Design, Synthesis, Spectral, Structural Analysis, and Biological Evaluation of Novel Pyrazole Derivatives as Anti-Tumor, Antimicrobial, and Anti-Biofilm Agents
Abstract
1. Introduction
2. Results and Discussion
2.1. Chemistry
2.2. Spectroscopic Characterization of Compounds of Substituted Pyrazoles 4a–d, 5a–d, and 6a–g
2.2.1. FTIR Spectra
2.2.2. Electronic Spectra
2.2.3. NMR Spectral Analysis
2.2.4. X-Ray Crystallography
2.3. Biological Activity
2.3.1. Evaluation of In Vitro Cytotoxicity of the Synthetized Compounds 4a–d, 5a–d, and 6a–g
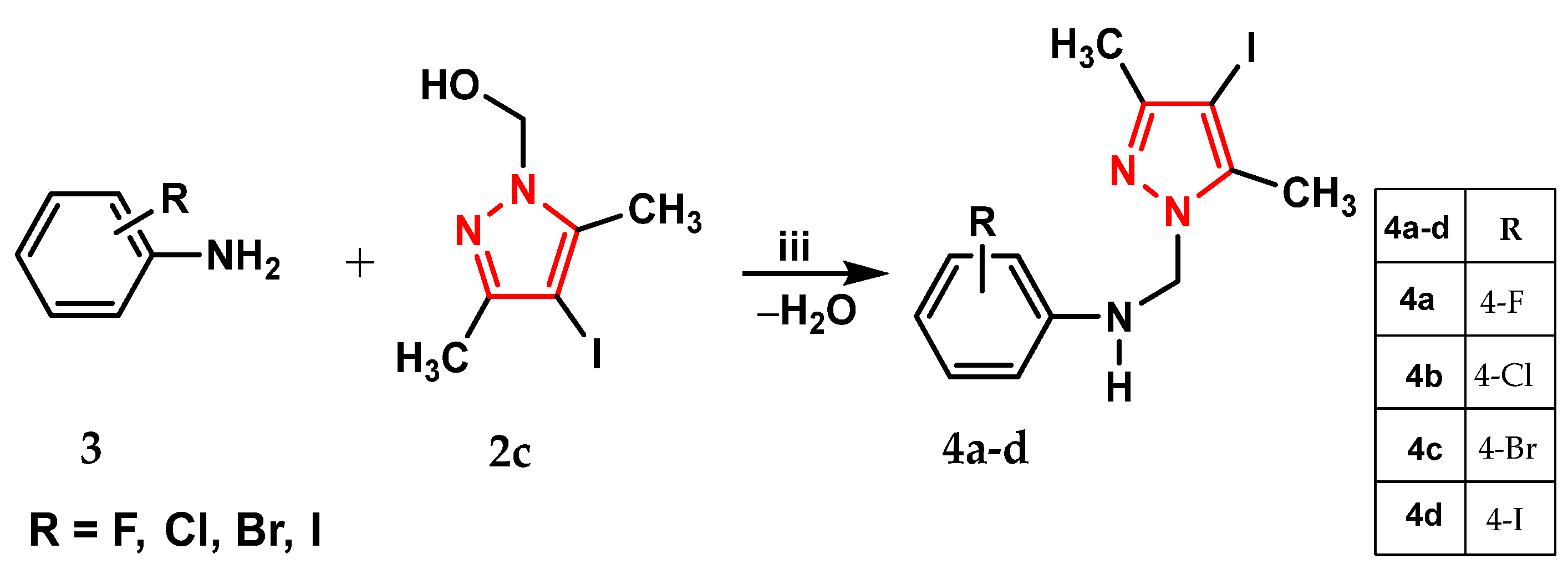
- Compound 4c with the bromine atom in position 4 of the phenyl ring was biocompatible with normal cells, exhibiting a non-cytotoxic profile across the entire tested concentration range (3.1–50 µg/mL) at both 24 and 48 h, with cell viability values > 80%. Compound 4d with the iodine atom in position 4 of the phenyl ring showed a similar pattern, except at 50 µg/mL after 48 h, where viability decreased to 75.27%.
- Compound 4c (Br) at concentrations of 6.25–12.5 µg/mL appeared to stimulate cell proliferation, producing viability values ranging from 98.59% to 110.43%.
- Compound 4d (I) displayed a comparable effect over the same concentration range, with viability values between 100.54% and 104.02%.
- Compounds 4a with the fluorine atom and 4b with the chlorine atom in position 4 of the phenyl ring exhibited slight cytotoxicity at 24 h of the experiment (at 50 µg/mL, viability < 80%), while at 48 h their mild cytotoxic effects were observed starting at 25 µg/mL and became pronounced at 50 µg/mL (<60% viability).
