Next Article in Journal
Development of a Novel Pharmaceutical Formula of Nanoparticle Lipid Carriers of Gentamicin/α-Tocopherol and In Vivo Assessment of the Antioxidant Protective Effect of α-Tocopherol in Gentamicin-Induced Nephrotoxicity
Previous Article in Journal
Er,Cr:YSGG Laser-Activation Enhances Antimicrobial and Antibiofilm Action of Low Concentrations of Sodium Hypochlorite in Root Canals
 
 
Font Type:
Arial Georgia Verdana
Font Size:
Aa Aa Aa
Line Spacing:
Column Width:
Background:
Article

Novel Tetracyclines Versus Alternative Antibiotics for Treating Acute Bacterial Infection: A Meta-Analysis of Randomized Controlled Trials

1
School of Pharmaceutical Sciences and Medical Technology, Putian University, Putian 351100, China
2
Department of Orthopedic, Chi Mei Medical Center, Tainan 71004, Taiwan
3
Department of Physical Therapy, Shu Zen Junior College of Medicine and Management, Kaohsiung 82144, Taiwan
4
Yijia Pharmacy, Tainan 70846, Taiwan
5
School of Management, Putian University, Putian 351100, China
6
Department of Internal Medicine, Kaohsiung Veterans General Hospital, Tainan Branch, Tainan 71051, Taiwan
7
Department of Internal Medicine, Division of Infection Disease, Kaohsiung Veterans General Hospital, Tainan Branch, Tainan 71051, Taiwan
8
Department of Intensive Care Medicine, Chi Mei Medical Center, Liouying 73657, Taiwan
*
Author to whom correspondence should be addressed.
The two authors contributed equally.
Antibiotics 2019, 8(4), 233; https://doi.org/10.3390/antibiotics8040233
Submission received: 5 October 2019 / Revised: 14 November 2019 / Accepted: 21 November 2019 / Published: 22 November 2019

Abstract

This meta-analysis assessed the efficacy and safety of novel tetracyclines for treating acute bacterial infections. Data from PubMed, Web of Science, EBSCO, Cochrane databases, Ovid Medline, and Embase databases were accessed until 11 July 2019. Only randomized controlled trials (RCTs) comparing the efficacy of novel tetracyclines with that of other antibiotics for treating acute bacterial infections were included. Primary outcomes included the clinical response, microbiological response, and risk of adverse events (AEs). A total of eight RCTs were included, involving 2283 and 2197 patients who received novel tetracyclines and comparators, respectively. Overall, no significant difference was observed in the clinical response rate at test of cure between the experimental and control groups (for modified intent-to-treat [MITT] population, risk ratio [RR]: 1.02, 95% confidence interval [CI]: 0.99–1.05; for clinically evaluable [CE] population, RR: 1.02, 95% CI: 1.00–1.04; and for microbiological evaluable [ME] population, RR: 1.01, 95% CI: 0.99–1.04). No significant difference in the microbiological response at the end of treatment was observed between the experimental and control groups (for ME population, RR: 1.01, 95% CI: 0.99–1.03; for microbiological MITT population, RR: 1.01, 95% CI: 0.96–1.07). No difference was observed concerning the risk of treatment-emergent adverse events (TEAEs), serious adverse events, and discontinuation of treatment due to TEAEs and all-cause mortality between the two groups. In conclusion, clinical efficacy and safety profile for novel tetracyclines in the treatment of acute bacterial infections were found to be similar to those for other available antibiotics.

1. Introduction

Antibiotics are crucial for treating acute bacterial infections, and the prompt use of appropriate antibiotics can save the life of a patient with sepsis [1]. However, the emergence and dissemination of antibiotic resistance among commonly encountered bacteria in many types of infections, including pneumonia and intra-abdominal, urinary tract, and skin/skin structure infections, have drastically reduced the efficacy of most antimicrobial drugs [2,3,4,5,6,7]. Therefore, searching new antimicrobials to combat the threat of antibiotic-resistant bacteria is urgent.
Recently, two novel tetracyclines, omadacycline, (Nuzyra®, Paratek Pharmaceuticals, Boston, MA, USA) and eravacycline (Xerava®, Tetraphase Pharmaceuticals, Watertown, MA, USA), have been developed and approved by the Food and Drug Administration in 2018 [8]. Additionally, they are broad-spectrum antibiotics such as conventional tetracyclines that act against gram-positive, gram-negative, anaerobic, and atypical pathogens. Furthermore, they exhibit potent in vitro activity against multidrug-resistant organisms [9,10]. The clinical efficacy of omadacycline and eravacycline for treating acute bacterial infections is being evaluated in several randomized controlled trials (RCTs) since their development [11,12,13,14,15,16,17,18]. However, no consensus on the efficacy and safety of novel tetracyclines has been reached due to the lack of a systematic analysis and an updated meta-analysis. Therefore, we conducted this meta-analysis to provide a real-time evidence on the efficacy and safety of omadacycline and eravacycline for treating acute bacterial infections.

