Deciphering the Emergence of Biofilm-Independent Colistin Persistence and Resistance in A. baumannii: Toxin–Antitoxin Omics and Novel T/A mRNA-asRNA Balance Regulatory Models
Abstract
1. Introduction
2. Results
2.1. Antimicrobial Resistance
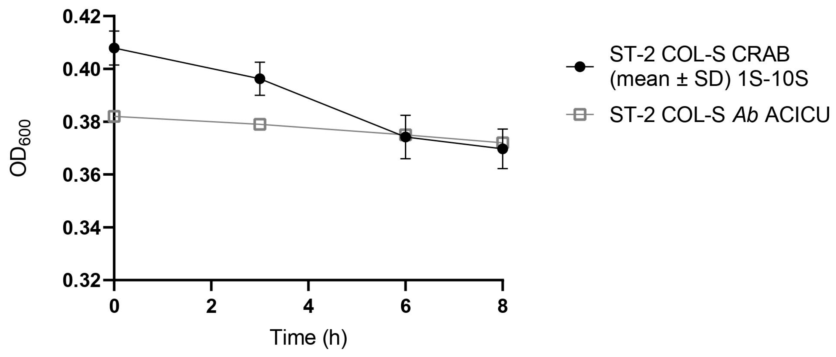
2.2. Colistin Persister and Biofilm Production Assays
2.3. Toxin/Antitoxin System Genomics
2.4. Toxin/Antitoxin System Basal Transcriptomic Focus
3. Discussion
4. Materials and Methods
4.1. Bacterial Strains and Antimicrobial Susceptibility
4.2. Biofilm Production
4.3. Persister Selection Assay
4.4. Statistical Analysis
4.5. Whole Genome Sequencing (WGS)
4.6. Genome Assembly
4.7. Genome Annotation
4.8. T/A Finder
4.9. RNA Seq
4.9.1. RNA-Seq Sample
4.9.2. RNA Extraction and Sequencing
4.10. Tru-Seq and Short Insert Library Analysis
Author Contributions
Funding
Institutional Review Board Statement
Informed Consent Statement
Data Availability Statement
Acknowledgments
Conflicts of Interest
References
- Sharma, R.; Lakhanpal, D. Acinetobacter baumannii: A Comprehensive Review of Global Epidemiology, Clinical Implications, Host Interactions, Mechanisms of Antimicrobial Resistance and Mitigation Strategies. Microb. Pathog. 2025, 204, 107605. [Google Scholar] [CrossRef]
- WHO Publishes List of Bacteria for Which New Antibiotics Are Urgently Needed. Available online: https://www.who.int/news/item/27-02-2017-who-publishes-list-of-bacteria-for-which-new-antibiotics-are-urgently-needed/ (accessed on 10 February 2026).
- Mohapatra, S.S.; Dwibedy, S.K.; Padhy, I. Polymyxins, the Last-Resort Antibiotics: Mode of Action, Resistance Emergence, and Potential Solutions. J. Biosci. 2021, 46, 85. [Google Scholar] [CrossRef] [PubMed]
- Cafiso, V.; Stracquadanio, S.; Lo Verde, F.; Dovere, V.; Zega, A.; Pigola, G.; Aranda, J.; Stefani, S. COLR Acinetobacter baumannii sRNA Signatures: Computational Comparative Identification and Biological Targets. Front. Microbiol. 2019, 10, 3075. [Google Scholar] [CrossRef]
- Cafiso, V.; Stracquadanio, S.; Dovere, V.; Lo Verde, F.; Zega, A.; Pigola, G.; Barnini, S.; Ghelardi, E.; Stefani, S. Colistin Resistance Onset Strategies and Genomic Mosaicism in Clinical Acinetobacter baumannii Lineages. Pathogens 2021, 10, 1516. [Google Scholar] [CrossRef]
- Brauner, A.; Fridman, O.; Gefen, O.; Balaban, N.Q. Distinguishing between Resistance, Tolerance and Persistence to Antibiotic Treatment. Nat. Rev. Microbiol. 2016, 14, 320–330. [Google Scholar] [CrossRef] [PubMed]
- Levin-Reisman, I.; Ronin, I.; Gefen, O.; Braniss, I.; Shoresh, N.; Balaban, N.Q. Antibiotic Tolerance Facilitates the Evolution of Resistance. Science 2017, 355, 826–830. [Google Scholar] [CrossRef]
