Next Article in Journal
Discontinuation of Glycopeptides in Patients with Culture Negative Severe Sepsis or Septic Shock: A Propensity-Matched Retrospective Cohort Study
Next Article in Special Issue
Editorial for the Special Issue: “Targeting β-Lactamases to Fight Bacterial Resistance to β-Lactam Antibiotics”
Previous Article in Journal
Natural Oregano Essential Oil May Replace Antibiotics in Lamb Diets: Effects on Meat Quality
Previous Article in Special Issue
The Current Burden of Carbapenemases: Review of Significant Properties and Dissemination among Gram-Negative Bacteria
 
 
Due to scheduled maintenance work on our servers, there may be short service disruptions on this website between 11:00 and 12:00 CEST on March 28th.
Font Type:
Arial Georgia Verdana
Font Size:
Aa Aa Aa
Line Spacing:
Column Width:
Background:
Article

Isonitrile-Based Multicomponent Synthesis of β-Amino Boronic Acids as β-Lactamase Inhibitors

by
Emanuele Bassini
1,
Stefano Gazzotti
1,
Filomena Sannio
2,
Leonardo Lo Presti
1,
Jacopo Sgrignani
3,
Jean-Denis Docquier
2,
Giovanni Grazioso
4 and
Alessandra Silvani
1,*
1
Dipartimento di Chimica, Università degli Studi di Milano, Via Golgi 19, 20133 Milan, Italy
2
Dipartimento di Biotecnologie Mediche, Università degli Studi di Siena, Viale Bracci 16, 53100 Siena, Italy
3
Istituto di Ricerca in Biomedicina (IRB), Università della Svizzera Italiana (USI), Via V. Vela 6, CH-6500 Bellinzona, Switzerland
4
Dipartimento di Scienze Farmaceutiche, Università degli Studi di Milano, Via L. Mangiagalli 25, 20133 Milan, Italy
*
Author to whom correspondence should be addressed.
Antibiotics 2020, 9(5), 249; https://doi.org/10.3390/antibiotics9050249
Submission received: 10 April 2020 / Revised: 6 May 2020 / Accepted: 7 May 2020 / Published: 12 May 2020

Abstract

The application of various isonitrile-based multicomponent reactions to protected (2-oxoethyl)boronic acid (as the carbonyl component) is described. The Ugi reaction, both in the four components and in the four centers–three components versions, and the van Leusen reaction, proved effective at providing small libraries of MIDA-protected β-aminoboronic acids. The corresponding free β-aminoboronic acids, quantitatively recovered through basic mild deprotection, were found to be quite stable and were fully characterized, including by 11B-NMR spectroscopy. Single-crystal X-ray diffraction analysis, applied both to a MIDA-protected and a free β-aminoboronic acid derivative, provided evidence for different conformations in the solid-state. Finally, the antimicrobial activities of selected compounds were evaluated by measuring their minimal inhibitory concentration (MIC) values, and the binding mode of the most promising derivative on OXA-23 class D β-lactamase was predicted by a molecular modeling study.

Graphical Abstract

1. Introduction

The recent interest in using boron in medicinal chemistry is due to the reliable fact that boron is a versatile atom, potentially not toxic, and thus able to play an important role in drug design [1].
The presence of an empty p-orbital promotes the easily conversion of the boron center from neutral trigonal planar sp2 to tetrahedral sp3 hybridization, imparting peculiar chemical behaviors to boron-containing compounds. Indeed, and thanks to the empty p-orbital, boronic acids can form tetracoordinate “ate” complexes by interacting with nucleophilic groups, including the side chains of some amino acids such as hydroxyl of serine and threonine. Further, tricoordinate boron can display several types of interaction with active site nucleophiles, leading to various and predictable coordination modes upon biological targets [2].
In the last few years, examples of new bioactive compounds containing boron have been widely reported, mainly in the anti-infective [3] and anticancer fields [4]. Some of them have been developed as drugs and recently received FDA approval, such as bortezomib, for the treatment of multiple myeloma, and vaborbactam, a potent inhibitor of β-lactamase (BL) enzymes, approved for use in combination with meropenem.
Thanks to their ability to form a tetrahedral adduct with the catalytic serine, boronic acid-containing compounds have been widely used in the design of β-lactamase transition state inhibitors [5,6]. Unlike commercially available β-lactam-based BL inhibitors (e.g., clavulanate, sulbactam, and tazobactam), which are effective primarily against class A BL, boronic acid-containing compounds have been demonstrated to strongly inhibit other classes of BLs, such as the clinically-relevant class B metallo-carbapenemases, class C enzymes, and OXA-type (class D) carbapenemases [7].
Since the rapid rise of antimicrobial resistance is currently one of the greatest medical challenges, the development of novel BL inhibitors is of utmost importance, particularly for the treatment of challenging infections caused by β-lactamase-producing Gram-negative species, which are more and more commonly resistant to carbapenems and exhibiting a multi-drug or even pan-drug resistance phenotype.
Looking at their chemical structures, most relevant boron-containing drugs, including bortezomib and vaborbactam, are characterized by the presence of a α-aminoboronic acid moiety. Such fragments mimic the naturally occurring amino acids and can act as their bioisosteres, acquiring huge potential as a privileged motif in peptidomimetic chemistry. A variety of valuable protocols have been established for the synthesis of α-aminoboronic acid derivatives [8], and for exploiting various boron-protecting groups aimed at controlling the high reactivity of the C-B bond and preventing its linkage [9].
Taking into account the pronounced tendency towards degradation of α-aminoboronic acids and aiming to expand the chemical diversity of aminoboronic acids-based compounds, Professor Yudin and coworkers recently explored the reactivity of boron-containing compounds, making use of the versatile N-methyliminodiacetyl(MIDA) boron-protecting group [10,11]. In particular, they provided access to novel boron and nitrogen-containing building blocks, developing the new class of β-aminoboronic acid derivatives, characterized by the presence of an additional C-atom between the boronic acid and amino moieties. Activity-based protein profiling of such homologues demonstrated their suitability as chemical probes of human enzymes, paving the way for their possible development as drugs [12,13].
Synthetic methods for preparation of both α and β-aminoboronic acids have been reviewed quite recently [14]. Said review attested to the rapid development in the field, with most of the protocols having been reported in the literature over the last decade. Even if major advances regarding the synthetic accessibility of such derivatives have been made, most of the reported strategies still rely on multi-step sequences, though there is a single example of a multicomponent strategy [15]. Owing to their ability to construct highly functionalized molecular scaffolds from simple precursors in a single step, multicomponent reactions (MCRs) can be considered excellent tools for diversity-oriented synthesis applications in the drug discovery field [16].
As part of our ongoing interest in isonitrile-based MCR applied to drug discovery projects [17,18,19,20,21,22,23], we herein report on the application of the Ugi reaction, both in the four components (4CR) and in the four centers-three components (4C–3CR) versions, for the rapid construction of two small libraries of β-aminoboronic acids. We also demonstrate the suitability of the isonitrile-based van Leusen reaction for the preparation of a MIDA-protected methylboronic acid, bearing a substituted imidazole ring (Scheme 1).
By means of simple and rapid protocols, 20 compounds have been prepared, showing a wide degree of appendage diversity, finely modulated with regard to stereoelectronic properties. A selection of such compounds was also tested for the ability to potentiate the activity of β-lactam antibiotics (a series of isolates produced various BL enzymes) to get early insights into and preliminarily information on their potential biological activities. Finally, the putative binding mode of the most promising compound on OXA-23 class D β-lactamase was predicted by a molecular modeling approach.

2. Results and Discussion

2.1. Synthesis

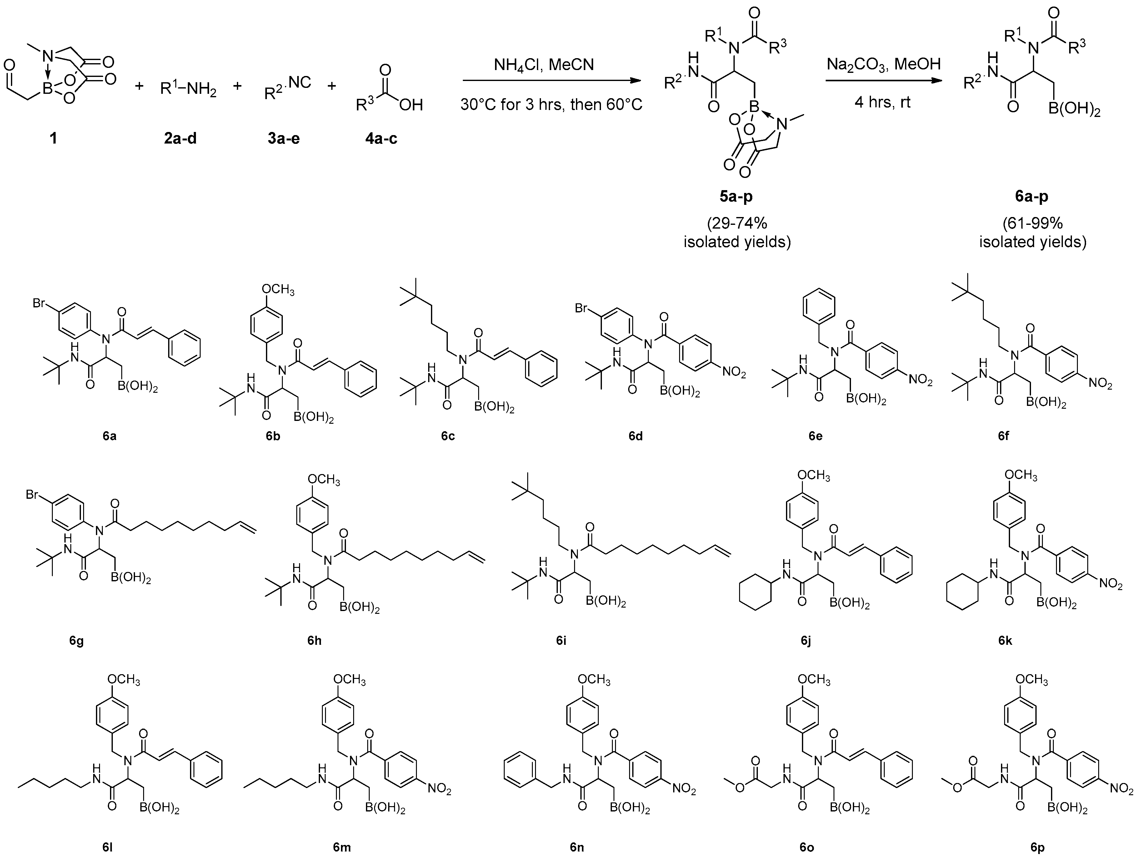
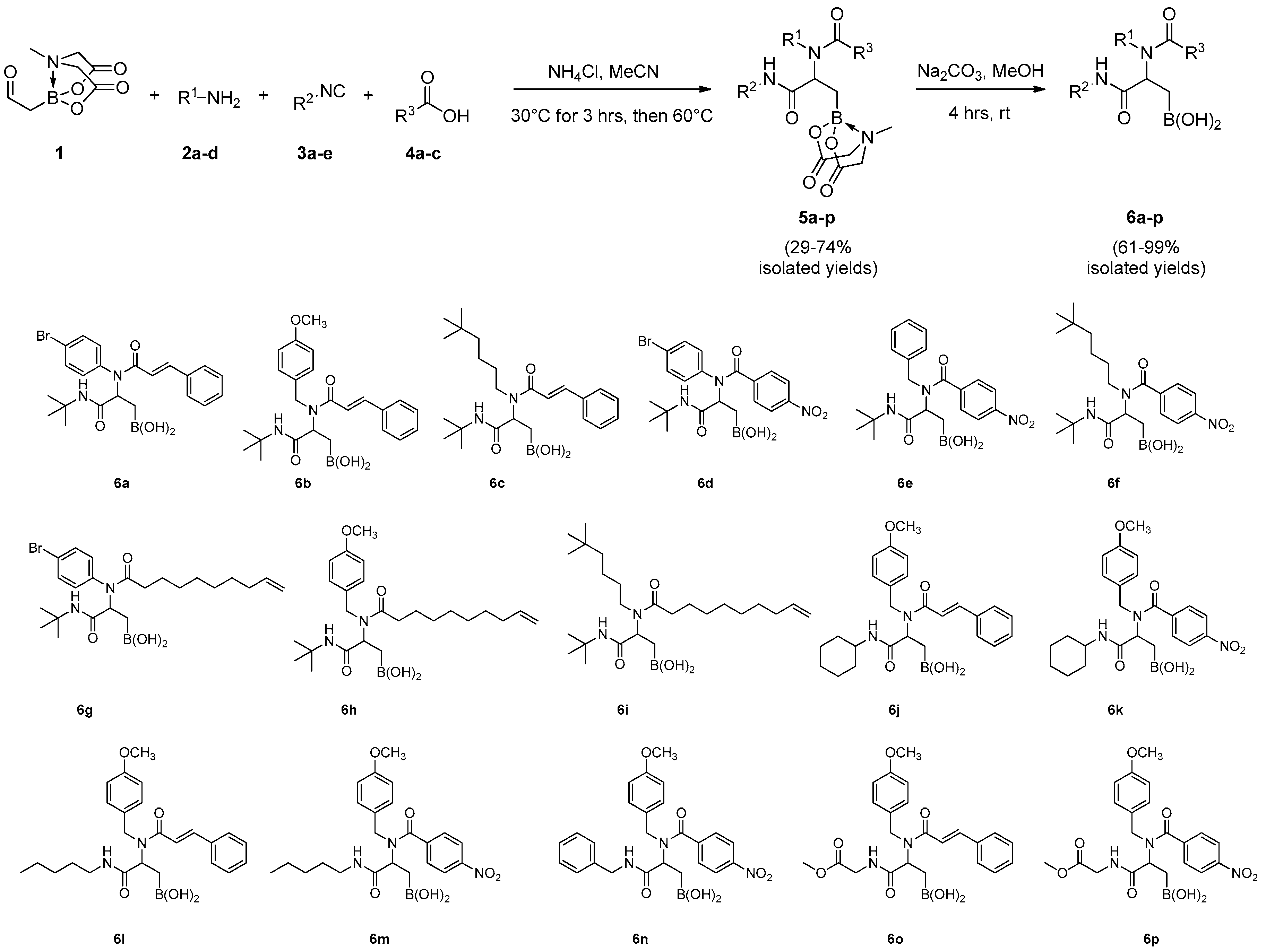
We based our investigation on MIDA-protected α-boryl aldehyde 1, employing p-Br-aniline 2a, t-butyl isocyanide 3a and trans-cinnamic acid 4a for the initial screening of the Ugi-4CR conditions. Even though MCRs run best in methanol and trifluoroethanol, we looked at aprotic solvents, such as acetonitrile, dioxane, and toluene, in order to preserve the MIDA-protecting group. Acetonitrile proved to be the best choice, affording product 5a in 46% yield, when the reaction was conducted at 60 °C, for 24 h. A curcumin-based TLC colorimetric method has been successfully employed for the qualitative detection of boron-containing derivatives, during the progress of the reaction [24]. A definite increase of the yield (69%) could be obtained by adding the isocyanide in portions over three h while keeping the reaction at room temperature, and then heating at 60 °C for the remaining time. In this way, the competitive Passerini reaction was completely discouraged. Finally, the addition of the weak Broensted acid ammonium chloride proved to be beneficial, likely through promotion of imine formation and activation to nucleophilic attack from isocyanide [25]. The optimized conditions which facilitated achieving a 74% satisfactory yield for 5a are reported in Scheme 2. Under such conditions, sixteen MIDA-protected β-aminoboronic acid derivatives (5ap) have been easily obtained, changing the amine (2ad), isocyanide (3ae), and carboxylic acid (4ac) components.
Linear and branched alkyl isocyanides, and benzyl isocyanide and isocyano acetate, were successfully employed. Besides p-Br-aniline and trans-cinnamic acid, benzyl amines, lipophilic alkyl amines, benzoic acids, and long chain aliphatic acids proved to be suitable, respectively, as amine and carboxylic acid components, affording the desired MIDA-protected compounds 5ap in moderate, but satisfactory yields. In addition to HR-MS, 1H and 13C-NMR characterizations for all compounds, the reference compound 5a was subjected to 11B-NMR and single-crystal X-ray diffraction.
As shown in Figure 1, in the solid-state, compound 5a lacks strong hydrogen bond donors, apart from the amide NH that is involved in an intramolecular contact with the tertiary amide carbonyl. Accordingly, the molecule assumes an extended conformation, with cumbersome phenyl rings mutually orthogonal to each other and the two five-membered rings almost perfectly flat.
In order to provide unprotected boronic acids for biological evaluation, reference compound 5a was subjected to 3M HCl in acetonitrile, for removal of MIDA according to literature procedure. The corresponding β-aminoboronic acid 6a could be isolated in a good yield after reverse-phase chromatographic purification, which allowed removing a small quantity of tertiary amide hydrolysis byproduct. Aiming at a cleaner protocol, also suitable for acid-labile compounds, an alternative, basic MIDA-deprotection was applied, treating compound 5a with excess of sodium carbonate in dry methanol, at room temperature for four h. Compound 6a was recovered quantitatively, without the need for purification. Said protocol was extended to all MIDA-protected compounds and afforded the desired β-aminoboronic acids 6 in excellent yields, also in the presence of susceptible methyl acetate groups (compounds 6op).
The free boronic acids 6ap proved to be quite stable towards the common protodeborylation reaction [27] and were fully characterized by means of HR-MS, 1H, 13C, and 11B-NMR. A single-crystal X-ray diffraction analysis was performed on 6d, as reported in Figure 2. Unlike 5a, the free β-aminoboronic acid 6d contains strong hydrogen bond donors B-OH, which are all involved in extended ribbons networks in the solid state.
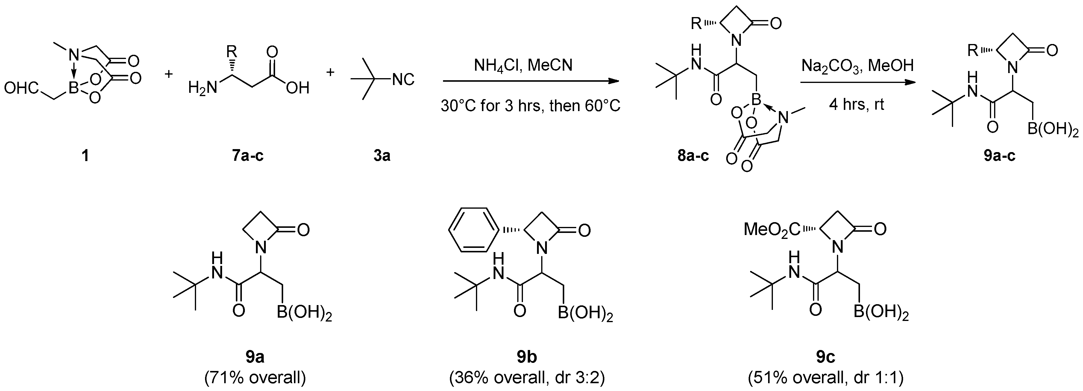
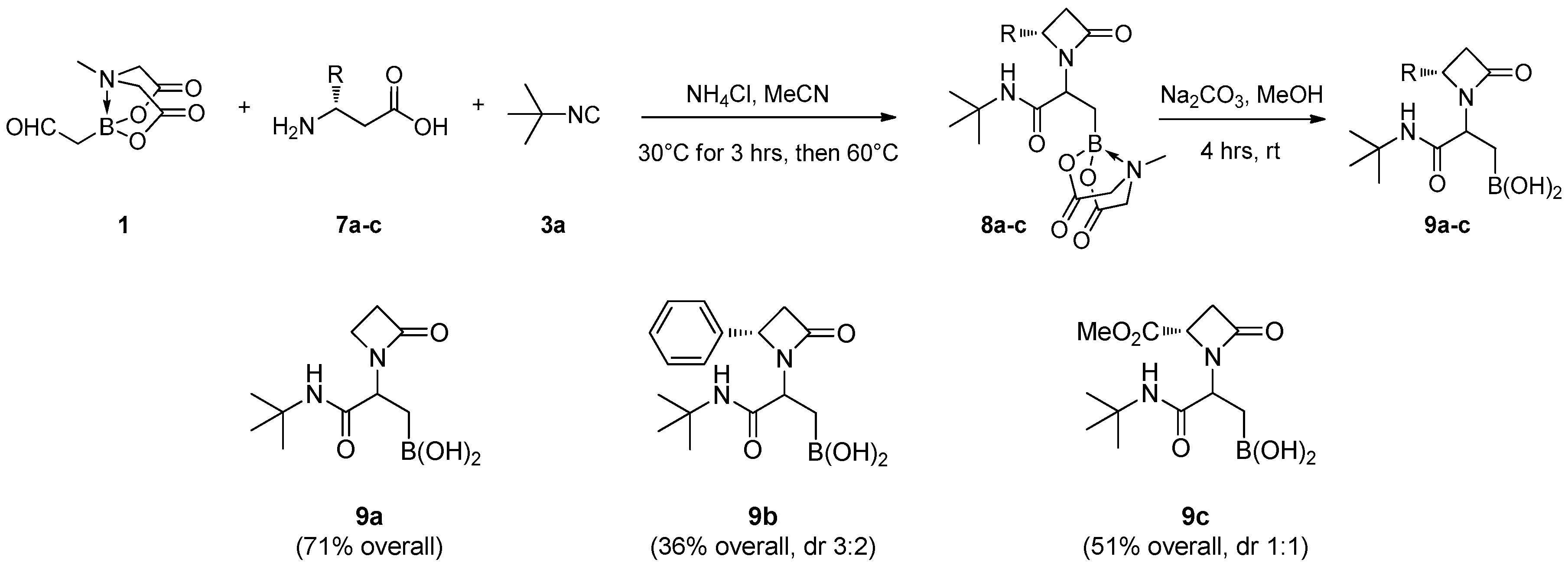
Aiming to expand the diversity of peptidomimetic β-aminoboronic acids, including the privileged β-lactam ring in the chemical structure, a 4C–3CR version of the Ugi reaction was investigated (Scheme 3).
Keeping α-boryl aldehyde 1 and t-butyl isocyanide 3a as fixed components, β-alanine 7a, or alternatively, enantiomerically pure β-amino acids (S)-3-amino-3-phenylpropanoic acid 7b or (S)-3-amino-4-methoxy-4-oxobutanoic acid 7c, were employed in the reaction. The reaction conditions optimized for the Ugi-4CR proved effective for this three-component version also, affording compounds 8ac in acceptable yields. MIDA-deprotection with excess of sodium carbonate in dry methanol afforded, quantitatively, the corresponding β-lactam-based β-amino boronic acids 9ac. The chirality of β-amino acids 7b and 7c did not exert any asymmetric induction on the reaction pathway, so compounds 8b and 8c (and consequently 9b and 9c) were obtained as inseparable mixtures of enantiomerically pure β-lactams diastereoisomers and characterized as such. A unique signal at 31 ppm could be detected in the 11B-NMR spectrum, for both diastereoisomers of compounds 9b and 9c.
Finally, the possible use of α-boryl aldehyde 1, together with a primary amine and toluenesulfonylmethyl isocyanide (TosMIC) in a three-component reaction, was briefly explored. Cyclohexylmethanamine was chosen as the amine component and subjected to a precondensation time of two h at 50 °C in DMF with aldehyde 1. After that, TosMIC and K2CO3 were added in two portions and the reaction was left at 50 °C overnight. The desired MIDA-protected (imidazolyl)methyl boronic acid 10 could be obtained, establishing the first application of the van Leusen reaction to the synthesis of boron-containing imidazoles (Scheme 4). Given the modest yield (32%) achieved by then, and after a brief screening of reaction conditions, MIDA-deprotection was not carried out, reserving it for further optimizations studies.

