Goondoxazoles A–C: Anthelmintic Spiroketal Polyketide Alkaloids and Other Benzoxazoles from Australian Pasture Soil-Derived Streptomyces spp.
Abstract
1. Introduction
2. Results and Discussion
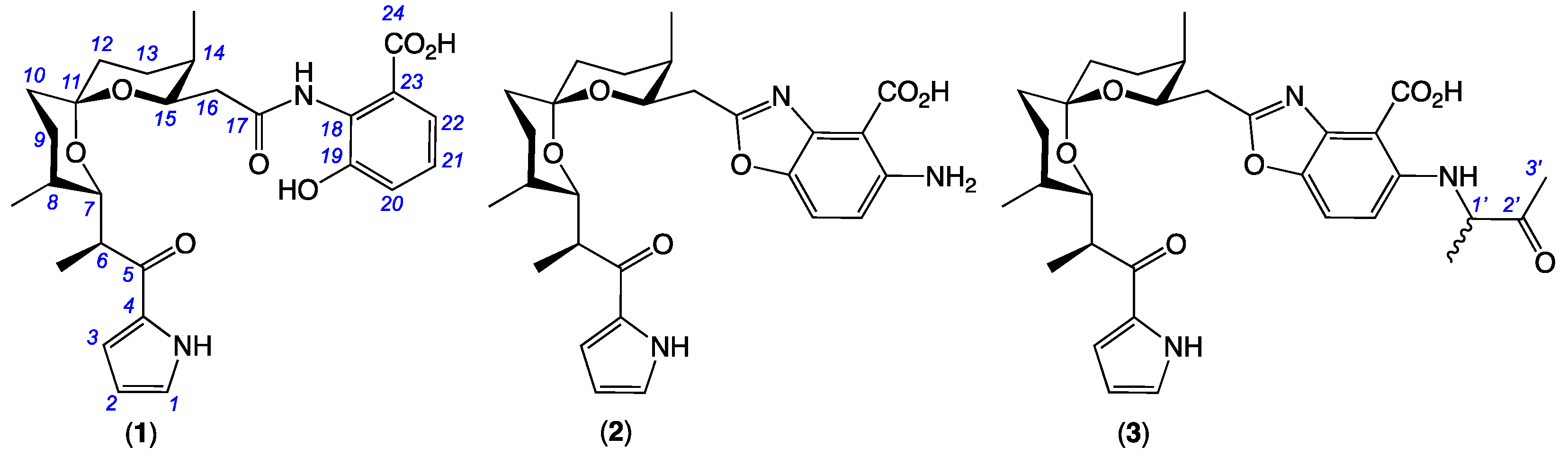
2.1. Structure Elucidation
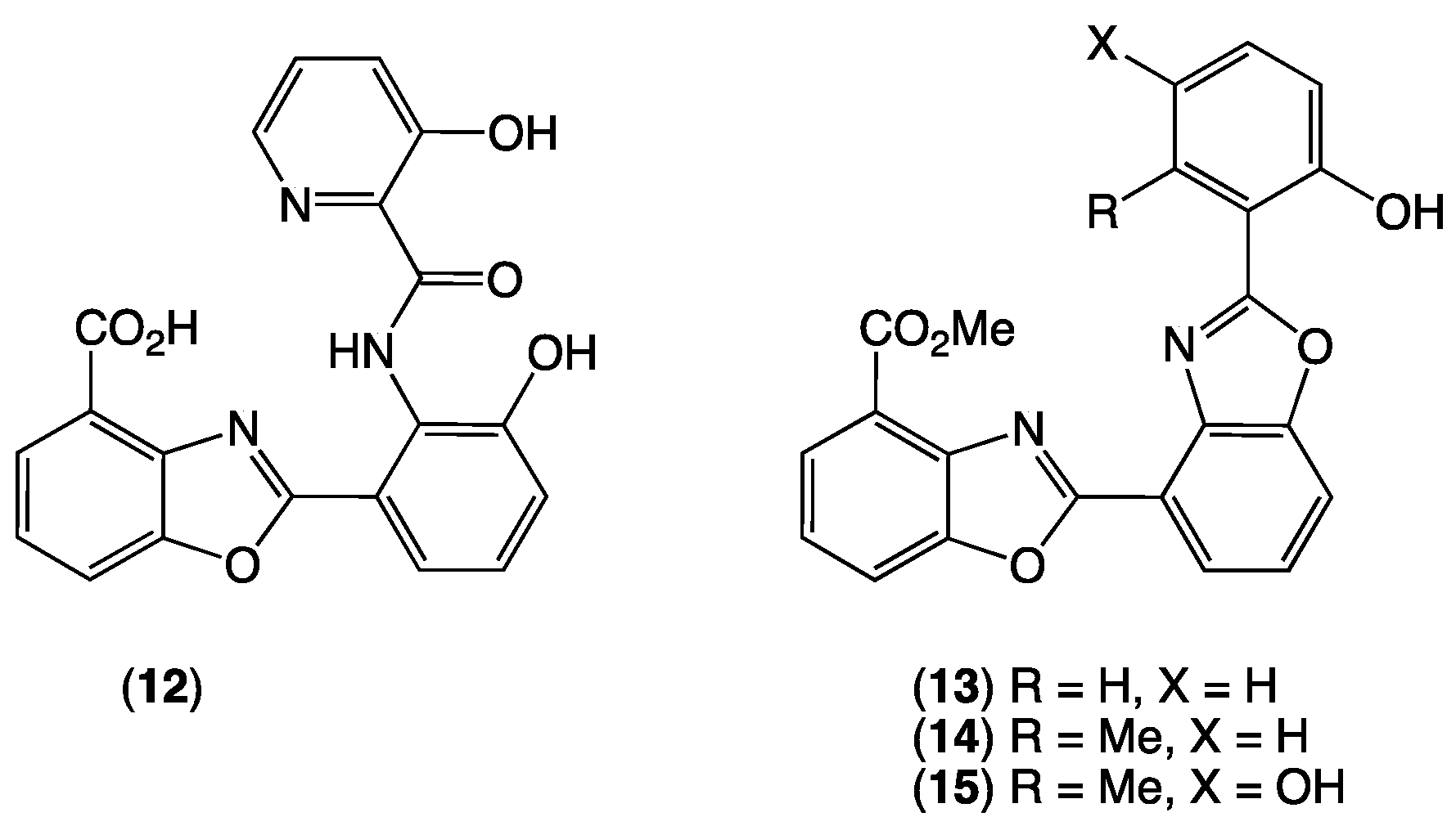
2.2. Reported Structure Family
2.3. Biological Assays and Parallel Studies
3. Materials and Methods
3.1. Collection of Soils and Isolating Microbes
3.2. Chemical Profiling (UPLC-DAD and UPLC-QTOF)
3.3. Chemical Profiling (GNPS Molecular Networking)
3.4. Anthelmintic Activity Profiling
3.5. Taxonomy of S4S-00193A39, S4S-00200B03, CMB-MRB574 and CMB-GD066
3.6. Phylogenetic Analysis of S4S-00193A39, S4S-00200B03, CMB-MRB574 and CMB-GD066
3.7. Cultivation Profiling (MATRIX)
3.8. Scale-Up Cultivation and Fractionation of S4S-00193A39
3.9. Scale-Up Cultivation and Fractionation of S4S-00200B03
3.10. Scale-Up Cultivation and Fractionation of CMB-MRB574
3.11. Scale-Up Cultivation and Fractionation of CMB-GD066
3.12. Cytotoxicity Assays
3.13. D. immitis Microfilariae Motility Inhibition Assay
3.14. Inhibition of Motility of D. immitis L4 Larvae Assay
3.15. H. contortus L1–L3 Larvae Development Assay (LDA)
4. Conclusions
Supplementary Materials
Author Contributions
Funding
Institutional Review Board Statement
Informed Consent Statement
Data Availability Statement
Acknowledgments
Conflicts of Interest
References
- Noack, S.; Harrington, J.; Carithers, D.S.; Kaminsky, R.; Selzer, P.M. Heartworm Disease–Overview, Intervention, and Industry Perspective. Int. J. Parasitol. Drugs Drug Resist. 2021, 16, 65–89. [Google Scholar] [CrossRef]
- Lok, J.B.; Knight, D.H.; Wang, G.T.; Doscher, M.E.; Nolan, T.J.; Hendrick, M.J.; Steber, W.; Heaney, K. Activity of an Injectable, Sustained-Release Formulation of Moxidectin Administered Prophylactically to Mixed-Breed Dogs to Prevent Infection with Dirofilaria immitis. Am. J. Vet. Res. 2001, 62, 1721–1726. [Google Scholar] [CrossRef]
- Diakou, A.; Prichard, R.K. Concern for Dirofilaria immitis and Macrocyclic Lactone Loss of Efficacy: Current Situation in the USA and Europe, and Future Scenarios. Pathogens 2021, 10, 1323. [Google Scholar] [CrossRef]