- Balaban, N.Q.; Helaine, S.; Lewis, K.; Ackermann, M.; Aldridge, B.; Andersson, D.I.; Brynildsen, M.P.; Bumann, D.; Camilli, A.; Collins, J.J.; et al. Definitions and Guidelines for Research on Antibiotic Persistence. Nat. Rev. Microbiol. 2019, 17, 441–448. [Google Scholar] [CrossRef]
- Goormaghtigh, F.; Van Melderen, L. Single-Cell Imaging and Characterization of Escherichia coli Persister Cells to Ofloxacin in Exponential Cultures. Sci. Adv. 2019, 5, eaav9462. [Google Scholar] [CrossRef]
- La Rosa, R.; Johansen, H.K.; Molin, S. Persistent Bacterial Infections, Antibiotic Treatment Failure, and Microbial Adaptive Evolution. Antibiotics 2022, 11, 419. [Google Scholar] [CrossRef]
- Niu, H.; Gu, J.; Zhang, Y. Bacterial Persisters: Molecular Mechanisms and Therapeutic Development. Signal Transduct. Target. Ther. 2024, 9, 174. [Google Scholar] [CrossRef]
- Jurėnas, D.; Fraikin, N.; Goormaghtigh, F.; Van Melderen, L. Biology and Evolution of Bacterial Toxin–Antitoxin Systems. Nat. Rev. Microbiol. 2022, 20, 335–350. [Google Scholar] [CrossRef]
- Maisonneuve, E.; Gerdes, K. Molecular Mechanisms Underlying Bacterial Persisters. Cell 2014, 157, 539–548. [Google Scholar] [CrossRef]
- Gerdes, K.; Christensen, S.K.; Løbner-Olesen, A. Prokaryotic Toxin–Antitoxin Stress Response Loci. Nat. Rev. Microbiol. 2005, 3, 371–382. [Google Scholar] [CrossRef] [PubMed]
- Koga, M.; Otsuka, Y.; Lemire, S.; Yonesaki, T. Escherichia coli rnlA and rnlB Compose a Novel Toxin–Antitoxin System. Genetics 2011, 187, 123–130. [Google Scholar] [CrossRef]
- Gerdes, K.; Maisonneuve, E. Bacterial Persistence and Toxin-Antitoxin Loci. Annu. Rev. Microbiol. 2012, 66, 103–123. [Google Scholar] [CrossRef] [PubMed]
- Zhang, S.-P.; Wang, Q.; Quan, S.-W.; Yu, X.-Q.; Wang, Y.; Guo, D.-D.; Peng, L.; Feng, H.-Y.; He, Y.-X. Type II Toxin–Antitoxin System in Bacteria: Activation, Function, and Mode of Action. Biophys. Rep. 2020, 6, 68–79. [Google Scholar] [CrossRef]
- Magiorakos, A.-P.; Srinivasan, A.; Carey, R.B.; Carmeli, Y.; Falagas, M.E.; Giske, C.G.; Harbarth, S.; Hindler, J.F.; Kahlmeter, G.; Olsson-Liljequist, B.; et al. Multidrug-Resistant, Extensively Drug-Resistant and Pandrug-Resistant Bacteria: An International Expert Proposal for Interim Standard Definitions for Acquired Resistance. Clin. Microbiol. Infect. 2012, 18, 268–281. [Google Scholar] [CrossRef]
- Thacharodi, A.; Vithlani, A.; Hassan, S.; Alqahtani, A.; Pugazhendhi, A. Carbapenem-Resistant Acinetobacter baumannii Raises Global Alarm for New Antibiotic Regimens. iScience 2024, 27, 111367. [Google Scholar] [CrossRef]
- Kunnath, A.P.; Suodha Suoodh, M.; Chellappan, D.K.; Chellian, J.; Palaniveloo, K. Bacterial Persister Cells and Development of Antibiotic Resistance in Chronic Infections: An Update. Br. J. Biomed. Sci. 2024, 81, 12958. [Google Scholar] [CrossRef] [PubMed]
- Hashemi, M.J.; Dhaouadi Khattab, Y.; Ren, D. Mini Review: Persister Cell Control Strategies. Front. Pharmacol. 2025, 16, 1706115. [Google Scholar] [CrossRef]
