Structural, Morphological, and Optical Properties of Iron Doped WO3 Thin Film Prepared by Pulsed Laser Deposition
Abstract
1. Introduction
2. Methods
3. Results
4. Conclusions
Author Contributions
Funding
Conflicts of Interest
References
- Di Pietrantonio, F.; Benett, M.; Cannata, D.; Verona, E.; Palla-Papavlu, A.; Dinca, V.; Dinescu, M.; Mattle, T.; Lipert, T. Volatile toxic compound detection by surface acoustic wave sensor array coated with chemoselective polymers deposited by laser induced forward transfer: Application to sarin. Sens. Actuators B 2012, 174, 158–167. [Google Scholar] [CrossRef]
- Song, H.; Li, Y.; Lou, Z.; Xiao, M.; Hu, L.; Ye, Z.; Zhu, L. Synthesis of Fe-doped WO3 nanostructures with high visible-light-driven photocatalytic activities. Appl. Catal. B 2015, 166–167, 112–120. [Google Scholar] [CrossRef]
- Miao, R.Y.; Zeng, W.; Gao, Q. SDS-assisted hydrothermal synthesis of NiO flake flower architectures with enhanced gas-sensing properties. Appl. Surf. Sci. 2016, 384, 304–310. [Google Scholar] [CrossRef]
- Jiang, R.B.; Li, B.X.; Fang, C.H.; Wang, J.F. Metal/semiconductor hybrid nanostructures for plasmon-enhanced applications. Adv. Mater. 2014, 26, 5274–5309. [Google Scholar] [CrossRef]
- Qin, Y.X.; Cui, M.Y.; Ye, Z.H. Adsorption of ethanol on V2O5 (010) surface for gas sensing applications: Ab initio investigation. Appl. Surf. Sci. 2016, 379, 497–504. [Google Scholar] [CrossRef]
- Liu, L.; Song, P.; Yang, Z.; Wang, Q. Highly sensitive and selective trimethylamine sensors based on WO3 nanorods decorated with Au nanoparticles. Phys. E 2017, 90, 109–115. [Google Scholar] [CrossRef]
- Palla-Papavlu, A.; Filipescu, M.; Schneider, C.W.; Antohe, S.; Ossi, P.M.; Radnóczi, G.; Dinescu, M.; Wokaun, A.; Lippert, T. Direct laser deposition of nanostructured tungsten oxide for sensing applications. J. Phys. D Appl. Phys. 2016, 49, 205101. [Google Scholar] [CrossRef]
- Koltypin, Y.; Nikitenko, S.I.; Gedanken, A. The sonochemical preparation of tungsten oxide nanoparticles. J. Mater. Chem. 2002, 12, 1107–1110. [Google Scholar] [CrossRef]
- Santato, C.; Odziemkowski, M.; Ulmann, M.; Augustynski, J. Crystallographically oriented mesoporous WO3 films: Synthesis, characterization, and applications. J. Am. Chem. Soc. 2001, 123, 10639–10649. [Google Scholar] [CrossRef] [PubMed]
- Liu, Z.; Liu, B.; Xie, W.; Li, H.; Zhou, R.; Li, Q.; Wang, T. Enhanced selective acetone sensing characteristics based on Co-doped WO3 hierarchical flower-like nanostructures assembled with nanoplates. Sens. Actuators 2016, 235, 614–621. [Google Scholar] [CrossRef]
- Lee, I.; Choi, S.J.; Park, K.M.; Lee, S.S.; Choi, S.; Kim, D.; Park, C.O. The stability, sensitivity and response transients of ZnO SnO2 and WO3 sensors under acetone, toluene and H2S environments. Sens. Actuators 2014, 197, 300–307. [Google Scholar] [CrossRef]