- Jin, S.; Bruhn, D.F.; Childs, C.T.; Burkman, E.; Moreno, Y.; Salim, A.A.; Khalil, Z.G.; Capon, R.J. Goondapyrones A-J: Polyketide α and γ Pyrone Anthelmintics from an Australian Soil-Derived Streptomyces sp. Antibiotics 2024, 13, 989. [Google Scholar] [CrossRef]
- Han, J.; Bruhn, D.F.; Roberts, D.C.; Burkman, E.; Moreno, Y.; Salim, A.A.; Capon, R.J. Goondomycins A–H: Carbocyclic Ansa-Polyketides from an Australian Pasture Streptomyces with Selective Activity against Dirofilaria immitis. J. Nat. Prod. 2024, 87, 2810–2821. [Google Scholar] [CrossRef]
- Han, J.; Bruhn, D.F.; Childs, C.T.; Moreno, Y.; Salim, A.A.; Wu, T.; Capon, R.J. Goondicones A–H: Spiro-Isoindolinone Heartworm Anthelmintics from an Australian Pasture-Soil-Derived Streptomyces sp. Antibiotics 2024, 13, 1222. [Google Scholar] [CrossRef]
- Han, J.; Bruhn, D.F.; Roberts, D.C.; Burkman, E.J.; Moreno, Y.; Bernhardt, P.V.; Salim, A.A.; Capon, R.J. Goondolinones A and B: Terpenyl-Quinolin-4(1H)-ones from an Australian Volcanic Crater Soil-Derived Actinomadura sp., with Selective Activity against Dirofilaria immitis (Heartworm). J. Nat. Prod. 2024, 87, 2855–2862. [Google Scholar] [CrossRef] [PubMed]
- Wang, M.; Carver, J.J.; Phelan, V.V.; Sanchez, L.M.; Garg, N.; Peng, Y.; Nguyen, D.D.; Watrous, J.; Kapono, C.A.; Luzzatto-Knaan, T.; et al. Sharing and Community Curation of Mass Spectrometry Data with Global Natural Products Social Molecular Networking. Nat. Biotechnol. 2016, 34, 828–837. [Google Scholar] [CrossRef] [PubMed]
- Salim, A.A.; Khalil, Z.G.; Elbanna, A.H.; Wu, T.; Capon, R.J. Methods in Microbial Biodiscovery. Mar. Drugs 2021, 19, 503. [Google Scholar] [CrossRef] [PubMed]
- Liu, C.-M.; Chin, M.; Prosser, B.L.T.; Palleroni, N.J.; Westley, J.W.; Miller, P.A. X-14885A, A Novel Divalent Cation Ionophore Produced by a Streptomyces Culture: Discovery, Fermentation, Biological as Well as Ionophore Properties and Taxonomy of the Producing Culture. J. Antibiot. 1983, 36, 1118–1122. [Google Scholar] [CrossRef]
- Westley, J.W.; Liu, C.-M.; Blount, J.F.; Sello, L.H.; Troupe, N.; Miller, P.A. Isolation and Characterization of a Novel Polyether Antibiotic of the Pyrrolether Class, Antibiotic X-14885A. J. Antibiot. 1983, 36, 1275–1278. [Google Scholar] [CrossRef] [PubMed]
- Shang, Z.; Salim, A.A.; Khalil, Z.; Quezada, M.; Bernhardt, P.V.; Capon, R.J. Viridicatumtoxins: Expanding on a Rare Tetracycline Antibiotic Scaffold. J. Org. Chem. 2015, 80, 12501–12508. [Google Scholar] [CrossRef]