- Andrade, F.F.; Silva, D.; Rodrigues, A.; Pina-Vaz, C. Colistin Update on Its Mechanism of Action and Resistance, Present and Future Challenges. Microorganisms 2020, 8, 1716. [Google Scholar] [CrossRef]
- Alexandersen, N.R.; Nielsen, K.L.; Häussler, S.; Bjarnsholt, T.; Schønning, K. Antibiotic Tolerance and Persistence in Clinical Isolates of Escherichia coli Evaluated by High-Resolution Time-Kill Assays. Microbiol. Spectr. 2025, 13, e01124-25. [Google Scholar] [CrossRef]
- Liu, X.; Tang, R.; Li, H.; Wang, L.; Wan, C. The Physiological and Ecological Properties of Bacterial Persisters Discovered from Municipal Sewage Sludge and the Potential Risk. Environ. Res. 2022, 205, 112481. [Google Scholar] [CrossRef]
- Windels, E.M.; Michiels, J.E.; Fauvart, M.; Wenseleers, T.; Van Den Bergh, B.; Michiels, J. Bacterial Persistence Promotes the Evolution of Antibiotic Resistance by Increasing Survival and Mutation Rates. ISME J. 2019, 13, 1239–1251. [Google Scholar] [CrossRef]
- Iacono, M.; Villa, L.; Fortini, D.; Bordoni, R.; Imperi, F.; Bonnal, R.J.P.; Sicheritz-Ponten, T.; De Bellis, G.; Visca, P.; Cassone, A.; et al. Whole-Genome Pyrosequencing of an Epidemic Multidrug-Resistant Acinetobacter baumannii Strain Belonging to the European Clone II Group. Antimicrob. Agents Chemother. 2008, 52, 2616–2625. [Google Scholar] [CrossRef]
- Hamidian, M.; Wick, R.R.; Hartstein, R.M.; Judd, L.M.; Holt, K.E.; Hall, R.M. Insights from the Revised Complete Genome Sequences of Acinetobacter baumannii Strains AB307-0294 and ACICU Belonging to Global Clones 1 and 2. Microb. Genom. 2019, 5, e000298. [Google Scholar] [CrossRef]
- Yang, Q.E.; Walsh, T.R. Toxin–Antitoxin Systems and Their Role in Disseminating and Maintaining Antimicrobial Resistance. FEMS Microbiol. Rev. 2017, 41, 343–353. [Google Scholar] [CrossRef] [PubMed]
- Cheverton, A.M.; Gollan, B.; Przydacz, M.; Wong, C.T.; Mylona, A.; Hare, S.A.; Helaine, S. A Salmonella Toxin Promotes Persister Formation through Acetylation of tRNA. Mol. Cell 2016, 63, 86–96. [Google Scholar] [CrossRef] [PubMed]
- Vetting, M.W.; de Carvalho, L.P.S.; Yu, M.; Hegde, S.S.; Magnet, S.; Roderick, S.L.; Blanchard, J.S. Structure and Functions of the GNAT Superfamily of Acetyltransferases. Arch. Biochem. Biophys. 2005, 433, 212–226. [Google Scholar] [CrossRef]
- Cruz, J.W.; Rothenbacher, F.P.; Maehigashi, T.; Lane, W.S.; Dunham, C.M.; Woychik, N.A. Doc Toxin Is a Kinase That Inactivates Elongation Factor Tu. J. Biol. Chem. 2014, 289, 7788–7798. [Google Scholar] [CrossRef] [PubMed]
- Hou, B.; Wang, C.-Y.; Li, S.-W.; Zhou, L.-J.; Che, Y.-L.; Chen, Q.-Y. Effects of Toxin-Antitoxin System HicAB on Biofilm Formation by Extraintestinal Pathogenic E. coli. Curr. Microbiol. 2023, 80, 50. [Google Scholar] [CrossRef]