2.2. Biological Evaluation

Some of the synthesized compounds were subjected to a preliminary characterizations of their biological activities, in which their potential synergistic activities with β-lactam antibiotics were evaluated in a set bacterial strains producing various BLs, including both laboratory strains and clinical isolates (Table 1). As a result, and when tested at a fixed concentration of 16 µg/mL, no or limited potentiation of the antibiotic activity could be observed with BL-producing laboratory strains. Interestingly, compound 6e showed a four-fold potentiation of the activity of ampicillin when tested on a strain producing the OXA-23 carbapenemase. A modest two-fold potentiation was also observed with some compounds (tested at 32 µg/mL) when tested on clinical isolates. These data overall indicate that the compounds might still lack sufficient inhibitory potency on their β-lactamase target or that they might not be able to accumulate at significant concentrations in the bacterial periplasm (due to, e.g., outer membrane impermeability or active efflux). However, these data are overall encouraging, and indicate that the present family of compounds, and future derivatives, should be further investigated.

2.3. Molecular Modeling Studies

Hypothesizing that compound 6e could exert its antimicrobial activity by the covalent inhibition of the OXA-23 β-lactamase, computational studies were accomplished; we aimed to acquire atomistic details on the compound 6e/target reciprocal interaction. This study could be useful for the rational design of new and more potent β-lactamase inhibitors.
The OXA-23 molecular model was created following the computational procedure reported in the Materials and Methods section. Since the racemate of 6e was biologically evaluated, covalent docking of both enantiomers of compound 6e was initially performed. Hypothesizing that our compounds could act as competitive ligands, the Oγ atom of the catalytic residue Ser79 of OXA-23 was used as an anchor point for the covalent docking of both enantiomers of 6e; the CovDock algorithm, available on the Maestro modeling suite [29], was used for this calculation. The results suggested that the (R)-6e enantiomer could be the eutomer, due to a score 0.7 higher than the other enantiomer (−3.3 vs. −2.6, respectively). Then, further investigations were accomplished only on the (R)-6e/Oxa-23 complex, by our undertaking of 250 ns of molecular dynamics (MD) simulations by means of the DESMOND algorithm [30]. By these simulations, the ligand/enzyme reciprocal adaptation was allowed, and finally, the “simulation interactions diagram” tool of Maestro permitted us to gain insights into the putative binding mode of compound (R)-6e, by processing the trajectory frames acquired during the MD simulation run. As shown in Figure 3, the OXA-23-Arg259, by a dual interaction, made polar contacts with the nitro-benzoyl carbonyl and boronic groups of compound (R)-6e. These bonds, stable over the majority of MD simulation frames, were mediated by water molecule bridges. Moreover, the OXA-23-Lys216 was hydrogen bound with the boronic group of (R)-6e, while the OXA-23-Trp113 and OXA-23-Phe110 interacted with the phenyl rings of (R)-6e by π–π (or Pi-Pi) stackings. Finally, the N-t-butyl group of (R)-6e was stabilized in a hydrophobic pocket sized by the Met221 and Trp219 residues of the β-lactamase.
The comparison between the predicted binding mode of 6e with the one found in the OXA-23/meropenem X-ray complex (see the Materials and Methods) suggested that the benzyl ring of the boronic compound should be substituted by a group with a lower size. In fact, during the MD simulations, a progressive opening of the catalytic crevice of the enzyme, for a repulsion between the benzyl ring and the side chain of OXA-23-Phe110, was observed (Figure 4). Moreover, a group substituting the p-nitro-phenyl ring, capable of interacting more efficiently with OXA-23-Arg259, could also ameliorate the affinity of the resulting compound.

3. Conclusions

In conclusion, structurally diverse, highly functionalized β-amino boronic acids have been efficiently synthesized via different multicomponent reactions. By means of the Ugi reaction, sixteen peptidomimetic β-amino boronic acids, functionalized with a variety of lipophilic and polar appendages, were prepared. The four centers-three components version of the Ugi reaction afforded three different β-lactam-based β-amino boronic acids, joining in a new scaffold two pharmacophoric moieties that are privileged in antibacterial drug discovery. Finally, the potential of the van Leusen reaction for the synthesis of imidazole-bearing methylboronic acids was demonstrated. The products were obtained in generally good yields, with simple workup procedures and straightforward isolation. They were fully characterized and a selection of them was subjected to biological evaluation, by determination of their in vitro antimicrobial susceptibility. By a molecular modelling investigation on the most active compound 6e, a plausible binding mode in the binding site of β-lactamase OXA-23 was proposed and compared with the one found in the OXA-23/meropenem X-ray complex, leading to suggestions for further insights aimed at improving the biological activity.

4. Materials and Methods

4.1. General Methods

All commercial materials and solvents (> 95% purity grade) were purchased from Merck KGaA (Darmstadt, Germany) and used without further purification. All reactions were carried out under a nitrogen atmosphere, unless otherwise noted. All reactions were monitored by thin layer chromatography (TLC) on precoated silica gel 60 F254; spots were visualized with UV light, or by treatment with a 1% aqueous KMnO4 solution, or with a hydroalcoholic curcumin solution (100 mg of curcumin in a 100 mL solution of ethanol with 2 N HCl (99:1 v/v)). Products were purified by flash chromatography (FC) on silica gel 60 (230–400 mesh). Yields refer to isolated compounds estimated to be >95% pure as determined by 1H-NMR. NMR spectra were recorded on 300 or 400 MHz Bruker spectrometers, using tetramethylsilane (TMS) as the internal standard. Supplementary materials for 13C-NMR, the APT pulse sequence was adopted. Chemical shifts are reported in parts per million relative to the residual solvent. Multiplicities in 1H-NMR are reported as follows: s = singlet, d = doublet, t = triplet, m = multiplet, br s = broad singlet. High-resolution MS spectra (HR-MS) were recorded with a Thermo Fisher LCQ Fleet ion trap mass spectrometer, equipped with an ESI source. The purity of compound 6e was confirmed to be >95% by means of elemental analysis on a CHN PerkinElmer 2400 instrument.

4.2. General Procedure for the Ugi-4CR (GP-A)

A test tube for the carousel was equipped with a magnetic stir bar and it was charged with compound 1 (120 mg, 0.6 mmol) and dry acetonitrile (6 mL). The primary amine 2ad (0.7 mmol), the carboxylic acid 4ac (0.7 mmol), and ammonium chloride (53 mg, 1.0 mmol) were added, and the reaction mixture was allowed to stir at 30 °C for 15 min. Then, the isocyanide 3ae (1.0 mmol) was added in portions over a period of three h, after that the reaction mixture was kept at 60 °C for 21 h. The reaction was monitored by TLC (DCM/MeOH, 95:5, curcumin-based colorimetric method). The reaction mixture was concentrated in vacuo; then ethyl acetate (5 mL) was added. The solution was washed with saturated NaHCO3 aq (×3), dried over Na2SO4, and concentrated under reduced pressure, to give a residue that was purified by a silica gravimetric chromatography column (eluent: DCM/MeOH = 99/1 to 96/4).

4.3. General Procedure for MIDA Deprotection (GP-B)

Under a nitrogen atmosphere, a round-bottom flask was equipped with a magnetic stir bar and charged with β-amino boronate 5ap or 8ac (0.5 mmol) and dry MeOH (7 mL). Solid Na2CO3 (9.0 mmol) was added. The resulting mixture was stirred for 4 h, and then the suspension was filtered and rinsed with a small amount of MeOH. The filtrate was concentrated in vacuo and the residue was partitioned between saturated aqueous NaHCO3 and ethyl acetate. The layers were separated, and the aqueous layer was additionally extracted with ethyl acetate. Combined ethyl acetate layers were dried over Na2SO4 and concentrated in vacuo.

4.4. General Procedure for the Ugi-4C-3CR (GP-C)

A test tube for carousel was equipped with a magnetic stir bar and it was charged with compound 1 (100 mg, 0.5 mmol) and dry acetonitrile (5 mL). The β-amino acids 7ac (0.6 mmol) and ammonium chloride (53 mg, 1.0 mmol) were added and the reaction was allowed to stir at 30 °C for 15 min. Then, tert-butyl isocyanide 3a (1.0 mmol) was added in portions over a period of three h; after that the reaction mixture was kept at 60 °C for 21 h. The reaction was monitored by TLC (DCM/MeOH, 95:5, curcumin-based colorimetric method). The reaction mixture was concentrated in vacuo and it was purified in a silica gravimetric chromatography column (eluent: DCM/MeOH = 99/1 to 95/5).

