, D.; Rossmann, J. Process-oriented approach to an efficient off-line programming of industrial robots. In Proceedings of the 24th Annual Conference of the IEEE Industrial Electronics Society, IECON ‘98, Aachen, Germany, 31 August–4 September 1998; IEEE: New York, NY, USA, 1998; Volume 1–4, pp. 208–213. [Google Scholar]
- Arikan, M.A.S.; Balkan, T. Modeling of paint flow rate flux for elliptical paint sprays by using experimental paint thickness distributions. Ind. Robot 2006, 33, 60–66. [Google Scholar] [CrossRef]
- Zhang, Y.; Huang, Y.; Gao, F.; Wang, W. New model for air spray gun of robotic spray-painting. Chin. J. Mech. Eng. 2006, 42, 226–233. [Google Scholar] [CrossRef]
- Chen, Y.; Chen, W.Z.; Li, B.; Zhang, G.; Zhang, W.M. Paint thickness simulation for painting robot trajectory planning: A review. Ind. Robot 2017, 44, 629–638. [Google Scholar] [CrossRef]
- Xie, X.P.; Wang, Y.N. Research on distribution properties of coating film thickness from air spraying gun-based on numerical simulation. Coatings 2019, 9, 721. [Google Scholar] [CrossRef]
- Li, W.T.; Qian, L.J.; Song, S.B.; Zhong, X.K. Numerical study on the influence of shaping air holes on atomization performance in pneumatic atomizers. Coatings 2019, 9, 410. [Google Scholar] [CrossRef]
- Osman, H.; Adamiak, K.; Castle, G.S.P.; Fan, H.T.; Simmer, J. ASME Comparison between the Numerical and Experimental Deposition Patterns for an Electrostatic Rotary Bell Sprayer; American Society of Mechanical Engineers: New York, NY, USA, 2016. [Google Scholar]
- Ye, Q.; Shen, B.; Tiedje, O.; Bauernhansl, T.; Domnick, J. Numerical and experimental study of spray coating using air-assisted high-pressure atomizers. Atom. Sprays 2015, 25, 643–656. [Google Scholar] [CrossRef]
- Ye, Q.Y.; Pulli, K. Numerical and experimental investigation on the spray coating process using a pneumatic atomizer: Influences of operating conditions and target geometries. Coatings 2017, 7, 13. [Google Scholar] [CrossRef]
- Domnick, J.; Scheibe, A.; Ye, Q.Y. The simulation of the electrostatic spray painting process with high-speed rotary bell atomizers. Part I: Direct charging. Part. Part. Syst. Charact. 2005, 22, 141–150. [Google Scholar] [CrossRef]
- Domnick, J.; Scheibe, A.; Ye, Q.Y. The simulation of electrostatic spray painting process with high-speed rotary bell atomizers. Part II: External charging. Part. Part. Syst. Charact. 2007, 23, 408–416. [Google Scholar] [CrossRef]
- Ye, Q.; Domnick, J. Analysis of droplet impingement of different atomizers used in spray coating processes. J. Coat. Technol. Res. 2017, 14, 467–476. [Google Scholar] [CrossRef]
- Fogliati, M.; Fontana, D.; Garbero, M.; Vanni, M.; Baldi, G.; Donde, R. CFD simulation of paint deposition in an air spray process. JCT Res. 2006, 3, 117–125. [Google Scholar] [CrossRef]
- Chen, Y.; He, S.W.; Zhang, G.; Chen, W.Z.; Jiang, J.Z. Numerical Simulation of Air Spray using the Eulerian multiphase model. In Proceedings of the 2016 4th International Conference on Machinery, Materials and Computing Technology, Hangzhou, China, 23–24 January 2016; Zhu, J., Yao, G., Eds.; Atlantis Press: Paris, France, 2016; Volume 60, pp. 1229–1232. [Google Scholar]

















| Atomizing Air Pressure | Shaping Air Pressure | Assisting Air Pressure | Liquid Flow Rate | 
|---|---|---|---|
| 0.15 MPa | 0.07 MPa | 0.15 MPa | 0.0015 kg/s | 
| Materials | Density (kg/m3) | Surface Tension (mN/m) | Viscosity (Pa·s) | 
|---|---|---|---|
| Paint | 1200 | 71.9 | 0.065 | 
| Air | 1.29 | – | 1.8 × 10−5 | 
| Variables | Values | 
|---|---|
| L | 20, 30, 40, 50 mm | 
| θ | 0°, 5°, 10°, 15° | 
© 2020 by the authors. Licensee MDPI, Basel, Switzerland. This article is an open access article distributed under the terms and conditions of the Creative Commons Attribution (CC BY) license (http://creativecommons.org/licenses/by/4.0/).
Share and Cite
Wang, Y.-A.; Xie, X.-P.; Lu, X.-H. Design of a Double-Nozzle Air Spray Gun and Numerical Research in the Interference Spray Flow Field. Coatings 2020, 10, 475. https://doi.org/10.3390/coatings10050475
Wang Y-A, Xie X-P, Lu X-H. Design of a Double-Nozzle Air Spray Gun and Numerical Research in the Interference Spray Flow Field. Coatings. 2020; 10(5):475. https://doi.org/10.3390/coatings10050475
Chicago/Turabian StyleWang, Yin-An, Xiao-Peng Xie, and Xiao-Hui Lu. 2020. "Design of a Double-Nozzle Air Spray Gun and Numerical Research in the Interference Spray Flow Field" Coatings 10, no. 5: 475. https://doi.org/10.3390/coatings10050475
APA StyleWang, Y.-A., Xie, X.-P., & Lu, X.-H. (2020). Design of a Double-Nozzle Air Spray Gun and Numerical Research in the Interference Spray Flow Field. Coatings, 10(5), 475. https://doi.org/10.3390/coatings10050475
 
        
 
       