2. Methods

2.1. Study Search and Selection

All RCTs were identified through a systematic literature review of PubMed, Web of Science, EBSCO, Cochrane databases, Ovid Medline, and Embase until July 2019 by using the following search terms: “eravacycline”, “Xerava™”, “TP-434”, “omadacycline”, “Nuzyra”, “PTK-0796”, and “infection”. The inclusion criteria included (1) randomized controlled studies and (2) sturdy directly compared the clinical efficacy and safety of novel tetracyclines with those of other antimicrobial agents for treating adult patients with acute bacterial infections. Exclusion criteria included: (1) case reports, and abstracts presented at scientific conferences; (2) those including individuals younger than 18 years of age; (3) studies that only reported in vitro activity, animal studies, or pharmacokinetic–pharmacodynamic assessments; (4) case series without a control group; (5) trials that lacked randomized-control design. Two authors (S.P.C. and S.H.L.) searched and examined publications independently. A third author (C.C.L.) resolved any disagreement in time. The following data were extracted: year of publication, study design, type of infections, antimicrobial regimens, clinical and microbiological outcomes, and adverse effects. This systematic review and meta-analysis were conducted according to the preferred reporting items for systematic reviews and meta-analyses (PRISMA) statement.

2.2. Outcome Measurement

The primary outcomes of this meta-analysis included clinical response assessed at the test of cure (TOC) and end of treatment (EOT) visits, which was calculated as the portion of the patients with clinical response among analyzed populations. Clinical response was defined as the signs/symptoms of infection being sufficiently resolved and no further antibacterial therapy was required. Patients were categorized based on the occurrence of primary outcomes as follows: modified intent-to-treat (MITT), clinically evaluable (CE), and microbiologically evaluable (ME) populations. The intention-to-treat (ITT) population included all randomized patients, and the MITT population included all ITT patients who received any amount of the study drug. The CE population included all MITT patients who met the minimal disease definition of acute bacterial infections and had their clinical response assessed at the TOC visit. The ME population included all CE patients who had the baseline pathogen identified and microbiological response assessed. The microbiological MITT (mMITT) population included all MITT patients who met the minimal disease definition of clinical infection and had the baseline pathogen identified. The safety population included all patients who received any study therapy. Treatment-emergent adverse events (TEAEs) were defined as adverse events (AEs) that started during or after the first dose of the study drug administration or increased in severity or were associated with the study drug during the study.

2.3. Data Analysis

The Cochrane risk of bias assessment tool [19] was used to assess the quality of enrolled RCTs and the associated risk of bias. Review Manager, version 5.3, with the random-effects model was used for statistical analyses. The heterogeneity degree was assessed using the Q statistic generated from the χ2 test, and the heterogeneity proportion was assessed using the I2 measure. Heterogeneity was considered significant at p < 0.10 or I2 > 50%. Pooled risk ratios (RRs) and 95% confidence intervals (CIs) were calculated for outcome analyses.

3. Results

3.1. Study Selection

Search results yielded a total of 627 studies from the following online databases: PubMed (n = 124), Web of Science (127), EBSCO (n = 43), Cochrane Library (n = 53), Ovid Medline (n = 128) and Embase (n = 163) (Appendix A). Overall, 392 duplicate studies were excluded. Additionally, 220 studies were found to be irrelevant after screening the title and abstract (based on the article type and language) and 15 studies after screening the full text. Eventually, eight RCTs [11,12,13,14,15,16,17,18] were selected for the meta-analysis (Figure 1).

3.2. Study Characteristics

All eight included RCTs [11,12,13,14,15,16,17,18] were multicenter studies (Table 1). Each four studies used omadacycline [12,13,17,18] and eravacycline [11,14,15,16] as the study drug. Each three studies focused on acute bacterial skin and skin structure infections (ABSSSIs) [12,13,18] and complicated intra-abdominal infections (cIAIs) [14,15,16]. One study focused on complicated urinary tract infection (cUTI) [11], and the remaining study focused on community-acquired bacterial pneumonia (CABP) [17]. Overall, the experimental group comprised 2283 patients (omadacycline, n = 1195; eravacycline, n = 1088), and the control group comprised 2197 patients. Almost all risks of bias in each study were low (Figure 2).

3.3. Clinical Efficacy

Overall, no significant difference was observed in the clinical response rate at TOC between the experimental and control groups (for MITT population, RR: 1.02, 95% CI: 0.99–1.05, I2 = 18%; for CE population, RR: 1.02, 95% CI: 1.00–1.04, I2 = 0%; and for ME population, RR: 1.01, 95% CI: 0.99–1.04, I2 = 17%; Figure 3). In the mMITT population, similarity in the terms of the clinical response rate was observed between the experimental and control groups (RR: 1.00, 95% CI: 0.96–1.04, I2 = 22%). In addition, the clinical response rate at EOT remained similar between the experimental and control groups (for MITT population, RR: 1.02, 95% CI: 0.99–1.05, I2 = 18% and for CE population, RR: 1.02, 95% CI: 0.99–1.02, I2 = 0%). Sensitivity analysis performed after deleting individual studies each time to determine the effect of a single dataset on the pooled RR revealed similar findings. In the subgroup analysis, the clinical response rate of omadacycline was non-inferior to that of comparators (for MITT population, RR: 1.04, 95% CI: 1.00–1.08, I2 = 3%; for CE population, RR: 1.03, 95% CI: 1.01–1.05, I2 = 0%; and for ME population, RR: 1.03, 95% CI: 1.01–1.06, I2 = 0%), and the clinical efficacy of eravacycline was similar to that of comparators (for MITT population, RR: 0.99, 95% CI: 0.96–1.03, I2 = 0%; for CE population, RR: 1.00, 95% CI: 0.97–1.03, I2 = 0%; and for ME population, RR: 0.99, 95% CI: 0.96–1.02, I2 = 0%).
Novel tetracyclines exhibited similar clinical efficacy to that of comparators for treating infections of both gram-positive (RR: 1.01, 95% CI: 0.97–1.05, I2 = 0%) and gram-negative (RR: 0.99, 95% CI: 0.94–1.05, I2 = 0%) aerobes. There was no exception for Staphylococcus aureus (RR: 1.03, 95% CI: 0.98–1.08, I2 = 0%) as well as MRSA (RR: 1.04, 95% CI: 0.98–1.11, I2 = 0%).