4.5. Procedure for the VL-3CR Reaction (GP-D)

A test tube for carousel was equipped with a magnetic stir bar, and it was charged with compound 1 (100 mg, 0.5 mmol) and dry DMF (5 mL). Cyclohexylmethanamine (0.08 mL, 0.6 mmol), was added and the resulting mixture was kept under stirring for 2 h at 50 °C under an atmosphere of nitrogen. Then, potassium carbonate (104 mg, 0.75 mmol) and TosMIC (148 mg, 0.75 mmol) were added in portions and the reaction was left overnight at 50 °C under stirring. The resulting mixture was concentrated in vacuo, and then it was partitioned between ethyl acetate/water. The aqueous phase was extracted with ethyl acetate (×3) and the organic phase was washed with brine (×5), dried over Na2SO4, and concentrated in vacuo, to give a residue that was purified by silica gravimetric chromatography column (eluent: DCM/MeOH = 99/1 to 90/10). The purified product was obtained with 32% yield as a brown solid.
N-(4-bromophenyl)-N-(1-(tert-butylamino)-3-(4-methyl-2,6-dioxotetrahydro-2H-4λ4,8λ4-[1,3,2]oxazaborolo[2,3-b][1,3,2]oxazaborol-8-yl)-1-oxopropan-2-yl)cinnamamide (5a): Prepared according to GP-A using α-borylaldehyde 1, 4-bromoaniline 2a, trans cinnamic acid 4a, and tert-butyl isocyanide 3a. Obtained as a white solid (yield = 74%); 1H-NMR (400 MHz, CD3OD) δ 7.68–7.52 (m, 3H), 7.35–7.25 (m, 7H), 6.22 (d, J = 15.6 Hz, 1H), 5.38–5.21 (m, 1H), 4.17 (d, J = 17.1 Hz, 1H), 4.13 (d, J = 16.8 Hz, 1H), 4.00 (d, J = 17.1 Hz, 1H), 3.96 (d, J = 16.8 Hz, 1H), 2.99 (s, 3H), 1.36 (s, 9H), 1.18 (d, J = 14.4 Hz, 1H), 0.96 (dd, J = 14.4, 4.4 Hz, 1H), (NH missed); 13C-NMR (101 MHz, CD3OD) δ 171.3, 170.0, 169.4, 167.6, 143.2, 138.9, 135.4, 132.9, 132.8, 132.7 (2C), 132.4, 130.4, 129.3 (2C), 128.2 (2C), 123.0, 119.2, 62.6, 62.5, 58.1, 51.6, 46.0, 28.2 (3C); HR-MS (ESI) m/z: [M + Na]+ calcd for C27H31BBrN3NaO6 606.1387; found 606.1399.
N-(1-(tert-Butylamino)-3-(4-methyl-2,6-dioxotetrahydro-2H-4λ4,8λ4-[1,3,2]oxazaborolo[2,3-b][1,3,2]oxazaborol-8-yl)-1-oxopropan-2-yl)-N-(4-methoxybenzyl)cinnamamide (5b): Prepared according to GP-A using α-borylaldehyde 1, 4-methoxybenzylamine 2b, trans cinnamic acid 4a and tert-butyl isocyanide 3a. Obtained as a white solid (yield = 51%); 1H-NMR (400 MHz, 115 °C, DMSO-d6) δ 7.54 (m, 3H), 7.37 (d, J = 7.2 Hz, 2H), 7.25 (d, J = 8.1 Hz, 2H), 7.00 (d, J = 16.0 Hz, 1H), 6.87 (d, J = 8.1 Hz, 2H), 6.75 (s, 1H), 6.48 (d, J = 16.0 Hz, 1H), 4.88–4.81 (m, 2H), 4.54 (d, J = 16.2 Hz, 1H), 4.14 (d, J = 16.9 Hz, 1H), 4.10 (d, J = 16.8 Hz, 1H), 3.96 (d, J = 16.9 Hz, 1H), 3.94 (d, J = 16.8 Hz, 1H), 3.74 (s, 3H), 2.95 (s, 3H), 1.34–1.27 (m, 1H), 1.17 (s, 9H), 0.95–0.85 (m, 1H); 13C-NMR (101 MHz, 25 °C, DMSO-d6, 6:4 rotameric mixture) δ 170.4–166.4 (4C), 158.5, 144.6, 141.7 and 141.5 (1C), 135.9 and 135.5 (1C), 131.8, 129.3 and 129.2 (2C), 128.6, 128.4, 128.2 and 128.1 (1C), 120.0, 114.2 (2C), 62.3–62.0 (2C), 55.5, 55.4, 50.6 and 50.5 (1C), 46.8, 46.3 and 46.1 (1C), 29.4, 28.6 and 28.5 (1C); HR-MS (ESI) m/z: [M + Na]+ calcd for C29H36BN3NaO7 572.2544; found 572.2524.
N-(1-(tert-Butylamino)-3-(4-methyl-2,6-dioxotetrahydro-2H-4λ4,8λ4-[1,3,2]oxazaborolo[2,3-b][1,3,2]oxazaborol-8-yl)-1-oxopropan-2-yl)-N-(5,5-dimethylhexyl)cinnamamide (5c): Prepared according to GP-A using α-borylaldehyde 1, 5,5-dimethylhexan-1-amine 2c, trans cinnamic acid 4a and tert-butyl isocyanide 3a. Obtained as a white solid (yield = 29%); 1H-NMR (400 MHz, CD3OD) δ 7.75 (d, J = 15.4 Hz, 1H), 7.71–7.61 (m, 5H), 7.06 (d, J = 15.4 Hz, 1H), 5.02 (m, J = 7.6 Hz, 0.7H), 4.50 (m, 0.3H), 4.17 (d, J = 17.1 Hz, 1H), 4.13 (d, J = 16.8 Hz, 1H), 4.02 (d, J = 17.1 Hz, 1H), 4.00 (d, J = 16.8 Hz, 1H), 3.67–3.53 (m, 2H), 3.08 (s, 2.1H), 3.01 (s, 0.9H), 1.73–1.58 (m, 4H), 1.45 (dd, J = 14.5, 8.8 Hz, 1H), 1.43–1.15 (m, 11H), 1.08 (dd, J = 14.5, 6.5 Hz, 1H), 0.90 (s, 9H), (NH missed); 13C-NMR (101 MHz, CD3OD) δ 171.5, 169.4, 168.8, 168.2, 142.7, 135.2, 130.2 and 129.6 (1C), 128.6 (2C), 128.0–127.6 (2C), 118.3, 61.8 (2C), 57.3, 55.9, 50.7, 45.3, 43.6, 31.4 (2C), 30.5, 28.4 (3C), 27.5 and 27.3 (3C), 21.9 (1C); HR-MS (ESI) m/z: [M + Na]+ calcd for C29H44BN3NaO6 564.3221; found 564.3244.
N-(4-Bromophenyl)-N-(1-(tert-butylamino)-3-(4-methyl-2,6-dioxotetrahydro-2H-4λ4,8λ4-[1,3,2]oxazaborolo[2,3-b][1,3,2]oxazaborol-8-yl)-1-oxopropan-2-yl)-4-nitrobenzamide (5d): Prepared according to GP-A using α-borylaldehyde 1, 4-bromoaniline 2a, 4-nitrobenzoic acid 4b and tert-butyl isocyanide 3a. Obtained as a white solid (yield = 57%); 1H-NMR (400 MHz, CD3OD) δ 8.08 (d, J = 8.2 Hz, 2H), 7.58 (d, J = 8.2 Hz, 2H), 7.38 (d, J = 8.1 Hz, 2H), 7.21 (d, J = 8.1 Hz, 2H), 5.25 (dd, J = 7.0 Hz, 1H), 4.22 (d, J = 17.1 Hz, 1H), 4.18 (d, J = 16.8 Hz, 1H), 4.03 (d, J = 17.1 Hz, 1H), 4.01 (d, J = 16.8 Hz, 1H), 3.02 (s, 3H), 1.38 (s, 9H), 1.26 (dd, J = 7.0, 4.2 Hz, 2H), (NH missed); 13C-NMR (75 MHz, CD3OD, 2:1 rotameric mixture) δ 174.0–169.6 (4C), 149.7 and 149.6 (1C), 144.4 and 144.1 (1C), 140.9 and 140.2 (1C), 133.7–133.5 (4C), 130.6 (2C), 124.5 and 124.4 (2C), 123.5 and 123.3 (1C), 63.5, 63.4, 61.2 and 60.7 (1C), 58.7, 46.9, 29.2 (3C), (B-Cα missed); 11B-NMR (128 MHz, CD3CN) δ 12.26; HR-MS (ESI) m/z: [M + Na]+ calcd for C25H28BBrN4NaO8 625.1081; found 625.1092.
N-Benzyl-N-(1-(tert-butylamino)-3-(4-methyl-2,6-dioxotetrahydro-2H-4λ4,8λ4-[1,3,2]oxazaborolo[2,3-b][1,3,2]oxazaborol-8-yl)-1-oxopropan-2-yl)-4-nitrobenzamide (5e): Prepared according to GP-A using α-borylaldehyde 1, benzylamine 2d, 4-nitrobenzoic acid 4b and tert-butyl isocyanide 3a. Obtained as a white solid (yield = 51%); 1H-NMR (400 MHz, CD3OD) δ 8.24 (d, J = 7.5 Hz, 2H), 7.75 (d, J = 7.5 Hz, 2H), 7.35–7.05 (m, 5H), 4.80 (d, J = 15.8 Hz, 1H), 4.71 (m, 1H), 4.48 (d, J = 15.8 Hz, 1H), 4.24 (d, J = 16.8 Hz, 1H), 4.22 (d, J = 16.4 Hz, 1H), 4.14–3.98 (m, 2H), 3.04 (s, 3H), 1.58 (d, J = 8.0 Hz, 1H), 1.35 (d, J = 8.0 Hz, 1H), 1.29 (s, 9H), (NH missed); 13C-NMR (101 MHz, CD3OD) δ 171.4–168.8 (4C), 148.2, 142.6, 137.0, 128.5 (2C), 128.2, 127.7 (2C), 127.4, 127.2, 123.3 (2C), 61.7, 61.5, 58.2, 57.3, 52.0, 45.1, 42.5, 27.4 (3C); 11B NMR (128 MHz, CD3CN) δ 12.33; HR-MS (ESI) m/z: [M + Na]+ calcd for C26H31BN4NaO8 561.2133; found 561.2109.
N-(1-(tert-Butylamino)-3-(4-methyl-2,6-dioxotetrahydro-2H-4λ4,8λ4-[1,3,2]oxazaborolo[2,3-b][1,3,2]oxazaborol-8-yl)-1-oxopropan-2-yl)-N-(5,5-dimethylhexyl)-4-nitrobenzamide (5f): Prepared according to GP-A using α-borylaldehyde 1, 5,5-dimethylhexan-1-amine 2c, 4-nitrobenzoic acid 4b and tert-butyl isocyanide 3a. Obtained as a white solid (yield = 40%); 1H-NMR (400 MHz, CD3OD) δ 8.36 (d, J = 8.5 Hz, 2H), 7.83 (d, J = 8.5 Hz, 2H), 4.74 (dd, J = 9.6, 5.9 Hz, 1H), 4.21 (d, J = 17.1 Hz, 1H), 4.19 (d, J = 16.9 Hz, 1H), 4.05 (d, J = 17.1 Hz, 1H), 4.03 (d, J = 16.9 Hz, 1H), 3.42–3.21 (m, 2H), 3.07 (s, 3H), 1.53 (dd, J = 14.0, 9.6 Hz, 1H), 1.48–1.21 (m, 12H), 0.92 (m, 4H), 0.78 (s, 9H), (NH missed); 13C-NMR (101 MHz, CD3OD) δ 171.8, 171.3, 169.4, 168.9, 148.4, 142.8, 127.8 (2C), 123.5 (2C), 61.7, 61.6, 58.1, 57.1, 50.8, 45.2 (2C), 43.1, 30.0, 28.2 (3C), 27.5 (3C), 21.5 (2C); HR-MS (ESI) m/z: [M + Na]+ calcd for C27H41BN4NaO8 583.2915; found 583.2931.
N-(4-Bromophenyl)-N-(1-(tert-butylamino)-3-(4-methyl-2,6-dioxotetrahydro-2H-4λ4,8λ4-[1,3,2]oxazaborolo[2,3-b][1,3,2]oxazaborol-8-yl)-1-oxopropan-2-yl)dec-9-enamide (5g): Prepared according to GP-A using α-borylaldehyde 1, 4-bromoaniline 2a, 9-decenoic acid 4c and tert-butyl isocyanide 3a. Obtained as a white solid (yield = 50%); 1H-NMR (400 MHz, CD3OD) δ 7.62 (d, J = 8.3 Hz, 2H), 7.23 (d, J = 8.3 Hz, 2H), 5.88–5.73 (m, J = 13.0 Hz, 1H), 5.20 (m, 1H), 4.95 (dd, J =13.0 Hz, 2H), 4.14–4.12 (m, 1H), 4.08 (d, J = 16.7 Hz, 1H), 3.97 (d, J = 17.6 Hz, 1H), 3.92 (d, J = 16.7 Hz, 1H), 2.95 (s, 3H), 2.34–2.26 (m, 1H), 2.09–1.97 (m, 4H), 1.65–1.48 (m, 3H), 1.36 (s, 9H), 1.27–1.13 (m, 6H), 1.04 (dd, J = 14.4, 10.5 Hz, 1H), 0.84 (dd, J = 14.4, 4.8 Hz, 1H), (NH missed); 13C-NMR (75 MHz, CD3OD) δ 176.1, 172.7, 171.0, 170.3, 140.4, 140.0, 133.9, 133.7, 133.5, 133.2, 123.9, 114.9, 63.6, 63.4, 58.79, 58.6, 46.9, 36.1 (2C), 35.1, 30.4 (3C), 29.2 (3C), 26.6 (2C); HR-MS (ESI) m/z: [M + Na]+ calcd for C28H41BBrN3NaO6 628.2169; found 628.2154.
N-(1-(tert-Butylamino)-3-(4-methyl-2,6-dioxotetrahydro-2H-4λ4,8λ4-[1,3,2]oxazaborolo[2,3-b][1,3,2]oxazaborol-8-yl)-1-oxopropan-2-yl)-N-(4-methoxybenzyl)dec-9-enamide (5h): Prepared according to GP-A using α-borylaldehyde 1, 4-methoxybenzylamine 2b, 9-decenoic acid 4c and tert-butyl isocyanide 3a. Obtained as a white solid (yield = 61%); 1H-NMR (400 MHz, 115 °C, DMSO-d6) δ 7.18 (d, J = 8.1 Hz, 2H), 6.85 (d, J = 8.1 Hz, 2H), 6.69 (s, 1H), 5.90–5.72 (m, 1H), 4.97 (dd, J = 14.4 Hz, 2H), 4.74–4.55 (m, 2H), 4.39 (d, J = 16.4 Hz, 1H), 4.16–4.03 (m, 2H), 4.00–3.88 (m, 2H), 3.75 (s, 3H), 2.93 (s, 3H), 2.40–2.17 (m, 2H), 2.09–1.95 (m, 2H), 1.54 (m, 2H), 1.44–1.23 (m, 8H), 1.18 (s, 9H), 0.93–0.81 (m, 2H); 13C-NMR (101 MHz, 25 °C, DMSO-d6, 1:1 rotameric mixture) δ 174.6–169.4 (4C), 159.2 and 158.8 (1C), 139.9, 133.0 and 132.0 (1C), 129.4, 128.6, 115.7, 114.8, 114.2, 63.0 and 62.6 (2C), 58.4 (0.5C), 56.2, 55.8 (0.5C), 51.3 and 51.1 (1C), 47.8, 46.9 and 46.8 (1C), 34.2 and 33.5 (2C), 30.1 and 29.5 (4C), 29.2 (3C), 25.9 and 25.7 (2C); HR-MS (ESI) m/z: [M + Na]+ calcd for C30H46BN3NaO7 594.3327; found 594.3320.
N-(1-(tert-Butylamino)-3-(4-methyl-2,6-dioxotetrahydro-2H-4λ4,8λ4-[1,3,2]oxazaborolo[2,3-b][1,3,2]oxazaborol-8-yl)-1-oxopropan-2-yl)-N-(5,5-dimethylhexyl)dec-9-enamide (5i): Prepared according to GP-A using α-borylaldehyde 1, 5,5-dimethylhexan-1-amine 2c, 9-decenoic acid 4c and tert-butyl isocyanide 3a. Obtained as a white solid (yield = 38%); 1H-NMR (400 MHz, DMSO-d6, 6:4 rotameric mixture) δ 7.48 (s, 0.4H), 7.04 (s, 0.6H), 5.92–5.68 (m, 1H), 4.96 (dd, J =14.2 Hz, 2H), 4.74 (t, J = 7.1 Hz, 0.6H), 4.28 (dd, J = 8.6, 5.0 Hz, 0.4H), 4.21–4.06 (m, 2H), 4.04–3.87 (m, 2H), 3.29–3.19 (m, 1.2H), 3.17–3.04 (m, 0.8H), 2.96 (s, 1.8H), 2.90 (s, 1.2H), 2.33–2.22 (m, 2H), 2.03–1.93 (m, 2H), 1.59–1.39 (m, 4H), 1.37–1.32 (m, 2.4H), 1.30–1.07 (m, 19.8H), 0.85 (s, 5.5H), 0.84 (s, 3.5H), 0.80 (d, J = 7.1 Hz, 0.3H), 0.67 (dd, J = 14.4, 5.0 Hz, 0.5H); 13C-NMR (101 MHz, DMSO-d6, 6:4 rotameric mixture) δ 174.0, 172.8 and 172.1 (1C), 170.9, 170.0 and 169.6 (1C), 139.9, 115.7, 62.8–62.5(2C), 57.9 and 55.7 (1C), 51.4 and 51.0 (2C), 46.8 and 46.7 (1C), 44.7 and 44.5 (1C), 34.3- 31.2 (6C), 30.3 (3C), 29.4 (3C), 26.1 and 25.9 (2C), 23.2 and 22.9 (2C); 11B-NMR (128 MHz, CD3CN) δ 12.56; HR-MS (ESI) m/z: [M + Na]+ calcd for C30H54BN3NaO6 586.4003; found 586.4024.
