Anti-Tubercular Properties of 4-Amino-5-(4-Fluoro-3- Phenoxyphenyl)-4H-1,2,4-Triazole-3-Thiol and Its Schiff Bases: Computational Input and Molecular Dynamics
Abstract
1. Introduction
2. Results and Discussion
2.1. Anti-Tubercular Activity
2.2. Toxicity Studies
2.3. Computational Studies
2.4. The Binding Interactions of TLM and the Most Promising Test Compound 1 (4-Amino-5-(4-Fluoro-3-Phenoxyphenyl)-4H-1,2,4-Triazole-3-Thiol)
3. Materials and Methods
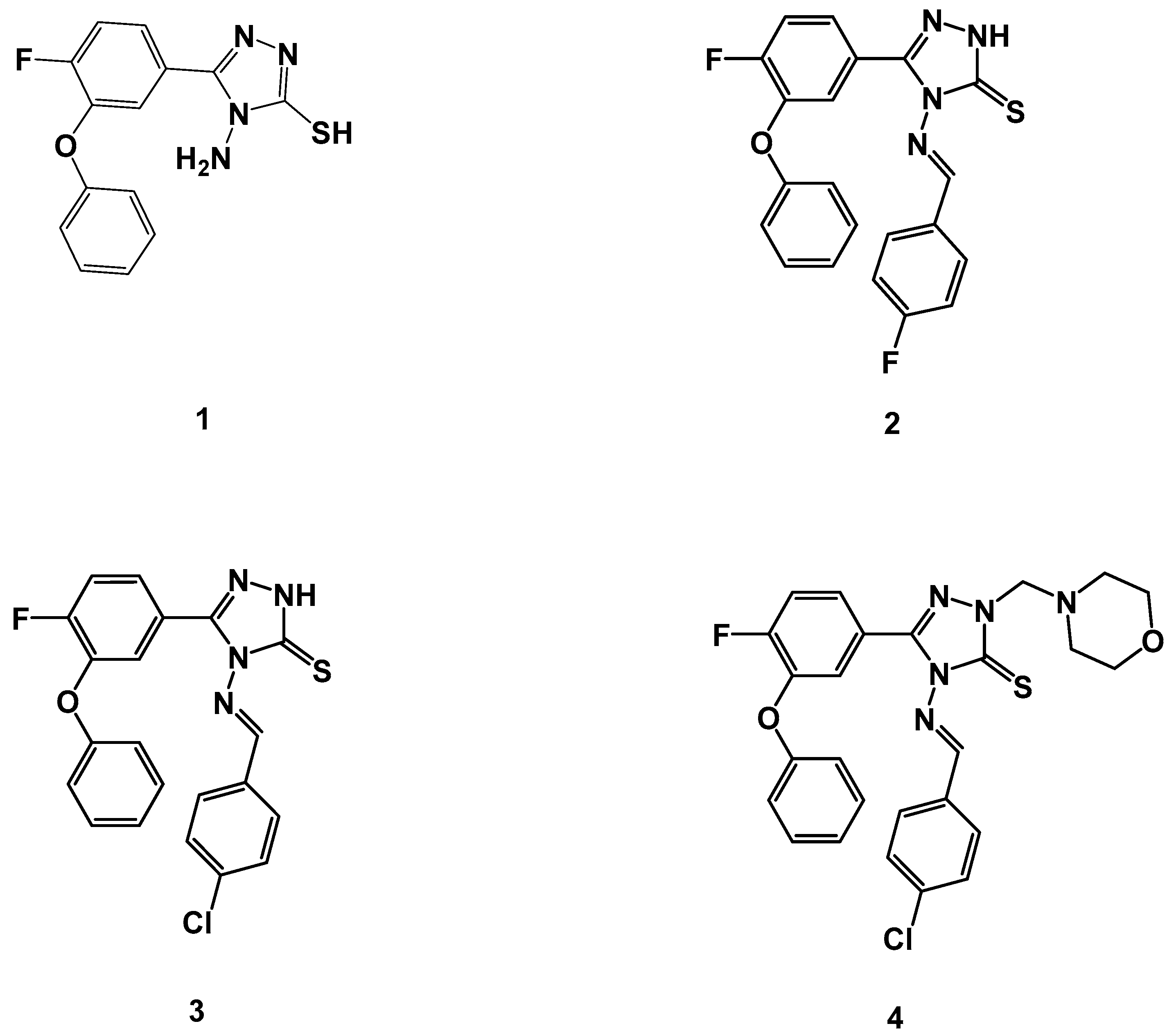
3.1. Chemistry
3.2. Anti-Tubercular Activity
3.2.1. Resazurin Microplate Assay (REMA)
3.2.2. Determination of the Minimum Inhibitory Concentration (MIC)
3.2.3. Safety Studies
3.3. Computational Studies
3.3.1. Dataset Construction
3.3.2. Preparation of Structures, Compound Files, and Molecular Docking
3.3.3. Molecular Dynamic (MD) Simulation
3.3.4. MM(GB/PB)SA Calculation
4. Conclusions
Author Contributions
Funding
Acknowledgments
Conflicts of Interest
References
- World Health Organization. Global Tuberculosis Report 2019 (Executive Summary). Available online: https://www.who.int/tb/publications/global_report/tb19_Exec_Sum_12Nov2019.pdf?ua=1 (accessed on 9 June 2020).