3.4. Microbiological Response

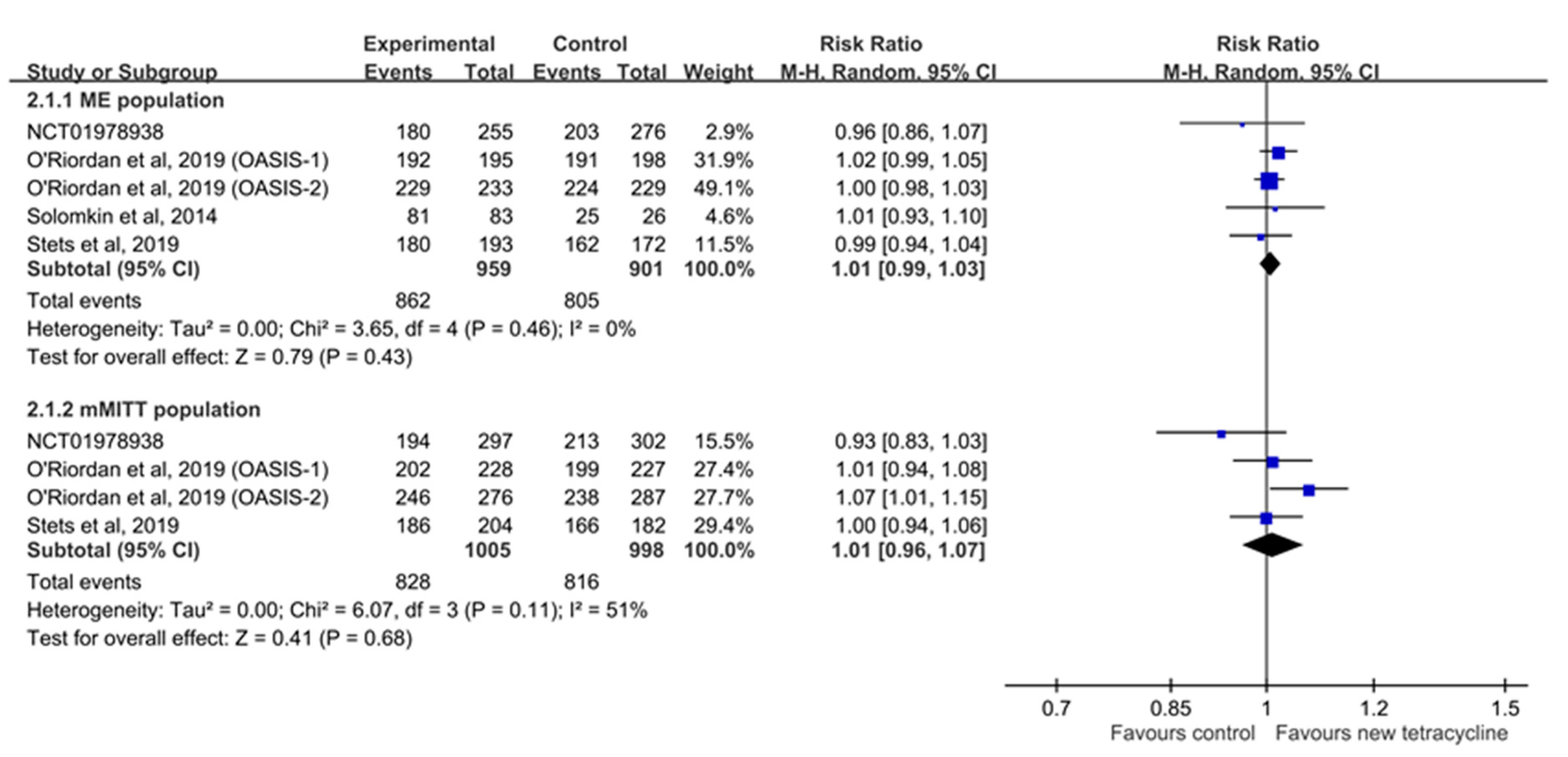
In the pooled analysis, no significant difference was observed in the microbiological response at EOT between the experimental and control groups (for ME population, RR: 1.01, 95% CI: 0.99–1.03, I2 = 0% and for mMITT population, RR: 1.01, 95% CI: 0.96–1.07, I2 = 51%; Figure 4). In addition, the microbiological response of novel tetracyclines at TOC was non-inferior to that of comparators (for ME population, RR: 1.03, 95% CI: 1.01–1.06, I2 = 0% and for mMITT population, RR: 1.04, 95% CI: 1.00–1.09, I2 = 0%). Furthermore, both omadacycline and eravacycline exhibited a microbiological response similar to that of comparators in subgroup analyses.

