Thermal Mode Optimization of Combustion Chamber Walls for Power-Plants Using Semitransparent Porous Ceramics
Abstract
1. Introduction
2. Materials and Methods
2.1. Physical Modeling of Combined Radiant Heat Transfer for the Heat-Insulated Combustion Chamber
2.2. Mathematical Simulation of Thermal Radiation and Temperature Fields
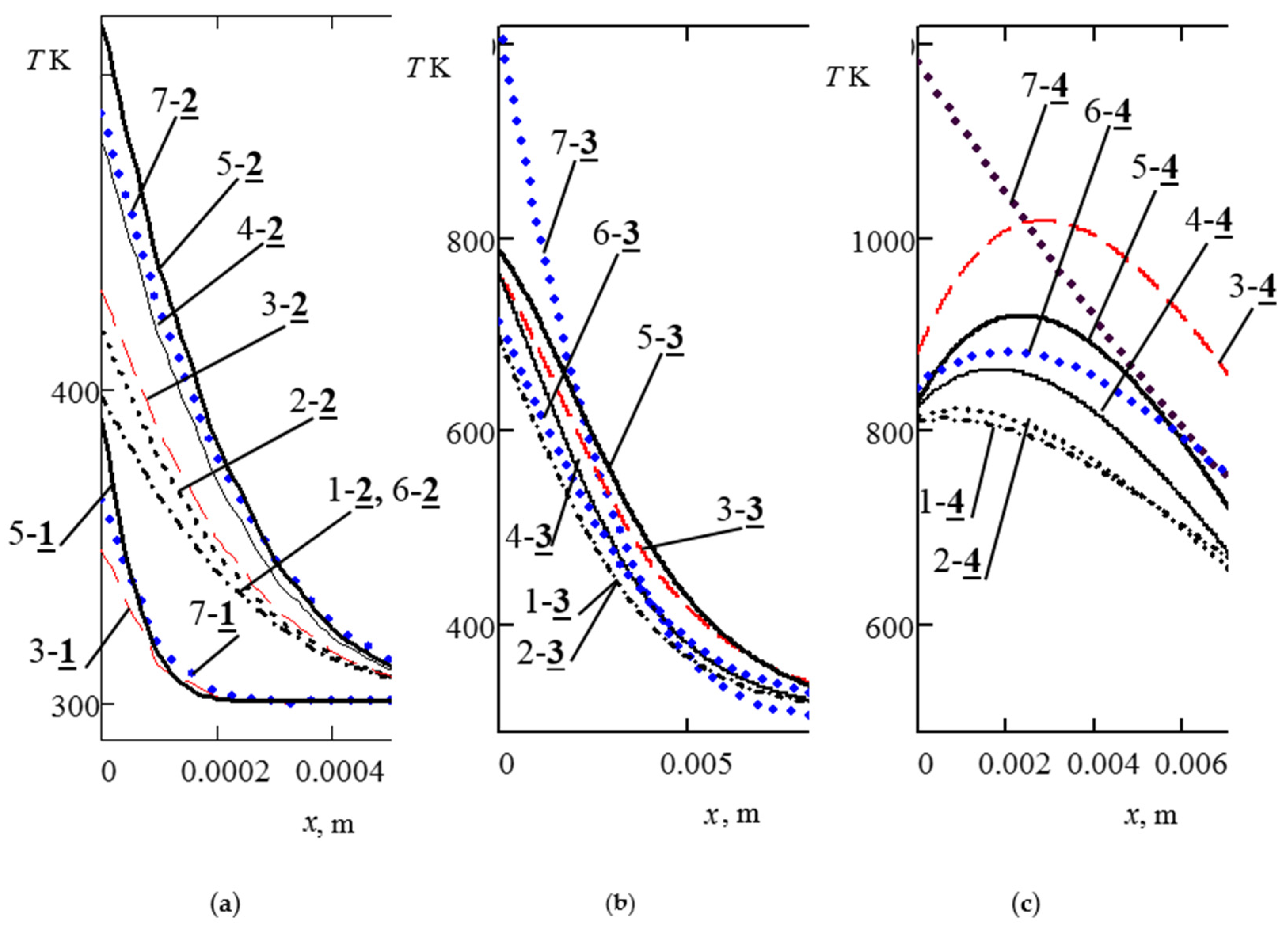
3. Results and Discussion
- -
- during t1 = 0.01 s and t2 = 0.1 s for diesel engine (a), and
- -
- accordingly, for turbine engine CC walls at t3 = 10 s (b) and t4 = 100 s (c)
4. Conclusions
Author Contributions
Funding
Acknowledgments
Conflicts of Interest
Abbreviations
| CC | Combustion Chamber |
| TBM | Thermal Barrier Material |
| TBC | Thermal Barrier Coating |
| Y-PSZ | Yttria-Partially Stabilized Zirconia (ZrO2 +8%Y2O3) |
| NOx | Molecules of Nitrogen Dioxides |
References
- Paul, C.; Fernandez, S.F.; Haworth, D.C.; Modest, M.F. A detailed modeling study of radiative heat transfer in a heavy-duty diesel engine. Combust. Flame 2019, 200, 325–341. [Google Scholar] [CrossRef]
- Woschni, G.; Spindler, W.; Kolesa, K. Heat insulation of combustion chamber walls—A measure to decrease the fuel consumption of IC Engines. SAE Int. Paper 1987, 870339. [Google Scholar] [CrossRef]
- Kavtaradze, R. Chapter 7. Thermal insulation of parts and its effect on the working process of a piston engine. In Lokal’nyy Teploobmen v Porshnevykh Dvigatelyakh [Local Heat Transfer in Piston Engines], 2nd ed.; Bauman MGTU Publ.: Moscow, Russia, 2016; pp. 382–423. [Google Scholar]