- Marcos, A.E. The global situation of MDR-TB. Tuberculosis 2003, 83, 44–51. [Google Scholar] [CrossRef]
- Caminero, J.A.; Sotgiu, G.; Zumla, A.; Migliori, G.B. Best drug treatment for multidrug-resistant and extensively drug-resistant tuberculosis. Lancet Infect. Dis. 2010, 10, 621–629. [Google Scholar] [CrossRef]
- Hu, Y.; Xu, L.; He, Y.L.; Pang, Y.; Lu, N.; Liu, J.; Shen, J.; Zhu, D.M.; Feng, X.; Wang, Y.W.; et al. Prevalence and molecular characterization of second-line drugs resistance among multidrug-resistant Mycobacterium tuberculosis isolates in Southwest of China. BioMed Res. Int. 2017, 2017, 4563826. [Google Scholar] [CrossRef] [PubMed]
- Parida, S.K.; Axelsson-Robertson, R.; Rao, M.V.; Singh, N.; Master, I.; Lutckii, A.; Keshavjee, S.; Andersson, J.; Zumla, A.; Maeurer, M. Totally drug-resistant tuberculosis and adjunct therapies. J. Intern. Med. 2015, 277, 388–405. [Google Scholar] [CrossRef]
- Cox, E.; Laessig, K. FDA Approval of Bedaquiline—The benefit–risk balance for drug-resistant Tuberculosis. N. Engl. J. Med. 2014, 371, 689–691. [Google Scholar] [CrossRef]
- Barry Iii, C.E. Timing is everything for compassionate use of delamanid. Nat. Med. 2015, 21, 211. [Google Scholar] [CrossRef]
- Keam, S.J. Pretomanid: First Approval. Drugs 2019, 79, 1797–1803. [Google Scholar] [CrossRef]
- U.S. Food and Drug Administration. FDA Approves New Drug for Treatment-Resistant Forms of Tuberculosis that Affects the Lungs; U.S. Food and Drug Administration: Rockville, MD, USA, 2019. Available online: https://www.fda.gov/news-events/press-announcements/fda-approves-new-drug-treatment-resistant-forms-tuberculosis-affects-lungs (accessed on 30 July 2020).
- Reddyrajula, R.; Dalimba, U.; Madan Kumar, S. Molecular hybridization approach for phenothiazine incorporated 1,2,3-triazole hybrids as promising antimicrobial agents: Design, synthesis, molecular docking and in silico ADME studies. Eur. J. Med. Chem. 2019, 168, 263–282. [Google Scholar] [CrossRef]
- Xu, Y.; Dang, R.; Guan, J.; Xu, Z.; Zhao, S.; Hu, Y. Isatin-(thio)semicarbazide/oxime-1H-1,2,3-triazole-coumarin Hybrids: Design, Synthesis, and in vitro Anti-mycobacterial Evaluation. J. Heterocycl. Chem. 2018, 55, 1069–1073. [Google Scholar] [CrossRef]
- Xu, Z.; Zhang, S.; Song, X.; Qiang, M.; Lv, Z. Design, synthesis and in vitro anti-mycobacterial evaluation of gatifloxacin-1H-1,2,3-triazole-isatin hybrids. Bioorg. Med. Chem. Lett. 2017, 27, 3643–3646. [Google Scholar] [CrossRef]
- Huang, G.-C.; Xu, Y.; Xu, Z.; Lv, Z.-S.; Zhang, J.; Guo, H.-Y.; Hu, Y.-Q.; Liu, M.-L.; Guan, J.-G.; Lu, Y. Propylene-1H-1,2,3-triazole-4-methylene-tethered Isatin-coumarin Hybrids: Design, Synthesis, and In Vitro Anti-tubercular Evaluation. J. Heterocycl. Chem. 2018, 55, 830–835. [Google Scholar] [CrossRef]
- Xu, Z.; Qiang, M.; Song, X.-F.; Hu, Y.-Q.; Lv, Z.-S. Azide-alkyne cycloaddition towards 1H-1,2,3-triazole-tethered gatifloxacin and isatin conjugates: Design, synthesis and in vitro anti-mycobacterial evaluation. Eur. J. Med. Chem. 2017, 138, 66–71. [Google Scholar] [CrossRef] [PubMed]
- Singh, A.; Viljoen, A.; Kremer, L.; Kumar, V. Azide-alkyne cycloaddition en route to 4-aminoquinoline-ferrocenylchalcone conjugates: Synthesis and anti-TB evaluation. Future Med. Chem. 2017, 9, 1701–1708. [Google Scholar] [CrossRef] [PubMed]
- Rode, N.D.; Sonawane, A.D.; Joshi, R.A.; Likhite, A.P.; Joshi, R.R.; Nawale, L.; Khedkar, V.M.; Sarkar, D. Synthesis, biological evaluation, and molecular docking studies of novel 3-aryl-5-(alkyl-thio)-1H-1,2,4-triazoles derivatives targeting Mycobacterium tuberculosis. Chem. Biol. Drug Des. 2017, 90, 1206–1214. [Google Scholar] [CrossRef] [PubMed]