N-(1-(Cyclohexylamino)-3-(4-methyl-2,6-dioxotetrahydro-2H-4λ4,8λ4-[1,3,2]oxazaborolo[2,3-b][1,3,2]oxazaborol-8-yl)-1-oxopropan-2-yl)-N-(4-methoxybenzyl)cinnamamide (5j): Prepared according to GP-A using α-borylaldehyde 1, 4-methoxybenzylamine 2b, trans cinnamic acid 4a and cyclohexyl isocyanide 3b. Obtained as a white solid (yield = 49%); 1H-NMR (400 MHz, CD3OD) δ 7.67 (d, J = 6.9 Hz, 1H), 7.61 (d, J = 15.5 Hz, 1H), 7.46 (d, J = 3.6 Hz, 1H), 7.40 (t, J = 3.6, 6.9 Hz, 2H), 7.35 (d, J = 3.6 Hz, 1H), 7.24 (d, J = 8.6 Hz, 2H), 6.95 (d, J = 15.5 Hz, 1H), 6.90 (d, J = 8.6 Hz, 2H), 5.13–5.05 (m, 1H), 4.95 (d, J = 17.1 Hz, 1H), 4.74 (d, J = 17.1 Hz, 1H), 4.17 (d, J = 17.1 Hz, 1H), 4.13 (d, J = 17.3 Hz, 1H), 3.99 (d, J = 17.1 Hz, 1H), 3.97 (d, J = 17.3 Hz, 1H), 3.77 (s, 3H), 3.52–3.44 (m, 1H), 3.03 (s, 2H), 2.98 (s, 1H), 1.89–1.80 (m 1H), 1.79–1.73 (m, 1H), 1.73–1.64 (m, 2H), 1.62–1.52 (m, 2H), 1.47–1.20 (m, 5H), 1.16–1.09 (m, 1H), (NH missed); 13C-NMR (75 MHz, CD3OD) δ 172.4–169.7 (4C), 160.8, 144.6, 136.7, 131.91, 131.3, 130.2 (2C), 129.5 (2C), 129.3 (2C), 120.2, 115.5 (2C), 63.5 (2C), 57.5, 56.1, 52.3, 47.0, 43.3, 33.7 (2C), 31.0, 26.9, 26.2 (2C); HR-MS (ESI) m/z: [M + Na]+ calcd for C31H38BN3NaO7 598.2701; found 598.2689.
N-(1-(Cyclohexylamino)-3-(4-methyl-2,6-dioxotetrahydro-2H-4λ4,8λ4-[1,3,2]oxazaborolo[2,3-b][1,3,2]oxazaborol-8-yl)-1-oxopropan-2-yl)-N-(4-methoxybenzyl)-4-nitrobenzamide (5k): Prepared according to GP-A using α-borylaldehyde 1, 4-methoxybenzylamine 2b, 4-nitrobenzoic acid 4b, and cyclohexyl isocyanide 3b. Obtained as a white solid (yield = 53%); 1H-NMR (400 MHz, CD3OD, 6:4 rotameric mixture) δ 8.27 (d, J = 8.1 Hz, 2H), 7.77 (d, J = 8.1 Hz, 2H), 7.04 (d, J = 7.9 Hz, 2H), 6.82 (d, J = 7.9 Hz, 2H), 4.74–4.62 (m, 1.4H), 4.57 (s, 0.2H), 4.42 (d, J = 15.5 Hz, 0.6H), 4.25 (d, J = 17.1 Hz, 1H), 4.23 (d, J = 16.7 Hz, 1H), 4.13 (d, J = 17.1 Hz, 1H), 4.11 (d, J = 16.7 Hz, 1H), 4.06 (m, 0.8H), 3.77 (s, 3H), 3.64–3.47 (m, 1H), 3.04 (s, 3H), 1.87–1.55 (m, 6H), 1.46–1.22 (m, 6H), (NH missed); 13C-NMR (101 MHz, CD3OD) δ 170.9–168.0 (4C), 159.5, 148.3, 148.2, 129.2 (2C), 128.6, 127.8 (2C), 123.4 (2C), 113.9 (2C), 61.7, 61.6, 57.4, 54.4, 51.7, 45.2, 41.7, 32.1 (2C), 29.3, 25.2 (2C), 24.5; HR-MS (ESI) m/z: [M + Na]+ calcd for C29H35BN4NaO9 617.2395; found 617.2382.
N-(4-Methoxybenzyl)-N-(3-(4-methyl-2,6-dioxotetrahydro-2H-4λ4,8λ4-[1,3,2]oxazaborolo[2,3-b][1,3,2]oxazaborol-8-yl)-1-oxo-1-(pentylamino)propan-2-yl)cinnamamide (5l): Prepared according to GP-A using α-borylaldehyde 2, 4-methoxybenzylamine 3b, trans cinnamic acid 4a, and 1-pentyl isocyanide 5e. Obtained as a white solid (yield = 40%); 1H-NMR (400 MHz, CD3OD, rotameric mixture) δ 7.80–7.51 (m, 2H), 7.49–7.31 (m, 4H), 7.29–7.21 (m, 2H), 7.13–6.79 (m, 3H), 5.14 (m, 0.5H), 5.00–4.91 (m, 0.6H), 4.71 (m, 1.9H), 4.18 (d, J = 16.8 Hz, 1H), 4.14 (d, J = 16.0 Hz, 1H), 4.00 (d, J = 16.8 Hz, 1H), 3.95–3.90 (m, 1H), 3.81–3.73 (m, 3H), 3.24–3.15 (m, 0.5H), 3.14–2.78 (m, 4.5H), 1.76–1.05 (m, 7H), 1.07–0.73 (m, 4H), (NH missed); 13C-NMR (101 MHz, CD3OD, rotameric mixture) δ 172.4–168.6 (4C), 159.7, 144.9 and 143.5 (1C), 135.9 and 135.7 (1C), 131.2 and 130.8 (1C) 130.7–129.7 (2C), 129.3 and 129.2 (2C), 128.5 and 128.4 (2C), 128.2, 119.2, and 117.8 (1C), 114.6 and 114.4 (2C), 62.5, 62.5, 56.3, 55.0, 51.3, 46.0, 40.7 and 39.9 (1C), 29.5, 29.1 (2C), 22.7, 13.6; HR-MS (ESI) m/z: [M + Na]+ calcd for C30H38BN3NaO7 586.2701; found 586.2719.
N-(4-Methoxybenzyl)-N-(3-(4-methyl-2,6-dioxotetrahydro-2H-4λ4,8λ4-[1,3,2]oxazaborolo[2,3-b][1,3,2]oxazaborol-8-yl)-1-oxo-1-(pentylamino)propan-2-yl)-4-nitrobenzamide (5m): Prepared according to GP-A using α-borylaldehyde 1, 4-methoxybenzylamine 2b, 4-nitrobenzoic acid 4b, and 1-pentyl isocyanide 3c. Obtained as a white solid (yield = 53%); 1H-NMR (400 MHz, 115 °C, DMSO-d6, 9:1 rotameric mixture, only the major rotamer reported here) δ 8.17 (d, J = 7.8 Hz, 2H), 7.66 (d, J = 7.8 Hz, 2H), 7.24 (s, 1H), 7.11 (s, 2H), 6.78 (d, J = 7.8 Hz, 2H), 4.66–4.51 (m, 2H), 4.46 (d, J = 15.6 Hz, 1H), 4.15 (d, J = 15.3 Hz, 1H), 4.12 (d, J = 15.6 Hz, 1H), 3.97 (d, J = 15.3 Hz, 1H), 3.93 (d, J = 15.6 Hz, 1H), 3.73 (s, 3H), 3.01 (d, J = 6.0 Hz, 2H), 2.91 (s, 3H), 1.47–1.21 (m, 8H), 0.89 (t, J = 6.0 Hz, 3H); 13C-NMR (101 MHz, 25 °C, DMSO-d6, 7:3 rotameric mixture) δ 170.9–168.8 (4C), 158.6 and 158.3 (1C), 148.0 and 147.7 (1C), 144.3 and 143.7 (1C), 131.2 and 129.9 (1C), 129.1 (2C), 128.8, 128.0, 124.0, 123.7, 113.9, 113.7, 62.1 (2C), 55.5, 55.4, 49.9, 46.2, 39.3, 29.4, 29.1 (2C), 22.3, 14.4; HR-MS (ESI) m/z: [M + Na]+ calcd for C28H35BN4NaO9 605.2395; found 605.2380.
N-(1-(Benzylamino)-3-(4-methyl-2,6-dioxotetrahydro-2H-4λ4,8λ4-[1,3,2]oxazaborolo[2,3-b][1,3,2]oxazaborol-8-yl)-1-oxopropan-2-yl)-N-(4-methoxybenzyl)-4-nitrobenzamide (5n): Prepared according to GP-A using α-borylaldehyde 1, 4-methoxybenzylamine 2b, 4-nitrobenzoic acid 4b, and benzyl isocyanide 3d. Obtained as a white solid (yield = 43%); 1H-NMR (400 MHz, CD3OD) δ 8.24 (d, J = 7.7 Hz, 2H), 7.75 (d, J = 7.7 Hz, 2H), 7.40–7.17 (m, 5H), 6.99 (d, J = 7.2 Hz, 2H), 6.69 (d, J = 7.2 Hz, 2H), 4.77–4.69 (m, 1H), 4.66 (d, J = 15.3 Hz, 1H), 4.41 (d, J = 15.3 Hz, 1H), 4.33 (s, 1.6H), 4.25 (d, J = 17.1 Hz, 1H), 4.23 (d, J = 16.2 Hz, 1H), 4.15 (d, J = 17.1 Hz, 0.2H), 4.13 (d, J = 17.1 Hz, 1H), 4.07 (d, J = 16.2 Hz, 1H), 3.97 (d, J = 17.1 Hz, 0.2H), 3.73 (s, 3H), 3.03 (s, 3H), 1.42–1.24 (m, 2H), (NH missed); 13C-NMR (101 MHz, CD3OD) δ 171.9, 171.0, 169.4, 168.9, 168.0, 159.3, 148.1, 142.8, 138.3, 129.3 (2C), 128.2 (2C), 127.7 (2C), 127.3, 126.8 (2C), 123.3 (2C), 113.7 (2C), 61.7, 61.5, 57.1, 54.3, 51.9, 45.2, 43.0, 29.3; HR-MS (ESI) m/z: [M + Na]+ calcd for C30H31BN4NaO9 625.2082; found 625.2069.
Methyl (2-(N-(4-methoxybenzyl)cinnamamido)-3-(4-methyl-2,6-dioxotetrahydro-2H-4λ4,8λ4-[1,3,2]oxazaborolo[2,3-b][1,3,2]oxazaborol-8-yl)propanoyl)glycinate (5o): Prepared according to GP-A using α-borylaldehyde 1, 4-methoxybenzylamine 2b, trans cinnamic acid 4a, and methyl isocyanoacetate 3e. Obtained as a brown solid (yield = 38%); 1H-NMR (300 MHz, CD3OD, 8:2 rotameric mixture) δ 7.73–7.51 (m, 2H), 7.48–7.18 (m, 6H), 7.02–6.78 (m, 3H), 5.23 (m, 0.8H), 4.92 (m, 1.2H), 4.72 (d, J = 17.2 Hz, 0.8H), 4.62 (d, J = 14.8 Hz, 0.2H), 4.14 (d, J = 17.1 Hz, 1H), 4.11 (d, J = 16.7 Hz, 1H), 3.98 (d, J = 17.1 Hz, 1H), 3.96 (d, J = 16.7 Hz, 1H), 3.83 (d, J = 12.0 Hz, 2H), 3.74 (s, 3H), 3.69 (s, 3H), 2.98 (s, 2.4H), 2.88 (s, 0.6H), 1.70–1.53 (m, 0.2H), 1.44 (dd, J = 14.4, 8.3 Hz, 0.8H), 1.14 (dd, J = 14.4, 6.6 Hz, 0.8H), 1.05–0.93 (m, 0.2H), (NH missed); 13C-NMR (75 MHz, CD3OD, rotameric mixture) δ 177.4–171.8 (5C), 163.3 and 162.9 (1C), 148.8 and 146.8 (1C), 139.0 and 138.5 (1C), 134.1, 133.9, 133.5, 132.6 and 132.4 (2C), 131.9 and 131.8 (2C), 131.5, 122.4 and 120.7 (1C), 117.9 and 117.7 (2C), 65.9, 65.8, 63.0, 60.9, 58.3, 55.2, 45.6, 44.7, 33.3; HR-MS (ESI) m/z: [M + Na]+ calcd for C28H32BN3NaO9 588.2129; found 588.2114.
Methyl (2-(N-(4-Methoxybenzyl)-4-nitrobenzamido)-3-(4-methyl-2,6-dioxotetrahydro-2H-4λ4,8λ4-[1,3,2]oxazaborolo[2,3-b][1,3,2]oxazaborol-8-yl)propanoyl)glycinate (5p): Prepared according to GP-A using α-borylaldehyde 1, 4-methoxybenzylamine 2b, 4-nitrobenzoic acid 4b, and methyl isocyanoacetate 3d. Obtained as a brown solid (yield = 42%); 1H-NMR (300 MHz, 115 °C, DMSO-d6) δ 8.19 (d, J = 8.2 Hz, 2H), 7.78 (s, 1H), 7.71 (d, J = 8.2 Hz, 2H), 7.25–7.05 (m, 2H), 6.79 (d, J = 7.9 Hz, 2H), 4.82–4.56 (m, 2H), 4.46 (d, J = 15.8 Hz, 1H), 4.17 (d, J = 17.0 Hz, 1H), 4.14 (d, J = 17.1 Hz, 1H), 3.97 (d, J = 17.0 Hz, 1H), 3.95 (d, J = 17.1 Hz, 1H), 3.83 (dd, J = 10.1, 5.5 Hz, 2H), 3.75 (s, 3H), 3.70 (s, 3H), 2.91 (s, 3H), 1.46–1.12 (m, 2H); 13C-NMR (75 MHz, 25 °C, DMSO-d6, rotameric mixture) δ 171.3–168.4 (5C), 158.2 and 157.9 (1C), 147.7 and 147.3 (1C), 143.8 and 143.1 (1C), 130.8, 128.9 (2C), 128.4, 127.6, 123.5 and 123.4 (2C), 113.5 and 113.3 (2C), 61.6 (2C), 59.3, 55.1, 51.8, 49.5, 45.8, 40.9, (B-Cα missed); 11B-NMR (128 MHz, CD3CN) δ 12.17; HR-MS (ESI) m/z: [M + Na]+ calcd for C26H29BN4NaO11 607.1824; found 607.1828.
(2-(N-(4-Bromophenyl)cinnamamido)-3-(tert-butylamino)-3-oxopropyl)boronic acid (6a): Prepared according to GP-B starting from 5a. Obtained as a white solid (yield = 97%); 1H-NMR (400 MHz, 115 °C, DMSO-d6) δ 7.63 (d, J = 8.4 Hz, 2H), 7.51 (d, J = 15.5 Hz, 1H), 7.40–7.28 (m, 7H), 6.92 (s, 1H), 6.26 (d, J = 15.5 Hz, 1H), 5.20 (dd, J = 9.4, 6.1 Hz, 1H), 1.29 (s, 9H), 0.98 (dd, J = 15.2, 9.4 Hz, 1H), 0.78 (dd, J = 15.2, 6.1 Hz, 1H), (BOH missed); 13C-NMR (75 MHz, 25 °C, DMSO-d6, 6:4 rotameric mixture) δ 172.7 and 171.5 (1C), 164.9, 141.6 and 141.1 (1C), 138.6, 134.5, 132.6, 132.0 (2C), 129.9 and 129.8 (1C), 129.0 (3C), 127.7 (2C), 121.5, 119.5 and 119.0 (1C), 58.8 and 56.9 (1C), 51.2 and 50.1 (1C), 28.5 and 28.3 (3C), 19.3; 11B-NMR (128 MHz, CD3CN) δ 32.01; HR-MS (ESI) m/z: [C22H24BrN2O2B(OMe)2 + Na]+ calcd for C24H30BBrN2NaO4 523.1380; found 523.1391.