- Encina-Robles, J.; Pérez-Villalobos, V.; Bustamante, P. The HicAB System: Characteristics and Biological Roles of an Underappreciated Toxin-Antitoxin System. Int. J. Mol. Sci. 2024, 25, 12165. [Google Scholar] [CrossRef] [PubMed]
- Tripathi, V.; Darnauer, S.; Hartwig, N.R.; Obermann, W.M.J. Aha1 Can Act as an Autonomous Chaperone to Prevent Aggregation of Stressed Proteins. J. Biol. Chem. 2014, 289, 36220–36228. [Google Scholar] [CrossRef] [PubMed]
- ElBanna, S.A.; Moneib, N.A.; Aziz, R.K.; Samir, R. Genomics-Guided Identification of a Conserved CptBA-like Toxin-Antitoxin System in Acinetobacter baumannii. J. Adv. Res. 2021, 30, 159–170. [Google Scholar] [CrossRef]
- Jensen, R.B.; Gerdes, K. Programmed Cell Death in Bacteria: Proteic Plasmid Stabilization Systems. Mol. Microbiol. 1995, 17, 205–210. [Google Scholar] [CrossRef]
- Hayes, F.; Van Melderen, L. Toxins-Antitoxins: Diversity, Evolution and Function. Crit. Rev. Biochem. Mol. Biol. 2011, 46, 386–408. [Google Scholar] [CrossRef]
- Heaton, B.E.; Herrou, J.; Blackwell, A.E.; Wysocki, V.H.; Crosson, S. Molecular Structure and Function of the Novel BrnT/BrnA Toxin-Antitoxin System of Brucella Abortus. J. Biol. Chem. 2012, 287, 12098–12110. [Google Scholar] [CrossRef]
- Parsons, J.B.; Rock, C.O. Bacterial Lipids: Metabolism and Membrane Homeostasis. Progress. Lipid Res. 2013, 52, 249–276. [Google Scholar] [CrossRef] [PubMed]
- EUCAST. Available online: https://www.eucast.org/news-detail/updated-clinical-breakpoints-dosages-qc-and-methods-documents/ (accessed on 20 September 2025).
- Granata, G.; Stracquadanio, S.; Consoli, G.M.L.; Cafiso, V.; Stefani, S.; Geraci, C. Synthesis of a Calix [4]Arene Derivative Exposing Multiple Units of Fucose and Preliminary Investigation as a Potential Broad-Spectrum Antibiofilm Agent. Carbohydr. Res. 2019, 476, 60–64. [Google Scholar] [CrossRef]
- Chung, E.S.; Ko, K.S. Eradication of Persister Cells of Acinetobacter baumannii through Combination of Colistin and Amikacin Antibiotics. J. Antimicrob. Chemother. 2019, 74, 1277–1283. [Google Scholar] [CrossRef]
- Li, J.; Tai, C.; Deng, Z.; Zhong, W.; He, Y.; Ou, H.-Y. VRprofile: Gene-Cluster-Detection-Based Profiling of Virulence and Antibiotic Resistance Traits Encoded within Genome Sequences of Pathogenic Bacteria. Brief. Bioinform. 2017, 19, 566–574. [Google Scholar] [CrossRef]
- Guan, J.; Chen, Y.; Goh, Y.-X.; Wang, M.; Tai, C.; Deng, Z.; Song, J.; Ou, H.-Y. TADB 3.0: An Updated Database of Bacterial Toxin–Antitoxin Loci and Associated Mobile Genetic Elements. Nucleic Acids Res. 2024, 52, D784–D790. [Google Scholar] [CrossRef] [PubMed]
- Sharma, C.M.; Hoffmann, S.; Darfeuille, F.; Reignier, J.; Findeiß, S.; Sittka, A.; Chabas, S.; Reiche, K.; Hackermüller, J.; Reinhardt, R.; et al. The Primary Transcriptome of the Major Human Pathogen Helicobacter pylori. Nature 2010, 464, 250–255. [Google Scholar] [CrossRef] [PubMed]