- Jin, X.; Xu, Y.; Guan, J.; Yang, X.; Chen, X.; Wu, M.; Feng, L. Design, synthesis and in vitro anti-microbial evaluation of ethylene/ propylene-1H-1,2,3-Triazole-4-methylene-tethered isatin-coumarin hybrids. Curr. Top. Med. Chem. 2017, 17, 3213–3218. [Google Scholar] [CrossRef]
- Dixit, P.P.; Dixit, P.P.; Thore, S.N. Hybrid triazoles: Design and synthesis as potential dual inhibitor of growth and efflux inhibition in tuberculosis. Eur. J. Med. Chem. 2016, 107, 38–47. [Google Scholar] [CrossRef]
- Devi, B.B.; Muthusaravanan, S.; Choon, T.S.; Ashraf, A.M.; Perumal, S. Sequential synthesis of amino-1,4-naphthoquinone-appended triazoles and triazole-chromene hybrids and their antimycobacterial evaluation. Eur. J. Med. Chem. 2014, 85, 737–746. [Google Scholar] [CrossRef]
- Upadhayaya, R.S.; Kulkarni, G.M.; Vasireddy, N.R.; Vandavasi, J.K.; Dixit, S.S.; Sharma, V.; Chattopadhyaya, J. Design, synthesis and biological evaluation of novel triazole, urea and thiourea derivatives of quinoline against Mycobacterium tuberculosis. Bioorg. Med. Chem. 2009, 17, 4681–4692. [Google Scholar] [CrossRef]
- Yempalla, K.R.; Munagala, G.; Singh, S.; Sharma, S.; Khan, I.A.; Vishwakarma, R.A.; Singh, P.P. Substituted 1,2,3-triazol-1-yl-methyl-2,3-dihydro-2-methyl-6-nitroimidazo[2,1-b]oxazoles as Anti-Mycobacterial Agents and a Process for the Preparation Thereof. U.S. Patent 9,822,126, 21 November 2017. WO2016063298A1. [Google Scholar]
- Paeshuyse, J.; Dallmeier, K.; Neyts, J. Ribavirin for the treatment of chronic hepatitis C virus infection: A review of the proposed mechanisms of action. Curr. Opin. Virol. 2011, 1, 590–598. [Google Scholar] [CrossRef]
- Jayashree, B.S.; Sahu, A.R.; Murthy, M.S.; Venugopala, K.N. Synthesis, determination of partition coefficient and antimicrobial activity of triazolo thiadiazinyl bromocoumarin derivatives. Mat. Sci. Res. India 2005, 3, 187–190. [Google Scholar] [CrossRef]
- Jayashree, B.S.; Sahu, A.R.; Srinivasa, M.M.; Venugopala, K.N. Synthesis, characterization and determination of partition coefficient of some triazole derivatives of coumarins for their anti-microbial activity. Asian J. Chem. 2007, 19, 73–78. [Google Scholar]
- Venugopala, K.N.; Khedr, M.A.; Girish, Y.R.; Bhandary, S.; Chopra, D.; Morsy, M.A.; Aldhubiab, B.E.; Deb, P.K.; Attimarad, M.; Nair, A.B. Crystallography, in silico studies, and In vitro antifungal studies of 2, 4, 5 trisubstituted 1, 2, 3-triazole analogues. Antibiotics 2020, 9, 350. [Google Scholar] [CrossRef] [PubMed]
- Bhandary, S.; Girish, Y.R.; Venugopala, K.N.; Chopra, D. Crystal structure analysis of [5-(4-methoxyphenyl)-2-methyl-2H-1, 2, 3-triazol-4-yl](thiophen-2-yl) methanone. Acta Cryst. E 2018, 74, 1178–1181. [Google Scholar] [CrossRef]
- Yan, W.; Wang, X.; Li, K.; Li, T.-X.; Wang, J.-J.; Yao, K.-C.; Cao, L.-L.; Zhao, S.-S.; Ye, Y.-H. Design, synthesis, and antifungal activity of carboxamide derivatives possessing 1,2,3-triazole as potential succinate dehydrogenase inhibitors. Pestic. Biochem. Physiol. 2019, 156, 160–169. [Google Scholar] [CrossRef] [PubMed]
- Singh, G.; Arora, A.; Kalra, P.; Maurya, I.K.; Ruizc, C.E.; Estebanc, M.A.; Sinha, S.; Goyal, K.; Sehgal, R. A strategic approach to the synthesis of ferrocene appended chalcone linked triazole allied organosilatranes: Antibacterial, antifungal, antiparasitic and antioxidant studies. Bioorg. Med. Chem. 2019, 27, 188–195. [Google Scholar] [CrossRef] [PubMed]