- David, L.; Kergomard, A. Production by Controlled Biosynthesis of a Novel Ionophore Antibiotic, Cezomycin (Demethylamino A23187). J. Antibiot. 1982, 35, 1409–1411. [Google Scholar] [CrossRef] [PubMed]
- Reed, P.W.; Lardy, H.A. A23187: A Divalent Cation Ionophore. J. Biol. Chem. 1972, 247, 6970–6977. [Google Scholar] [CrossRef] [PubMed]
- Chaney, M.O.; Demarco, P.V.; Jones, N.D.; Occolowitz, J.L. Structure of A23187, a Divalent Cation Ionophore. J. Am. Chem. Soc. 1974, 96, 1932–1933. [Google Scholar] [CrossRef]
- Abbott, B.J.; Fukuda, D.S.; Dorman, D.E.; Occolowitz, J.L.; Debono, M.; Farhner, L. Microbial Transformation of A23187, a Divalent Cation Ionophore Antibiotic. Antimicrob. Agents Chemother. 1979, 16, 808–812. [Google Scholar] [CrossRef]
- Yaginuma, S.; Awata, M.; Muto, N.; Kinoshita, K.; Mizuno, K. A Novel Polyether Antibiotic, AC7230 (3-Hydroxycezomycin or Its Stereoisomer). J. Antibiot. 1987, 40, 239–241. [Google Scholar] [CrossRef] [PubMed]
- Cullen, W.P.; Celmer, W.D.; Chappel, L.R.; Huang, L.H.; Jefferson, M.T.; Ishiguro, M.; Maeda, H.; Nishiyama, S.; Oscarson, J.R.; Shibakawa, R.; et al. CP-61,405, a Novel Polycyclic Pyrrolether Antibiotic Produced by Streptomyces routienii Huang sp. nov. J. Ind. Microbiol. 1988, 2, 349–357. [Google Scholar] [CrossRef]
- Díez-Martin, D.; Kotecha, N.R.; Ley, S.V.; Mantegani, S.; Menéndez, J.C.; Organ, H.M.; White, A.D.; Banks, B.J. Total Synthesis of the Ionophore Antibiotic CP-61,405 (Routiennocin). Tetrahedron 1992, 48, 7899–7938. [Google Scholar] [CrossRef]
- Klika, K.D.; Haansuu, J.P.; Ovcharenko, V.V.; Haahtela, K.K.; Vuorela, P.M.; Sillanpää, R. Frankiamide: A Structural Revision to Demethyl (C-11) Cezomycin. Z. Für Naturforschung B 2003, 58, 1210–1215. [Google Scholar] [CrossRef]
- Li, S.; Wu, Y. Synthesis and Absolute Configuration of Demethyl (C-11) Cezomycin. Chem. Asian J. 2013, 8, 2792–2800. [Google Scholar] [CrossRef]
- Mao, D.; Yu, P.; Shinzato, N.; Zhang, L.; Zheng, W.; Lu, S.; Kakeya, H. Precezomycin, a Novel Antibiotic Biosynthetic Precursor of Cezomycin, from Actinomycete Kitasatospora putterlickiae 10–13. J. Antibiot. 2024, 77, 189–192. [Google Scholar] [CrossRef]
- Michel, K.H.; Boeck, L.D.; Hoehn, M.M.; Jones, N.D.; Chaney, M.O. The Discovery, Fermentation, Isolation, and Structure of Antibiotic A33853 and Its Tetraacetyl Derivative. J. Antibiot. 1984, 37, 441–445. [Google Scholar] [CrossRef]