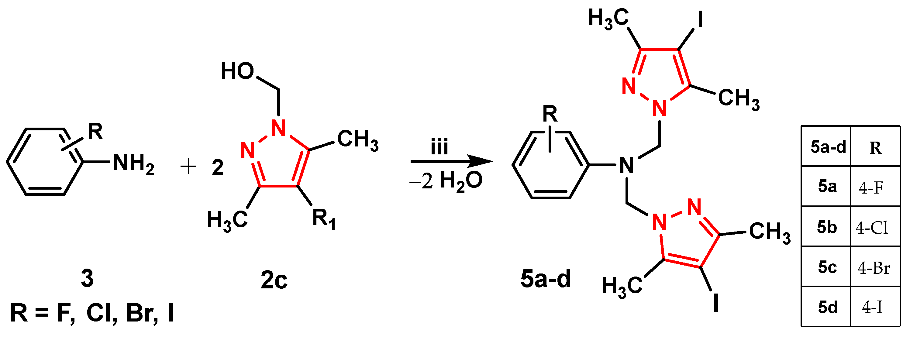
- Compounds 5b (Cl) and 5c (Br) were non-cytotoxic at 24 h across the entire concentration range (3.1–50 µg/mL), with cell viability values between 94.47% and 101.70%. However, at 48 h, both compounds exhibited increasing cytotoxicity starting from 12.5 µg/mL, reaching viability values below 35% at 50 µg/mL.
- Compound 4c (Br) was the most biocompatible with normal NCTC fibroblast cells at both time intervals and across the entire concentration range, achieving a maximum cell viability of 110.43% at 12.5 µg/mL. It was closely followed by compound 4d (I), which showed comparable values.
- Compound 4c (Br) exhibited anti-tumor activity on HEp-2 cells at 48 h, starting at 25 µg/mL (75.68% viability), with a more pronounced effect at 50 µg/mL, where cell viability decreased to 59.95%. Notably, compound 4c was non-cytotoxic to normal NCTC fibroblasts over the same concentration range (25–50 µg/mL), maintaining cell viability > 83%.
- Compound 4d (I) showed moderate anti-tumor activity at 48 h, with HEp-2 cell viability of 75.74% at 25 µg/mL and 62.47% at 50 µg/mL.
- Compound 5b (Cl) displayed anti-tumor activity at 24 h over 25–50 µg/mL, with HEp-2 cell viability of 76.42% and 63.44%, respectively, while remaining non-cytotoxic to normal NCTC cells at the same concentrations. At 48 h, although the anti-tumor effect of 5b (Cl) was stronger (HEp-2 viability: 36.06%), its cytotoxicity toward normal cells also increased, reducing NCTC cell viability to a minimum of 30.43%.
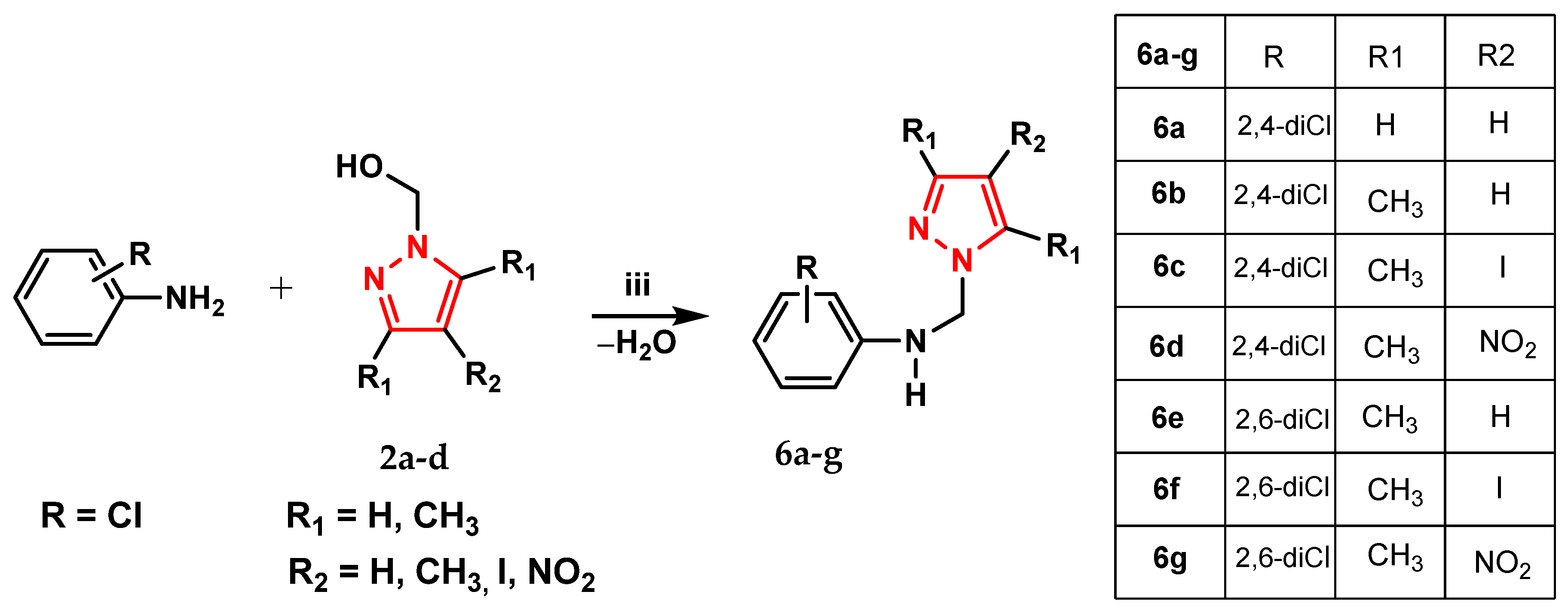
- Compound 6c contains the iodine atom in position 4 of the pyrazole ring, and the phenyl ring contains chlorine atoms in positions 2,4. It was biocompatible with normal NCTC cells, exhibiting no cytotoxicity across the entire tested concentration range (3.1–50 µg/mL) at both 24 and 48 h, with cell viability values > 85%.