- Subhashini, N.J.P.; Praveen Kumar, E.; Gurrapu, N.; Yerragunta, V. Design and synthesis of imidazolo-1, 2,3-triazoles hybrid compounds by microwave-assisted method: Evaluation as an antioxidant and antimicrobial agents and molecular docking studies. J. Mol. Struct. 2019, 1180, 618–628. [Google Scholar] [CrossRef]
- Saadaoui, I.; Krichen, F.; Ben Salah, B.; Ben Mansour, R.; Miled, N.; Bougatef, A.; Kossentini, M. Design, synthesis and biological evaluation of Schiff bases of 4-amino-1,2,4-triazole derivatives as potent angiotensin converting enzyme inhibitors and antioxidant activities. J. Mol. Struct. 2019, 1180, 344–354. [Google Scholar] [CrossRef]
- Shaikh, M.; Zafar, H.; Subzwari, F.; Imad, R.; Choudhary, M.I.; Siddiqui, S.; Naqeeb, U.; Khan, K.M. Antiglycation activity of triazole Schiff’s bases against fructose-mediated glycation: In vitro and in silico study. Med. Chem. 2020, 16, 575–591. [Google Scholar] [CrossRef]
- Romine, J.L.; Martin, S.W.; Gribkoff, V.K.; Boissard, C.G.; Dworetzky, S.I.; Natale, J.; Li, Y.; Gao, Q.; Meanwell, N.A.; Starrett, J.E., Jr. 4,5-diphenyltriazol-3-ones: Openers of large-conductance Ca(2+)-activated potassium (maxi-K) channels. J. Med. Chem. 2002, 45, 2942–2952. [Google Scholar] [CrossRef]
- Radwan, M.A.; El-Zemity, S.R. Synthesis and molluscicidal structure–activity relationships of some novel 1,2,4-triazole N-methyl carbamates. Pest Manag. Sci. 2001, 57, 707–712. [Google Scholar] [CrossRef]
- Mhasalkar, M.Y.; Shah, M.H.; Nikam, S.T.; Anantanarayanan, K.G.; Deliwala, C.V. 4-Alkyl-5-aryl-4H-1,2,4-triazole-3-thiols as hypoglycemic agents. J. Med. Chem. 1970, 13, 672–674. [Google Scholar] [CrossRef] [PubMed]
- Liu, J.; Liu, Q.; Yang, X.; Xu, S.; Zhang, H.; Bai, R.; Yao, H.; Jiang, J.; Shen, M.; Wu, X.; et al. Design, synthesis, and biological evaluation of 1,2,4-triazole bearing 5-substituted biphenyl-2-sulfonamide derivatives as potential antihypertensive candidates. Bioorg. Med. Chem. 2013, 21, 7742–7751. [Google Scholar] [CrossRef] [PubMed]
- Sager, A.A.; Mohamed, S.B.; Erhuma, M.; Gbaj, A.M.; Sager, A.A.; Bensaber, S.M.; Al-Sadawe, I.A.; Mrema, I.A.; Gbaj, A.M.; Abood, Z.S.; et al. Design, synthesis and biological evaluation of some triazole schiff’s base derivatives as potential antitubercular agents. Open Med. Chem. J. 2018, 12, 48–59. [Google Scholar] [CrossRef]
- Alveera, S.; Venugopala, K.N.; Khedr, M.A.; Pillay, M.; Nwaeze, K.U.; Coovadia, Y.; Shode, F.; Odhav, B. Antimycobacterial, docking and molecular dynamic studies of pentacyclic triterpenes from Buddleja saligna leaves. J. Biomol. Struct. Dyn. 2017, 35, 2654–2664. [Google Scholar] [CrossRef]
- Venugopala, K.N.; Albericio, F.; Coovadia, Y.M.; Kruger, H.G.; Maguire, G.E.M.; Pillay, M.; Govender, T. Total synthesis of a depsidomycin analogue by convergent solid-phase peptide synthesis and macrolactonization strategy for antitubercular activity. J. Pept. Sci. 2011, 17, 683–689. [Google Scholar] [CrossRef]
- Salgado-Moran, G.; Ramirez-Tagle, R.; Glossman-Mitnik, D.; Ruiz-Nieto, S.; Kishore-Deb, P.; Bunster, M.; Lobos-Gonzalez, F. Docking studies of binding of ethambutol to the C-Terminal domain of the arabinosyltransferase from Mycobacterium tuberculosis. J. Chem. 2013, 2013, 601270. [Google Scholar] [CrossRef]
- Venugopala, K.N.; Nayak, S.K.; Pillay, M.; Prasanna, R.; Coovadia, Y.M.; Odhav, B. Synthesis and antitubercular activity of 2-(substituted phenyl/benzyl-amino)-6-(4-chlorophenyl)-5-(methoxy carbonyl)-4-methyl-3,6-dihydropyrimidin-1-ium chlorides. Chem. Biol. Drug Des. 2013, 81, 219–227. [Google Scholar] [CrossRef]