(3-(tert-butylamino)-2-(N-(4-methoxybenzyl)cinnamamido)-3-oxopropyl)boronic acid (6b): Prepared according to GP-B starting from 5b. Obtained as a white solid (yield = 78%); 1H-NMR (400 MHz, CD3OD) δ 7.74 (d, J = 15.4 Hz, 1H), 7.60–7.55 (m, 2H), 7.41–7.37 (m, 3H), 7.27 (d, J = 8.5 Hz, 2H), 7.11 (d, J = 15.4 Hz, 1H), 6.94 (d, J = 8.5 Hz, 2H), 5.02 (d, J = 16.7 Hz, 1H), 4.70–4.62 (m, 2H), 3.79 (s, 3H), 1.37–1.27 (m, 9H), 1.18–1.14 (m, 1H), 0.88–0.80 (m, 1H), (NH, BOH missed); 13C-NMR (75 MHz, CD3OD) δ 176.0, 169.8, 161.2, 146.1, 136.4, 131.8, 130.5, 130.3 (2C), 129.9 (2C), 129.6 (2C), 118.7, 115.6 (2C), 62.9, 56.1, 53.8, 52.9, 31.1, 28.9 (3C); 11B-NMR (128 MHz, CD3CN) δ 31.55; HR-MS (ESI) m/z: [C24H29N2O3B(OMe)2 + Na]+ calcd for C26H35BN2NaO5 489.2537; found 489.2549.
(3-(tert-Butylamino)-2-(N-(5,5-dimethylhexyl)cinnamamido)-3-oxopropyl)boronic acid (6c): Prepared according to GP-B starting from 5c. Obtained as a white solid (yield = 61%); 1H-NMR (400 MHz, CD3OD) δ 7.75 (d, J = 15.4 Hz, 1H), 7.71–7.59 (m, 2H), 7.44 (m, 3H), 7.11 (d, J = 15.4 Hz, 1H), 4.50 (m, 1H), 3.99–3.72 (m, 1H), 3.53–3.35 (m, 1H), 1.78–1.48 (m, 2H), 1.48–1.11 (m, 15H), 0.90 (s, 9H), (NH, BOH missed); 13C-NMR (75 MHz, CD3OD) δ 171.2, 170.2, 146.2, 134.1, 131.9, 130.4 (2C), 129.7 (2C), 118.2, 63.4, 54.3, 52.3, 45.3, 32.1, 31.0, 30.0 (3C), 29.0 (3C), 23.2, (B-Cα missed); 11B-NMR (128 MHz, CD3CN) δ 30.99; HR-MS (ESI) m/z: [C24H37N2O2B(OMe)2 + Na]+ calcd for C26H43BN2NaO4 481.3214; found 481.3234.
(2-(N-(4-Bromophenyl)-4-nitrobenzamido)-3-(tert-butylamino)-3-oxopropyl)boronic acid (6d): Prepared according to GP-B starting from 5d. Obtained as a white solid (yield = 99%); 1H-NMR (400 MHz, 115 °C, DMSO-d6, 1:1 rotameric mixture) δ 8.12–7.96 (m, 2H), 7.53 (d, J = 8.5 Hz, 1H), 7.48 (d, J = 8.5 Hz, 1H), 7.45–7.38 (m, 2H), 7.28–7.18 (m, 2H), 6.91 (s, 1H), 5.29–5.13 (m, 1H), 1.32 (s, 9H), 1.10 (dd, J = 15.5, 9.0 Hz, 0.5H), 1.04 (dd, J = 14.1, 8.1 Hz, 0.5H), 0.97 (dd, J = 8.1, 5.1 Hz, 0.5H), 0.91 (dd, J = 15.5, 6.8 Hz, 0.5H), (BOH missed); 13C-NMR (75 MHz, 25 °C, DMSO-d6, 2:1 rotameric mixture) δ 170.9, 167.7, 147.4 and 147.2 (1C), 143.4, 138.8, 132.5 (2C), 131.9 and 131.8 (1C), 131.5 (2C), 128.9, 123.1 (2C), 120.8 and 120.7 (1C), 57.7, 50.3, 28.5 and 28.2 (3C), (B-Cα missed); 11B-NMR (128 MHz, CD3CN) δ 31.06; HRMS (ESI) m/z: [C20H21BrN3O4B(OMe)2 + Na]+ calcd for C22H27BBrN3NaO6 542.1074; found 542.1061.
(2-(N-Benzyl-4-nitrobenzamido)-3-(tert-butylamino)-3-oxopropyl)boronic acid (6e): Prepared according to GP-B starting from 5e. Obtained as a white solid (yield = 89%); 1H-NMR (400 MHz, 115 °C, DMSO-d6, 7:3 rotameric mixture) δ 8.27–8.16 (m, 2H), 7.82 (s, 0.3H), 7.67 (d, J = 8.6 Hz, 0.6H), 7.61 (d, J = 8.6 Hz, 1.4H), 7.30–7.16 (m, 5H), 6.59 (s, 0.7H), 4.77 (dd, J = 16.3, 9.2 Hz, 1H), 4.72–4.55 (m, 1H), 4.51 (dd, J = 16.3, 9.2 Hz, 1H), 1.30 (dd, J = 15.5, 6.8 Hz, 1H), 1.24 (s, 9H), 1.13 (dd, J = 15.5, 6.8 Hz, 1H), (BOH missed); 13C-NMR (75 MHz, 25 °C, DMSO-d6, rotameric mixture) δ 171.2–170.2 (2C), 147.6, 143.6, 139.0, 128.0 (2C), 127.7 (2C), 126.8 (2C), 126.3, 123.7 (2C), 59.9 and 59.4 (1C), 50.3 and 50.0 (1C), 46.5, 28.3 (3C), 18.5; HR-MS (ESI) m/z: [C21H24N3O4B(OMe)2 + Na]+ calcd for C23H30BN3NaO6 478.2125; found 478.2104. Anal. calcd for C21H26BN3O6: C, 59.03; H, 6.13; B, 2.53; N, 9.83; O, 22.47; found: C, 59.33; H, 6.25; N, 9.56.
(3-(tert-Butylamino)-2-(N-(5,5-dimethylhexyl)-4-nitrobenzamido)-3-oxopropyl)boronic acid (6f): Prepared according to GP-B starting from 5f. Obtained as a white solid (yield = 95%); 1H-NMR (400 MHz, CD3OD) δ 8.38 (d, J = 8.1 Hz, 2H), 7.69 (d, J = 8.1 Hz, 2H), 4.75–4.63 (m, 1H), 3.43–3.24 (m, 2H), 1.69–1.52 (m, 2H), 1.50–1.23 (m, 12H), 1.14–0.99 (m, 3H), 0.81 (s, 9H), (NH, BOH missed); 13C-NMR (75 MHz, CD3OD) δ 172.0, 171.8, 150.3, 143.7, 129.3 (2C), 125.3 (2C), 61.3, 51.2, 45.1 (2C), 31.9, 31.2, 29.9 (3C), 29.0 (3C), 23.3 (2C); 11B NMR (128 MHz, CD3CN) δ 31.22; HR-MS (ESI) m/z: [C22H34N3O4B(OMe)2 + Na]+ calcd for C24H40BN3NaO6 500.2908; found 500.2924.
(2-(N-(4-Bromophenyl)dec-9-enamido)-3-(tert-butylamino)-3-oxopropyl)boronic acid (6g): Prepared according to GP-B starting from 5g. Obtained as a white solid (yield = 99%); 1H-NMR (400 MHz, 115 °C, DMSO-d6) δ 7.59 (d, J = 8.2 Hz, 2H), 7.25 (d, J = 8.2 Hz, 2H), 7.12 (s, 1H), 5.87–5.73 (m, 1H), 5.09 (dd, J = 9.9, 5.8 Hz, 1H), 4.96 (dd, J = 21.4, 13.7 Hz, 2H), 2.08–1.89 (m, 4H), 1.51–1.42 (m, 2H), 1.37–1.14 (m, 17H), 0.86 (dd, J = 14.9, 9.9 Hz, 1H), 0.66 (dd, J = 14.9, 5.8 Hz, 1H), (BOH missed); 13C-NMR (75 MHz, 25 °C, DMSO-d6, rotameric mixture) δ 172.7 and 172.2 (1C), 172.0 and 171.5 (1C), 139.1, 138.8, 132.4 (2C), 131.9 (2C), 121.3 and 121.1 (1C), 114.6, 56.2, 50.0, 34.2, 33.1, 28.5, 28.4 (3C), 28.3, 28.2, 28.1, 24.8, 17.2; 11B-NMR (128 MHz, CD3CN) δ 31.21; HR-MS (ESI) m/z: [C23H34BrN2O2B(OMe)2 + Na]+ calcd for C25H40BBrN2NaO4 545.2162; found 545.2150.
(3-(tert-Butylamino)-2-(N-(4-methoxybenzyl)dec-9-enamido)-3-oxopropyl)boronic acid (6h): Prepared according to GP-B starting from 5h. Obtained as a white solid (yield = 74%); 1H-NMR (400 MHz, CD3OD, 8:2 rotameric mixture) δ 7.22 (d, J = 8.2 Hz, 2H), 6.95 (d, J = 8.2 Hz, 2H), 5.91–5.73 (m, 1H), 5.06–4.88 (m, 2H), 4.76 (d, J = 16.7 Hz, 1H), 4.57–4.45 (m, 2H), 3.80 (s, 3H), 2.61–2.41 (m, 2H), 2.12–1.96 (m, 2H), 1.79–1.52 (m, 2H), 1.52–1.18 (m, 17H), 1.10 (dd, J = 14.0 Hz, 1H), 0.79 (dd, J = 14.0 Hz, 1H), (NH, BOH missed); 13C-NMR (75 MHz, CD3OD) δ 179.5, 177.9, 163.4, 142.6, 134.8, 132.2, and 131.91 (2C), 117.9 (2C), 117.3, 64.4, 58.3, 55.7, 55.0, 37.3(2C), 33.3–32.5 (4C), 31.1 (3C), 28.9 (2C); 11B-NMR (128 MHz, CD3CN) δ 31.54; HR-MS (ESI) m/z: [C25H39N2O3B(OMe)2 + Na]+ calcd for C27H45BN2NaO5 511.3319; found 511.3334.
(3-(tert-Butylamino)-2-(N-(5,5-dimethylhexyl)dec-9-enamido)-3-oxopropyl)boronic acid (6i): Prepared according to GP-B starting from 5i. Obtained as a white solid (yield = 99%); 1H-NMR (400 MHz, 115 °C, DMSO-d6) δ 7.11 (s, 1H), 5.90–5.73 (m, 1H), 4.97 (dd, J = 23.7, 13.7 Hz, 2H), 4.80–4.53 (m, 1H), 3.34–3.17 (m, 2H), 2.32 (t, J = 6.6 Hz, 2H), 2.04 (d, J = 6.3 Hz, 2H), 1.63–1.43 (m, 6H), 1.43–1.11 (m, 20H), 0.88 (s, 9H), 0.79 (m, 1H), (BOH missed); 13C-NMR (75 MHz, 25 °C, CD3OD) δ 173.1, 172.3, 138.9, 114.7, 57.6, and 55.1 (1C), 44.6, 43.3 (2C), 33.2 (2C), 32.6 (2C), 30.7 (1C) 30.0 (1C), 29.2 (3C), 28.7 (2C), 28.3 (3C), 25.1 and 24.8 (2C), 22.1 and 21.7 (1C); 11B-NMR (128 MHz, CD3CN) δ 31.19; HR-MS (ESI) m/z: [C25H47N2O2B(OMe)2 + Na]+ calcd for C27H53BN2NaO4 503.3996; found 503.4006.
(3-(Cyclohexylamino)-2-(N-(4-methoxybenzyl)cinnamamido)-3-oxopropyl)boronic acid (6j): Prepared according to GP-B starting from 5j. Obtained as a white solid (yield = 83%); 1H-NMR (400 MHz, 115 °C, DMSO-d6, 6:4 rotameric mixture) δ 7.65 (d, J = 7.1 Hz, 1H), 7.58–7.46 (m, 3H), 7.43 (d, J = 7.1 Hz, 1H), 7.39–7.29 (m, 2H), 7.24–7.13 (m, 2H), 6.96–6.79 (m, 2H), 5.18–5.12 (m, 0.4H), 4.84 (d, J = 17.6 Hz, 0.6H), 4.77–4.69 (m, 0.6H), 4.62 (d, J = 15.2 Hz, 0.4H), 4.56 (d, J = 17.6 Hz, 0.6H), 4.49 (d, J = 15.2 Hz, 0.4H), 3.70 (s, 3H), 3.48–3.37 (m, 1H), 1.64–1.44 (m, 4H), 1.32 (dd, J = 15.2 Hz, 1H), 1.25–1.00 (m, 6H), 0.85 (dd, J = 15.2, 5.9 Hz, 0.5H), 0.77 (dd, J = 15.2, 5.9 Hz, 0.5H), (NH, BOH missed); 13C-NMR (75 MHz, 25 °C, DMSO-d6, 6:4 rotameric mixture) δ 170.5 and 169.9 (1C), 166.5 and 166.2 (1C), 158.1 and 158.0 (1C), 141.4, 135.0, and 135.0 (1C), 131.3 and 131.2 (2C), 129.6, 128.8 (3C), 127.8 (2C), 127.6, 119.6, 113.8, 113.5, 55.5, 55.0, 47.8, and 47.6 (1C), 47.1, 32.1 (2C), 29.0, 25.2, 24.3 (2C); 11B-NMR (128 MHz, CD3CN) δ 31.40; HR-MS (ESI) m/z: [C26H32N2O4B(OMe) + Na]+ calcd for C27H35BN2NaO5 501.2537; found 501.2549.
(3-(Cyclohexylamino)-2-(N-(4-methoxybenzyl)-4-nitrobenzamido)-3-oxopropyl)boronic acid (6k): Prepared according to GP-B starting from 5k. Obtained as a white solid (yield = 66%); 1H-NMR (400 MHz, CD3OD, 6:4 rotameric mixture) δ 8.45–8.25 (m, 2H), 7.70 (d, J = 8.0 Hz, 2H), 7.31 (d, J = 7.4 Hz, 1H), 7.09 (d, J = 7.4 Hz, 1H), 6.94–6.76 (m, 2H), 5.27 (d, J = 16.2 Hz, 0.4H), 4.79–4.64 (m, 0.6H), 4.64–4.50 (m, 1.2H), 4.46 (d, J = 16.2 Hz, 0.4H), 4.41–4.29 (m, 0.4H), 3.81 (s, 1.2H), 3.78 (s, 1.8H), 3.71–3.48 (m, 1H), 1.93–1.70 (m, 4H), 1.70–1.54 (m, 2H), 1.47–1.05 (m, 5H), 1.05–0.74 (m, 1H), (NH, BOH missed); 13C NMR (75 MHz, CD3OD, 6:4 rotameric mixture) δ 174.0 and 173.6 (1C), 169.6 and 169.5 (1C), 161.3 and 160.7 (1C), 150.2, 144.4 and 143.6 (1C), 132.2, 130.5, 130.1, 129.5, 129.1, 125.2 (2C), 115.5, 115.2, 61.4, and 60.8 (1C), 56.0, 54.2, 51.6, and 50.6 (1C), 33.8 (2C), 31.0, 26.8, 26.3 (2C); 11B-NMR (128 MHz, CD3CN) δ 31.58; HR-MS (ESI) m/z: [C24H28N3O5B(OMe)2 + Na]+ calcd for C26H34BN3NaO7 534.2388; found 534.2373.
(2-(N-(4-Methoxybenzyl)cinnamamido)-3-oxo-3-(pentylamino)propyl)boronic acid (6l): Prepared according to GP-B starting from 5l. Obtained as a white solid (yield = 99%); 1H-NMR (400 MHz, DMSO-d6, rotameric mixture) δ 7.62–7.26 (m, 7H), 7.18 (d, J = 7.7 Hz, 2H), 6.88 (m, 3H), 5.29–5.07 (m, 0.6H), 4.82 (d, J = 17.2 Hz, 0.6H), 4.79–4.73 (m, 0.4H), 4.70 (d, J = 17.2 Hz, 0.2H), 4.55 (t, J = 8.1 Hz, 1.2H), 3.72 (s, 3H), 3.16–2.85 (m, 2H), 1.53–0.99 (m, 6H), 0.99–0.61 (m, 5H), (BOH missed); 13C-NMR (75 MHz, DMSO-d6, rotameric mixture) δ 171.3 and 170.9 (1C), 166.4 and 165.1 (1C), 158.5 and 158.1 (1C), 141.8 and 141.1 (1C), 135.3 and 135.0 (1C), 131.1 and 130.3 (1C), 129.6, 128.8 (2C), 128.4, 128.0 and 127.8 (2C), 127.5, 119.6 and 118.7 (1C), 113.9 and 113.4 (2C), 55.6, 55.0, 47.3, 28.6 (3C), 21.9, 15.7, 13.9; 11B NMR (128 MHz, CD3CN) δ 31.20; HR-MS (ESI) m/z: [C25H31N2O3B(OMe)2 + Na]+ calcd for C27H37BN2NaO5 503.2693; found 503.2704.
(2-(N-(4-Methoxybenzyl)-4-nitrobenzamido)-3-oxo-3-(pentylamino)propyl)boronic acid (6m): Prepared according to GP-B starting from 5m. Obtained as a white solid (yield = 64%); 1H-NMR (400 MHz, CD3OD, 6:4 rotameric mixture) δ 8.41–8.26 (m, 2H), 7.74 (d, J = 7.2 Hz, 2H), 7.31 (d, J = 7.2 Hz, 1H), 7.12 (d, J = 7.2 Hz, 1H), 6.94–6.82 (m, 2H), 5.26 (d, J = 15.7 Hz, 0.4H), 4.73–4.65 (m, 0.5H), 4.55 (dd, J = 15.7 Hz, 1.2H), 4.45–4.41 (m, 0.5H), 4.37 (d, J = 15.8 Hz, 0.4H), 3.81 (s, 1.3H), 3.78 (s, 1.7H), 3.28–3.21 (m, 1.1H), 3.19–3.08 (m, 0.9H), 1.61–1.42 (m, 2H), 1.42–1.22 (m, 6H), 0.96–0.90 (m, 3H), (NH, BOH missed); 13C-NMR (101 MHz, CD3OD, rotameric mixture) δ 176.1, 173.4, 162.5, 149.2, 143.2, 136.0, 129.2 (2C), 128.3 (2C), 124.0 (2C), 114.4 (2C), 61.6 and 61.0 (1C), 55.1, 54.5, 40.3, 29.9, 29.4, 29.2, 22.6. (B-Cα missed); 11B-NMR (128 MHz, CD3CN) δ 31.59; HR-MS (ESI) m/z: [C23H28N3O5B(OMe)2 + Na]+ calcd for C25H34BN3NaO7 522.2388; found 522.2401.