3.5. Risk of AEs

For common AEs, novel tetracyclines were associated with higher risks of nausea and vomiting than comparators (nausea, RR: 2.38, 95% CI: 1.16–4.89, I2 = 87% and vomiting, RR: 2.13, 95% CI: 1.18–3.83, I2 = 67%). Further subgroup analysis revealed that eravacycline was associated with higher risks of nausea and vomiting than the comparator (nausea, RR: 5.08, 95% CI: 1.96–13.11, I2 = 55% and vomiting, RR: 2.33, 95% CI: 1.02–5.32, I2 = 52%) but not omadacycline (nausea, RR: 1.40, 95% CI: 0.56–3.47, I2 = 91% and vomiting, RR: 1.95, 95% CI: 0.77–4.96, I2 = 80%).
Overall, novel tetracyclines were associated with a similar risk of AEs as comparators (TEAE, RR: 1.37, 95% CI: 0.99–1.88, I2 = 93%; serious AEs, RR: 1.03, 95% CI: 0.76–1.39, I2 = 0%; and treatment discontinuation due to TEAE, RR: 083, 95% CI: 0.55–1.27; Figure 5). All-cause mortality did not differ between the experimental and control groups (RR: 1.21, 95% CI: 0.59–2.50, I2 = 0%).

4. Discussion

Data from eight RCTs with 4480 patients were collated to compare the efficacy and safety of novel tetracyclines and other antibiotic regimens for treating acute bacterial infections, including cIAIs, ABSSSIs, CABP, and cUTIs. In the present study, we demonstrated that these novel tetracyclines could achieve a similar clinical response as other comparators, which is supported by the following evidence. First, the clinical response rate for novel tetracyclines, namely omadacycline and eravacycline, was similar to other comparative antibiotics. This similarity between novel tetracyclines and comparators was observed in various population analyses, MITT, CE, ME, and mMITT populations, and at different timings of assessment, TOC and EOT. Second, in subgroup analyses, both omadacycline and eravacycline exhibited non-inferior clinical efficacy than comparators. This finding is consistent with those of previous studies [20,21]. In the pooled analysis of OASIS-1 and OASIS-2, Abrahamian et al. [20] demonstrated that omadacycline was non-inferior to linezolid in early clinical response (86.2% vs. 83.9%; difference 2.3, 95% CI: 1.5–6.2) for treating ABSSSIs, and clinical responses were similar across different infection types—cellulitis or erysipelas and major abscess. Lan et al. [21] revealed that eravacycline had a clinical cure rate (88.7%, 559/630) similar to that of comparators (88.7% vs. 90.1%, RR: 0.99, 95% CI: 0.95–1.03) for treating cIAIs. Unlike these two reports [20,21], the present study included more RCTs and infection types, cUTI and CABP, to augment the knowledge regarding the usefulness of eravacycline and omadacycline. Third, the clinical efficacies of novel tetracyclines were similar to those of comparators across infections caused by different pathogens, even MRSA. A previous pooled analysis [20] of OASIS-1 and OASIS-2 revealed that omadacycline had similar efficacy to that of linezolid for treating infections caused by gram-positive anaerobes, including S. aureus, MRSA, Streptococcus pyogenes, and S. anginosus, gram-negative aerobes, and gram-negative anaerobes. In summary, all these findings indicate that novel tetracyclines, eravacycline, and omadacycline, can be as effective as other antibiotics for treating acute bacterial infections.
In addition to the clinical response, this meta-analysis demonstrated that the microbiological response rate for novel tetracyclines was comparable to that of comparators. This similarity in terms of the microbiological response between the experimental and control groups did not change with the timing of the outcome measure and study populations. These findings regarding the favorable microbiological response of novel tetracyclines have been supported by many in vitro studies [22,23,24,25,26,27,28,29]. Several global surveillance investigations [22,23,24,25] have revealed that omadacycline exhibited potent in vitro activity against gram-positive and gram-negative pathogens as well as was active against antibiotic-resistant organisms, such as MRSA, penicillin-resistant S. pneumoniae, and extended-spectrum β-lactamase (ESBL)-producing Escherichia coli. The potency of eravacycline was at least equivalent or 2- to 4-fold greater than that of tigecycline against Enterobacteriaceae, including ESBL-producing, carbapenem non-susceptible strains, and gram-positive cocci isolates [26,27,28,29]. Therefore, these findings regarding the microbiological response in this meta-analysis and previous in vitro studies can support the use of novel tetracyclines for acute bacterial infections.
Finally, the risk of AEs for novel tetracyclines was assessed. Nausea was the most common AE for novel tetracycline users, and novel tetracyclines were associated with a higher risk of nausea and vomiting compared with comparators. Further subgroup analysis revealed that high risks of nausea or vomiting were noted for eravacycline but not for omadacycline. However, compared with other antibiotics, novel tetracyclines had a similar risk of AEs in TEAEs, serious AEs, treatment discontinuation due to TEAEs, and all-cause mortality. All these findings indicated that gastrointestinal intolerance was the most common side effect of novel tetracyclines, especially eravacycline. However, novel tetracyclines were found to be as tolerable as other antibiotics.
This meta-analysis has some limitations. First, although we aimed to investigate the use of novel tetracyclines for treating all types of acute bacterial infections, we found only one study for cUTI as well as for CABP. Additional studies investigating the use of novel tetracyclines for various infection types are warranted. Second, we could not assess the association between in vitro activity and clinical response for each specific pathogen due to the unavailability of data. However, this deficit could be partially compensated by the results of several in vitro studies [22,23,24,25,26,27,28,29] that demonstrated the potent in vitro activity of novel tetracyclines.