- Venugopala, K.N.; Dharma Rao, G.B.; Bhandary, S.; Pillay, M.; Chopra, D.; Aldhubiab, B.E.; Attimarad, M.; Alwassil, O.I.; Harsha, S.; Mlisana, K. Design, synthesis, and characterization of (1-(4-aryl)- 1H-1,2,3-triazol-4-yl)methyl, substituted phenyl-6-methyl-2-oxo-1,2,3,4-tetrahydropyrimidine-5-carboxylates against Mycobacterium tuberculosis. Drug Des. Dev. Ther. 2016, 10, 2681–2690. [Google Scholar] [CrossRef]
- Venugopala, K.N.; Chandrashekharappa, S.; Pillay, M.; Bhandary, S.; Kandeel, M.; Mahomoodally, F.M.; Morsy, M.A.; Chopra, D.; Aldhubiab, B.E.; Attimarad, M.; et al. Synthesis and structural elucidation of novel benzothiazole derivatives as anti-tubercular agents: In-silico screening for possible target identification. Med. Chem. 2019, 15, 311–326. [Google Scholar] [CrossRef]
- Venugopala, K.N.; Chandrashekharappa, S.; Pillay, M.; Abdallah, H.H.; Mahomoodally, F.M.; Bhandary, S.; Chopra, D.; Attimarad, M.; Aldhubiab, B.E.; Nair, A.B.; et al. Computational, crystallographic studies, cytotoxicity and anti-tubercular activity of substituted 7-methoxy-indolizine analogues. PLoS ONE 2019, 14, e0217270. [Google Scholar] [CrossRef]
- Venugopala, K.N.; Tratrat, C.; Pillay, M.; Mahomoodally, F.M.; Bhandary, S.; Chopra, D.; Morsy, M.A.; Haroun, M.; Aldhubiab, B.E.; Attimarad, M.; et al. Anti-tubercular activity of substituted 7-methyl and 7-formylindolizines and in silico study for prospective molecular target identification. Antibiotics 2019, 8, 247. [Google Scholar] [CrossRef] [PubMed]
- Khedr, M.A.; Pillay, M.; Chandrashekharappa, S.; Chopra, D.; Aldhubiab, B.E.; Attimarad, M.; Alwassil, O.I.; Mlisana, K.; Odhav, B.; Venugopala, K.N. Molecular modeling studies and anti-TB activity of trisubstituted indolizine analogues; molecular docking and dynamic inputs. J. Biomol. Struct. Dyn. 2018, 36, 2163–2178. [Google Scholar] [CrossRef] [PubMed]
- Venugopala, K.N.; Tratrat, C.; Pillay, M.; Chandrashekharappa, S.; Al-Attraqchi, O.H.A.; Aldhubiab, B.E.; Attimarad, M.; Alwassil, O.I.; Nair, A.B.; Sreeharsha, N. In silico design and synthesis of tetrahydropyrimidinones and tetrahydropyrimidinethiones as potential thymidylate kinase inhibitors exerting anti-TB activity against Mycobacterium tuberculosis. Drug Des. Dev. Ther. 2020, 14, 1027–1039. [Google Scholar] [CrossRef] [PubMed]
- Venugopala, K.N.; Uppar, V.; Sandeep, C.; Abdallah, H.H.; Pillay, M.; Deb, P.K.; Morsy, M.A.; Aldhubiab, B.E.; Attimarad, M.; Nair, A.B.; et al. Cytotoxicity and antimycobacterial properties of pyrrolo[1,2-a]quinoline derivatives: Molecular target identification and molecular docking studies. Antibiotics 2020, 9, 233. [Google Scholar] [CrossRef]
- Hassan, G.S.; El-Messery, S.M.; Al-Omary, F.A.; Al-Rashood, S.T.; Shabayek, M.I.; Abulfadl, Y.S.; Habib el, S.E.; El-Hallouty, S.M.; Fayad, W.; Mohamed, K.M.; et al. Nonclassical antifolates, part 4. 5-(2-aminothiazol-4-yl)-4-phenyl-4H-1,2,4-triazole-3-thiols as a new class of DHFR inhibitors: Synthesis, biological evaluation and molecular modeling study. Eur. J. Med. Chem. 2013, 66, 135–145. [Google Scholar] [CrossRef]
- Zhang, F.; Wen, Q.; Wang, S.F.; Shahla Karim, B.; Yang, Y.S.; Liu, J.J.; Zhang, W.M.; Zhu, H.L. Design, synthesis and antibacterial activities of 5-(pyrazin-2-yl)-4H-1,2,4-triazole-3-thiol derivatives containing Schiff base formation as FabH inhibitory. Bioorg. Med. Chem. Lett. 2014, 24, 90–95. [Google Scholar] [CrossRef]
- Abrahams, K.A.; Chung, C.-W.; Ghidelli-Disse, S.; Rullas, J.; Rebollo-López, M.J.; Gurcha, S.S.; Cox, J.A.G.; Mendoza, A.; Jiménez-Navarro, E.; Martínez-Martínez, M.S.; et al. Identification of KasA as the cellular target of an anti-tubercular scaffold. Nat. Commun. 2016, 7, 12581. [Google Scholar] [CrossRef]
