A Risk Model Incorporating the Novel Inflammatory Biomarker CD64 for Predicting Bloodstream Infection in Suspected Cases
Abstract
1. Introduction
2. Results
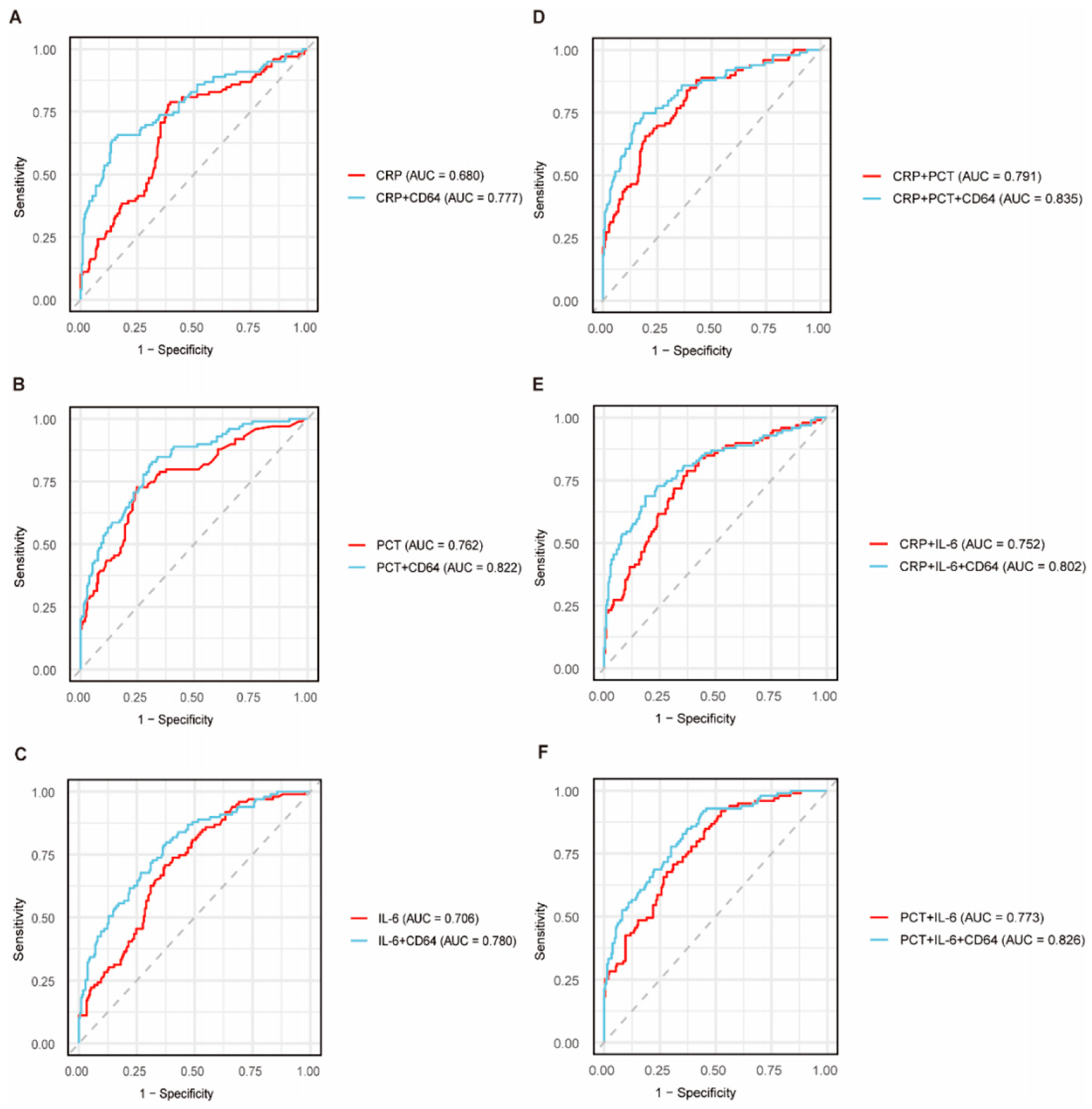
2.1. Performance of Serum Inflammatory Markers in Identifying BSI
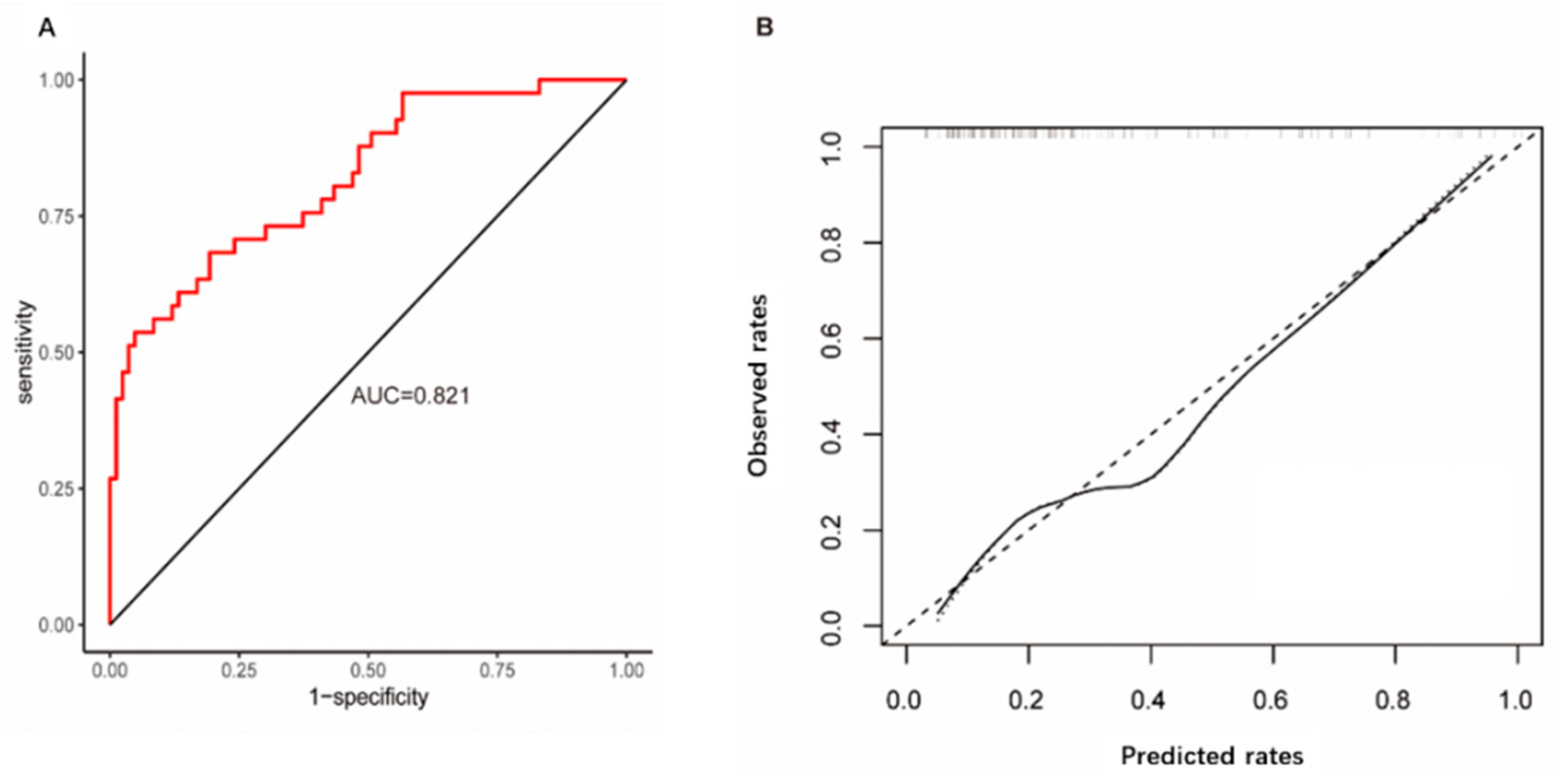
2.2. Development and Utility of the Prediction Model
3. Discussion
4. Materials and Methods
4.1. Study Design
4.2. Study Population
4.3. Data Collection
4.4. Laboratory Tests
4.5. Statistical Analysis
5. Conclusions
Supplementary Materials
Author Contributions
Funding
Institutional Review Board Statement
Informed Consent Statement
Data Availability Statement
Acknowledgments
Conflicts of Interest
Abbreviations
| BSI | Bloodstream infection |
| CFUs | Colony-forming units |
| NGS | Next-generation sequencing |
| CRP | C-reactive protein |
| PCT | Procalcitonin |
| AUC | Area under the receiver operating characteristic curve |
| ELISA | Enzyme-linked immunosorbent assay |
| LASSO | Least absolute shrinkage and selection operator |
| ROC | Receiver operating characteristic |
| DCA | Decision curve analysis |
| WBC | White blood cell count |
| PLT | Platelet count |
References
- Timsit, J.F.; Ruppé, E.; Barbier, F.; Tabah, A.; Bassetti, M. Bloodstream infections in critically ill patients: An expert statement. Intensive Care Med. 2020, 46, 266–284. [Google Scholar] [CrossRef]
- Kontula, K.S.K.; Skogberg, K.; Ollgren, J.; Järvinen, A.; Lyytikäinen, O. Population-Based Study of Bloodstream Infection Incidence and Mortality Rates, Finland, 2004–2018. Emerg. Infect. Dis. 2021, 27, 2560–2569. [Google Scholar] [CrossRef] [PubMed]
- Tacconelli, E.; Göpel, S.; Gladstone, B.P.; Eisenbeis, S.; Hölzl, F.; Buhl, M.; Górska, A.; Cattaneo, C.; Mischnik, A.; Rieg, S.; et al. Development and validation of BLOOMY prediction scores for 14-day and 6-month mortality in hospitalised adults with bloodstream infections: A multicentre, prospective, cohort study. Lancet Infect. Dis. 2022, 22, 731–741. [Google Scholar] [CrossRef] [PubMed]
- Jennings, M.R.; Elhaissouni, N.; Colantuoni, E.; Prochaska, E.C.; Johnson, J.; Xiao, S.; Clark, R.H.; Greenberg, R.G.; Benjamin, D.K., Jr.; Milstone, A.M. Epidemiology and Mortality of Invasive Staphylococcus aureus Infections in Hospitalized Infants. JAMA Pediatr. 2025, 179, 747–755. [Google Scholar] [CrossRef]