(3-(Benzylamino)-2-(N-(4-methoxybenzyl)-4-nitrobenzamido)-3-oxopropyl)boronic acid (6n): Prepared according to GP-B starting from 5n. Obtained as a white solid (yield = 97%); 1H-NMR (400 MHz, CD3OD) δ 8.31–8.17 (m, 2H), 7.64 (d, J = 5.9 Hz, 2H), 7.41–7.23 (m, 6H), 7.06 (d, J = 7.3 Hz, 1H), 6.91 (d, J = 7.7 Hz, 1H), 6.81 (d, J = 7.3 Hz, 1H), 4.62–4.21 (m, 5H), 3.81 (s, 3H), 1.44–1.19 (m, 2H), (NH, BOH missed); 13C-NMR (75 MHz, CD3OD) δ 169.8, 169.4, 167.0, 158.9, 150.1, 142.8, 138.2, 130.3, 130.2, 129.9 (2C), 129.1 (2C), 128.7 (2C), 125.1 (3C), 115.4, 115.3, 61.6, 56.1, 53.7, 44.6, 31.0; 11B-NMR (128 MHz, CD3CN) δ 30.99; HR-MS (ESI) m/z: [C25H24N3O5B(OMe)2 + Na]+ calcd for C27H30BN3NaO7 542.2075; found 542.2058.
(3-((2-Methoxy-2-oxoethyl)amino)-2-(N-(4-methoxybenzyl)cinnamamido)-3-oxopropyl)boronic acid (6o): Prepared according to GP-B starting from 5o. Obtained as a brown solid (yield = 99%); 1H-NMR (400 MHz, CD3OD) δ 7.79 (d, J = 15.3 Hz, 1H), 7.59–7.53 (m, 2H), 7.43–7.34 (m, 3H), 7.26 (d, J = 8.2 Hz, 2H), 7.08 (d, J = 15.3 Hz, 1H), 6.94 (d, J = 8.2 Hz, 2H), 5.03–4.93 (m, 2H), 4.74 (d, J = 17.2 Hz, 1H), 3.95 (d, J = 9.4 Hz, 2H), 3.79 (s, 3H), 3.75 (s, 3H), 1.03–0.86 (m, 2H), (NH, BOH missed); 13C-NMR (75 MHz, CD3OD) δ 175.2, 171.9, 170.5, 161.1, 146.5, 136.3, 131.8, 130.3 (2C), 129.6 (2C), 129.5 (2C), 128.6, 118.6, 115.6 (2C), 60.6, 56.0, 52.9, 51.9, 42.4, 31.0; 11B-NMR (128 MHz, CD3CN) δ 31.50; HR-MS (ESI) m/z: [C23H25N2O5B(OMe)2 + Na]+ calcd for C25H31BN2NaO7 505.2122; found 505.2135.
(3-((2-Methoxy-2-oxoethyl)amino)-2-(N-(4-methoxybenzyl)-4-nitrobenzamido)-3-oxopropyl)boronic acid (6p): Prepared according to GP-B starting from 5p. Obtained as a brown solid (yield = 91%); 1H-NMR (400 MHz, CD3OD, rotameric mixture) δ 8.44–8.22 (m, 2H), 7.91–7.64 (m, 2H), 7.46–6.75 (m, 4H), 5.38 (d, J = 14.8 Hz, 0.3H), 5.22–4.97 (m, 0.4H), 4.74–4.64 (m, 0.3H), 4.64–4.44 (m, 1.3H), 4.41–4.31 (m, 0.7H), 4.02–3.89 (m, 2H), 3.78 (s, 3H), 3.77 (s, 3H), 1.71–1.48 (m, 1H), 1.48–1.25 (m, 1H), (NH, BOH missed); 13C-NMR (101 MHz, CD3OD, rotameric mixture) δ 172.6, 171.8, 170.9, 159.7, 149.1, 143.2, and 142.9 (1C), 131.2, 129.3, and 129.1 (2C), 128.4 (2C), 124.0 (2C), 114.2 (2C), 60.6, 55.0, 52.0, 42.6, 41.2, 30.0; 11B NMR (128 MHz, CD3CN) δ 31.57; HR-MS (ESI) m/z: [C21H22N3O7B(OMe)2 + Na]+ calcd for C23H28BN3NaO9 524.1816; found 524.1827.
N-(tert-Butyl)-3-(4-methyl-2,6-dioxotetrahydro-2H-4λ4,8λ4-[1,3,2]oxazaborolo[2,3-b][1,3,2]oxazaborol-8-yl)-2-(2-oxoazetidin-1-yl)propenamide (8a): Prepared according to GP-C using α-borylaldehyde 1, β-alanine 7a and tert-butyl isocyanide 3a. Obtained as a white solid (yield = 72%); 1H-NMR (400 MHz, CD3OD) δ 4.35 (dd, J = 9.1, 6.2 Hz, 1H)), 4.18 (d, J = 17.1 Hz, 1H), 4.17 (d, J = 16.9 Hz, 1H), 4.02 (d, J = 17.1 Hz, 1H), 3.99 (d, J = 16.9 Hz, 1H), 3.47 (dd, J = 8.4, 4.9 Hz, 1H), 3.41 (dd, J = 8.4, 4.9 Hz, 1H), 3.01 (s, 3H), 2.94–2.86 (m, 2H), 1.36 (s, 9H), 1.22 (dd, J = 14.4, 9.1 Hz, 1H), 1.13 (dd, J = 14.4, 6.2 Hz, 1H), (NH missed); 13C-NMR (101 MHz, CD3OD) δ 171.8 and 171.7 (1C), 169.9, 169.5 (2C), 62.3 and 62.2 (2C), 54.3, 53.8, 51.5, 38.4, 35.3, 30.0, 28.1 (3C); 11B-NMR (128 MHz, CD3CN) δ 12.15; HR-MS (ESI) m/z: [M + Na]+ calcd for C15H24BN3NaO6 376.1656; found 376.1647.
N-(tert-Butyl)-3-(4-methyl-2,6-dioxotetrahydro-2H-4λ4,8λ4-[1,3,2]oxazaborolo[2,3-b][1,3,2]oxazaborol-8-yl)-2-((S)-2-oxo-4-phenylazetidin-1-yl)propenamide (8b): Prepared according to GP-C using α-borylaldehyde 1, S-β-phenylalanine 7b and tert-butyl isocyanide 3a. Obtained as a white solid (yield = 36%); 1H-NMR (400 MHz, CD3OD, 3:2 diasteroisomeric mixture, presence of rotamers) δ 7.58–7.15 (m, 5H), 4.86 (dd, J = 5.3, 2.3 Hz, 0.1H), 4.78 (dd, J = 5.3, 2.3 Hz, 0.3H), 4.70 (ddd, J = 10.8, 5.3, 2.3 Hz, 0.6H), 4.32–4.28 (m, 0.2H), 4.18–4.11 (m, 2.6H), 4.02–3.94 (m, 2H), 3.87–3.83 (m, 0.2H), 3.44–3.35 (m, 1H), 3.00 (s, 1.8H), 2.99 (s, 1.2H), 2.83–2.75 (m, 1H), 1.55–1.06 (m, 11H), (NH missed); 13C-NMR (75 MHz, CD3OD, 3:2 diasteroisomeric mixture, presence of rotamers) δ 173.2–170.5 (4C), 140.6 and 140.4 (1C), 130.2 (2C), 129.9 and 129.7 (1C), 128.3 (2C), 63.5, 63.4, and 63.3 (1C), 57.3–57.0 (1C), 47.3 and 46.2 (1C), 46.9 and 46.7 (1C), 32.1, 31.0, 29.1, and 29.0 (3C), 24.0; HR-MS (ESI) m/z: [M + Na]+ calcd for C21H28BN3NaO6 452.1969; found 452.1985.
Methyl (2S)-1-(1-(tert-butylamino)-3-(4-methyl-2,6-dioxotetrahydro -2H-4λ4,8λ4-[1,3,2]oxazaborolo[2,3-b][1,3,2]oxazaborol-8-yl)-1-oxopropan-2-yl)-4-oxoazetidine-2-carboxylate (8c): Prepared according to GP-C using α-borylaldehyde1, (3S)-3-ammonio-4-methoxy-4- oxobutanoate 7c and tert-butyl isocyanide 3a. Obtained as a white solid (yield = 52%); 1H-NMR (400 MHz, 115 °C, DMSO-d6, 1:1 diasteroisomeric mixture) δ 7.71 (s, 0.5H), 7.56 (s, 0.5H), 4.38–4.33 (m, 0.5H), 4.21–4.13 (m, 3H), 4.06–3.94 (m, 2.5H), 3.72 (s, 1.5H), 3.61 (s, 1.5H), 3.12 (dd, J = 14.2, 5.8 Hz, 1H), 2.91 (s, 1.5H), 2.89 (s, 1.5H), 2.78 (dd, J = 14.2, 2.0 Hz, 1H), 1.26 (s, 4.5H), 1.22 (s, 4.5H), 1.15 (d, J = 8.1 Hz, 0.5H), 1.10–0.99 (m, 1H), 0.93 (dd, J = 14.6, 8.1 Hz, 0.5H); 13C-NMR (75 MHz, 25 °C, DMSO-d6, 1:1 diasteroisomeric mixture) δ 172.1 and 171.3 (1C), 169.0, 168.8, 168.6, 165.8, and 165.0 (1C), 61.8 (2C), 55.2 and 52.3 (1C), 52.1 and 51.7 (1C), 51.0 and 49.0 (1C), 50.2 and 50.1 (1C), 45.7, 41.4, and 40.8 (1C), 29.0, 28.3 (3C); HR-MS (ESI) m/z: [M + Na]+ calcd for C17H26BN3NaO8 434.1711; found 434.1723.
(3-(tert-Butylamino)-3-oxo-2-(2-oxoazetidin-1-yl)propyl)boronic acid (9a): Prepared according to GP-B starting from 8a. Obtained as a white solid (yield = 99%); 1H-NMR (400 MHz, CD3OD) δ 4.35 (t, J = 7.8 Hz, 1H, CH), 3.41–3.30 (m, 2H, CH2-N), 2.92–2.86 (m, 2H, CH2-CO), 1.35 (s, 9H, tert-Bu), 1.21 (dd, J = 15.7, 7.8 Hz, 2H, CH2-B), (NH, BOH missed); 13C-NMR (101 MHz, CD3OD) δ 172.1 (CO), 169.3 (CO), 54.3 (CH-N), 51.7 ((CH3)3C-N), 38.1 (CH2-N), 35.3 (CH2-CO), 30.0 (CH2-B), 28.0 (3C, (CH3)3C); 11B-NMR (128 MHz, CD3OD) δ 28.84; HR-MS (ESI) m/z: [M + Na]+ calcd for C10H19BN2NaO4 265.1336; found 265.1357.
(3-(tert-Butylamino)-3-oxo-2-((S)-2-oxo-4-phenylazetidin-1-yl)propyl)boronic acid (9b): Prepared according to GP-B starting from 8b. Obtained as a white solid (yield = 99%); 1H-NMR (400 MHz, 115 °C, DMSO-d6, 6:4 diastereoisomeric mixture) δ 7.48–7.26 (m, 5H, Ph), 6.87 (s, 0.4H, NH), 6.71 (s, 0.6H, NH), 4.83–4.75 (m, 0.4H, CH-Ph), 4.72–4.62 (m, 0.6H, CH-Ph), 4.12–3.99 (m, 1H, CH), 3.28 (dd, J = 14.5, 5.4 Hz, 1H, CH-CO), 2.74–2.63 (m, 1H, CH-CO), 1.44–1.11 (m, 10H, tert-Bu, CH-B), 0.98 (d, J = 7.4 Hz, 1H, CH-B), (BOH missed); 13C-NMR (75 MHz, 25 °C, DMSO-d6, 6:4 diastereoisomeric mixture) δ 170.6 and 169.9 (1C, CO), 167.5 and 167.1 (1C, CO), 140.3 and 139.6 (1C, C(Ph)), 128.6 (2C, CH(Ph)), 127.9 (CH(Ph)), 126.6 (2C, CH(Ph)), 54.8–52.9 (1C, CH-N), 50.1 ((CH3)3C-N), 45.7 (CH2-CO), 31.6–29.5 (1C, CH-Ph), 29.0 (CH2-B), 28.4 and 28.2 (3C, (CH3)3C); 11B-NMR (128 MHz, CD3CN) δ 31.09; HR-MS (ESI) m/z: [C16H21N2O2B(OMe)2 + Na]+ calcd for C18H27BN2NaO4 369.1962; found 369.1970.
(3-(tert-Butylamino)-2-((S)-2-(methoxycarbonyl)-4-oxoazetidin-1-yl)-3-oxopropyl)boronic acid (9c): Prepared according to GP-B starting from 8c. Obtained as a white solid (yield = 99%); 1H-NMR (400 MHz, CD3OD, 1:2 diastereoisomeric mixture) δ 4.42-4.21 (m, 2H, CH-N, CH-CO2), 3.83 and 3.80 (s, 3H, OCH3), 3.23 (dd, J = 14.4, 5.6 Hz, 1H, CH-CO), 2.94 (q, J = 14.4, 11.8 Hz, 1H, CH-CO), 1.47–1.21 (m, 11H, tert-Bu, CH2-B), (NH, BOH missed); 13C-NMR (75 MHz, CD3OD, 1:2 diastereoisomeric mixture) δ 173.6 (CO2), 172.8 (CO), 169.5 (CO), 57.4 and 55.9 (1C, CH-N), 53.4 and 53.2 (1C, CH-CO2), 52.8 ((CH3)3C-N), 51.8 (CH3O), 42.3 (CH2-CO), 31.0 (CH2-B), 29.0 (3C, (CH3)3C); 11B-NMR (128 MHz, CD3CN) δ 31.24; HR-MS (ESI) m/z: [C12H19N2O4B(OMe)2+Na]+ calcd for C14H25BN2NaO6 351.1703; found 351.1724.
8-((1-(Cyclohexylmethyl)-1H-imidazol-5-yl) methyl)-4-methyldihydro-4λ4,8λ4-[1,3,2]oxazaborolo[2,3-b][1,3,2]oxazaborole-2,6(3H,5H)-dione (10): Prepared according to GP-D. Obtained as a brown solid (yield = 32%); 1H-NMR (300 MHz, (CD3)2CO) δ 7.65 (s, 1H, CH(Im)), 6.81 (s, 1H, CH(Im)), 4.27 (d, J = 16.9 Hz, 2H, CH2-N(MIDA)), 4.05 (d, J = 16.9 Hz, 2H, CH2-N(MIDA)), 3.88 (d, J = 7.4 Hz, 2H, CH2-N(Im)), 3.18 (s, 3H, N-CH3), 1.88–1.52 (m, 9H, CH and 4 CH2(Cy)), 1.26–1.15 (m, 2H, CH2(Cy)), 1.12–0.93 (m, 2H, CH2-B); 13C-NMR (101 MHz, CD3OD) δ 169.4 (2C, CO2), 130.7 (CH(Im)), 129.3 (C(Im)), 118.1 (CH(Im)), 61.5 (2C, CH2-N (MIDA)), 52.4 and 52.1 (1C, CH2-N), 42.2 (CH3-N (MIDA)), 38.5 (CH(Cy)), 30.5 (2C, CH2(Cy)), 30.0 (CH2(Cy)), 26.5 (CH2(Cy)), 25.9 (2C, CH2(Cy), CH2-B); HR-MS (ESI) m/z: [M + H]+ calcd for C16H25BN3O4 334.1938; found 334.1927.
Single crystal X-ray diffraction analysis of compounds 5a and 6d: Single crystals of 5a and 6d were obtained by slow evaporation from the mother liquor. All X-ray data collections were performed at room temperature with a Bruker AXS Smart 3-circle diffractometer equipped with an APEX-II CCD detector. Graphite–monochromated Mo Kα radiation (λ = 0.71073 Å) at a nominal power of 50 kV × 30 mA of the sealed X-ray tube was employed. Highly-redundant ω-scans (Δω = 0.25 deg) at variable φ angles were performed, resulting in 100% complete spheres of data up to 2θ = 46.5 deg (5a) and 2θ = 52.7 deg (6d). Diffraction patterns were corrected by absorption and beam anisotropy using SADABS [31], and then phased by direct methods with Shelx [32]. Both compounds crystallized in centrosymmetric space groups (5a: P21/c; 6d: P 1 ¯ ) as 1:1 racemates. The interested reader can find full details of the diffraction analysis in the Supporting Information.