- Rani, S.; Cherian, D.; Thomas, S.; Praveenraj, R.; Bhanumathy, L.; Manju, S.L. In silico modeling, design, synthesis and screening for antitubercular activity of some novel 1,2,4-triazole derivatives. J. Ind. Chem. Soc. 2015, 92, 879–882. [Google Scholar]
- McLean, K.J.; Carroll, P.; Lewis, D.G.; Dunford, A.J.; Seward, H.E.; Neeli, R.; Cheesman, M.R.; Marsollier, L.; Douglas, P.; Smith, W.E.; et al. Characterization of active site structure in CYP121. A cytochrome P450 essential for viability of Mycobacterium tuberculosis H37Rv. J. Biol. Chem. 2008, 283, 33406–33416. [Google Scholar] [CrossRef]
- Patel, V.M.; Patel, N.B.; Chan-Bacab, M.J.; Rivera, G. Synthesis, biological evaluation and molecular dynamics studies of 1,2,4-triazole clubbed Mannich bases. Comput. Biol. Chem. 2018, 76, 264–274. [Google Scholar] [CrossRef]
- Suresh, A.; Srinivasarao, S.; Agnieszka, N.; Ewa, A.K.; Alvala, M.; Lherbet, C.; Chandra Sekhar, K.V.G. Design and synthesis of 9H-fluorenone based 1,2,3-triazole analogues as Mycobacterium tuberculosis InhA inhibitors. Chem. Biol. Drug Des. 2018, 91, 1078–1086. [Google Scholar] [CrossRef]
- Soni, V.; Suryadevara, P.; Sriram, D.; Consortium, O.; Kumar, S.; Nandicoori, V.K.; Yogeeswari, P. Structure-based design of diverse inhibitors of Mycobacterium tuberculosis N-acetylglucosamine-1-phosphate uridyltransferase: Combined molecular docking, dynamic simulation, and biological activity. J. Mol. Model. 2015, 21, 174. [Google Scholar] [CrossRef]
- Dey, D.; Mohan, T.P.; Vishalakshi, B.; Chopra, D. Computational Study of the Formation of Short Centrosymmetric N–H···S Supramolecular Synthon and Related Weak Interactions in Crystalline 1,2,4-Triazoles. Cryst. Growth Des. 2014, 14, 5881–5896. [Google Scholar] [CrossRef]
- Shukla, R.; Mohan, T.P.; Vishalakshi, B.; Chopra, D. Experimental and theoretical analysis of lp⋯π intermolecular interactions in derivatives of 1,2,4-triazoles. CrystEngComm 2014, 16, 1702–1713. [Google Scholar] [CrossRef]
- Sachdeva, S.; Musayev, F.; Alhamadsheh, M.M.; Neel Scarsdale, J.; Tonie Wright, H.; Reynolds, K.A. Probing reactivity and substrate specificity of both subunits of the dimeric Mycobacterium tuberculosis FabH using alkyl-CoA disulfide inhibitors and acyl-CoA substrates. Bioorg. Chem. 2008, 36, 85–90. [Google Scholar] [CrossRef][Green Version]
- Luckner, S.R.; Machutta, C.A.; Tonge, P.J.; Kisker, C. Crystal structures of Mycobacterium tuberculosis KasA show mode of action within cell wall biosynthesis and its inhibition by thiolactomycin. Structure 2009, 17, 1004–1013. [Google Scholar] [CrossRef]
- Fielding, A.J.; Dornevil, K.; Ma, L.; Davis, I.; Liu, A. Probing Ligand Exchange in the P450 Enzyme CYP121 from Mycobacterium tuberculosis: Dynamic Equilibrium of the Distal Heme Ligand as a Function of pH and Temperature. J. Am. Chem. Soc. 2017, 139, 17484–17499. [Google Scholar] [CrossRef]
- Li, R.; Sirawaraporn, R.; Chitnumsub, P.; Sirawaraporn, W.; Wooden, J.; Athappilly, F.; Turley, S.; Hol, W.G. Three-dimensional structure of M. tuberculosis dihydrofolate reductase reveals opportunities for the design of novel tuberculosis drugs. J. Mol. Biol. 2000, 295, 307–323. [Google Scholar] [CrossRef] [PubMed]
- Encinas, L.; O’Keefe, H.; Neu, M.; Remuinan, M.J.; Patel, A.M.; Guardia, A.; Davie, C.P.; Perez-Macias, N.; Yang, H.; Convery, M.A.; et al. Encoded library technology as a source of hits for the discovery and lead optimization of a potent and selective class of bactericidal direct inhibitors of Mycobacterium tuberculosis InhA. J. Med. Chem. 2014, 57, 1276–1288. [Google Scholar] [CrossRef]