- Adrie, C.; Garrouste-Orgeas, M.; Ibn Essaied, W.; Schwebel, C.; Darmon, M.; Mourvillier, B.; Ruckly, S.; Dumenil, A.-S.; Kallel, H.; Argaud, L.; et al. Attributable mortality of ICU-acquired bloodstream infections: Impact of the source, causative micro-organism, resistance profile and antimicrobial therapy. J. Infect. 2017, 74, 131–141. [Google Scholar] [CrossRef]
- Kern, W.V.; Rieg, S. Burden of bacterial bloodstream infection-a brief update on epidemiology and significance of multidrug-resistant pathogens. Clin. Microbiol. Infect. 2020, 26, 151–157. [Google Scholar] [CrossRef] [PubMed]
- Filbrun, A.B.; Richardson, J.C.; Khanal, P.C.; Tzeng, Y.L.; Dickson, R.M. Rapid, label-free antibiotic susceptibility determined directly from positive blood culture. Cytom. A 2022, 101, 564–566. [Google Scholar] [CrossRef]
- Wain, J.; Diep, T.S.; Ho, V.A.; Walsh, A.M.; Hoa, N.T.T.; Parry, C.M.; White, N.J. Quantitation of bacteria in blood of typhoid fever patients and relationship between counts and clinical features, transmissibility, and antibiotic resistance. J. Clin. Microbiol. 1998, 36, 1683–1687. [Google Scholar] [CrossRef]
- Biondi, E.A.; Mischler, M.; Jerardi, K.E.; Statile, A.M.; French, J.; Evans, R.; Lee, V.; Chen, C.; Asche, C.; Ren, J.; et al. Pediatric Research in Inpatient Settings (PRIS) Network. Blood culture time to positivity in febrile infants with bacteremia. JAMA Pediatr. 2014, 168, 844–849. [Google Scholar] [CrossRef]
- Wang, Y.; Lindsley, K.; Bleak, T.C.; Jiudice, S.; Uyei, J.; Gu, Y.; Wang, Y.; Timbrook, T.T.; Balada-Llasat, J.-M. Performance of molecular tests for diagnosis of bloodstream infections in the clinical setting: A systematic literature review and meta-analysis. Clin. Microbiol. Infect. 2025, 31, 360–372. [Google Scholar] [CrossRef]
- Harikrishna, J.; Mohan, A.; Kalyana Chakravarthi, D.P.; Chaudhury, A.; Kumar, B.S.; Sarma, K.V.S. Serum procalcitonin as a biomarker of bloodstream infection & focal bacterial infection in febrile patients. Indian J. Med. Res. 2020, 151, 342–349. [Google Scholar]
- Kasperska-Zajac, A.; Grzanka, A.; Machura, E.; Mazur, B.; Misiolek, M.; Czecior, E.; Kasperski, J.; Jochem, J. Analysis of procalcitonin and CRP concentrations in serum of patients with chronic spontaneous urticaria. Inflamm. Res. 2013, 62, 309–312. [Google Scholar] [CrossRef][Green Version]