- Kruefu, V.; Wisitsoraat, A.; Tuantranont, A.; Phanichphant, S. Ultra-sensitive H2S sensors based on hydrothermal/impregnation-made Ru-functionalized WO3nanorods. Sens. Actuators 2015, 215, 630–636. [Google Scholar] [CrossRef]
- Park, S.; Kim, H.; Jin, C.; Choi, S.-W.; Kim, S.S.; Lee, C. Enhanced CO gas sensing properties of Pt-functionalized WO3nanorods. Thermochim. Acta 2012, 542, 69–73. [Google Scholar] [CrossRef]
- Kim, N.H.; Choi, S.J.; Yang, D.J.; Bae, J.; Park, J.; Kim, I.D. Highly sensitive and selective hydrogen sulfide and toluene sensors using Pd functionalized WO3nanofibers for potential diagnosis of halitosis and lung cancer. Sens. Actuators 2014, 193, 574–581. [Google Scholar] [CrossRef]
- Zhang, Y.; He, W.; Zhao, H.; Li, P. Template-free to fabricate highly sensitive and selective acetone gas sensor based on WO3 microspheres. Vacuum 2013, 95, 30–34. [Google Scholar] [CrossRef]
- Liu, X.; Zhang, J.; Yang, T.; Guo, X.; Wu, S.; Wang, S. Synthesis of Pt nanoparticles functionalized WO3 nanorods and their gas sensing properties. Sens. Actuators 2011, 156, 918–923. [Google Scholar] [CrossRef]
- Tesfamichael, T.; Ponzoni, A.; Ahsan, M.; Faglia, G. Gas sensing characteristics of Fe-doped tungsten oxide thin films. Sens. Actuators B 2012, 168, 345–353. [Google Scholar] [CrossRef]
- Liu, B.; Cai, D.; Liu, Y.; Li, H.; Weng, C.; Zeng, G.; Li, Q.; Wang, T. High-performance room-temperature hydrogen sensors based on combined effects of Pd decoration and Schottky barriers. Nanoscale 2013, 5, 2505–2510. [Google Scholar] [CrossRef]
- Upadhyaya, S.B.; Mishra, R.K.; Sahay, P.P. Enhanced acetone response in co-precipitated WO3 nanostructures upon indium doping. Sens. Actuators 2015, 209, 368–376. [Google Scholar] [CrossRef]
- Renitta, A.; Vijayalakshmi, K. A novel room temperature ethanol sensor based on catalytic Fe activated porous WO3 microspheres. Catal. Commun. 2016, 73, 58–62. [Google Scholar] [CrossRef]
- Sun, J.; Guo, J.; Ye, J.; Song, B.; Zhang, K.; Bai, S.; Luo, R.; Li, D.; Chen, A. Synthesis of Sb doping hierarchical WO3 microspheres and mechanism of enhancing sensing properties to NO2. J. Alloys Compd. 2017, 692, 876–884. [Google Scholar] [CrossRef]
- Shen, J.Y.; Wang, M.D.; Wang, Y.F.; Hu, J.Y.; Zhu, Y.; Zhang, Y.X.; Li, Z.J.; Yao, H.C. Iron and carbon codoped WO3 with hierarchical walnut-like microstructure for highly sensitive and selective acetone sensor. Sens. Actuators B Chem. 2018, 256, 27–37. [Google Scholar] [CrossRef]
- Yin, M.; Yu, L.; Liu, S. Synthesis of Ag quantum dots sensitized WO3 nanosheets and their enhanced acetone sensing properties. Mater. Lett. 2017, 186, 66–69. [Google Scholar] [CrossRef]