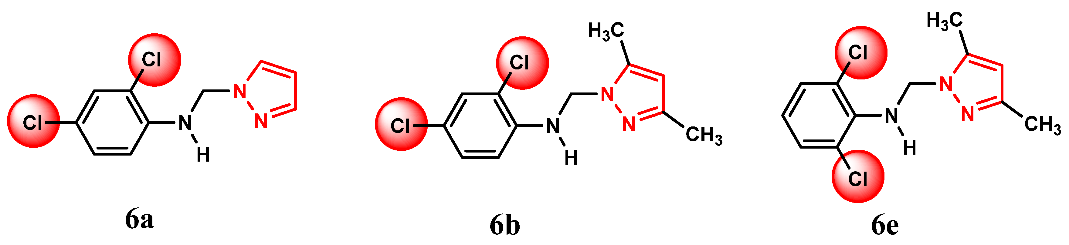
- Compounds 6a, 6b, 6c, and 6d have in common the chlorine atom substituents in positions 2,4 of the phenyl ring, and 6f has the same, but in positions 2,6 it differs in the nature of the substituents of the pyrazole ring. The compounds 6a, 6b, 6c, 6d, and 6f demonstrated high biocompatibility with normal cells over the concentration range of 3.1–25 µg/mL at 24 h, stimulating proliferation of normal fibroblasts, with viability predominantly > 100%. Maximum proliferation was observed for compounds 6a with the unsubstituted pyrazole nucleus (113–121%) and 6b with hydrogen in position 4 of the pyrazole ring and methyl groups in position 3,5 (115.38–117.43%).
- Compound 6b exhibited pronounced cytotoxicity at 50 µg/mL at both 24 and 48 h, with cell viability of 58.59% and 47.54%, respectively.
- Compound 6g with nitro in position 4 of the pyrazole ring exhibited a slight anti-tumor effect at 48 h at 25 µg/mL, with HEp-2 cell viability of 78.29%. At the same concentration, 6g was non-cytotoxic to normal NCTC cells, with 82.21% viability.
- Compound 6e with hydrogen in position 4 of the pyrazole ring and methyl groups in position 3,5 and chlorine atoms at the 2,6 positions of the phenyl ring was strongly cytotoxic at the maximum concentration of 50 µg/mL at both 24 and 48 h on both normal and tumor cell lines, reducing viability to 57.34% and 43.55%, respectively.
- Compounds 6a–c did not show any anti-tumor activity on HEp-2 cells over the tested concentration range. Compounds 6d–g exhibited anti-tumor effects only at the maximum concentration (50 µg/mL), predominantly at 48 h.