- Mućka, S.; Jakubiak, G.K.; Pawlas, N. Procalcitonin: Infection or Maybe Something More? Noninfectious Causes of Increased Serum Procalcitonin Concentration: Updated Knowledge. Life 2025, 15, 446. [Google Scholar] [CrossRef]
- Cid, J.; Aguinaco, R.; Sánchez, R.; García-Pardo, G.; Llorente, A. Neutrophil CD64 expression as marker of bacterial infection: A systematic review and meta-analysis. J. Infect. 2010, 60, 313–319. [Google Scholar] [CrossRef]
- Lan, H.M.; Wu, C.C.; Liu, S.H.; Li, C.-H.; Tu, Y.-K.; Chen, K.-F. Comparison of the diagnostic accuracies of various biomarkers and scoring systems for sepsis: A systematic review and Bayesian diagnostic test accuracy network meta-analysis. J. Crit. Care 2025, 88, 155087. [Google Scholar] [CrossRef]
- Yu, L.; Cen, P.; Zhang, L.; Ke, J.; Xu, X.; Ding, J.; Jin, J.; Leng, J.; Yu, Y. Neutrophil CD64 index as a good biomarker for early diagnosis of bacterial infection in pregnant women during the flu season. Influenza Other Respir. Viruses 2023, 17, e13191. [Google Scholar] [CrossRef] [PubMed]
- Frimpong, A.; Owusu, E.D.A.; Amponsah, J.A.; Obeng-Aboagye, E.; van der Puije, W.; Frempong, A.F.; Kusi, K.A.; Ofori, M.F. Cytokines as Potential Biomarkers for Differential Diagnosis of Sepsis and Other Non-Septic Disease Conditions. Front. Cell Infect. Microbiol. 2022, 12, 901433. [Google Scholar] [CrossRef]
- Wang, H.; Wang, M.; Chen, J.; Hou, H.; Guo, Z.; Yang, H.; Tang, H.; Chen, B. Interleukin-36 is overexpressed in human sepsis and IL-36 receptor deletion aggravates lung injury and mortality through epithelial cells and fibroblasts in experimental murine sepsis. Crit. Care 2023, 27, 490. [Google Scholar] [CrossRef]
- Reintam Blaser, A.; Starkopf, J.; Björck, M.; Forbes, A.; Kase, K.; Kiisk, E.; Laisaar, K.-T.; Mihnovits, V.; Murruste, M.; Mändul, M.; et al. Diagnostic accuracy of biomarkers to detect acute mesenteric ischaemia in adult patients: A systematic review and meta-analysis. World J. Emerg. Surg. 2023, 18, 44. [Google Scholar] [CrossRef] [PubMed]
- Hoeboer, S.H.; van der Geest, P.J.; Nieboer, D.; Groeneveld, A.B. The diagnostic accuracy of procalcitonin for bacteraemia: A systematic review and meta-analysis. Clin. Microbiol. Infect. 2015, 21, 474–481. [Google Scholar] [CrossRef] [PubMed]
- Lee, C.C.; Hong, M.Y.; Lee, N.Y.; Chen, P.L.; Chang, C.M.; Ko, W.C. Pitfalls in using serum C-reactive protein to predict bacteremia in febrile adults in the ED. Am. J. Emerg. Med. 2012, 30, 562–569. [Google Scholar] [CrossRef]
