Corrosion Behavior of the Ti–6Al–4V Alloy in Sulfate-Reducing Bacteria Solution
Abstract
1. Introduction
2. Experimental Methods
2.1. Materials
2.2. Corrosion Experiment with SRB
2.3. Specimen Analysis
3. Results and Discussion
3.1. The Adsorption Behavior of SRB
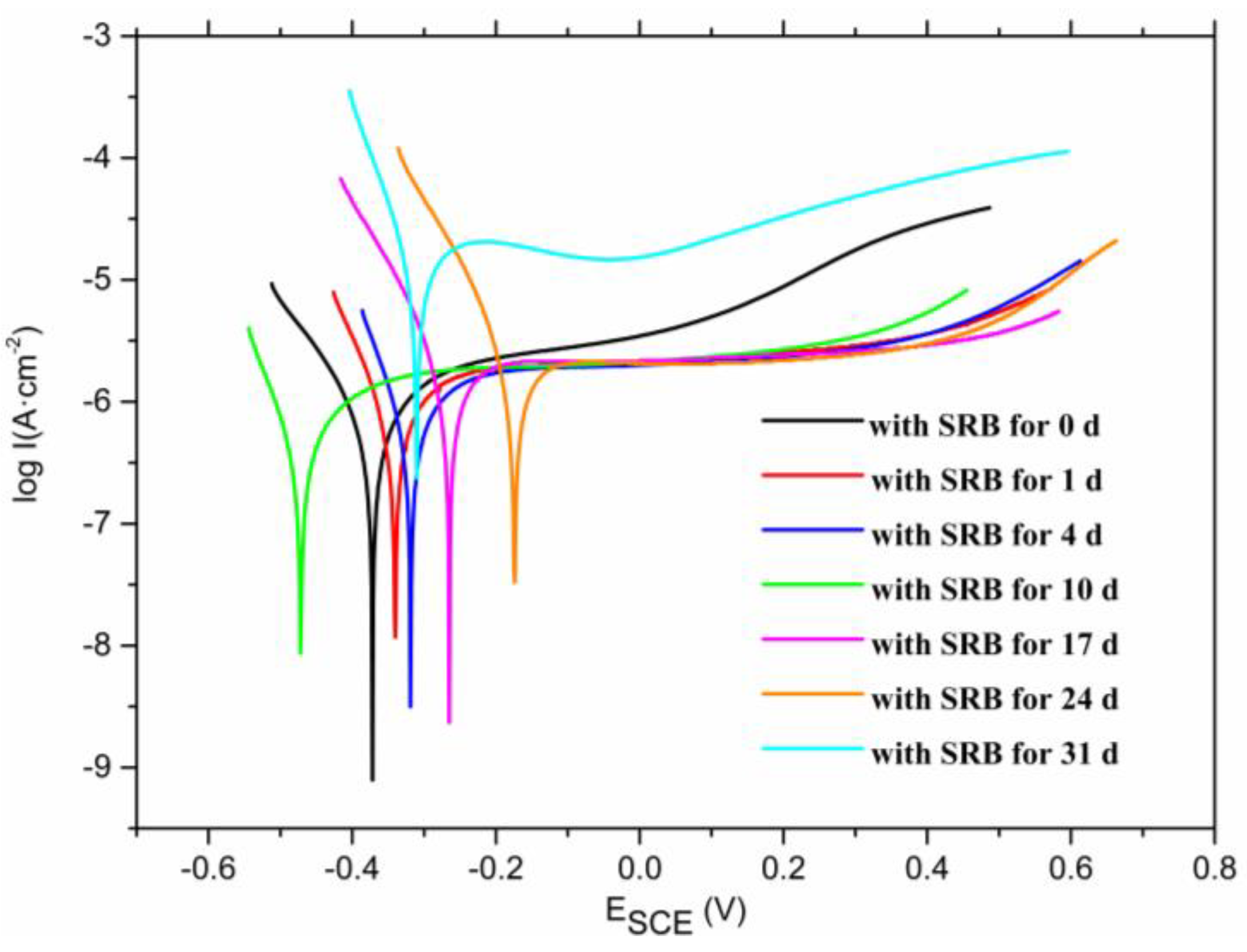
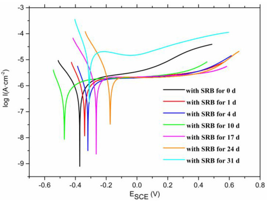
3.2. Electrochemical Measurements
3.3. Surface Analysis
4. Conclusions
- The bacterial adhesion test concludes that SRB will adhere to the surface of the Ti–6Al–4V alloy at a small amount in the initial stage, then colonies will gradually form, and finally, a large amount will adhere to the surface of the Ti–6Al–4V alloy.