- Makino, T.; Kunitomo, T.; Sakai, I.; Kinoshita, H. Thermal radiation properties of ceramic materials. Heat Transf. Jpn. Res. 1984, 13, 33–38. [Google Scholar]
- Siegel, R. Internal radiation effects in zirconia thermal barrier coatings. AIAA J. Thermophys. Heat Trans. 1996, 10, 707–711. [Google Scholar] [CrossRef]
- Wang, J.I.; Eldridge, S.M.; Guo, F. Comparison of different models for the determination of the absorption and scattering coefficients of TBCs. Acta Mater. 2013, 64, 402–409. [Google Scholar] [CrossRef]
- Lim, G.; Kar, A. Modeling of thermal barrier coating temperature due to transmissive radiative heating. J. Mater. Sci. 2009, 44, 3589–3594. [Google Scholar] [CrossRef]
- Petrov, V.A. Thermoradiation characteristics of refractory oxides upon heating by concentrated laser radiation. High Temp. 2016, 54, 186–196. [Google Scholar] [CrossRef]
- Merzlikin, V.; Gutierrez, O.M.; Sidorov, O.; Timonin, V. New selectively absorbing and scattering heat-insulating coatings of the combustion chamber for the Low-Heat-Rejection Diesel. SAE Tech. Paper 2007. 2007-01-1755. [Google Scholar] [CrossRef]
- Merzlikin, V.G.; Parshina, S.A.; Garnova, V.Y.; Bystrov, A.V.; Makarov, A.R.; Khudyakov, S.V. Rig test of diesel combustion chamber with piston coated optically simulated semitransparent PSZ-ceramic. In Proceedings of the13th International Conference on Engines and Vehicle, Naples, Italy, 4 September 2017. Paper 17ICE-0103/2017-24-0129. [Google Scholar]
- Thermal Barrier Coatings. Special Issue of “Coatings” (ISSN 2079-6412). Huibin Xu, Ed. 2018. Available online: https://www.mdpi.com/journal/coatings/special_issues/TBCs (accessed on 15 February 2020).