- El Haddad, H.; Chaftari, A.M.; Hachem, R.; Chaftari, P.; Raad, I.I. Biomarkers of Sepsis and Bloodstream Infections: The Role of Procalcitonin and Proadrenomedullin With Emphasis in Patients With Cancer. Clin. Infect. Dis. 2018, 67, 971–977. [Google Scholar] [CrossRef]
- Lin, J.C.; Chen, Z.H.; Chen, X.D. Elevated serum procalcitonin predicts Gram-negative bloodstream infections in patients with burns. Burns 2020, 46, 182–189. [Google Scholar] [CrossRef] [PubMed]
- Sun, Q.; Lin, Q.; Lv, Y.; Tian, Z.; Yan, Q.; Yu, Y.; Fu, X.; Yao, H.; Sun, F.; Xia, Y.; et al. Predictive value of serum procalcitonin level for the diagnosis of bloodstream infections in hematological patients. BMC Infect. Dis. 2025, 25, 162. [Google Scholar] [CrossRef] [PubMed]
- Han, Z.; Li, J.; Yi, X.; Zhang, T.; Liao, D.; You, J.; Ai, J. Diagnostic accuracy of interleukin-6 in multiple diseases: An umbrella review of meta-analyses. Heliyon 2024, 10, e27769. [Google Scholar] [CrossRef]
- Guba, S.C.; Sartor, C.I.; Gottschalk, L.R.; Jing, Y.H.; Mulligan, T.; Emerson, S.G. Bone marrow stromal fibroblasts secrete interleukin-6 and granulocyte-macrophage colony-stimulating factor in the absence of inflammatory stimulation: Demonstration by serum-free bioassay, enzyme-linked immunosorbent assay, and reverse transcriptase polymerase chain reaction. Blood 1992, 80, 1190–1198. [Google Scholar] [PubMed]
- Malic, L.; Zhang, P.G.Y.; Plant, P.J.; Clime, L.; Nassif, C.; Da Fonte, D.; Haney, E.E.; Moon, B.-U.; Sit, V.M.-S.; Brassard, D.; et al. A machine learning and centrifugal microfluidics platform for bedside prediction of sepsis. Nat. Commun. 2025, 16, 4442. [Google Scholar] [CrossRef]
- Villani Júnior, A.; Freire, M.P.; Lazar Neto, F.; De Padua Covas Lage, L.A.; Oliveira, M.S.; Abdala, E.; Nunes, F.L.S.; Levin, A.S.S. Prediction of bacterial and fungal bloodstream infections using machine learning in patients undergoing chemotherapy. Eur. J. Cancer 2025, 223, 115516. [Google Scholar] [CrossRef]
- Yesil, M.R.; Talli, I.; Pelloso, M.; Cosma, C.; Pangrazzi, E.; Plebani, M.; Ustundag, Y.; Padoan, A. Impact of analytical bias on machine learning models for sepsis prediction using laboratory data. Clin. Chem. Lab. Med. 2025, 63, 2022–2030. [Google Scholar] [CrossRef]