- Shibata, K.; Kashiwada, M.; Ueki, M.; Taniguchi, M. UK-1, a Novel Cytotoxic Metabolite from Streptomyces sp. 517-02. II. Structural Elucidation. J. Antibiot. 1993, 46, 1095–1100. [Google Scholar] [CrossRef]
- Ueki, M.; Ueno, K.; Miyadoh, S.; Abe, K.; Shibata, K.; Taniguchi, M.; Oi, S. UK-1, a Novel Cytotoxic Metabolite from Streptomyces sp. 517-02. I. Taxonomy, Fermentation, Isolation, Physico-Chemical and Biological Properties. J. Antibiot. 1993, 46, 1089–1094. [Google Scholar] [CrossRef]
- DeLuca, M.R.; Kerwin, S.M. The Total Synthesis of UK-1. Tetrahedron Lett. 1997, 38, 199–202. [Google Scholar] [CrossRef]
- Reynolds, M.B.; DeLuca, M.R.; Kerwin, S.M. PRELIMINARY COMMUNICATION The Novel Bis(Benzoxazole) Cytotoxic Natural Product UK-1 is a Magnesium Ion-Dependent DNA Binding Agent and Inhibitor of Human Topoisomerase II. Bioorg. Chem. 1999, 27, 326–337. [Google Scholar] [CrossRef]
- Sommer, P.S.M.; Almeida, R.C.; Schneider, K.; Beil, W.; Süssmuth, R.D.; Fiedler, H.-P. Nataxazole, a New Benzoxazole Derivative with Antitumor Activity Produced by Streptomyces sp. Tü 6176. J. Antibiot. 2008, 61, 683–686. [Google Scholar] [CrossRef] [PubMed]
- Cano-Prieto, C.; Losada, A.A.; Braña, A.F.; Méndez, C.; Salas, J.A.; Olano, C. Crosstalk of Nataxazole Pathway with Chorismate-Derived Ionophore Biosynthesis Pathways in Streptomyces sp. Tü 6176. ChemBioChem 2015, 16, 1925–1932. [Google Scholar] [CrossRef] [PubMed]
- Lv, M.; Zhao, J.; Deng, Z.; Yu, Y. Characterization of the Biosynthetic Gene Cluster for Benzoxazole Antibiotics A33853 Reveals Unusual Assembly Logic. Chem. Biol. 2015, 22, 1313–1324. [Google Scholar] [CrossRef]
- Song, H.; Rao, C.; Deng, Z.; Yu, Y.; Naismith, J.H. The Biosynthesis of the Benzoxazole in Nataxazole Proceeds via an Unstable Ester and has Synthetic Utility. Angew. Chem. Int. Ed. 2020, 59, 6054–6061. [Google Scholar] [CrossRef]
- Tipparaju, S.K.; Joyasawal, S.; Pieroni, M.; Kaiser, M.; Brun, R.; Kozikowski, A.P. In Pursuit of Natural Product Leads: Synthesis and Biological Evaluation of 2-[3-Hydroxy-2-[(3-Hydroxypyridine-2-Carbonyl)Amino]Phenyl]Benzoxazole-4-Carboxylic Acid (A-33853) and Its Analogues: Discovery of N-(2-Benzoxazol-2-ylphenyl)Benzamides as Novel Antileishmanial Chemotypes. J. Med. Chem. 2008, 51, 7344–7347. [Google Scholar] [CrossRef]