2.3.2. Antimicrobial Activity
2.4. Predicted ADME and ADMET Profiles
2.4.1. Evaluation of ADME Profiles
2.4.2. Evaluation of ADMET Profiles
3. Materials and Methods
3.1. Chemistry
3.2. Synthesis and Characterization
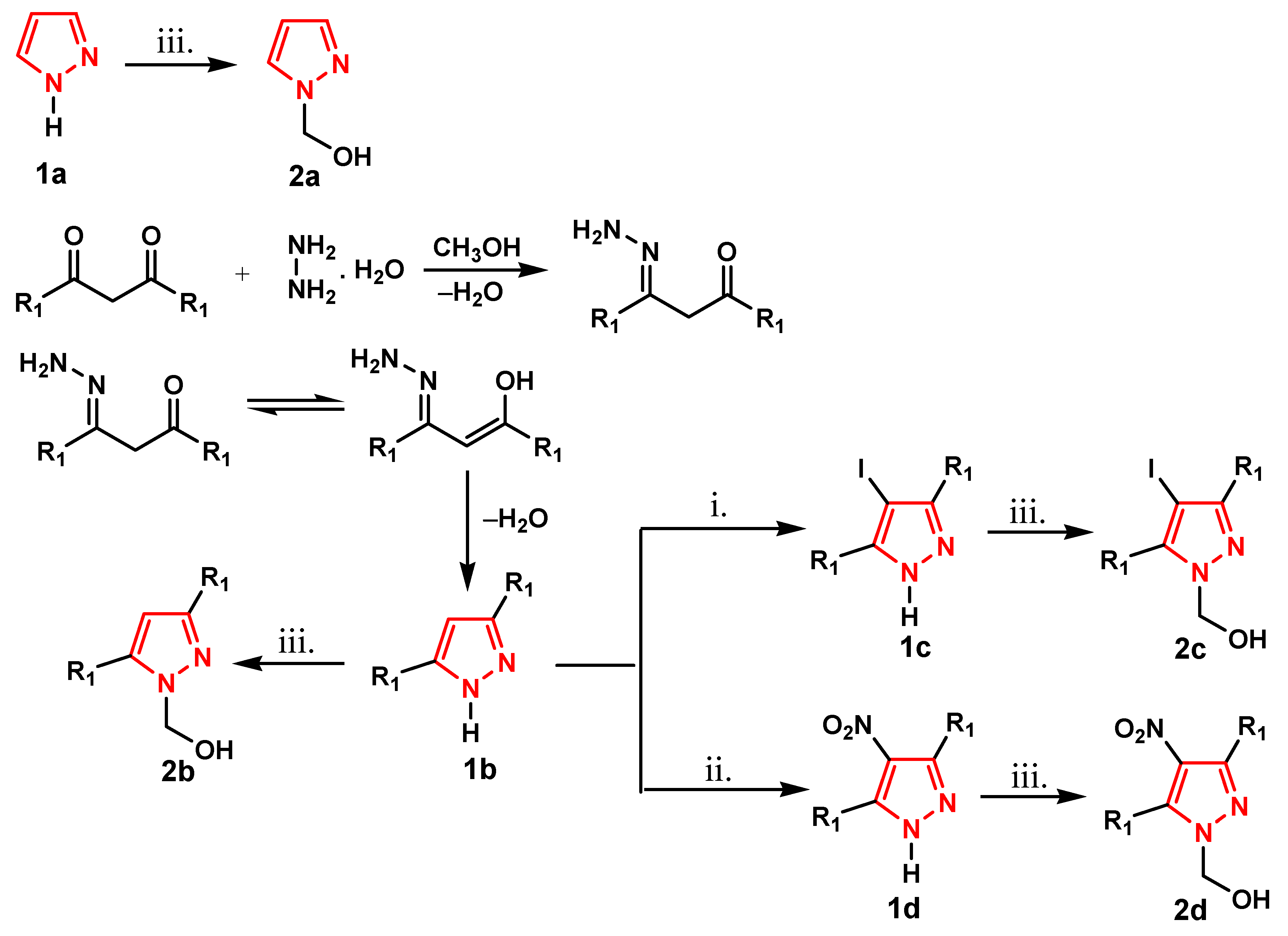
3.2.1. General Method for the Synthesis of Series Compounds 4a–4d, 5a–5d, and 6a–6g
Synthesis of N-[(3,5-dimetyl-4-iodo-1H-pyrazol-1-yl)-methyl]-4-fluoroaniline (4a)
Synthesis of N-[(3,5-dimetyl-4-iodo-1H-pyrazol-1-yl)-methyl]-4-chloroaniline (4b)
Synthesis of N-[(3,5-dimetyl-4-iodo-1H-pyrazol-1-yl)-methyl]-4-bromoaniline (4c)
Synthesis of N-[(3,5-dimetyl-4-iodo-1H-pyrazol-1-yl)-methyl]-4-iodoaniline (4d)
Synthesis of N, N-bis-[(3,5-dimetyl-4-iodo-1H-pyrazol−1-yl)-methyl]-4-fluoroaniline (5a)
Synthesis of N, N-bis-[(3,5-dimetyl-4-iodo-1H-pyrazol-1-yl)-methyl]-4-chloroaniline (5b)
Synthesis of N, N-bis-[(3,5-dimetyl-4-iodo-1H-pyrazol-1-yl)-methyl]-4-bromoaniline (5c)
Synthesis of N,N-bis-[(3,5-dimetyl-4-iodo-1H-pyrazol-1-yl)-methyl]-4-iodoaniline (5d)
Synthesis of N-[(1H-pyrazol-1-yl)-methyl]-2,4-dichloroaniline (6a)
Synthesis of N-[(3,5-dimetyl-1H-pyrazol-1-yl)-methyl]-2,4-dichloroaniline (6b)
Synthesis of N-[(3,5-dimetyl-4-iodo-1H-pyrazol-1-yl)-methyl]-2,4-dichloroaniline (6c)
Synthesis of N-[(3,5-dimetyl-4-nitro-1H-pyrazol-1-yl)-methyl]-2,4-dichloroaniline (6d)
Synthesis of N-[(3,5-dimetyl-1H-pyrazol-1-yl)-methyl]-2,6-dichloroaniline (6e)
Synthesis of N-[(3,5-dimetyl-4-iodo-1H-pyrazol-1-yl)-methyl]-2,6-dichloroaniline (6f)
Synthesis of N-[(3,5-dimetyl-4-nitro-1H-pyrazol-1-yl)-methyl]-2,6-dichloroaniline (6g)
3.3. Biological Assay
3.3.1. Cytotoxicity of Samples
3.3.2. Statistical Analysis
3.3.3. Qualitative Evaluation of the Antimicrobial Activity
3.3.4. Quantitative Testing of Antimicrobial Activity on Bacterial Strains
3.3.5. Anti-Biofilm Assay
3.4. ADME and ADMET Predictions
3.4.1. ADME Prediction
3.4.2. ADMET Prediction
4. Conclusions
Supplementary Materials
Author Contributions
Funding
Institutional Review Board Statement
Informed Consent Statement
Data Availability Statement
Acknowledgments
Conflicts of Interest
References
- Elbastawesy, M.A.I.; Aly, A.A.; Ramadan, M.; Elshaier, Y.A.M.M.; Youssif, B.G.M.; Brown, A.B.; Abuo-Rahma, G.E.-D.A. Novel Pyrazoloquinolin-2-ones: Design, synthesis, docking studies, and biological evaluation as antiproliferative EGFR-TK inhibitors. Bioorg. Chem. 2019, 90, 103045. [Google Scholar] [CrossRef]
- Titi, A.; Messali, M.; Alqurashy, B.A.; Touzani, R.; Shiga, T.; Oshio, H.; Fettouhi, M.; Rajabi, M.; Almalki, F.A.; Hadda, T.B. Synthesis, characterization, X-Ray crystal study and bioctivities of pyrazole derivatives: Identification of antitumor, antifungal and antibacterial pharmacophore sites. J. Molec. Struct. 2020, 1205, 127625. [Google Scholar] [CrossRef]