- The content of sulfur in the solution increased as the immersion time increased, and a small amount of sulfur has a protective effect on the oxide film on the surface of Ti–6Al–4V. However, as the sulfur element continues to increase, sulfur accelerates the destruction of the oxide film as the immersion time increases.
- SRB metabolites can cause corrosion on Ti–6Al–4V surfaces. The final corrosion product is a small amount of TiS2 and Al(OH)3, and the chemical reaction of aluminum in Ti–6Al–4V is the main cause of Ti–6Al–4V alloy corrosion.
Author Contributions
Funding
Acknowledgments
Conflicts of Interest
References
- Koch, G.H.; Brongers, M.P.H.; Thompson, N.G.; Virmani, Y.P.; Payer, J.H. Chapter 1—Cost of corrosion in the United States. In Handbook of Environmental Degradation of Materials; Kutz, M., Ed.; William Andrew Publishing: Norwich, NY, USA, 2005; pp. 3–24. [Google Scholar]
- Fragata, F.; Salai, R.P.; Amorim, C.; Almeida, E. Compatibility and incompatibility in anticorrosive painting: The particular case of maintenance painting. Prog. Org. Coat. 2006, 56, 257–268. [Google Scholar] [CrossRef]
- Li, Y.C.; Xu, D.K.; Chen, C.F.; Li, X.G.; Jia, R.; Zhang, D.W.; Sand, W.; Wang, F.H.; Gu, T.Y. Anaerobic microbiologically influenced corrosion mechanisms interpreted using bioenergetics and bioelectrochemistry: A review. J. Mater. Sci. Technol. 2018, 34, 1713–1718. [Google Scholar] [CrossRef]
- Rao, T.S.; Sairam, T.N.; Viswanathan, B.; Nair, K.V.K. Carbon steel corrosion by iron oxidising and sulfate reducing bacteria in a freshwater cooling system. Corros. Sci. 2000, 42, 1417–1431. [Google Scholar] [CrossRef]
- Rao, T.S.; Nair, K.V.K. Microbiologically influenced stress corrosion cracking failure of admiralty brass condenser tubes in a nuclear power plant cooled by freshwater. Corros. Sci. 1998, 40, 1821–1836. [Google Scholar] [CrossRef]
- Tatnall, R.E.; Stanton, K.M.; Ebersole, R.C. Test for the presence of sulfate reducing bacteria. Gen. Interest 1988, 27, 71–80. [Google Scholar]
- Iverson, W.P. Research on the mechanisms of anaerobic corrosion. Int. Biodeter. Biodegr. 2001, 47, 63–70. [Google Scholar] [CrossRef]
- Venzlaff, H.; Enning, D.; Srinivasan, J.; Mayrhofer, K.J.J.; Hassel, A.W.; Widdel, F.; Stratmann, M. Accelerated cathodic reaction in microbial corrosion of iron due to direct electron uptake by sulfate-reducing bacteria. Corros. Sci. 2013, 66, 88–96. [Google Scholar] [CrossRef]
- Liu, F.L.; Zhang, J.; Zhang, S.T.; Li, W.H.; Duan, J.Z.; Hou, B.R. Effect of sulfate reducing bacteria on corrosion of Al–Zn–In–Sn sacrificial anodes in marine sediment. Mater. Corros. 2012, 63, 431–437. [Google Scholar] [CrossRef]
- Rao, T.S.; Kora, A.J.; Anupkumar, B.; Narasimhan, S.V.; Feser, R. Pitting corrosion of titanium by a freshwater strain of sulfate reducing bacteria (Desulfovibrio vulgaris). Corros. Sci. 2005, 47, 1071–1084. [Google Scholar] [CrossRef]
- Wu, T.Q.; Yan, M.C.; Yu, L.B.; Zhao, H.T.; Sun, C.; Yin, F.C.; Ke, W. Stress corrosion of pipeline steel under disbonded coating in a SRB-containing environment. Corros. Sci. 2019, 157, 518–530. [Google Scholar] [CrossRef]
- Jia, R.; Wang, D.; Jin, P.; Unsal, T.; Yang, D.Q.; Yang, J.K.; Xu, D.K.; Gu, T.Y. Effects of ferrous ion concentration on microbiologically influenced corrosion of carbon steel by sulfate reducing bacterium Desulfovibrio vulgaris. Corros. Sci. 2019, 153, 127–137. [Google Scholar] [CrossRef]