- Ouyang, H.; Hong, J.; Malroy, J.; Zhu, X. An E. coli-Based Biosynthetic Platform Expands the Structural Diversity of Natural Benzoxazoles. ACS Synth. Biol. 2021, 10, 2151–2158. [Google Scholar] [CrossRef] [PubMed]
- Horch, T.; Molloy, E.M.; Bredy, F.; Haensch, V.G.; Scherlach, K.; Dunbar, K.L.; Franke, J.; Hertweck, C. Alternative Benzoxazole Assembly Discovered in Anaerobic Bacteria Provides Access to Privileged Heterocyclic Scaffold. Angew. Chem. Int. Ed. 2022, 61, e202205409. [Google Scholar] [CrossRef]
- Winand, L.; Lernoud, L.; Meyners, S.A.; Kuhr, K.; Hiller, W.; Nett, M. Myxococcus xanthus as Host for the Production of Benzoxazoles. ChemBioChem 2023, 24, e202200635. [Google Scholar] [CrossRef]
- Yang, Z.; Goldman, N.; Friday, A. Comparison of Models for Nucleotide Substitution Used in Maximum-Likelihood Phylogenetic Estimation. Mol. Biol. Evol. 1994, 11, 316–324. [Google Scholar] [CrossRef]
- Edgar, R.C. MUSCLE: A Multiple Sequence Alignment Method with Reduced Time and Space Complexity. BMC Bioinform. 2004, 5, 113. [Google Scholar] [CrossRef]
- Okonechnikov, K.; Golosova, O.; Fursov, M.; the UGENE team. Unipro UGENE: A Unified Bioinformatics Toolkit. Bioinformatics 2012, 28, 1166–1167. [Google Scholar] [CrossRef] [PubMed]
- Li, X.; Xu, J.; Jiang, Z.; Liu, Y.; Xiang, X.; Shi, W.; Qiu, X.; Zhang, B.; Zhang, D.; Wu, G.; et al. Genome Mining and Molecular Networking Guided Discovery of Embleyamycins A–F, the Calcimycin-Type Polyethers from a Desert-Derived Embleya sp. L77. J. Nat. Prod. 2026. [Google Scholar] [CrossRef] [PubMed]






| (1) | (2) | (3) | ||||
|---|---|---|---|---|---|---|
| Pos. | δC | δH, Mult (J in Hz) | δC | δH, Mult (J in Hz) | δC | δH, Mult (J in Hz) |
| 1 | 125.2 | 7.03, br s | 125.0 | 7.01, br s | 125.1 | 7.01, br s |
| 2 | 109.5 | 6.14, ddd (3.7, 2.3, 2.2) | 109.4 | 6.12, ddd (3.6, 2.4, 2.3) | 109.4 | 6.12, ddd (3.5, 2.5, 2.3) |
| 3 | 116.4 | 6.90, br s | 116.2 | 6.84, br s | 116.3 | 6.84, br s |
| 4 | 132.6 | - | 132.6 | - | 132.6 | - |
| 5 | 192.7 | - | 192.1 | - | 192.2 | - |
| 6 | 42.0 | 3.20, dq (10.3, 6.9) | 41.6 | 3.09, dq (10.3, 6.9) | 41.6 | 3.08, dqd (10.5, 6.8, 1.5) |
| 7 | 72.4 | 3.98, dd (10.3, 2.2) | 72.3 | 3.34 *, m | 72.4 | 3.32 *, m |