- Wiens, J.; Shenoy, E.S. Machine Learning for Healthcare: On the Verge of a Major Shift in Healthcare Epidemiology. Clin. Infect. Dis. 2018, 66, 149–153. [Google Scholar] [CrossRef]
- Su, M.; Satola, S.W.; Read, T.D. Genome-Based Prediction of Bacterial Antibiotic Resistance. J. Clin. Microbiol. 2019, 57, e01405–e01418. [Google Scholar] [CrossRef]
- Minar, P.; Jackson, K.; Tsai, Y.T.; Sucharew, H.; Rosen, M.J.; A Denson, L. Validation of Neutrophil CD64 Blood Biomarkers to Detect Mucosal Inflammation in Pediatric Crohn’s Disease. Inflamm. Bowel Dis. 2017, 24, 198–208. [Google Scholar] [CrossRef] [PubMed]
- Nuutila, J. The novel applications of the quantitative analysis of neutrophil cell surface FcgammaRI (CD64) to the diagnosis of infectious and inflammatory diseases. Curr. Opin. Infect. Dis. 2010, 23, 268–274. [Google Scholar] [CrossRef]
- Dimoula, A.; Pradier, O.; Kassengera, Z.; Dalcomune, D.; Turkan, H.; Vincent, J.L. Serial determinations of neutrophil CD64 expression for the diagnosis and monitoring of sepsis in critically ill patients. Clin. Infect. Dis. 2014, 58, 820–829. [Google Scholar] [CrossRef]
- Xu, Y.; Jin, X.; Shao, X.; Zheng, F.; Zhou, H. Valuable prognostic indicators for severe burn sepsis with inhalation lesion: Age, platelet count, and procalcitonin. Burn. Trauma 2018, 6, 29. [Google Scholar] [CrossRef]
- Li, S.; Yu, S.; Qin, J.; Peng, M.; Qian, J.; Zhou, P. Prognostic value of platelet count-related ratios on admission in patients with pyogenic liver abscess. BMC Infect. Dis. 2022, 22, 636. [Google Scholar] [CrossRef]
- Anderer, S. Shorter Antibiotic Course Effective for Bloodstream Infections. JAMA 2025, 333, 279. [Google Scholar] [CrossRef] [PubMed]
- Collins, G.S.; Reitsma, J.B.; Altman, D.G.; Moons, K.G. Transparent Reporting of a multivariable prediction model for Individual Prognosis or Diagnosis (TRIPOD): The TRIPOD statement. Ann. Intern. Med. 2015, 162, 55–63. [Google Scholar] [CrossRef]
- Xu, T.; Wu, S.; Li, J.; Wang, L.; Huang, H. Development of a risk prediction model for bloodstream infection in patients with fever of unknown origin. J. Transl. Med. 2022, 20, 575. [Google Scholar] [CrossRef] [PubMed]
- Zipursky, A.R.; Yoon, E.W.; Emberley, J.; Bertelle, V.; Kanungo, J.; Lee, S.K.; Shah, P.S. Canadian Neonatal Network Investigators. Central Line-Associated Blood Stream Infections and Non-Central Line-Associated Blood Stream Infections Surveillance in Canadian Tertiary Care Neonatal Intensive Care Units. J. Pediatr. 2019, 208, 176–182.e6. [Google Scholar] [CrossRef]