- Xu, Z.; Zhuang, Y.; Chen, Q. Current scenario of pyrazole hybrids with in vivo therapeutic potential against cancers. Eur. J. Med. Chem. 2023, 257, 115495. [Google Scholar] [CrossRef]
- Li, N.; Liu, L.; Liu, D.; Yu, H.; Yang, G.; Qiu, L.; Chen, Y.; Xiang, D.; Gong, X. Simultaneous determination of three tyrosine kinase inhibitors and three triazoles in human plasma by LC-MS/MS: Applications to therapeutic drug monitoring and drug-drug interaction studies. J. Chromatogr. B Analyt. Technol. Biomed. Life Sci. 2024, 1246, 124276. [Google Scholar] [CrossRef] [PubMed]
- Yuan, Y.; Li, M.; Apostolopoulos, V.; Matsoukas, J.; Wolf, W.M.; Blaskovich, M.A.T.; Bojarska, J.; Ziora, Z.M. Tetrazoles: A multi-potent motif in drug design. Eur. J Med. Chem. 2024, 279, 116870. [Google Scholar] [CrossRef] [PubMed]
- Hawash, M.; Ergun, S.G.; Kahraman, D.C.; Olgac, A.; Hamel, E.; Cetin-Atalay, R.; Baytas, S.N. Novel indole-pyrazole hybrids as potential tubulin-targeting agents; Synthesis, antiproliferative evaluation, and molecular modeling studies. J. Molec. Struct. 2023, 1285, 135477. [Google Scholar] [CrossRef] [PubMed]
- Rehman, M.U.; He, F.; Shu, X.; Guo, J.; Liu, Z.; Cao, S.; Long, S. Antibacterial and antifungal pyrazoles based on different construction strategies. Eur. J. Med. Chem. 2025, 282, 117081. [Google Scholar] [CrossRef]
- Sarwar, T.; Mustfa, G.; Zafar, W.; Ul Hassan, A.; Sumrra, S.H.; Asif, A. Pyrazoles a privileged scaffold in drug discovery–Synthetic strategies & exploration of pharmacological potential. J. Molec. Struct. 2025, 1348, 143523. [Google Scholar]
- Sihag, M.; Manuja, A.; Rani, S.; Soni, R.; Rani, N.; Malik, S.; Bhardwaj, K.; Kumar, B.; Kinger, M.; Miglani, M.; et al. Synthesis of pyrazole and pyrazoline derivatives of β-ionone: Exploring anti-inflammatory potential, cytotoxicity, and molecular docking insights. Eur. J. Med. Chem. Rep. 2024, 12, 100204. [Google Scholar] [CrossRef]
- Monisha, P.; Amalraj, S.; Gangapriya, P.; Prabhu, S.; Ayyanar, M.; Pramesh, M. One-pot domino synthesis of 1H-isochromene and pyran carbonitrile from pyrazole aldehyde derivatives as potential anti-diabetic and antioxidant targets. J. Molec. Struct. 2024, 1311, 138308. [Google Scholar] [CrossRef]
- Yang, G.; Zheng, H.; Shao, W.; Liu, L.; Wu, Z. Study of the in vivo antiviral activity against TMV treated with novel 1-(t-butyl)-5-amino-4-pyrazole derivatives containing a 1,3,4-oxadiazole sulfide moiety. Pestic. Biochem. Physi. 2021, 171, 104740. [Google Scholar] [CrossRef] [PubMed]