- Wurtzel, O.; Yoder-Himes, D.R.; Han, K.; Dandekar, A.A.; Edelheit, S.; Greenberg, E.P.; Sorek, R.; Lory, S. The Single-Nucleotide Resolution Transcriptome of Pseudomonas aeruginosa Grown in Body Temperature. PLoS Pathog. 2012, 8, e1002945. [Google Scholar] [CrossRef] [PubMed]



| ST2 COL-S CRAB/Ab | T0 (CFU/mL) | T3 (CFU/mL) | T6 (CFU/mL) | T8 (CFU/mL) | T3% Survival | T6% Survival | T8% Survival |
|---|---|---|---|---|---|---|---|
| 1S | 2.0 ± 0.1 × 107 | 1.7 ± 0.4 × 107 | 3.4 ± 1.4 × 106 | 4.4 ± 1.1 ×105 | 85.0% | 17.0% | 2.2% |
| 2S | 2.7 ± 0.9 × 107 | 1.1 ± 0.2 × 107 | 1.0 ± 0.5 × 105 | 1.4 ± 0.2 × 105 | 40.7% | 3.7% | 0.5% |
| 3S | 2.2 ± 0.3 × 107 | 1.3 ± 0.2 × 107 | 2.1 ± 0.3 × 106 | 1.7 ± 0.2 × 105 | 59.1% | 9.5% | 0.8% |
| 4S | 2.0 ± 0.2 × 107 | 1.0 ± 0.1 × 107 | 8.4 ± 0.9 × 105 | 1.6 ± 0.3 × 105 | 50.0% | 4.2% | 0.8% |
| 5S | 2.3 ± 0.6 × 107 | 1.1 ± 0.2 × 107 | 7.4 ± 0.8 × 105 | 1.6 ± 0.4 × 105 | 47.8% | 3.2% | 0.7% |
| 6S | 2.1 ± 0.2 ×107 | 1.1 ± 0.1 × 107 | 7.1 ± 0.8 × 105 | 1.6 ± 0.2 × 105 | 52.4% | 3.4% | 0.8% |
| 7S | 2.1 ± 0.2 × 107 | 1.1 ± 0.1 × 107 | 1.0 ± 0.1 × 106 | 2.0 ± 0.2 × 105 | 52.4% | 4.8% | 1.0% |
| 8S | 1.9 ± 0.2 × 107 | 9.8 ± 0.9 × 106 | 6.2 ± 0.6 × 105 | 1.4 ± 0.2 × 105 | 51.6% | 3.3% | 0.7% |
| 9S | 2.1 ± 0.2 × 107 | 1.3 ± 0.1 × 107 | 1.3 ± 0.1 × 106 | 2.4 ± 0.1 × 105 | 61.9% | 6.2% | 1.1% |
| 10S | 2.2 ± 0.5 × 107 | 1.4 ± 0.2 × 107 | 2.6 ± 0.6 × 106 | 2.3 ± 0.6 × 105 | 63.6% | 11.8% | 1.0% |
| Ab ACICU | 2.5 ± 0.5 × 107 | 2.0 ± 0.3 × 107 | 8.2 ± 2.2 × 106 | 4.4 ± 1.1 × 106 | 80.0% | 32.8% | 17.6% |
| T/A-Type | Localization | T/A Family | Protein Domain | ST2 COL-S CRAB 1 | ST2 COL-S CRAB 2 | ST2 COL-S Ab ACICU |
|---|---|---|---|---|---|---|
| II | Chromosome | GNAT/relB | GNAT/DinJ | + | + | + |
| II | Chromosome | - | GNAT/HTH_31 | + | + | + |
| II | Chromosome | - | Acetyltransf_4/HTH_24 | + | + | + |
| II | Chromosome | -/panA | AGP_acyltrn/panA | + | + | + |
| II | Chromosome | doc/NpoA | Doc/NpoA | + | + | + |
| II | Chromosome | hicA/hicB | HicA/HicB | + | + | + |
| IV | Chromosome | cptA/cptB | CptA/CptB | + | + | + |
| II | Chromosome | -/vapB | SRPBCC_CalC_Aha1-like/vapB | + | + | + |
| II | Plasmid | brnT/brnA | BrnT/BrnA | + | + | - |
| II | Chromosome | higB/higA | COG4683/HTH_37 | - | + | - |
| II | Chromosome | relE/hicB | -/HicB | - | - | + |
| Expression | Type | T/A Module | Ref.Gen. ACICU | Product | RPKM 1S | RPKM 2S |
|---|---|---|---|---|---|---|
| Toxin/Antitoxin | II | BrnT/A | - | BrnT | 1329 | 2523 |
| - | BrnA | 6575 | 5907 | |||
| Toxin/Antitoxin and toxin asRNA | h-IIt | GNAT/DinJ | ACICU_02316 | GNAT | 161 | 115 |
| ACICU_02316 | Antisense GNAT | 276 | 290 | |||
| ACICU_02315 | DinJ | 17 | 21 | |||