4.6. In Vitro Antibacterial Susceptibility Assays

The potential of each molecule described herein to increase the activity of a β-lactam antibiotic was investigated using recombinant isogenic E. coli strains producing different types of β-lactamases, including the class A ESBL CTX-M-15 and the KPC-2 carbapenemase, the Enterobacter cloacae AmpC enzyme, the plasmid-encoded class C CMY-2, and several OXA-typ enzymes (OXA-10 and the carbapenemases OXA-23, OXA-40, and OXA-48). The β-lactamase genes were cloned in the pLB-II vector as previously described [33], and subsequently used to transform E. coli DH5α. In addition, clinical isolates present in our collection of antibiotic-resistant clinical isolates were also tested. Minimal inhibitory concentrations (MICs) of ampicillin, imipenem, and cefepime were determined in triplicate by the broth microdilution method in Mueller-Hinton broth, according to the Clinical Laboratory Standards Institute guidelines [34], in the absence and presence of 16 or 32 μg/mL of the tested compound. Plates were incubated aerobically at 35 ± 1 °C for 18–24 h before reading.

4.7. Molecular Modeling Studies, Model System, and MD Setup

The OXA-23/Mer complex computational model was built taking into account the crystal structures acquired at different pH values (Protein Data Bank entries 4JF4 and 4JF6) [35,36], as reported on our previous paper in which the meropenem hydrolysis mechanism was predicted by QM/MM simulations [37]. Here, the previously optimized OXA-23 model was fully solvated without the presence of meropenem into the catalytic site, in order to be ready for the covalent docking of the compound under investigation. The TIP3P [38] model was employed to describe the solvent molecules’ effect, and the OPLS3e force fields [39] were applied to simulate the enzyme atoms. The neutrality of the system was ensured by adding two sodium ions; in fact, after the calculation of the enzyme charge, the “protein preparation tool” of Maestro inserted the sodium ions on the protein surface where the negative charge was the highest. Then, MD simulations were accomplished by performing the following steps: (1) 100 ps of Brownian dynamics under isocore conditions (NVT) at a temperature of 10 K, restraining the enzyme heavy atoms; (2) 12 ps long MD simulations NVT, at the same temperature, while restraining the solute heavy atoms; (3) 12 ps long MD simulations in an isothermal–isobaric ensemble (NPT) at a temperature of 10 K, with restraints on the solute heavy atoms; (4) 24 ps of MD simulations in NPT conditions with no restraints; (5) 250 ns long MD simulations in NPT conditions. Finally, by visual inspection with VMD, [40] we ensured that the thermalization and the MD simulations did not cause any structural distortion.

4.8. Covalent Docking

The structure of compound 6e was drawn by the “build” tool of Maestro software and prepared for docking by the LigPrep module of Maestro (2019-4 release). This tool generates both enantiomers of the ligand, checks and corrects any geometrical distortions, assigns the OPLS3e force field to the atoms, and performs the energy minimization of the ligand model. Covalent docking on Ser79 residue of OXA-23 was performed by “CovDock” module of Glide [41]. The default parameters of docking were adopted for this calculation in which the boronic acid’s electrophile attack on the reactive residue Ser79 was simulated. The attained docking results highlighted that the R enantiomer of compound 6e acquired the highest score. Thus, the complex composed by the docking solution with the highest score in the catalytic site of OXA-23 was submitted to geometrical optimization and MD simulations, following the protocol previously adopted for the OXA-23 model. Finally, the MD trajectory was carefully analyzed by the “simulation interactions diagram” module of Maestro software, in order to evaluate the stability of the ligand binding pose in the catalytic site of the β-lactamase.

Supplementary Materials

The following are available at https://www.mdpi.com/2079-6382/9/5/249/s1. 1H and 13C-NMR spectra of all products; 11B-NMR spectra of compounds 6ap, 9ac; Single crystal X-ray diffraction analysis of compounds 5a and 6d.

Author Contributions

Conceptualization and supervision, G.G. and A.S.; investigation, E.B., S.G., F.S., L.L.P., J.S.; writing—original draft preparation, J.-D.D., G.G., A.S.; writing review and editing: All authors. All authors have read and agreed to the published version of the manuscript.

Funding

This research was supported by internal funds of the University of Milan.

Conflicts of Interest

The authors declare no conflict of interest.