- Zalaru, C.; Dumitrascu, F.; Draghici, C.; Iovu, M.; Marinescu, M.; Tarcomnicu, I.; Nitulescu, G.M. Synthesis and biological screening of some novel 2-(1H-pyrazol-1-yl)-acetamides as lidocaine analogue. Ind. J. Chem. B 2014, 53, 733–739. [Google Scholar]
- Zalaru, C.; Dumitrascu, F.; Draghici, C.; Cristea, E.; Tarcomnicu, I. Pharmacologically active 2-(1H-pyrazol-1-yl) acetamides. Arkivoc 2009, 2, 308–314. [Google Scholar] [CrossRef]
- Bansal, N.; Sathish, E.; Babu, M.A.; Bushi, G.; Gaidhane, A.M.; Singh, T.G.; Singh, D.; Alasiri, G.; Fareed, M.; Kumar, B. Pyrazole in drug development: A medicinal-chemistry based analysis of USFDA-approved drugs in last decade. Mol. Divers. 2025. [Google Scholar] [CrossRef] [PubMed]
- Chalkha, M.; El Moussaoui, A.; Hadda, T.B.; Berredjem, M.; Bouzina, A.; Almalki, F.A.; Saghrouchni, H.; Bakhouch, M.; Saadi, M.; El Ammari, L.; et al. Crystallographic study, biological evaluation and DFT/POM/Docking analyses of pyrazole linked amide conjugates: Identification of antimicrobial and antitumor pharmacophore sites. J. Molec. Struct. 2022, 1252, 131818. [Google Scholar] [CrossRef]
- Zalaru, C.; Dumitrascu, F.; Draghici, C.; Tarcomnicu, I.; Tatia, R.; Moldovan, L.; Chifiriuc, M.C.; Lazar, V.; Marinescu, M.; Nitulescu, M.G.; et al. Synthesis, spectroscopic characterization, DFT study and antimicrobial activity of novel alkylaminopyrazole derivatives. J. Mol. Struct. 2018, 1156, 12–21. [Google Scholar] [CrossRef]
- Zalaru, C.; Dumitrascu, F.; Draghici, C.; Tarcomnicu, I.; Marinescu, M.; Nitulescu, G.M.; Tatia, R.; Moldovan, L.; Popa, M.; Chifiriuc, M.C. New pyrazolo-benzimidazole Mannich Bases with antimicrobial and antibiofilm activities. Antibiotics 2022, 11, 1094. [Google Scholar] [CrossRef]
- Nagarjuna, V.; Maddila, S.; Kapavarapu, R.; Venigala, L.; Althobaiti, S.A.; Soliman, M.M. Design, molecular docking and biological study of novel phenoxyquinoline bearing pyrazole scaffolds as potent anticancer agents. J. Molec. Struct. 2025, 1337, 142213. [Google Scholar] [CrossRef]
- Reddy, T.S.; Kulhari, H.; Reddy, V.G.; Bansal, V.; Kamal, A.; Shukla, R. Design, synthesis and biological evaluation of 1,3-diphenyl-1H-pyrazole derivatives containing benzimidazole skeleton as potential anticancer and apoptosis inducing agents. Eur. J. Med. Chem. 2015, 101, 790–805. [Google Scholar] [CrossRef]
- Zalaru, C.; Dumitrascu, F.; Draghici, C.; Ferbinteanu, M.; Tarcomnicu, I.; Marinescu, M.; Moldovan, Z.; Nitulescu, G.M.; Tatia, R.; Popa, M. Synthesis, Spectroscopic Characterization, Structural Analysis, and Evaluation of Anti-Tumor, Antimicrobial, and Antibiofilm Activities of Halogenoaminopyrazoles Derivatives. Antibiotics 2024, 13, 1119. [Google Scholar] [CrossRef] [PubMed]