- Viskanta, R.; Grosh, R.J. Heat Transfer in a thermal radiation, in absorbing and scattering medium. In International Development in Heat Transfer; Part IV; ASME: New York, NY, USA, 1961; pp. 820–828. [Google Scholar]
- Boeringer, J.C.; Spindler, R.J. Radiant Heating of Semitransparent Materials. AAIA J. 1963, 1, 84–88. [Google Scholar] [CrossRef]
- Avduevskiy, V.S. Osnovy Teorii Poleta Kosmicheskikh Apparatov [Fundamentals of the Flight Theory of Space Vehicles]; Mashinostroenie Publ.: Moscow, Russia, 1972; 345p. [Google Scholar]
- Ganji, D.D.; Sabzehmeidani, Y.; Sedighiamiri, A. Chapter 3. Radiation Heat Transfer. In Nonlinear Systems in Heat Transfer. Mathematical Modeling and Analytical Methods, 1st ed.; Elsevier Science Publ.: Amsterdam, The Netherlands, 2018; pp. 105–151. [Google Scholar]
- Caputo, S.; Millo, F.; Cifali, G.; Pesce, F. Numerical investigation on the effects of different thermal insulation strategies for a passenger car diesel engine. Int. J. Engine 2017, 10. [Google Scholar] [CrossRef]
- Uchida, N.; Osada, H. A new piston insulation concept for heavy-duty diesel engines to reduce heat loss from the wall. SAE Int. J. Engines 2017, 10, 2565–2574. [Google Scholar] [CrossRef]
- Das, D.; Majumdar, G.; Sen, R.S.; Ghosh, B.B. Evaluation of combustion and emission characteristics on diesel engine with varying thickness of PSZ coated piston crown. Int. J. Innov. Res. Sci. Eng. Technol. 2013, 2, 4858–4865. [Google Scholar]
- Sankar, V. Thermal Barrier Coatings material selection, method of preparation and applications—A Review. Int. J. Mech. Eng. Rob. Res. 2014, 3, 510–521. [Google Scholar]
- Kutergina, N. Issledovaniye Teplovogo Izlucheniya Produktov Sgoraniya Energeticheskikh Ustanovok Metodom Vychislitel’nogo Eksperimenta [Study of Thermal Radiation of Power Plants’ Combustion Materials Using Numerical Experiment Method]. Ph.D. Thesis, Vyatka State University of Russia, Kirov, Russia, 2011. [Google Scholar]
- Merzlikin, V.; Bystrov, A.; Smirnov, S.V. Detection technique of the optical and thermoradiative characteristics with compensation effect of reflection and transmittance indicatrices for the semitransparent materials with high subsurface scattering. Proc. IOP Conf. Mater. Sci. Eng. 2019, 613, 012049. [Google Scholar] [CrossRef]
- Litovskiy, E.Y.; Puchkelevich, N.A. Teplofizicheskiye Svoystva Ogneuporov [Thermophysical Properties of Refractories]; Metallurgiy Publ.: Moscow, Russia, 1982; 150p. [Google Scholar]
- Rutman, D.S.; Toropov, Y.S.; Pliner, S.Y.; Noumin, A.D.; Polezhaev, Y.M. Chapter 3. Technology of refractories and ceramics made of zirconium dioxide. In Tekhnologiya ogneuporov i keramiki iz dioksida tsirkoniya Vysokoogneupornyye Materialy iz Dioksida Tsirkoniya [Highly Refractory Materials from Zirconium Dioxide]; Metallurgiy Publ.: Moscow, Russia, 1985; pp. 66–90. [Google Scholar]
- Kalatur, E.; Buyakova, S.; Kulikov, S. Porosity and mechanical properties of zirconium ceramics. J. Silic. Based Compos. Mater. 2014, 66, 31–34. [Google Scholar]
- Radzig, A.A. Handbook of Physical Quantities; CRC-Press Publ.: Boca Raton, FL, USA, 1997; 1548p. [Google Scholar]
- Babichev, A.P.; Babushkina, N.A.; Bratkovsky, A.M.; Brodov, M.E.; Bystrov, M.V.; Vinogradov, B.V.; Vinokurova, L.I.; Gelman, E.B.; Geppe, A.P.; Grigoriev, I.S. Fizicheskiye Velichiny. SPRAVOCHNIK [Physical Quantities. Handbook]; Grigoriev, I.S., Meilikhova, E.Z., Eds.; Energoatomizdat Publ.: Moscow, Russia, 1991; p. 1232. [Google Scholar]
- Moskal, G.; Mendala, B. Characterization of microstructure and properties of TBC systems with gradient of chemical composition and porosity. Arch. Metall. Mater. 2008, 53, 945–954. [Google Scholar]