- Erinosho, M.F.; Akinlabi, E.T.; Pityana, S. Microstructure and corrosion behaviour of laser metal deposited Ti–6Al–4V/Cu composites in 3.5% sea water. Mater. Today Proc. 2015, 2, 1166–1174. [Google Scholar] [CrossRef]
- Gorynin, I.V. Titanium alloys for marine application. Mater. Sci. Eng. A 1999, 263, 112–116. [Google Scholar] [CrossRef]
- Toque, C.; Milodowski, A.E.; Baker, A.C. The corrosion of depleted uranium in terrestrial and marine environments. J. Environ. Radioact. 2014, 128, 97–105. [Google Scholar] [CrossRef]
- Pillay, C.; Lin, J. The impact of additional nitrates in mild steel corrosion in a seawater/sediment system. Corros. Sci. 2014, 80, 416–426. [Google Scholar] [CrossRef]
- Batt, C.; Dodson, J.; Robinson, M. Hydrogen embrittlement of cathodically protected high strength steel in sea water and seabed sediment. Br. Corros. J. 2002, 37, 194–198. [Google Scholar] [CrossRef]
- Yang, X.J.; Du, C.W.; Wan, H.X.; Liu, Z.Y.; Li, X.G. Influence of sulfides on the passivation behavior of titanium alloy TA2 in simulated seawater environments. Appl. Surf. Sci. 2018, 458, 198–209. [Google Scholar] [CrossRef]
- Coyer, J.A.; Cabello-Pasini, A.; Swifi, H.; Alberte, R.S. N2 fixation in marine heterotrophic bacteria: Dynamics of environmental and molecular regulation. Proc. Natl. Acad. Sci. USA 1996, 93, 3575–3580. [Google Scholar] [CrossRef]
- Oguro, A.; Kakeshita, H.; Takamatsu, H.; Nakamura, K.; Yamane, K. The effect of Srb, a homologue of the mammalian SRP receptor α-subunit, on Bacillus subtilis growth and protein translocation. Gene 1996, 172, 7–24. [Google Scholar] [CrossRef]
- Li, D.G.; Wang, J.D.; Chen, D.R.; Liang, P. Influence of passive potential on the electronic property of the passive film formed on Ti in 0.1 M HCl solution during ultrasonic cavitation. Ultrason. Sonochem. 2016, 29, 48–54. [Google Scholar] [CrossRef]
- Nowak, W.B.; Sun, E.X. Electrochemical characteristics of Ti–6Al–4V alloy in 0.2 N NaCl solution: II. Kinetic behaviors and electric field in passive film. Corros. Sci. 2001, 43, 1817–1838. [Google Scholar] [CrossRef]
- Sikora, E.; Macdonald, D.D. Nature of the passive film on nickel. Electrochim. Acta 2002, 48, 69–77. [Google Scholar] [CrossRef]
- Bai, Y.; Gai, X.; Li, S. Improved corrosion behaviour of electron beam melted Ti–6Al–4V alloy in phosphate buffered saline. Corros. Sci. 2017, 123, 289–296. [Google Scholar] [CrossRef]
- Danilov, V.A.; Tade, M.O. An alternative way of estimating anodic and cathodic transfer coefficients from PEMFC polarization curves. Chem. Eng. J. 2010, 156, 496–499. [Google Scholar] [CrossRef]
- Zhang, X.P.; Chen, G. Corrosion protecttion of AZ91D Mg alloy coating with micro-arc oxidation film evaluated by immersion and electrochemical tests. Sur. Rev. Lett. 2005, 12, 279–287. [Google Scholar] [CrossRef]
- Shi, M.L. Principle and Application of AC Impedance Spectroscopy; National Defense Industry Press: Beijing, China, 2000. [Google Scholar]
- Cheng, X.L.; Ma, H.Y.; Chen, S.H.; Chen, X.; Yao, Z.M. Corrosion of nickel in acid solutions with hydrogen sulphide. Corros. Sci. 2000, 42, 299–311. [Google Scholar] [CrossRef]
- Pourbaix, M. A comparative review of electrochemical methods of assessing corrosion and the behaviour in practice of corrodible material. Corros. Sci. 1965, 5, 677–700. [Google Scholar] [CrossRef]