5. Conclusions

In conclusion, clinical and microbiological responses for novel tetracyclines in the treatment of acute bacterial infections were similar to those for other available antibiotics. In the present analysis, eravacycline was associated with higher risks of gastrointestinal AEs, nausea, and vomiting, but overall, novel tetracyclines had a safety profile similar to that of other antibiotics. However, further research is warranted to investigate the role of novel tetracyclines in the treatment of antibiotic-resistant bacteria-associated infections.

Author Contributions

Conceptualization, W.-T.L. and C.-C.L.; methodology, S.-H.L., S.-P.C., L.-C.L., J.-H.W., and C.-C.L.; formal analysis, S.-H.L., S.-P.C., L.-C.L., and J.-H.W.; investigation, C.-C.L. and C.-M.C.; writing—original draft preparation, S.-H.L., W.-T.L. and C.-C.L.; writing—review and editing, C.-M.C.; supervision, C.-M.C.

Funding

This research received no external funding.

Conflicts of Interest

The authors declare no conflict of interest.

Abbreviations

MITT, modified intent-to-treat; RR, risk ratio; CI, confidence interval; AE, adverse event; CE, clinical evaluable; ME, microbiological evaluable; RCT, randomized controlled trial; TEAE, treatment-emergent adverse event; TOC, test of cure; end of treatment, EOT; mMITT, microbiological modified intent-to-treat.

Appendix A

Table A1. Search Strategy.
Table A1. Search Strategy.
PubMed search strategy—last searched on 11 July 2019Results
1Search (((((Eravacycline[Title/Abstract]) OR Xerava[Title/Abstract]) OR TP-434[Title/Abstract]) OR Omadacycline[Title/Abstract]) OR Nuzyra[Title/Abstract]) OR PTK-0796[Title/Abstract]172
2Search Infection*[Title/Abstract]1,343,862
3Search (Infection*[Title/Abstract]) AND ((((((Eravacycline[Title/Abstract]) OR Xerava[Title/Abstract]) OR TP-434[Title/Abstract]) OR Omadacycline[Title/Abstract]) OR Nuzyra[Title/Abstract]) OR PTK-0796[Title/Abstract])124
Web of Science search strategy—last searched on 11 July 2019Results
1Topic: (Omadacycline) OR Topic: (Nuzyra) OR Topic: (PTK-0796) OR Topic: (Eravacycline) OR Topic: (Xerava) OR Topic: (TP-434)172
2Topic: (Infection*)1,382,483
3#1 AND #2127
EBSCO search strategy—last searched on 11 July 2019Results
1AB Eravacycline OR AB Xerava OR AB TP-434 OR AB Omadacycline OR AB Nuzyra OR AB PTK-079668
2AB Infection *489,510
3S1 AND S243
Cochrane Library search strategy—last searched on 11 July 2019Results
1(Omadacycline):ti,ab,kw OR (PTK-0796):ti,ab,kw OR (Nuzyra):ti,ab,kw33
2(Eravacycline):ti,ab,kw OR (Xerava):ti,ab,kw OR (TP-434):ti,ab,kw14
3(Infection*):ti,ab,kw108,094
4(#1 OR #2) AND #342
Ovid Medline search strategy—last searched on 11 July 2019Results
1(Omadacycline or Nuzyra or PTK-0796 or Eravacycline or Xerava or TP-434).ab174
2Infection *.ab1,468,481
31 and 2128
Embase search strategy—last searched on 11 July 2019Results
1omadacycline:ti,ab,kw OR nuzyra:ti,ab,kw OR ‘ptk 0796’:ti,ab,kw OR eravacycline:ti,ab,kw OR xerava:ti,ab,kw OR ‘tp 434’:ti,ab,kw217
2infection*:ti,ab,kw1,726,005
3#1 AND #2163