- Zhang, Z.; Bulloch, E.M.; Bunker, R.D.; Baker, E.N.; Squire, C.J. Structure and function of GlmU from Mycobacterium tuberculosis. Acta Crystallogr. D Biol. Crystallogr. 2009, 65, 275–283. [Google Scholar] [CrossRef]
- Schaefer, B.; Kisker, C.; Sotriffer, C.A. Molecular dynamics of Mycobacterium tuberculosis KasA: Implications for inhibitor and substrate binding and consequences for drug design. J. Comput. Aided Mol. Des. 2011, 25, 1053–1069. [Google Scholar] [CrossRef] [PubMed]
- Slayden, R.A.; Lee, R.E.; Armour, J.W.; Cooper, A.M.; Orme, I.M.; Brennan, P.J.; Besra, G.S. Antimycobacterial action of thiolactomycin: An inhibitor of fatty acid and mycolic acid synthesis. Antimicrob. Agents Chemother. 1996, 40, 2813–2819. [Google Scholar] [CrossRef] [PubMed]
- Bommineni, G.R.; Kapilashrami, K.; Cummings, J.E.; Lu, Y.; Knudson, S.E.; Gu, C.; Walker, S.G.; Slayden, R.A.; Tonge, P.J. Thiolactomycin-Based Inhibitors of Bacterial beta-Ketoacyl-ACP Synthases with in Vivo Activity. J. Med. Chem. 2016, 59, 5377–5390. [Google Scholar] [CrossRef]
- Li, D.; Gao, N.; Zhu, N.; Lin, Y.; Li, Y.; Chen, M.; You, X.; Lu, Y.; Wan, K.; Jiang, J.-D. Discovery of the disubstituted oxazole analogues as a novel class anti-tuberculotic agents against MDR-and XDR-MTB. Bioorg. Med. Chem. Lett. 2015, 25, 5178–5181. [Google Scholar] [CrossRef] [PubMed]
- Figueiredo, R.; Moiteiro, C.; Medeiros, M.A.; da Silva, P.A.; Ramos, D.; Spies, F.; Ribeiro, M.; Lourenço, M.C.S.; Junior, I.; Gaspar, M.M. Synthesis and evaluation of rifabutin analogs against Mycobacterium avium and H37Rv, MDR and NRP Mycobacterium tuberculosis. Bioorg. Med. Chem. 2009, 17, 503–511. [Google Scholar] [CrossRef] [PubMed]
- Chen, R.; Zhang, H.; Ma, T.; Xue, H.; Miao, Z.; Chen, L.; Shi, X. Ciprofloxacin-1, 2, 3-triazole-isatin hybrids tethered via amide: Design, synthesis, and in vitro anti-mycobacterial activity evaluation. Bioorg. Med. Chem. Lett. 2019, 29, 2635–2637. [Google Scholar] [CrossRef] [PubMed]
- Martin, A.; Morcillo, N.; Lemus, D.; Montoro, E.; Telles, M.A.; Simboli, N.; Pontino, M.; Porras, T.; Leon, C.; Velasco, M.; et al. Multicenter study of MTT and resazurin assays for testing susceptibility to first-line anti-tuberculosis drugs. Int. J. Tuberc. Lung Dis. 2005, 9, 901–906. [Google Scholar]
- Yoshikuni, O.; Mayumi, T.; Kenichi, S. Inhibitory activity of quinolones against DNA gyrase of Mycobacterium tuberculosis. J. Antimicrob. Chemother. 2001, 47, 447–450. [Google Scholar] [CrossRef]
- Middlebrook, G.; Reggiards, Z.; Tigertt, W.D. Automable radiometric detection of growth of Mycobacterium tuberculosis in selective media. Am. Rev. Respir. Dis. 1977, 115, 1067–1069. [Google Scholar]
- Mossman, T. Rapid colorimetric assay for cellular growth and survival: Application to proliferation and cytotoxicity assays. J. Immunol. Methods 1983, 65, 55–63. [Google Scholar] [CrossRef]
- Zhang, S.; Xu, Z.; Gao, C.; Ren, Q.-C.; Chang, L.; Lv, Z.-S.; Feng, L.-S. Triazole derivatives and their anti-tubercular activity. Eur. J. Med. Chem. 2017, 138, 501–513. [Google Scholar] [CrossRef] [PubMed]
- Deb, P.K.; Al-Attraqchi, O.; Mohammed, N.A.-Q.; Raghuprasad, M.; Tekade, R.K. Chapter-19: Applications of computers in pharmaceutical product formulation. In Dosage form Design Considerations: Advances in Pharmaceutical Product Development and Research Series, Volume II; Tekade, R.K., Ed.; Academic Press (Elsevier): Cambridge, MA, USA, 2018; pp. 665–703. [Google Scholar]