- Cocke, D.L.; Hess, T.R.; Mebrahtu, T.; Mencer, D.E.; Naugle, D.G. The surface reactivity of Ti36Cu64 and Ti36Al64 alloys and the ion chemistry of their oxide overlayers. Solid State Ion. 1990, 43, 119–131. [Google Scholar] [CrossRef]
- Jia, R.; Tan, J.L.; Jin, P.; Blackwood, D.J.; Xu, D.K.; Gu, T.Y. Effects of biogenic H2S on the microbiologically influenced corrosion of C1018 carbon steel by sulfate reducing Desulfovibrio vulgaris biofilm. Corros. Sci. 2018, 130, 1–11. [Google Scholar] [CrossRef]
- Liu, J.H.; Liang, X.; Li, S.M. Study of microbiologically induced corrosion action on Al–6Mg–Zr and Al–6Mg–Zr–Sc. J. Rare Earths 2007, 25, 609–614. [Google Scholar]
- Sherar, B.W.A.; Power, I.M.; Keech, P.G.; Mitlin, S.; Southam, G.; Shoesmith, D.W. Characterizing the effect of carbon steel exposure in sulfide containing solutions to microbially induced corrosion. Corros. Sci. 2011, 53, 955–960. [Google Scholar] [CrossRef]
- Zhang, P.; Xu, D.; Li, Y.; Yang, K.; Gu, T. Electron mediators accelerate the microbiologically influenced corrosion of 304 stainless steel by the Desulfovibrio vulgaris biofilm. Bioelectrochemistry 2015, 101, 14–21. [Google Scholar] [CrossRef] [PubMed]











| Compositions | Al | V | Ti |
|---|---|---|---|
| Detail composition | 5.61 | 3.72 | Balance |
| Nominal composition | 5.5%–6.75% | 3.5%–4.5% | Balance |
| Composition | Mass (g) |
|---|---|
| MgSO4 | 2 |
| Sodium citrate | 5 |
| CaSO4·2H2O | 1 |
| NH4Cl | 1 |
| K2HPO4 | 0.5 |
| Sodium lactate syrup | 3.5 |
| Yeast extract | 1.0 |
| The Samples for Different Immersion Time | Corrosion Potential (V) | Corrosion Current (A) |
|---|---|---|
| with SRB for 0 day | −0.374 | 3.715 × 10−7 |
| with SRB for 1 day | −0.356 | 7.161 × 10−7 |
| with SRB for 4 days | −0.331 | 5.741 × 10−7 |
| with SRB for 10 days | −0.481 | 3.564 × 10−7 |
| with SRB for 17 days | −0.253 | 1.023 × 10−6 |
| with SRB for 24 days | −0.162 | 1.288 × 10−6 |
| with SRB for 31 days | −0.321 | 1.188 × 10−5 |
| Element | Mass% (0 day) | Mass% (15 days) | Mass% (31 days) |
|---|---|---|---|
| Ti | 71.47 | 65.8 | 65.0 |
| C | 8.06 | 2.41 | 3.97 |
| Al | 5.47 | 3.69 | 3.31 |
| V | 3.56 | 2.97 | 2.98 |
| O | – | 13.3 | 23.0 |
| P | – | 0.0329 | 0.0348 |
| S | – | 0.0440 | 0.234 |
| Fe | – | 0.0336 | 1.24 |
© 2019 by the authors. Licensee MDPI, Basel, Switzerland. This article is an open access article distributed under the terms and conditions of the Creative Commons Attribution (CC BY) license (http://creativecommons.org/licenses/by/4.0/).
Share and Cite
Zheng, X.; Zhuang, X.; Lei, Y.; Chu, Z.; Xu, J.; Gao, L.; Sun, X. Corrosion Behavior of the Ti–6Al–4V Alloy in Sulfate-Reducing Bacteria Solution. Coatings 2020, 10, 24. https://doi.org/10.3390/coatings10010024
Zheng X, Zhuang X, Lei Y, Chu Z, Xu J, Gao L, Sun X. Corrosion Behavior of the Ti–6Al–4V Alloy in Sulfate-Reducing Bacteria Solution. Coatings. 2020; 10(1):24. https://doi.org/10.3390/coatings10010024
Chicago/Turabian StyleZheng, Xingwei, Xin Zhuang, Yanhua Lei, Zhenhua Chu, Jingxiang Xu, Li Gao, and Xiaoming Sun. 2020. "Corrosion Behavior of the Ti–6Al–4V Alloy in Sulfate-Reducing Bacteria Solution" Coatings 10, no. 1: 24. https://doi.org/10.3390/coatings10010024
APA StyleZheng, X., Zhuang, X., Lei, Y., Chu, Z., Xu, J., Gao, L., & Sun, X. (2020). Corrosion Behavior of the Ti–6Al–4V Alloy in Sulfate-Reducing Bacteria Solution. Coatings, 10(1), 24. https://doi.org/10.3390/coatings10010024