- Miu, D.; Birjega, R.; Viespe, C. Surface Acoustic Wave Hydrogen Sensors Based on Nanostructured Pd/WO3 Bilayers. Sensors 2018, 18, 3636. [Google Scholar] [CrossRef] [PubMed]
- Wu, Q.; Huang, J.; Li, H. Deposition of porous nano-WO3 coatings with tunable grain shapes by liquid plasma spraying for gas-sensing applications. Mater. Lett. 2015, 141, 100–103. [Google Scholar] [CrossRef]
- Yanga, X.; Sallesa, V.; Kanetib, Y.V.; Liuc, M.; Maillarda, M.; Journeta, C.; Jiangc, X.; Brioude, A. Fabrication of highly sensitive gas sensor based on Au functionalized WO3 composite nanofibers by electrospinning. Sens. Actuators 2015, 220, 1112–1119. [Google Scholar] [CrossRef]
- Stoycheva, T.; Annanouch, F.E.; Gràcia, I.; Llobet, E.; Blackman, C.; Correig, X.; Vallejos, S. Micromachined gas sensors based on tungsten oxide nanoneedles directly integrated via aerosol assisted CVD. Sens. Actuators B 2014, 198, 210–218. [Google Scholar] [CrossRef]
- Chi, X.; Liu, C.; Liu, L.; Li, Y.; Wang, Z.; Bo, X.; Liu, L.; Su, C. Tungsten trioxide nanotubes with high sensitive and selective properties to acetone. Sens. Actuators 2014, 194, 33–37. [Google Scholar] [CrossRef]
- Upadhyay, S.B.; Mishra, R.K.; Sahay, P.P. Cr-dopedWO3 nanosheets: Structural, optical and formaldehyde sensing properties. Ceram. Int. 2016, 42, 15301–15310. [Google Scholar] [CrossRef]
- Zhang, L.; Tang, X.; Lu, Z.; Wang, Z.; Li, L.; Xia, Y. Facile synthesis and photocatalytic activity of hierarchical WO3 core–shell microspheres. Appl. Surf. Sci. 2011, 258, 1719–1724. [Google Scholar] [CrossRef]
- Righettoni, M.; Tricoli, A.; Gass, S.; Schmid, A.; Amann, A.; Pratsinis, S.E. Breath acetone monitoring by portable Si: WO3 gas sensors. Anal. Chim. Acta. 2012, 738, 69–75. [Google Scholar] [CrossRef] [PubMed]
- Salthammer, T.; Mentese, S.; Marutzky, R. Formaldehyde in the indoor environment. Chem. Rev. 2010, 110, 2536–2572. [Google Scholar] [CrossRef]
- Chung, P.; Tzenmg, C.; Ke, M.; Lee, C. Formaldehyde gas sensor: A review. Sensors 2013, 13, 4468–4484. [Google Scholar] [CrossRef] [PubMed]
- Salthammer, T. Formaldehyde in the ambient atmosphere: From indoor pollutant to an outdoor pollutant. Angew. Chem. Int. 2013, 52, 3320–3327. [Google Scholar] [CrossRef] [PubMed]
- Chang, C.T.; Lin, K.L. Assessment of the strategies for reducing VOCs emission from polyarea-formaldehyde resin synthetic fiber leather industry in Taiwan. Resour. Conserv. Recycl. 2006, 46, 321–334. [Google Scholar] [CrossRef]
- Leonardi, S.G.; Mirzaei, A.; Bonavita, A.; Santangelo, S.; Frontera, P.; Pantò, F.; Antonucci, P.L.; Neri, G. A comparison of the ethanol sensing properties of iron oxide nanostructures prepared via the sol–gel and electrospinning techniques. Nanotechnology 2016, 27, 075502. [Google Scholar] [CrossRef]