- Krieger, E.; Vriend, G. New ways to boost molecular dynamics simulations. J. Comput. Chem. 2015, 36, 996–1007. [Google Scholar] [CrossRef] [PubMed]
- Miller, B.R.; McGee, T.D.; Swails, J.M.; Homeyer, N.; Gohlke, H.; Roitberg, A.E. MMPBSA.py: An Efficient Program for End-State Free Energy Calculations. J. Chem. Theory Comput. 2012, 8, 3314–3321. [Google Scholar] [CrossRef] [PubMed]







| Compound Code a | MIC (µg/mL) | |
|---|---|---|
| H37Rv | MDR-MTB b | |
| 1 | 5.5 | 11 |
| 2 | 20 | NA |
| 3 | 11 | NA |
| 4 | 20 | NA |
| Compound Code | Mol Formula (Mol Weight) | IUPAC | cLogP |
|---|---|---|---|
| 1 | C14H11FN4OS (302) | 4-Amino-5-(4-fluoro-3-phenoxyphenyl)-4H-1,2,4-triazole-3-thiol | 3.9987 |
| 2 | C21H14F2N4OS (408) | (E)-5-(4-Fluoro-3-phenoxyphenyl)-4-((4-fluorobenzylidene)amino)-2,4-dihydro-3H-1,2,4-triazole-3-thione | 5.2660 |
| 3 | C21H14ClFN4OS (425) | (E)-4-((4-Chlorobenzylidene)amino)-5-(4-fluoro-3-phenoxy phenyl)-2,4-dihydro-3H-1,2,4-triazole-3-thione | 5.8360 |
| 4 | C26H23ClFN5O2S (524) | (E)-4-((4-Chlorobenzylidene)amino)-5-(4-fluoro-3-phenoxyphenyl)-2-(morpholinomethyl)-2,4-dihydro-3H-1,2,4-triazole-3-thione | 6.7721 |
| Molecular Target Name | PDB ID | Test Compound 1 Docking Score | Co-Crystalized Substrate Docking Score | Relative Docking Score | Reference |
|---|---|---|---|---|---|
| β-ketoacyl carrier protein synthase III (FABH) | 2QX1 | −227 | −338 | 0.67 | [58] |
| β-ketoacyl ACP synthase I (KasA) | 2WGE | −644 | −508 | 1.27 | [59] |
| CYP121 | 5WP2 | −413 | −455 | 0.9 | [60] |
| Dihydrofolate reductase | 1DF7 | −411 | −609 | 0.68 | [61] |
| Enoyl-acyl carrier protein reductase | 4COD | −434 | −600 | 0.72 | [62] |
| N-acetylglucosamine-1-phosphate uridyltransferase | 2QKX | −470 | −478 | 0.99 | [63] |
| Compound Codes | Binding Free Energy | Entropy | |
|---|---|---|---|
| MMGBSA | MMPBSA | ||
| Compound 1 | −45.553 (2.15) * | −29.096 (2.95) | −33.613 |
| TLM | −28.042 (1.17) | −21.0636 (1.98) | −31.732 |
© 2020 by the authors. Licensee MDPI, Basel, Switzerland. This article is an open access article distributed under the terms and conditions of the Creative Commons Attribution (CC BY) license (http://creativecommons.org/licenses/by/4.0/).
Share and Cite
Venugopala, K.N.; Kandeel, M.; Pillay, M.; Deb, P.K.; Abdallah, H.H.; Mahomoodally, M.F.; Chopra, D. Anti-Tubercular Properties of 4-Amino-5-(4-Fluoro-3- Phenoxyphenyl)-4H-1,2,4-Triazole-3-Thiol and Its Schiff Bases: Computational Input and Molecular Dynamics. Antibiotics 2020, 9, 559. https://doi.org/10.3390/antibiotics9090559
Venugopala KN, Kandeel M, Pillay M, Deb PK, Abdallah HH, Mahomoodally MF, Chopra D. Anti-Tubercular Properties of 4-Amino-5-(4-Fluoro-3- Phenoxyphenyl)-4H-1,2,4-Triazole-3-Thiol and Its Schiff Bases: Computational Input and Molecular Dynamics. Antibiotics. 2020; 9(9):559. https://doi.org/10.3390/antibiotics9090559
Chicago/Turabian StyleVenugopala, Katharigatta N., Mahmoud Kandeel, Melendhran Pillay, Pran Kishore Deb, Hassan H. Abdallah, Mohamad Fawzi Mahomoodally, and Deepak Chopra. 2020. "Anti-Tubercular Properties of 4-Amino-5-(4-Fluoro-3- Phenoxyphenyl)-4H-1,2,4-Triazole-3-Thiol and Its Schiff Bases: Computational Input and Molecular Dynamics" Antibiotics 9, no. 9: 559. https://doi.org/10.3390/antibiotics9090559
APA StyleVenugopala, K. N., Kandeel, M., Pillay, M., Deb, P. K., Abdallah, H. H., Mahomoodally, M. F., & Chopra, D. (2020). Anti-Tubercular Properties of 4-Amino-5-(4-Fluoro-3- Phenoxyphenyl)-4H-1,2,4-Triazole-3-Thiol and Its Schiff Bases: Computational Input and Molecular Dynamics. Antibiotics, 9(9), 559. https://doi.org/10.3390/antibiotics9090559