| 8 | 26.5 | 1.65, m | 26.4 | 1.40 A, m | 26.4 | 1.39 A, m |
| 9 | 25.6 | a. 2.01, dddd (14.5, 13.5, 5.3, 4.4) | 25.5 | a. 1.74, dddd (13.8, 13.3, 5.4, 4.0) | 25.5 | a. 1.74, m |
| b. 1.28 A, m | b. 1.22 B, m | b. 1.23 B, m | ||||
| 10 | 29.4 | a. 1.45, ddd (14.7, 13.7, 4.4) | 29.2 | a. 1.41 A, m | 29.2 | a. 1.41 A, m |
| b. 1.31 A, m | b. 1.26 B, m | b. 1.28 B, m | ||||
| 11 | 95.5 | - | 95.5 | - | 95.5 | - |
| 12 | 29.1 | a. 1.38 B, m | 28.9 | a. 1.37 C, m | 28.9 | a. 1.37 C, m |
| b. 1.13, m | b. 1.11 D, m | b. 1.11 D, m | ||||
| 13 | 25.3 | a. 1.38 B, m | 25.3 | a. 1.36 C, m | 25.3 | a. 1.36 C, m |
| b. 1.04, m | b. 1.07 D, m | b. 1.08 D, m | ||||
| 14 | 29.0 | 1.53, m | 29.5 | 1.54, m | 29.5 | 1.54, m |
| 15 | 67.4 | 4.14, ddd (8.9, 5.3, 2.4) | 68.5 | 4.13, ddd (9.6, 4.0, 3.2) | 68.5 | 4.13, m |
| 16 | 40.9 | a. 2.44, dd (14.4, 8.9) | 32.4 | a. 2.94, dd (14.6, 9.6) | 32.5 | a. 2.96, dd (14.6, 9.6) |
| b. 2.35, dd (14.4, 5.3) | b. 2.90, dd (14.6, 4.0) | b. 2.92, dd (14.6, 4.1) | ||||
| 17 | 170.6 | - | 166.1 | - | 166.8 | - |
| 18 | 126.0 | - | 140.5 | - | 141.4 | - |
| 19 | 150.8 | - | 140.9 | - | 141.2 | - |
| 20 | 121.2 | 7.09, d (8.0) | 116.8 | 7.66, d (9.0) | 117.1 | 7.78, d (9.0) |
| 21 | 125.7 | 7.13, dd (8.0, 7.7) | 114.1 | 6.80, d (9.0) | 109.5 | 6.67, dd (9.0, 1.2) |
| 22 | 121.4 | 7.35, dd (8.0, 1.5) | 150.0 | - | 147.8 | - |
| 23 | 126.3 | - | 97.8 | - | 98.8 | - |
| 24 | 168.5 | - | 167.4 | - | 167.8 | - |
| 6-Me | 13.4 | 0.83 C, br d (6.9) | 13.2 | 0.64, d (6.9) | 13.2 | 0.61, dd (7.2, 6.8) |
| 8-Me | 10.8 | 0.92, d (6.9) | 10.7 | 0.85, d (6.9) | 10.7 | 0.85, br d (6.9) |
| 14-Me | 11.1 | 0.83 C, br d (6.9) | 10.9 | 0.88, d (6.9) | 10.9 | 0.89, br d (7.0) |
| 1′ | - | - | - | - | 57.3 | 4.46, dq (7.4, 6.9) |
| 2′ | - | - | - | - | 208.4 | - |
| 3′ | - | - | - | - | 26.0 | 2.18, d (0.8) |
| 1′-Me | - | - | - | - | 17.3 | 1.38 C, d (6.9) |
| 19-OH | - | 9.70, br s | - | - | - | - |
| 1-NH | - | 11.71, br s | - | 11.76, br s | - | 11.75, br s |
| 22-NH | - | - | - | - | - | 8.44, br t (7.4) |
| Compound | D. immitis mf Motility | D. immitis L4 Motility | H. contortus L1–L3 Development |
|---|---|---|---|
| goondoxazole A (1) | 1.38 | 4.21 | >25 |
| goondoxazole B (2) | 0.085 | 2.22 | >25 |
| goondoxazole C (3) | 0.055 | 2.83 | 23 |
| calcimycin (5) | 0.027 | 0.25 | 25 |