- Van Calster, B.; Wynants, L.; Verbeek, J.F.M.; Verbakel, J.Y.; Christodoulou, E.; Vickers, A.J.; Roobol, M.J.; Steyerberg, E.W. Reporting and Interpreting Decision Curve Analysis: A Guide for Investigators. Eur. Urol. 2018, 74, 796–804. [Google Scholar] [CrossRef] [PubMed]
- Morris, C.K.; Myers, J.; Froelicher, V.F.; Kawaguchi, T.; Ueshima, K.; Hideg, A. Nomogram based on metabolic equivalents and age for assessing aerobic exercise capacity in men. J. Am. Coll. Cardiol. 1993, 22, 175–182. [Google Scholar] [CrossRef] [PubMed]




| Characteristic | Total | Bloodstream Infection | p Value | |
|---|---|---|---|---|
| Yes | No | |||
| Number of patients | 309 | 99 | 210 | NA |
| Demographics | ||||
| Age (years) | 61 (49–72) | 63 (53–74) | 59 (47–72) | 0.131 |
| Male sex | 106 (34.0) | 35 (35.0) | 71 (71.0) | 0.890 |
| Comorbidity | ||||
| Diabetes mellitus | 76 (25.0) | 26 (26.0) | 50 (24.0) | 0.745 |
| Heart failure | 8 (3.0) | 2 (2.0) | 6 (3.0) | 1.000 |
| Liver cirrhosis | 54 (17.0) | 23 (23.0) | 31 (15.0) | 0.095 |
| Chronic kidney disease | 23 (7.0) | 9 (9.0) | 14 (7.0) | 0.599 |
| Collective tissue disease | 18 (6.0) | 5 (5.0) | 13 (6.0) | 0.889 |
| Solid tumor | 52 (17.0) | 22 (22.0) | 30 (14.0) | 0.115 |
| Hematological malignancy | 14 (5.0) | 5 (5.0) | 9 (4.0) | 0.774 |
| Local infection | 151 (49.0) | 27 (27.0) | 124 (59.0) | <0.01 |
| Other underlying condition | ||||
| Corticosteroid use a | 52 (17.0) | 21 (21.0) | 31 (15.0) | 0.211 |
| Immunosuppressants | 20 (6.0) | 12 (12.0) | 8 (4.0) | 0.012 |
| Chemotherapy a | 13 (4.0) | 5 (5.0) | 8 (4.0) | 0.012 |
| Invasive procedure a | 75 (24.0) | 38 (38.0) | 37 (18.0) | 0.006 |
| Catheter use | 141 (45.6) | 81 (81.8) | 60 (28.6) | 0.0013 |
| Laboratory analysis | ||||
| Hemoglobin (g/L) | 112 (92, 131) | 94 (80, 111) | 119 (103, 134) | <0.001 |
| White blood cell count (109/L) | 8.03 (5.66, 11.51) | 10.16 (6.01, 13.56) | 7.66 (5.6, 10.83) | 0.034 |
| Platelet count (109/L) | 178 (108, 260) | 141 (63, 200) | 201 (133, 290) | <0.001 |
| Alanine aminotransferase (U/L) | 30 (16, 67) | 30.5 (15, 59.25) | 29 (17, 97.5) | 0.337 |
| Aspartate aminotransferase (U/L) | 33 (20, 68) | 38 (20, 83.5) | 29.5 (20, 58.25) | 0.158 |
| Total bilirubin (μmol/L) | 13.7 (9, 29.3) | 20.2 (11.45, 49) | 11.5 (8.35, 21.4) | <0.001 |