References

  1. Marvin Antonio, S.-U. Chemico-Biological Activity and Medicinal Chemistry of Boron-Containing Compounds. Curr. Med. Chem. 2019, 26, 5003–5004. [Google Scholar] [CrossRef]
  2. Ban, H.S.; Nakamura, H. Boron-Based Drug Design. Chem. Rec. 2015, 15, 616–635. [Google Scholar] [CrossRef] [PubMed]
  3. Smoum, R.; Rubinstein, A.; Dembitsky, V.M.; Srebnik, M. Boron containing compounds as protease inhibitors. Chem. Rev. 2012, 112, 4156–4220. [Google Scholar] [CrossRef] [PubMed]
  4. Fernandes, G.F.S.; Denny, W.A.; Dos Santos, J.L. Boron in drug design: Recent advances in the development of new therapeutic agents. Eur. J. Med. Chem. 2019, 179, 791–804. [Google Scholar] [CrossRef] [PubMed]
  5. Zhou, J.; Stapleton, P.; Haider, S.; Healy, J. Boronic acid inhibitors of the class A beta-lactamase KPC-2. Bioorg. Med. Chem. 2018, 26, 2921–2927. [Google Scholar] [CrossRef] [PubMed]
  6. Rojas, L.J.; Taracila, M.A.; Papp-Wallace, K.M.; Bethel, C.R.; Caselli, E.; Romagnoli, C.; Winkler, M.L.; Spellberg, B.; Prati, F.; Bonomo, R.A. Boronic Acid Transition State Inhibitors Active against KPC and Other Class A beta-Lactamases: Structure-Activity Relationships as a Guide to Inhibitor Design. Antimicrob. Agents Chemother. 2016, 60, 1751–1759. [Google Scholar] [CrossRef]
  7. Hamrick, J.C.; Docquier, J.D.; Uehara, T.; Myers, C.L.; Six, D.A.; Chatwin, C.L.; John, K.J.; Vernacchio, S.F.; Cusick, S.M.; Trout, R.E.L.; et al. VNRX-5133 (Taniborbactam), a Broad-Spectrum Inhibitor of Serine- and Metallo-beta-Lactamases, Restores Activity of Cefepime in Enterobacterales and Pseudomonas aeruginosa. Antimicrob. Agents Chemother. 2020, 64. [Google Scholar] [CrossRef]
  8. Lopez, A.; Clark, T.B.; Parra, A.; Tortosa, M. Copper-Catalyzed Enantioselective Synthesis of beta-Boron beta-Amino Esters. Org. Lett. 2017, 19, 6272–6275. [Google Scholar] [CrossRef]
  9. Andrés, P.; Ballano, G.; Calaza, M.I.; Cativiela, C. Synthesis of α-aminoboronic acids. Chem. Soc. Rev. 2016, 45, 2291–2307. [Google Scholar] [CrossRef]
  10. Diaz, D.B.; Scully, C.C.; Liew, S.K.; Adachi, S.; Trinchera, P.; St Denis, J.D.; Yudin, A.K. Synthesis of Aminoboronic Acid Derivatives from Amines and Amphoteric Boryl Carbonyl Compounds. Angew Chem. Int. Ed. Engl. 2016, 55, 12659–12663. [Google Scholar] [CrossRef]
  11. He, Z.; Yudin, A.K. Amphoteric alpha-boryl aldehydes. J. Am. Chem. Soc. 2011, 133, 13770–13773. [Google Scholar] [CrossRef] [PubMed]
  12. Tan, J.; Cognetta, A.B., III; Diaz, D.B.; Lum, K.M.; Adachi, S.; Kundu, S.; Cravatt, B.F.; Yudin, A.K. Multicomponent mapping of boron chemotypes furnishes selective enzyme inhibitors. Nat. Commun. 2017, 8, 1760. [Google Scholar] [CrossRef] [PubMed]
  13. Adachi, S.; Cognetta, A.B., 3rd; Niphakis, M.J.; He, Z.; Zajdlik, A.; St Denis, J.D.; Scully, C.C.; Cravatt, B.F.; Yudin, A.K. Facile synthesis of borofragments and their evaluation in activity-based protein profiling. Chem. Commun. 2015, 51, 3608–3611. [Google Scholar] [CrossRef] [PubMed]
  14. Šterman, A.; Sosič, I.; Gobec, S.; Časar, Z. Synthesis of aminoboronic acid derivatives: An update on recent advances. Org. Chem. Front. 2019, 6, 2991–2998. [Google Scholar] [CrossRef]
  15. Kaldas, S.J.; Rogova, T.; Nenajdenko, V.G.; Yudin, A.K. Modular Synthesis of beta-Amino Boronate Peptidomimetics. J. Org. Chem. 2018, 83, 7296–7302. [Google Scholar] [CrossRef]
  16. Herrera, R.P.; Marqués-López, E. Multicomponent Reactions: Concepts and Applications for Design and Synthesis, 1st ed.; Wiley: Hoboken, NJ, USA, 2015. [Google Scholar]
  17. Rainoldi, G.; Begnini, F.; de Munnik, M.; Lo Presti, L.; Vande Velde, C.M.L.; Orru, R.; Lesma, G.; Ruijter, E.; Silvani, A. Sequential Multicomponent Strategy for the Diastereoselective Synthesis of Densely Functionalized Spirooxindole-Fused Thiazolidines. ACS Comb. Sci. 2018, 20, 98–105. [Google Scholar] [CrossRef]
  18. Lesma, G.; Meneghetti, F.; Sacchetti, A.; Stucchi, M.; Silvani, A. Asymmetric Ugi 3CR on isatin-derived ketimine: Synthesis of chiral 3, 3-disubstituted 3-aminooxindole derivatives. Beilstein J. Org. Chem. 2014, 10, 1383–1389. [Google Scholar] [CrossRef]
  19. Stucchi, M.; Gmeiner, P.; Huebner, H.; Rainoldi, G.; Sacchetti, A.; Silvani, A.; Lesma, G. Multicomponent Synthesis and Biological Evaluation of a Piperazine-Based Dopamine Receptor Ligand Library. ACS Med. Chem. Lett. 2015, 6, 882–887. [Google Scholar] [CrossRef]
  20. Stucchi, M.; Cairati, S.; Cetin-Atalay, R.; Christodoulou, M.S.; Grazioso, G.; Pescitelli, G.; Silvani, A.; Yildirim, D.C.; Lesma, G. Application of the Ugi reaction with multiple amino acid-derived components: Synthesis and conformational evaluation of piperazine-based minimalist peptidomimetics. Org. Biomol. Chem. 2015, 13, 4993–5005. [Google Scholar] [CrossRef]
  21. Lesma, G.; Cecchi, R.; Crippa, S.; Giovanelli, P.; Meneghetti, F.; Musolino, M.; Sacchetti, A.; Silvani, A. Ugi 4-CR/Pictet-Spengler reaction as a short route to tryptophan-derived peptidomimetics. Org. Biomol. Chem. 2012, 10, 9004–9012. [Google Scholar] [CrossRef]
  22. Silvani, A.; Lesma, G.; Crippa, S.; Vece, V. Multicomponent access to novel dihydroimidazo[1′,5′:1,2]pyrido[3,4-b]indol-2-ium salts and indoles by means of Ugi/Bischler–Napieralski/heterocyclization two step strategy. Tetrahedron 2014, 70, 3994–4001. [Google Scholar] [CrossRef]
  23. Lesma, G.; Bassanini, I.; Bortolozzi, R.; Colletto, C.; Bai, R.; Hamel, E.; Meneghetti, F.; Rainoldi, G.; Stucchi, M.; Sacchetti, A.; et al. Complementary isonitrile-based multicomponent reactions for the synthesis of diversified cytotoxic hemiasterlin analogues. Org. Biomol. Chem. 2015, 13, 11633–11644. [Google Scholar] [CrossRef] [PubMed]
  24. Lawrence, K.; Flower, S.E.; Kociok-Kohn, G.; Frost, C.G.; James, T.D. A simple and effective colorimetric technique for the detection of boronic acids and their derivatives. Anal. Meth. 2012, 4, 2215–2217. [Google Scholar] [CrossRef]
  25. Janvier, P.; Sun, X.; Bienayme, H.; Zhu, J. Ammonium chloride-promoted four-component synthesis of pyrrolo[3,4-b]pyridin-5-one. J. Am. Chem. Soc. 2002, 124, 2560–2567. [Google Scholar] [CrossRef] [PubMed]
  26. CCDC 1995920 Contains the Supplementary Crystallographic Data for This Paper. The Cambridge Crystallographic Data Centre. Available online: www.ccdc.cam.ac.uk/structures (accessed on 10 April 2020).
  27. Knapp, D.M.; Gillis, E.P.; Burke, M.D. A General Solution for Unstable Boronic Acids: Slow-Release Cross-Coupling from Air Stable MIDA Boronates. J. Am. Chem. Soc. 2009, 131, 6961–6963. [Google Scholar] [CrossRef] [PubMed]
  28. CCDC 1995919 Contains the Supplementary Crystallographic Data for This Paper. The Cambridge Crystallographic Data Centre. Available online: www.ccdc.cam.ac.uk/structures (accessed on 10 April 2020).
  29. Schrödinger Release 2019-4; Maestro, Schrödinger, LLC: New York, NY, USA, 2020.
  30. Bowers, K.J.; Chow, D.E.; Xu, H.; Dror, R.O.; Eastwood, M.P.; Gregersen, B.A.; Klepeis, J.L.; Kolossvary, I.; Moraes, A.; Sacerdoti, D. Scalable Algorithms for Molecular Dynamics Simulations on Commodity Clusters. Proc. ACM/IEEE Conf. Supercomput. 2006, 43. [Google Scholar] [CrossRef]
  31. Bruker, S. ADABS; Bruker AXS Inc.: Madison, WI, USA, 2008. [Google Scholar]
  32. Sheldrick, G.M. SHELXT—Integrated Space-group and Crystal-structure Determination. Acta Cryst. 2015, 71, 3–8. [Google Scholar] [CrossRef]
  33. Borgianni, L.; Vandenameele, J.; Matagne, A.; Bini, L.; Bonomo, R.A.; Frere, J.M.; Rossolini, G.M.; Docquier, J.D. Mutational analysis of VIM-2 reveals an essential determinant for metallo-beta-lactamase stability and folding. Antimicrob. Agents Chemother. 2010, 54, 3197–3204. [Google Scholar] [CrossRef]
  34. Weinstein, M.P. MD M07-Methods for Dilution Antimicrobial Susceptibility Tests for Bacteria That Grow Aerobicall, 10th ed.; Clinical and Laboratory Standards Institute (CLSI): Wayne, PA, USA, 2015. [Google Scholar]
  35. Smith, C.A.; Antunes, N.T.; Stewart, N.K.; Toth, M.; Kumarasiri, M.; Chang, M.; Mobashery, S.; Vakulenko, S.B. Structural basis for carbapenemase activity of the OXA-23 beta-lactamase from Acinetobacter baumannii. Chem. Biol. 2013, 20, 1107–1115. [Google Scholar] [CrossRef]
  36. Wang, X.; Minasov, G.; Shoichet, B.K. Evolution of an antibiotic resistance enzyme constrained by stability and activity trade-offs. J. Mol. Biol. 2002, 320, 85–95. [Google Scholar] [CrossRef]
  37. Sgrignani, J.; Grazioso, G.; De Amici, M. Insight into the Mechanism of Hydrolysis of Meropenem by OXA-23 Serine-beta-lactamase Gained by Quantum Mechanics/Molecular Mechanics Calculations. Biochemistry 2016, 55, 5191–5200. [Google Scholar] [CrossRef]
  38. Jorgensen, W.L.; Chandrasekhar, J.; Madura, J.D.; Impey, R.W.; Klein, M.L. Comparison of simple potential functions for simulating liquid water. J. Chem. Phys. 1983, 79, 926–935. [Google Scholar] [CrossRef]
  39. Roos, K.; Wu, C.; Damm, W.; Reboul, M.; Stevenson, J.M.; Lu, C.; Dahlgren, M.K.; Mondal, S.; Chen, W.; Wang, L.; et al. OPLS3e: Extending Force Field Coverage for Drug-Like Small Molecules. J. Chem. Theory Comput. 2019, 15, 1863–1874. [Google Scholar] [CrossRef] [PubMed]
  40. Humphrey, W.; Dalke, A.; Schulten, K. VMD: Visual molecular dynamics. J. Mol. Graph. 1996, 14, 33–38. [Google Scholar] [CrossRef]
  41. Friesner, R.A.; Murphy, R.B.; Repasky, M.P.; Frye, L.L.; Greenwood, J.R.; Halgren, T.A.; Sanschagrin, P.C.; Mainz, D.T. Extra precision glide: Docking and scoring incorporating a model of hydrophobic enclosure for protein-ligand complexes. J. Med. Chem. 2006, 49, 6177–6196. [Google Scholar] [CrossRef]
Scheme 1. Three multicomponent strategies described in this work.
Scheme 1. Three multicomponent strategies described in this work.
Antibiotics 09 00249 sch001
Scheme 2. Scope of the Ugi-4CRaa synthesis of compounds 5ap: all reactions were performed using MIDA-protected α-boryl aldehyde 1 (0.6 mmol), amine 2 (0.7 mmol), carboxylic acid 4 (0.7 mmol), NH4Cl (1.0 mmol), and isocyanide 3 (1.0 mmol) in MeCN (6 mL), under heating (30–60 oC) for 24 h. Synthesis of compounds 6ap: all reactions were performed using compounds 5ap (0.5 mmol) and solid Na2CO3 (9.0 mmol) in MeOH (7 mL), at room temperature, for 4 h.
Scheme 2. Scope of the Ugi-4CRaa synthesis of compounds 5ap: all reactions were performed using MIDA-protected α-boryl aldehyde 1 (0.6 mmol), amine 2 (0.7 mmol), carboxylic acid 4 (0.7 mmol), NH4Cl (1.0 mmol), and isocyanide 3 (1.0 mmol) in MeCN (6 mL), under heating (30–60 oC) for 24 h. Synthesis of compounds 6ap: all reactions were performed using compounds 5ap (0.5 mmol) and solid Na2CO3 (9.0 mmol) in MeOH (7 mL), at room temperature, for 4 h.
Antibiotics 09 00249 sch002
Figure 1. (a) Asymmetric unit of 5a. Thermal ellipsoids at RT were drawn at the 30% probability level (C: gray; H: white; O: red; N: blue; B: purple; Br: dark green). The only relevant NH–O intramolecular hydrogen bond is highlighted as a red dashed line. (b) Molecular structure of the S-5a enantiomer (also the R enantiomer is present in the crystal in a 1:1 ratio) [26].
Figure 1. (a) Asymmetric unit of 5a. Thermal ellipsoids at RT were drawn at the 30% probability level (C: gray; H: white; O: red; N: blue; B: purple; Br: dark green). The only relevant NH–O intramolecular hydrogen bond is highlighted as a red dashed line. (b) Molecular structure of the S-5a enantiomer (also the R enantiomer is present in the crystal in a 1:1 ratio) [26].
Antibiotics 09 00249 g001
Figure 2. (a) Asymmetric unit of 6d. Thermal ellipsoids at RT were drawn at the 30% probability level. The same atom color code as in Figure 1 was employed. (b) Molecular structure of the S–6d enantiomer (the R enantiomer is also present in the crystal in a 1:1 ratio) [28].
Figure 2. (a) Asymmetric unit of 6d. Thermal ellipsoids at RT were drawn at the 30% probability level. The same atom color code as in Figure 1 was employed. (b) Molecular structure of the S–6d enantiomer (the R enantiomer is also present in the crystal in a 1:1 ratio) [28].
Antibiotics 09 00249 g002
Scheme 3. Scope of the Ugi-4C-3CRaa isolated overall yields over two steps are reported in parentheses. Diastereoisomeric ratios were determined by 1H-NMR on isolated products. Synthesis of compounds 8ac: all reactions were performed using MIDA-protected α-boryl aldehyde 1 (0.6 mmol), t-butyl isocyanide 3a (1.0 mmol), and β-amino acids 7ac (0.7 mmol), in MeCN (6 mL), under heating (30-60 oC) for 24 h. Synthesis of compounds 9ac: all reactions were performed using compounds 8ac (0.5 mmol) and solid Na2CO3 (9.0 mmol) in MeOH (7 mL), at room temperature, for 4 h.
Scheme 3. Scope of the Ugi-4C-3CRaa isolated overall yields over two steps are reported in parentheses. Diastereoisomeric ratios were determined by 1H-NMR on isolated products. Synthesis of compounds 8ac: all reactions were performed using MIDA-protected α-boryl aldehyde 1 (0.6 mmol), t-butyl isocyanide 3a (1.0 mmol), and β-amino acids 7ac (0.7 mmol), in MeCN (6 mL), under heating (30-60 oC) for 24 h. Synthesis of compounds 9ac: all reactions were performed using compounds 8ac (0.5 mmol) and solid Na2CO3 (9.0 mmol) in MeOH (7 mL), at room temperature, for 4 h.
Antibiotics 09 00249 sch003
Scheme 4. Van Leusen-3CR on aldehyde 1.
Scheme 4. Van Leusen-3CR on aldehyde 1.
Antibiotics 09 00249 sch004
Figure 3. 2D representation of the predicted binding mode of compound 6e in the binding site of OXA-23 β-lactamase. Interactions that occurred for more than 30.0% of the simulation time in the selected trajectory (0.00 through 255.00 nsec), are shown. The picture was acquired by Maestro software.
Figure 3. 2D representation of the predicted binding mode of compound 6e in the binding site of OXA-23 β-lactamase. Interactions that occurred for more than 30.0% of the simulation time in the selected trajectory (0.00 through 255.00 nsec), are shown. The picture was acquired by Maestro software.
Antibiotics 09 00249 g003
Figure 4. 3D comparison between the predicted binding mode of compound 6e (on the left) and the X-ray structure of the OXA-23/meropenem complex (on the right panel). The secondary structure of the enzyme is shown as a cartoon. The yellow stars highlight the position of Phe110. The 3D structures of the complexes were previously structurally aligned and superimposed; here they are displayed in two panels for clarity. The last frame of MD simulations of the 6e/OXA-23 complex is represented on the left.
Figure 4. 3D comparison between the predicted binding mode of compound 6e (on the left) and the X-ray structure of the OXA-23/meropenem complex (on the right panel). The secondary structure of the enzyme is shown as a cartoon. The yellow stars highlight the position of Phe110. The 3D structures of the complexes were previously structurally aligned and superimposed; here they are displayed in two panels for clarity. The last frame of MD simulations of the 6e/OXA-23 complex is represented on the left.
Antibiotics 09 00249 g004
Table 1. In vitro antimicrobial susceptibility testing performed on both isogenic Escherichia coli laboratory strains and clinical isolates producing various β-lactamases (BLs) in the presence of fixed concentrations (16 or 32 µg/mL) of the selected compounds (AMP, ampicillin; IPM, imipenem; FEP, cefepime).
Table 1. In vitro antimicrobial susceptibility testing performed on both isogenic Escherichia coli laboratory strains and clinical isolates producing various β-lactamases (BLs) in the presence of fixed concentrations (16 or 32 µg/mL) of the selected compounds (AMP, ampicillin; IPM, imipenem; FEP, cefepime).
StrainBL ProducedMIC (µg/mL) a
Isogenic strains b AMPAMP + 6mAMP + 6bAMP + 6kAMP + 6e
E. coli DH5α(pLBII-CTX-M-15)CTX-M-15512512512512512
E. coli DH5α(pLBII-KPC-2)KPC-2256256256256256
E. coli DH5α(pLBII-AmpC-EC)Enterobacter cloacae AmpC128128128128128
E. coli DH5α(pLBII-CMY-2)CMY-212812812812864
E. coli DH5α(pLBII-OXA-10)OXA-10512512512512512
E. coli DH5α(pLBII-OXA-23)OXA-23512256256256128
E. coli DH5α(pLBII-OXA-40)OXA-24/40256128128128128
E. coli DH5α(pLBII-OXA-40)OXA-486464646464
Clinical isolates c IPMIPM + 6mIPM + 6bIPM + 6kIPM + 6e
E. coli SI-44KPC-3, CTX-M-15, TEM-144242
K. pneumoniae SI-109KPC-3, SHV, TEM-11616161616
FEPFEP + 6mFEP + 6bFEP + 6kFEP + 6e
E. coli 26sm02CMY-221122
a Minimal Inhibitory Concentration (MIC) values determined in triplicate. b Compounds tested at a fixed concentration of 16 µg/mL. c Compounds tested at a fixed concentration of 32 µg/mL.

Share and Cite

MDPI and ACS Style

Bassini, E.; Gazzotti, S.; Sannio, F.; Lo Presti, L.; Sgrignani, J.; Docquier, J.-D.; Grazioso, G.; Silvani, A. Isonitrile-Based Multicomponent Synthesis of β-Amino Boronic Acids as β-Lactamase Inhibitors. Antibiotics 2020, 9, 249. https://doi.org/10.3390/antibiotics9050249

AMA Style

Bassini E, Gazzotti S, Sannio F, Lo Presti L, Sgrignani J, Docquier J-D, Grazioso G, Silvani A. Isonitrile-Based Multicomponent Synthesis of β-Amino Boronic Acids as β-Lactamase Inhibitors. Antibiotics. 2020; 9(5):249. https://doi.org/10.3390/antibiotics9050249

Chicago/Turabian Style

Bassini, Emanuele, Stefano Gazzotti, Filomena Sannio, Leonardo Lo Presti, Jacopo Sgrignani, Jean-Denis Docquier, Giovanni Grazioso, and Alessandra Silvani. 2020. "Isonitrile-Based Multicomponent Synthesis of β-Amino Boronic Acids as β-Lactamase Inhibitors" Antibiotics 9, no. 5: 249. https://doi.org/10.3390/antibiotics9050249

APA Style

Bassini, E., Gazzotti, S., Sannio, F., Lo Presti, L., Sgrignani, J., Docquier, J.-D., Grazioso, G., & Silvani, A. (2020). Isonitrile-Based Multicomponent Synthesis of β-Amino Boronic Acids as β-Lactamase Inhibitors. Antibiotics, 9(5), 249. https://doi.org/10.3390/antibiotics9050249

Note that from the first issue of 2016, this journal uses article numbers instead of page numbers. See further details here.

Article Metrics

Back to TopTop