| AGP_acyltrn/PanA | ACICU_00518 | AGP_acyltrn | 23 | 12 | ||
| ACICU_00518 | Antisense AGP | 211 | 31 | |||
| ACICU_00519 | PanA | 5 | 6 | |||
| HicA/HicB | ACICU_02726 | Antisense HicA | 64 | 167 | ||
| ACICU_02725 | HicB | 0 | 0 | |||
| Toxin/Antitoxin and antitoxin asRNA | h-IIa | GNAT/HTH_31 | ACICU_01559 | GNAT | 6 | 5 |
| ACICU_01558 | HTH_31 | 8 | 16 | |||
| ACICU_01558 | Antisense HTH_31 | 253 | 120 | |||
| ACICU_01558 | Antisense HTH_31 | 144 | 198 | |||
| ACICU_01558 | Antisense HTH_31 | 757 | 317 | |||
| CptA/B | ACICU_03248 | CptA | 9 | 6 | ||
| ACICU_03249 | CptB | 16 | 15 | |||
| ACICU_03249 | Antisense CptB | 147 | 230 | |||
| Antitoxin only | II | Doc/NpoA | ACICU_00915 | Doc | 0 | 0 |
| ACICU_00916 | NpoA | 1 | 15 | |||
| AHA1/VapB | ACICU_03070 | AHA1 | 0 | 0 | ||
| ACICU_03071 | VapB | 40 | 31 |
Disclaimer/Publisher’s Note: The statements, opinions and data contained in all publications are solely those of the individual author(s) and contributor(s) and not of MDPI and/or the editor(s). MDPI and/or the editor(s) disclaim responsibility for any injury to people or property resulting from any ideas, methods, instructions or products referred to in the content. |
© 2026 by the authors. Licensee MDPI, Basel, Switzerland. This article is an open access article distributed under the terms and conditions of the Creative Commons Attribution (CC BY) license.
Share and Cite
Chines, E.; Boscarelli, L.; Vertillo Aluisio, G.; Santagati, M.; Mezzatesta, M.L.; Cafiso, V. Deciphering the Emergence of Biofilm-Independent Colistin Persistence and Resistance in A. baumannii: Toxin–Antitoxin Omics and Novel T/A mRNA-asRNA Balance Regulatory Models. Antibiotics 2026, 15, 337. https://doi.org/10.3390/antibiotics15040337
Chines E, Boscarelli L, Vertillo Aluisio G, Santagati M, Mezzatesta ML, Cafiso V. Deciphering the Emergence of Biofilm-Independent Colistin Persistence and Resistance in A. baumannii: Toxin–Antitoxin Omics and Novel T/A mRNA-asRNA Balance Regulatory Models. Antibiotics. 2026; 15(4):337. https://doi.org/10.3390/antibiotics15040337
Chicago/Turabian StyleChines, Eleonora, Ludovica Boscarelli, Gaia Vertillo Aluisio, Maria Santagati, Maria Lina Mezzatesta, and Viviana Cafiso. 2026. "Deciphering the Emergence of Biofilm-Independent Colistin Persistence and Resistance in A. baumannii: Toxin–Antitoxin Omics and Novel T/A mRNA-asRNA Balance Regulatory Models" Antibiotics 15, no. 4: 337. https://doi.org/10.3390/antibiotics15040337
APA StyleChines, E., Boscarelli, L., Vertillo Aluisio, G., Santagati, M., Mezzatesta, M. L., & Cafiso, V. (2026). Deciphering the Emergence of Biofilm-Independent Colistin Persistence and Resistance in A. baumannii: Toxin–Antitoxin Omics and Novel T/A mRNA-asRNA Balance Regulatory Models. Antibiotics, 15(4), 337. https://doi.org/10.3390/antibiotics15040337