- Merzlikin, V.G.; Ilushin, Y.A.; Olenin, A.L.; Sidorov, O.V.; Tovstonog, V.A. The criterial optics of oceans and glaciers with technogenic pollutions. AIP Conf. Proc. 2017, 1810, 120004. [Google Scholar] [CrossRef]
- Koh, G.; Jordan, R. Sub-surface melting in seasonal snow cover. J. Glaciol. 1995, 41, 474–482. [Google Scholar] [CrossRef]



| ## | I | II | III | IV | V | |
|---|---|---|---|---|---|---|
| 1 | Type of structural ceramics | ZrO2 (Y-PSZ) | Al2O3 | SiO2 | SiC | Si3N4 |
| 2 | Crack Resistance, MPa·m1/2 | 4–13 | 3.2 | - | 3.5 | 5 |
| 3 | Stress Limit, MPa | 425 | 300 | - | 600 | 400 |
| 4 | Linear Expansion, 1/K | 11·10−6 | 8.6·10−6 | 4·10−6 | 4·10−6 | 3.5·10−6 |
| 5 | The porosity of industrial samples, % | <30 | <40 | <14 | <5 | <5 |
| 6 | Operating Temperatures, °C | 1500–2500 | 1000–2000 | 1000–1700 | 1350 | 1400–1750 |
| 7 | Optical reflection model Magnitude of reflection, % | Volumetric <99 | Surface <20–30 | |||
| 8 | Spectral Window, μm | ~0.4–3.4 * | ~0.4–2.5 | ~0.4–2.0 | ~0.4–1.0 | |
| 9 | Thermal conductivity, W/m·K | 1–2.5 | 25 | 9 | 200 | 150 |
| 10 | Source raw material | Zircon | Alumina and silicate sands | Artificial substances | ||
| 11 | Product Price (Powders), $/kg | 40–80 | 20–30 | 5–10 | 2 | 10–50 |
| Type of TBM: Optical Model/Numbers of Curves on Figure 2 and Figure 3 | Porosity | Density | Conductivity | Optical Indexes (Coefficients) | Albedo A, R, % | ||
|---|---|---|---|---|---|---|---|
| Type | Value P, % | ρ, kg/m3 | (a) KT, W/m·K | ||||
| Scattering | Absorption | ||||||
| κ, m−1 | σ, m−1 | ||||||
| Model of Opaque Material | Especially Dense Samples | 0 | 6000 | 1.70 | Model Mop7 for Opaque Material with Surface Reflection Coefficient | ||
| Mop7/#7 | >104 | 0 | 30 | ||||
| Models of Semitransparent Materials | Volumetric Reflection for Models: Mse1, Mse6, Mse1…Mse5 | ||||||
| Mse1/#1 | 14 | 1000 | 79 | ||||
| Mse6/#6 | 28 | 1000 | 72 | ||||
| Mse2/#2 | Compact | 9 | 5500 | 1.25 | 14 | 1500 | 83 |
| Mse3/#3 (*) | Compressed | 18 | 4900 | 1.10 | 14 (b) | 2400 (b) | 86 (b) |
| Mse4/#4 | Middle Porous | 40 | 3700 | 0.70 | 14 | 3000 | 87 |
| Mse5/#5 | Highly Porous | 60 | 2400 | 0.50 | 14 | 3500 | 88 |
© 2020 by the authors. Licensee MDPI, Basel, Switzerland. This article is an open access article distributed under the terms and conditions of the Creative Commons Attribution (CC BY) license (http://creativecommons.org/licenses/by/4.0/).
Share and Cite
Merzlikin, V.G.; Bystrov, A.; Minashkin, V.; Marynenko, V.N.; Zagumennov, F. Thermal Mode Optimization of Combustion Chamber Walls for Power-Plants Using Semitransparent Porous Ceramics. Coatings 2020, 10, 252. https://doi.org/10.3390/coatings10030252
Merzlikin VG, Bystrov A, Minashkin V, Marynenko VN, Zagumennov F. Thermal Mode Optimization of Combustion Chamber Walls for Power-Plants Using Semitransparent Porous Ceramics. Coatings. 2020; 10(3):252. https://doi.org/10.3390/coatings10030252
Chicago/Turabian StyleMerzlikin, Vladimir G., Andrei Bystrov, Vitaly Minashkin, Vladimir N. Marynenko, and Fedor Zagumennov. 2020. "Thermal Mode Optimization of Combustion Chamber Walls for Power-Plants Using Semitransparent Porous Ceramics" Coatings 10, no. 3: 252. https://doi.org/10.3390/coatings10030252
APA StyleMerzlikin, V. G., Bystrov, A., Minashkin, V., Marynenko, V. N., & Zagumennov, F. (2020). Thermal Mode Optimization of Combustion Chamber Walls for Power-Plants Using Semitransparent Porous Ceramics. Coatings, 10(3), 252. https://doi.org/10.3390/coatings10030252