References

  1. Rhodes, A.; Evans, L.E.; Alhazzani, W.; Levy, M.M.; Antonelli, M.; Ferrer, R.; Kumar, A.; Sevransky, J.E.; Sprung, C.L.; Nunnally, M.E.; et al. Surviving Sepsis Campaign: International Guidelines for Management of Sepsis and Septic Shock. Intensive Care Med. 2017, 43, 304–377. [Google Scholar] [CrossRef] [PubMed]
  2. Chen, C.-W.; Tang, H.-J.; Chen, C.-C.; Lu, Y.-C.; Chen, H.-J.; Su, B.-A.; Weng, T.-C.; Chuang, Y.-C.; Lai, C.-C. The Microbiological Characteristics of Carbapenem-Resistant Enterobacteriaceae Carrying the mcr-1 Gene. J. Clin. Med. 2019, 8, 261. [Google Scholar] [CrossRef] [PubMed]
  3. Lin, W.-T.; Chao, C.-M.; Lin, H.-L.; Hung, M.-C.; Lai, C.-C. Emergence of Antibiotic-Resistant Bacteria in Patients with Fournier Gangrene. Surg. Infect. 2015, 16, 165–168. [Google Scholar] [CrossRef] [PubMed]
  4. Lai, C.-C.; Chen, Y.-S.; Lee, N.-Y.; Tang, H.-J.; Lee, S.S.-J.; Lin, C.-F.; Lu, P.-L.; Wu, J.-J.; Ko, W.-C.; Lee, W.-S.; et al. Susceptibility rates of clinically important bacteria collected from intensive care units against colistin, carbapenems, and other comparative agents: Results from Surveillance of Multicenter Antimicrobial Resistance in Taiwan (SMART). Infect. Drug Resist. 2019, 12, 627–640. [Google Scholar] [CrossRef] [PubMed]
  5. Karlowsky, J.A.; Lob, S.H.; Young, K.; Motyl, M.R.; Sahm, D.F. Activity of imipenem/relebactam against Pseudomonas aeruginosa with antimicrobial-resistant phenotypes from seven global regions: SMART 2015–2016. J. Glob. Antimicrob. Resist. 2018, 15, 140–147. [Google Scholar] [CrossRef]
  6. Ponce-De-León, A.; Rodriguez-Noriega, E.; Morfin-Otero, R.; Cornejo-Juárez, D.P.; Tinoco, J.C.; Martínez-Gamboa, A.; Gaona-Tapia, C.J.; Guerrero-Almeida, M.L.; Martín-Onraet, A.; Cervantes, J.L.V.; et al. Antimicrobial susceptibility of gram-negative bacilli isolated from intra-abdominal and urinary-tract infections in Mexico from 2009 to 2015: Results from the Study for Monitoring Antimicrobial Resistance Trends (SMART). PLoS ONE 2018, 13, e0198621. [Google Scholar] [CrossRef]
  7. Tärnberg, M.; Nilsson, L.E.; Dowzicky, M.J. Antimicrobial activity against a global collection of skin and skin structure pathogens: Results from the Tigecycline Evaluation and Surveillance Trial (T.E.S.T.), 2010–2014. Int. J. Infect. Dis. 2016, 49, 141–148. [Google Scholar] [CrossRef]
  8. US Food and Drug Administration. Novel Drug Approvals for 2018. Available online: https://www.fda.gov/drugs/developmentapprovalprocess/druginnovation/ucm592464.htm (accessed on 8 July 2019).
  9. Villano, S.; Steenbergen, J.; Loh, E. Omadacycline: Development of a novel aminomethylcycline antibiotic for treating drug-resistant bacterial infections. Future Microbiol. 2016, 11, 1421–1434. [Google Scholar] [CrossRef]
  10. Lee, Y.R.; Burton, C.E. Eravacycline, a newly approved fluorocycline. Eur. J. Clin. Microbiol. Infect. Dis. 2019, 38, 1787–1794. [Google Scholar] [CrossRef]
  11. ClinicalTrials.gov. Efficacy and Safety Study of Eravacycline Compared with Levofloxacin in Complicated Urinary Tract Infections. Available online: https://clinicaltrials.gov/ct2/show/NCT01978938?term=eravacycline&rank=4 (accessed on 11 July 2019).
  12. Noel, G.J.; Draper, M.P.; Hait, H.; Tanaka, S.K.; Arbeit, R.D. A Randomized, Evaluator-Blind, Phase 2 Study Comparing the Safety and Efficacy of Omadacycline to Those of Linezolid for Treatment of Complicated Skin and Skin Structure Infections. Antimicrob. Agents Chemother. 2012, 56, 5650–5654. [Google Scholar] [CrossRef]
  13. O’Riordan, W.; Green, S.; Overcash, J.S.; Puljiz, I.; Metallidis, S.; Gardovskis, J.; Garrity-Ryan, L.; Das, A.F.; Tzanis, E.; Eckburg, P.B.; et al. Omadacycline for Acute Bacterial Skin and Skin-Structure Infections. N. Engl. J. Med. 2019, 380, 528–538. [Google Scholar] [CrossRef] [PubMed]
  14. Solomkin, J.; Evans, D.; Slepavicius, A.; Lee, P.; Marsh, A.; Tsai, L.; Sutcliffe, J.A.; Horn, P. Assessing the Efficacy and Safety of Eravacycline vs Ertapenem in Complicated Intra-Abdominal Infections in the Investigating Gram-Negative Infections Treated with Eravacycline (IGNITE 1) Trial: A Randomized Clinical Trial. JAMA Surg. 2017, 152, 224–232. [Google Scholar] [CrossRef] [PubMed]
  15. Solomkin, J.S.; Gardovskis, J.; Lawrence, K.; Solomkin, J.S.; Gardovskis, J.; Lawrence, K.; Montravers, P.; Sway, A.; Evans, D.; Tsai, L. IGNITE4: Results of a Phase 3, Randomized, Multicenter, Prospective Trial of Eravacycline vs. Meropenem in the Treatment of Complicated Intra-Abdominal Infections. Clin. Infect. Dis. 2018, 69, 921–929. [Google Scholar]
  16. Solomkin, J.S.; Ramesh, M.K.; Cesnauskas, G.; Novikovs, N.; Stefanova, P.; Sutcliffe, J.A.; Walpole, S.M.; Horn, P.T. Phase 2, randomized, double-blind study of the efficacy and safety of two dose regimens of eravacycline versus ertapenem for adult community-acquired complicated intra-abdominal infections. Antimicrob. Agents Chemother. 2014, 58, 1847–1854. [Google Scholar] [CrossRef] [PubMed]
  17. Stets, R.; Popescu, M.; Gonong, J.R.; Mitha, I.; Nseir, W.; Madej, A.; Kirsch, C.; Das, A.F.; Garrity-Ryan, L.; Steenbergen, J.N.; et al. Omadacycline for Community-Acquired Bacterial Pneumonia. N. Engl. J. Med. 2019, 380, 517–527. [Google Scholar] [CrossRef] [PubMed]
  18. O’Riordan, W.; Cardenas, C.; Shin, E.; Sirbu, A.; Garrity-Ryan, L.; Das, A.F.; Eckburg, P.B.; Manley, A.; Steenbergen, J.N.; Tzanis, E.; et al. Once-daily oral omadacycline versus twice-daily oral linezolid for acute bacterial skin and skin structure infections (OASIS-2): A phase 3, double-blind, multicentre, randomised, controlled, non-inferiority trial. Lancet Infect. Dis. 2019, 19, 1080–1090. [Google Scholar] [CrossRef]
  19. Higgins, J.P.T.; Altman, D.G.; Gøtzsche, P.C.; Jüni, P.; Moher, D.; Oxman, A.D.; Savović, J.; Schulz, K.F.; Weeks, L.; Sterne, J.A.C. The Cochrane Collaboration’s tool for assessing risk of bias in randomised trials. BMJ 2011, 343, d5928. [Google Scholar] [CrossRef]
  20. Abrahamian, F.M.; Sakoulas, G.; Tzanis, E.; Manley, A.; Steenbergen, J.; Das, A.F.; Eckburg, P.B.; McGovern, P.C. Omadacycline for Acute Bacterial Skin and Skin Structure Infections. Clin. Infect. Dis. 2019, 69, S23–S32. [Google Scholar] [CrossRef]