- Mirzaei, A.; Park, S.; Sun, G.J.; Kheel, H.; Lee, C.; Lee, S. Fe2O3/Co3O4 composite nanoparticle ethanol sensor. J. Korean Phys. Soc. 2016, 69, 373–380. [Google Scholar] [CrossRef]
- Jelle, B.P.; Georg, H. Performance of an electrochromic window based on polyaniline, prussian blue and tungsten oxide. Sol. Energy Mater. Sol. 1999, 58, 277–286. [Google Scholar] [CrossRef]
- Choi, S.; Bonyani, M.; Sun, G.J.; Lee, J.K.; Hyun, S.K.; Lee, C. Cr2O3 nanoparticle-functionalized WO3 nanorods for ethanol gas sensors. Appl. Surf. Sci. 2018, 432, 241–249. [Google Scholar] [CrossRef]
- Huang, S.; Wang, T.; Xiao, Q. Effect of the Fe doping on the structures and gas sensing properties of ZnO porous microspheres. J. Phys. Chem. Solids 2015, 76, 51–58. [Google Scholar] [CrossRef]
- Szilagyi, I.M.; Madarasz, J.; Pokol, G.; Kiraly, P.; Tarkanyi, G.; Saukko, S.; Mizsei, J.; Toth, A.L.; Szabo, A.; Varga-Josepovit, K. Stability and Controlled Composition of Hexagonal WO3. Chem. Mater. 2008, 20, 4116–4125. [Google Scholar] [CrossRef]
- Ahsan, M.; Tesfamichael, T.; Ionescu, M.; Bell, J.; Motta, N. Low temperature CO sensitive nanostructured WO3 thin films doped with Fe. Sens. Actuators B Chem. Sens. Actuators 2012, 162, 14–21. [Google Scholar] [CrossRef]
- Datta, N.; Ramgir, N.; Kaur, M.; Roy, M.; Bhatt, R.; Kailasaganapathi, S.; Debnath, A.K.; Aswal, D.K.; Gupta, S.K. Vacuum deposited WO3 thin films based sub-ppm H2S sensor. Mater. Chem. Phys. 2012, 134, 851–857. [Google Scholar] [CrossRef]
- Manciu, F.S.; Enriquez, J.L.; Durrer, W.G.; Yun, Y.; Chintalapalle, V.R.; Gullapalli, S.K. Spectroscopic analysis of tungsten oxide thin films. J. Mater. Res. 2010, 25, 2401–2406. [Google Scholar] [CrossRef]







| Sample | Temperature Grown Film | Temperature Annealed Film | XRD Structure/Plane Positions |
|---|---|---|---|
| S1 (Fe-doped WO3) | 600 °C | - | γ-monoclinic 2θ = 23.54° (002) |
| - | 700 °C | γ-monoclinic 2θ = 23.54° (002), 2θ = 24.28° (200) | |
| - | 720 °C | γ-monoclinic 2θ = 23.54° (002), 2θ = 24.28° (200) hexagonal 2θ = 13.96° (100), 2θ = 28.13° (200) | |
| - | 750 °C | hexagonal phase | |
| S2 (Fe-doped WO3) | 720 °C | - | γ-monoclinic 2θ = 23.54° (002), 2θ = 24.28° (200) hexagonal 2θ = 13.96° (100), 2θ = 28.13° (200) |
| - | 750 °C | hexagonal 2θ = 13.96° (100), 2θ = 28.13° (200) | |
| WO3 film | 600 °C | - | γ-monoclinic 2θ = 23.13° (002), 2θ = 23.6° (020), 2θ = 24.42° (200) |
| Element | O | W |
|---|---|---|
| Weight % | 3.73 | 96.27 |
| Atomic % | 30.78 | 69.22 |
| Composition | Element | Spectrum | |||||||||
|---|---|---|---|---|---|---|---|---|---|---|---|
| 1 | 2 | 3 | 4 | 5 | 6 | 7 | 8 | 9 | 10 | ||