| A-33853 (12) | 0.072 | 0.43 | >25 |
| UK-1 (13) | 0.85 | >25 | >25 |
| nataxazole (14) | 0.75 | >25 | >25 |
| 5-hydroxynataxazole (15) | 3.60 | 3.60 | >25 |
| gramicidin * | 0.10 | - | - |
| monensin * | - | 0.40 | - |
| ivermectin * | - | - | 0.0005 |
Disclaimer/Publisher’s Note: The statements, opinions and data contained in all publications are solely those of the individual author(s) and contributor(s) and not of MDPI and/or the editor(s). MDPI and/or the editor(s) disclaim responsibility for any injury to people or property resulting from any ideas, methods, instructions or products referred to in the content. |
© 2026 by the authors. Licensee MDPI, Basel, Switzerland. This article is an open access article distributed under the terms and conditions of the Creative Commons Attribution (CC BY) license.
Share and Cite
Jin, S.; Bruhn, D.F.; Burkman, E.J.; Childs, C.T.; Han, J.; Khalil, Z.G.; Moreno, Y.; Salim, A.A.; Samarasekera, K.; Tangerina, M.M.P.; et al. Goondoxazoles A–C: Anthelmintic Spiroketal Polyketide Alkaloids and Other Benzoxazoles from Australian Pasture Soil-Derived Streptomyces spp. Antibiotics 2026, 15, 302. https://doi.org/10.3390/antibiotics15030302
Jin S, Bruhn DF, Burkman EJ, Childs CT, Han J, Khalil ZG, Moreno Y, Salim AA, Samarasekera K, Tangerina MMP, et al. Goondoxazoles A–C: Anthelmintic Spiroketal Polyketide Alkaloids and Other Benzoxazoles from Australian Pasture Soil-Derived Streptomyces spp. Antibiotics. 2026; 15(3):302. https://doi.org/10.3390/antibiotics15030302
Chicago/Turabian StyleJin, Shengbin, David F. Bruhn, Erica J. Burkman, Cynthia T. Childs, Jianying Han, Zeinab G. Khalil, Yovany Moreno, Angela A. Salim, Kaumadi Samarasekera, Marcelo M. P. Tangerina, and et al. 2026. "Goondoxazoles A–C: Anthelmintic Spiroketal Polyketide Alkaloids and Other Benzoxazoles from Australian Pasture Soil-Derived Streptomyces spp." Antibiotics 15, no. 3: 302. https://doi.org/10.3390/antibiotics15030302
APA StyleJin, S., Bruhn, D. F., Burkman, E. J., Childs, C. T., Han, J., Khalil, Z. G., Moreno, Y., Salim, A. A., Samarasekera, K., Tangerina, M. M. P., & Capon, R. J. (2026). Goondoxazoles A–C: Anthelmintic Spiroketal Polyketide Alkaloids and Other Benzoxazoles from Australian Pasture Soil-Derived Streptomyces spp. Antibiotics, 15(3), 302. https://doi.org/10.3390/antibiotics15030302