  21. Lan, S.-H.; Chang, S.-P.; Lai, C.-C.; Lu, L.-C.; Chao, C.-M. The Efficacy and Safety of Eravacycline in the Treatment of Complicated Intra-Abdominal Infections: A Systemic Review and Meta-Analysis of Randomized Controlled Trials. J. Clin. Med. 2019, 8, 866. [Google Scholar] [CrossRef]
  22. Carvalhaes, C.G.; Huband, M.D.; Reinhart, H.H.; Flamm, R.K.; Sader, H.S. Antimicrobial Activity of Omadacycline Tested against Clinical Bacterial Isolates from Hospitals in Mainland China, Hong Kong, and Taiwan: Results from the SENTRY Antimicrobial Surveillance Program (2013 to 2016). Antimicrob. Agents Chemother. 2019, 63, e02262-18. [Google Scholar] [CrossRef]
  23. Pfaller, M.A.; Rhomberg, P.R.; Huband, M.D.; Flamm, R.K. Activity of omadacycline tested against Streptococcus pneumoniae from a global surveillance program (2014). Diagn. Microbiol. Infect. Dis. 2018, 90, 143–147. [Google Scholar] [CrossRef] [PubMed]
  24. Pfaller, M.A.; Huband, M.D.; Rhomberg, P.R.; Flamm, R.K. Surveillance of Omadacycline Activity against Clinical Isolates from a Global Collection (North America, Europe, Latin America, Asia-Western Pacific), 2010–2011. Antimicrob. Agents Chemother. 2017, 61, e00018-17. [Google Scholar] [CrossRef] [PubMed]
  25. Pfaller, M.A.; Rhomberg, P.R.; Huband, M.D.; Flamm, R.K. Activities of Omadacycline and Comparator Agents against Staphylococcus Aureus Isolates from a Surveillance Program Conducted in North America and Europe. Antimicrob. Agents Chemother. 2017, 61, e02411-16. [Google Scholar] [CrossRef] [PubMed]
  26. Zhanel, G.G.; Baxter, M.R.; Adam, H.J.; Sutcliffe, J.; Karlowsky, J.A. In vitro activity of eravacycline against 2213 Gram-negative and 2424 Gram-positive bacterial pathogens isolated in Canadian hospital laboratories: CANWARD surveillance study 2014–2015. Diagn. Microbiol. Infect. Dis. 2018, 91, 55–62. [Google Scholar] [CrossRef] [PubMed]
  27. Seifert, H.; Stefanik, D.; Sutcliffe, J.A.; Higgins, P.G. In-vitro activity of the novel fluorocycline eravacycline against carbapenem non-susceptible Acinetobacter baumannii. Int. J. Antimicrob. Agents 2018, 51, 62–64. [Google Scholar] [CrossRef] [PubMed]
  28. Zhao, C.; Wang, X.; Zhang, Y.; Wang, R.; Wang, Q.; Li, H.; Wang, H. In vitro activities of Eravacycline against 336 isolates collected from 2012 to 2016 from 11 teaching hospitals in China. BMC Infect. Dis. 2019, 19, 508. [Google Scholar] [CrossRef]
  29. Livermore, D.M.; Mushtaq, S.; Warner, M.; Woodford, N. In Vitro Activity of Eravacycline against Carbapenem-Resistant Enterobacteriaceae and Acinetobacter baumannii. Antimicrob. Agents Chemother. 2016, 60, 3840–3844. [Google Scholar] [CrossRef]
Figure 1. Algorithm for the screening and identification of studies.
Figure 1. Algorithm for the screening and identification of studies.
Antibiotics 08 00233 g001
Figure 2. Risk of bias summary.
Figure 2. Risk of bias summary.
Antibiotics 08 00233 g002
Figure 3. Forest plot of clinical response rate at the test of cure visit among modified intent-to-treat (MITT) population, clinically evaluable (CE) population, and microbiological evaluable (ME) population.
Figure 3. Forest plot of clinical response rate at the test of cure visit among modified intent-to-treat (MITT) population, clinically evaluable (CE) population, and microbiological evaluable (ME) population.
Antibiotics 08 00233 g003
Figure 4. Forest plot of the microbiological response rate at the end of treatment visit between microbiologically evaluable (ME) and microbiologically modified intent-to-treat (mMITT) populations.
Figure 4. Forest plot of the microbiological response rate at the end of treatment visit between microbiologically evaluable (ME) and microbiologically modified intent-to-treat (mMITT) populations.
Antibiotics 08 00233 g004
Figure 5. Forest plot of risks of treatment-emergent adverse events (TEAEs), serious adverse events, and discontinuation of treatment due to TEAE and all-cause mortality.
Figure 5. Forest plot of risks of treatment-emergent adverse events (TEAEs), serious adverse events, and discontinuation of treatment due to TEAE and all-cause mortality.
Antibiotics 08 00233 g005
Table 1. Characteristics of included studies.
Table 1. Characteristics of included studies.
Study, Published YearStudy DesignStudy SiteStudy PeriodType of InfectionNo of PatientsDose Regimen
StudyComparatorStudyComparator
Omadacycline
Noel et al., 2012Randomized, controlled, evaluator-blinded study11 sites in US2007–2008Complicated skin and skin structure infection118116100 mg qdLinezolid 600 mg q12h ± aztreonam
O’Riordan et al., 2019 (OASIS-1)Double blind, randomized controlled trial55 sites in US, Peru, South Africa and Europe2015–2016Acute bacterial skin and skin-structure infection323322100 mg q12h x 2 doses than 100 mg qdLinezolid 600 mg q12h
Stets et al., 2019Double blind, randomized controlled trial86 sites in Europe, North America, South America, the Middle East, Africa, and Asia2015–2017Community-acquired pneumonia in PSI risk II, III or IV386388100 mg q12h x 2 doses than 100 mg qdMoxifloxacin 400 mg
O’Riordan et al., 2019 (OASIS-2)Double0blind, randomized controlled trial33 sites in USMay 2017–June 2017Acute bacterial skin and skin-structure infection368367450 mg (oral) qd x 2 doses then 300 mg qdLinezolid 600 mg (oral) q12h
Eravacycline
Solomkin et al., 2014Randomized, double-blind trial19 sites in 6 countries2011–2012Complicated intra-abdominal infection56 (1.5 mg/kg),
57 (1.0 mg/kg)
301.5 mg/kg or 1.0 mg/kg q24hErtapenem 1 g q24h
Solomkin et al., 2017Randomized, double-blind trial66 sites in 11 countries2013–2014Complicated intra-abdominal infection2702711.0 mg/kg q12hErtapenem 1 g q24h
Solomkin et al., 2018Randomized, double-blind trial65 sites in 11 countries2016–2017Complicated intra-abdominal infection2502501.0 mg/kg q12hMeropenem 1 g q8h
NCT01978938Randomized, double-blind, double-dummy, prospective study99 sites in 18 countries2014–2015Complicated urinary tract infection4554531.5 mg/kg q24hLevofloxacin 750 mg q24h
PSI, Pneumonia severity index.