- Tiz, D.B.; Bagnoli, L.; Rosati, O.; Marini, F.; Sancineto, L.; Santi, C. New Halogen-Containing Drugs Approved by FDA in 2021: AnnOverview on Their Syntheses and Pharmaceutical Use. Molecules 2022, 27, 1643. [Google Scholar]
- Nurudeen, S.; Khan, S.; Khan, M.; Ali, A.; Fawy, K.F.; Marwani, H.M.; Ahmad, S.; Rahman, M.M.; Alalwiat, A.A.; Bajaber, M.A. A comprehensive review on medicinal applications of iodine. Rev. Inorg. Chem. 2025, 45, 1–13. [Google Scholar] [CrossRef]
- Potapskyi, E.; Kustrzyńska, K.; Łażewski, D.; Skupin-Mrugalska, P.; Lesyk, R.; Wierzchowski, M. Introducing bromine in the molecular structure as a good strategy to the drug design. J. Med. Sci. 2024, 93, 227–248. [Google Scholar]
- Morgan, G.T.; Ackerman, I. CL II.-Substitution in the pyrazole series. Halogen derivatives of 3:5-dimethylpyrazole. J. Chem. Soc. Trans. 1923, 123, 1308–1318. [Google Scholar] [CrossRef]
- Hüttel, R.; Schäfer, O.; Jochum, P. Die Jodierung der Pyrazole. Eur. J. Org. Chem. 1955, 593, 200–207. [Google Scholar] [CrossRef]
- Hüttel, R.; Jochum, P. Die Mannische Reaktion der Pyrazole. Eur. J. Inorg. Chem. 1952, 85, 820–826. [Google Scholar]
- Dvoretzky, I.; Richter, J.H. Formaldehyde condensation in the pyrazole series. J. Org. Chem. 1950, 15, 1285–1288. [Google Scholar] [CrossRef]
- Zalaru, C.M.; Putina, G.; Dumitrascu, F.; Draghici, C. New Mannich bases with pharmacological activity. Rev. Chim. 2007, 58, 773–775. [Google Scholar]
- Xu, P.; Zhu, L.; Zhang, D.; Li, Z.; Ge, R.; Tian, Q. Design and synthesis of fluorine aromatic scaffolds containing drugs approved by the US FDA from 2002 to 2022. Results Chem. 2024, 7, 101446. [Google Scholar] [CrossRef]
- Majed, H.; Johnston, T.; Kelso, C.; Monachino, E.; Jergic, S.; Dixon, N.E.; Mylonakis, E.; Kelso, M.J. Structure-activity relationships of pyrazole-4-carbodithioates as antibacterials against methicillin–resistant Staphylococcus aureus. Bioorg. Med. Chem. Lett. 2018, 28, 3526–3528. [Google Scholar] [CrossRef]
- Zaki, Y.H.; Zaki, M.E.A.; Farag, B.; Gomha, S.M. Synthesis, docking, SAR and ADMET evaluation of novel pyrrolo [3,4-c]pyrazole-4,6-dione derivatives. Sci. Rep. 2026, 16, 628. [Google Scholar] [CrossRef] [PubMed]
- Available online: https://swissadme.ch (accessed on 9 January 2026).
- Fu, L.; Shi, S.; Yi, J.; Wang, N.; He, Y.; Wu, Z.; Peng, J.; Deng, Y.; Wang, W.; Wu, C.; et al. ADMETlab 3.0: An Updated Comprehensive Online ADMET Prediction Platform Enhanced with Broader Coverage, Improved Performance, API Functionality and Decision Support. Nucleic Acids Res. 2024, 52, W422–W431. [Google Scholar] [CrossRef] [PubMed]
- Available online: https://admetlab3.scbdd.com (accessed on 9 January 2026).