| Direct bilirubin (μmol/L) | 3.4 (1.4, 7.9) | 5.2 (1.3, 17.75) | 2.8 (1.4, 5.88) | 0.006 |
| Globin (g/L) | 35 (30, 38) | 33 (28.5, 36) | 35 (31, 40) | <0.001 |
| Blood urea nitrogen (mmol/L) | 6 (4.5, 8.9) | 8.1 (5.45, 12.6) | 5.5 (4.3, 7.6) | <0.001 |
| Serum creatinine (μmol/L) | 61 (47, 83) | 68 (52.5, 126) | 59 (46, 75.5) | 0.002 |
| Variable | β-Coefficient | OR | 95% CI | p Value |
|---|---|---|---|---|
| Local infection | 1.295 | 3.650 | 1.447–9.208 | 0.006 |
| Platelet count | −0.005 | 0.995 | 0.991–0.999 | 0.013 |
| C-reactive protein | 0.023 | 1.024 | 1.013–1.035 | 0.000 |
| Procalcitonin | 0.409 | 1.505 | 1.014–2.233 | 0.042 |
| CD64 | 0.344 | 1.411 | 1.166–1.708 | 0.000 |
Disclaimer/Publisher’s Note: The statements, opinions and data contained in all publications are solely those of the individual author(s) and contributor(s) and not of MDPI and/or the editor(s). MDPI and/or the editor(s) disclaim responsibility for any injury to people or property resulting from any ideas, methods, instructions or products referred to in the content. |
© 2026 by the authors. Licensee MDPI, Basel, Switzerland. This article is an open access article distributed under the terms and conditions of the Creative Commons Attribution (CC BY) license.
Share and Cite
Xu, T.; Zhou, Y.; Wang, B.; Wang, L.; Wan, Y.; Wu, S.; Huang, H. A Risk Model Incorporating the Novel Inflammatory Biomarker CD64 for Predicting Bloodstream Infection in Suspected Cases. Antibiotics 2026, 15, 322. https://doi.org/10.3390/antibiotics15030322
Xu T, Zhou Y, Wang B, Wang L, Wan Y, Wu S, Huang H. A Risk Model Incorporating the Novel Inflammatory Biomarker CD64 for Predicting Bloodstream Infection in Suspected Cases. Antibiotics. 2026; 15(3):322. https://doi.org/10.3390/antibiotics15030322
Chicago/Turabian StyleXu, Teng, Yu Zhou, Bei Wang, Li Wang, Yinglu Wan, Shi Wu, and Haihui Huang. 2026. "A Risk Model Incorporating the Novel Inflammatory Biomarker CD64 for Predicting Bloodstream Infection in Suspected Cases" Antibiotics 15, no. 3: 322. https://doi.org/10.3390/antibiotics15030322
APA StyleXu, T., Zhou, Y., Wang, B., Wang, L., Wan, Y., Wu, S., & Huang, H. (2026). A Risk Model Incorporating the Novel Inflammatory Biomarker CD64 for Predicting Bloodstream Infection in Suspected Cases. Antibiotics, 15(3), 322. https://doi.org/10.3390/antibiotics15030322