| Weight % | O | 10.12 | 3.61 | 7.32 | 3.03 | 13.82 | 6.39 | 3.94 | 3.33 | 2.65 | 3.11 |
| Fe | 0.39 | 0.47 | - | - | - | 0.75 | - | - | - | 0.79 | |
| W | 89.49 | 95.92 | 92.68 | 96.97 | 86.18 | 92.86 | 96.06 | 96.67 | 97.33 | 96.1 | |
| Atomic % | O | 56.15 | 29.85 | 47.59 | 26.44 | 64.83 | 43.51 | 32.02 | 28.35 | 23.86 | 26.58 |
| Fe | 0.62 | 1.11 | - | - | - | 1.46 | - | - | - | 1.93 | |
| W | 43.23 | 69.04 | 52.41 | 73.56 | 35.17 | 1.46 | 67.98 | 71.65 | 76.14 | 71.49 | |
| EDX Mapping on a Large Nanoband | EDX Mapping on a Nanoband and a Slice of Film Surface | ||||
|---|---|---|---|---|---|
| Element | O | W | O | W | Fe |
| Weight % | 12.15 | 87.85 | 7.94 | 91.87 | 0.19 |
| Atomic % | 61.38 | 38.62 | 46.67 | 50 | 0.33 |
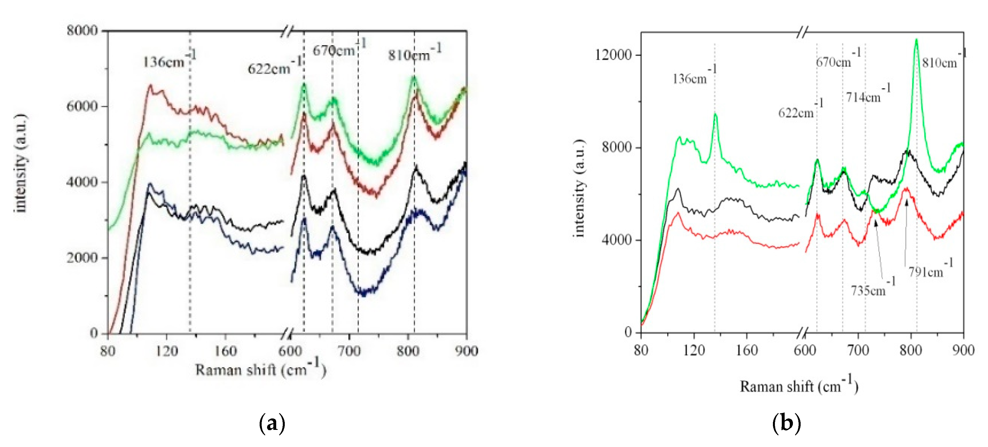
| Samples | Raman Peaks Position (cm−1) | |||
|---|---|---|---|---|
| Stretching Mode | Lattice Mode | |||
| Undoped Film | WO3 film grown at 60 °C | 810 | - | - |
| S1 | Film grown at 600 °C | 810 | - | - |
| S1 | Film annealed at 700 °C | 810 | - | - |
| S1 | Film annealed at 720 °C | 810 | - | - |
| S1 | Film annealed at 750 °C | 791 | 735 | - |
| S2 | Film grown at 720 °C | 810 | 714 | 136 |
| S2 | Film annealed at 750 °C | 810 | 714 | - |
| Shift | - | 21 cm−1 | 21 cm−1 | - |
| Sample | Eg(eV) | Fe at.% According EDX | Surface Morphology | |
|---|---|---|---|---|
| S1 | Fe-doped WO3 annealed to 720 °C | 2.52 | 0.35 | Nanostructured film |
| S2 | Fe-doped WO3 grown at 720 °C | 2.32 | 0.35 | Nanowires and nanobands |
| Undoped Film | WO3 grown at 600 °C | 3.30 | - | Nanostructured film |
© 2020 by the authors. Licensee MDPI, Basel, Switzerland. This article is an open access article distributed under the terms and conditions of the Creative Commons Attribution (CC BY) license (http://creativecommons.org/licenses/by/4.0/).
Share and Cite
Osiac, M.; Cioatera, N.; Jigau, M. Structural, Morphological, and Optical Properties of Iron Doped WO3 Thin Film Prepared by Pulsed Laser Deposition. Coatings 2020, 10, 412. https://doi.org/10.3390/coatings10040412
Osiac M, Cioatera N, Jigau M. Structural, Morphological, and Optical Properties of Iron Doped WO3 Thin Film Prepared by Pulsed Laser Deposition. Coatings. 2020; 10(4):412. https://doi.org/10.3390/coatings10040412
Chicago/Turabian StyleOsiac, Mariana, Nicoleta Cioatera, and Maria Jigau. 2020. "Structural, Morphological, and Optical Properties of Iron Doped WO3 Thin Film Prepared by Pulsed Laser Deposition" Coatings 10, no. 4: 412. https://doi.org/10.3390/coatings10040412
APA StyleOsiac, M., Cioatera, N., & Jigau, M. (2020). Structural, Morphological, and Optical Properties of Iron Doped WO3 Thin Film Prepared by Pulsed Laser Deposition. Coatings, 10(4), 412. https://doi.org/10.3390/coatings10040412