Share and Cite

MDPI and ACS Style

Lan, S.-H.; Lin, W.-T.; Chang, S.-P.; Lu, L.-C.; Lai, C.-C.; Wang, J.-H.; Chao, C.-M. Novel Tetracyclines Versus Alternative Antibiotics for Treating Acute Bacterial Infection: A Meta-Analysis of Randomized Controlled Trials. Antibiotics 2019, 8, 233. https://doi.org/10.3390/antibiotics8040233

AMA Style

Lan S-H, Lin W-T, Chang S-P, Lu L-C, Lai C-C, Wang J-H, Chao C-M. Novel Tetracyclines Versus Alternative Antibiotics for Treating Acute Bacterial Infection: A Meta-Analysis of Randomized Controlled Trials. Antibiotics. 2019; 8(4):233. https://doi.org/10.3390/antibiotics8040233

Chicago/Turabian Style

Lan, Shao-Huan, Wei-Ting Lin, Shen-Peng Chang, Li-Chin Lu, Chih-Cheng Lai, Jui-Hsiang Wang, and Chien-Ming Chao. 2019. "Novel Tetracyclines Versus Alternative Antibiotics for Treating Acute Bacterial Infection: A Meta-Analysis of Randomized Controlled Trials" Antibiotics 8, no. 4: 233. https://doi.org/10.3390/antibiotics8040233

APA Style

Lan, S.-H., Lin, W.-T., Chang, S.-P., Lu, L.-C., Lai, C.-C., Wang, J.-H., & Chao, C.-M. (2019). Novel Tetracyclines Versus Alternative Antibiotics for Treating Acute Bacterial Infection: A Meta-Analysis of Randomized Controlled Trials. Antibiotics, 8(4), 233. https://doi.org/10.3390/antibiotics8040233

Note that from the first issue of 2016, this journal uses article numbers instead of page numbers. See further details here.

Article Metrics

Back to TopTop