- Lipinski, C.A. Rule of five in 2015 and beyond: Target and ligand structural limitations, ligand chemistry structure and drug discovery project decisions. Adv. Drug Deliv. Rev. 2016, 101, 34–41. [Google Scholar] [CrossRef] [PubMed]
- Ertl, P.; Rohde, B.; Selzer, P. Fast Calculation of Molecular Polar Surface Area as a Sum of Fragment-Based Contributions and Its Application to the Prediction of Drug Transport Properties. J. Med. Chem. 2000, 43, 3714–3717. [Google Scholar] [CrossRef]
- Delaney, J.S. ESOL: Estimating Aqueous Solubility Directly from Molecular Structure. J. Chem. Inf. Comput. Sci. 2004, 44, 1000–1005. [Google Scholar] [CrossRef]
- Martin, Y.C. A Bioavailability Score. J. Med. Chem. 2005, 48, 3164–3170. [Google Scholar] [CrossRef]
- Veber, D.F.; Johnson, S.R.; Cheng, H.-Y.; Smith, B.R.; Ward, K.W.; Kopple, K.D. Molecular Properties That Influence the Oral Bioavailability of Drug Candidates. J. Med. Chem. 2002, 45, 2615–2623. [Google Scholar] [CrossRef]
- Available online: https://admet.ai.greenstonebio.com/ (accessed on 9 January 2026).
- Sheldrick, G.M. A short history of SHELX. Acta Cryst. 2008, 64, 112–122. [Google Scholar] [CrossRef]
- Dolomanov, O.V.; Bourhis, L.J.; Gildea, R.J.; Howard, J.A.K.; Puschmann, H. OLEX2: A complete structure solution, refinament and analysis program. J. Appl. Cryst. 2009, 42, 339–341. [Google Scholar] [CrossRef]
- Bourhis, L.J.; Dolomanov, O.V.; Gildea, R.J.; Howard, J.A.K.; Puschmann, H. The anatomy of a comprehensive constrained, restrained refinement program for the modern computing environment–Olex2 dissected. Found. Crystallogr. 2015, 71, 59–75. [Google Scholar] [CrossRef]
- Shweta, G.; Prakash, C.; Asmita, D. Natural Compound Dioscin Targeting Multiple Cancer Pathways through its High Affinity Binding to B Cell Lymphoma-2. Curr. Comput.-Aided Drug Des. 2025, 21, 609–628. [Google Scholar]
- Zhang, X.; Saravanakumar, K.; Sathiyaseelan, A.; Park, S.; Wang, M.-H. Synthesis, characterization, and comparative analysis of antibiotics (ampicillin and erythromycin) loaded ZrO2 nanoparticles for enhanced antibacterial activity. J. Drug Del. Sci. Technol. 2023, 82, 104293. [Google Scholar] [CrossRef]

























| Sample | Structure of the Synthesized Compounds | Cell Viability on NCTC Cells (%) 48 h | Cell Viability on Hep-2 Cells (%) 48 h |
|---|---|---|---|
| 4a | ![]() | >50 | >50 |
| 4b | ![]() | 51.48 ± 0.20 | >50 |
| 4c | ![]() | >50 | 49.01 ± 0.12 |
| 5a | ![]() | 34.88 ± 0.15 | 44.14 ± 0.23 |
| 5b | ![]() | 36.30 ± 0.31 | 38.20 ± 0.45 |
| 5c | ![]() | 39.70 ± 0.36 | 36.63 ± 0.17 |
| 5d | ![]() | 44.42 ± 0.21 | 44.70 ± 0.35 |
| 6b | ![]() | 47.36 ± 0.37 | >50 |
| 6e | ![]() | >50 | 47.78 ± 0.42 |
| Dioscin | 15.78 ± 2.19 | 14.65 ± 2.07 |
| Compound | Gram-Positive Bacteria | Gram-Negative Bacteria | ||
|---|---|---|---|---|
| Staphylococcus aureus ATCC25923 | Enterococcus faecalis ATCC29212 | Escherichia coli ATCC25922 | Pseudomonas aeruginosa ATCC27853 | |
| 4a | + | + | + | + |
| 4b | − | − | − | − |
| 4c | + | + | + | +/− |
| 4d | − | − | − | − |
| 5a | + | + | +/− | + |
| 5b | − | − | − | − |
| 5c | + | + | + | + |
| 5d | − | − | − | − |
| 6a | + | − | − | − |
| 6b | − | − | − | − |
| 6c | − | − | − | − |
| 6d | − | − | − | − |
| 6e | + | − | +/− | + |
| 6f | + | − | + | + |
| 6g | − | − | − | − |
| Erythromycin | + | + | + | + |
| Compound | Gram-Positive Bacteria | Gram-Negative Bacteria | ||
|---|---|---|---|---|
| Staphylococcus aureus ATCC25923 | Enterococcus faecalis ATCC29212 | Escherichia coli ATCC25922 | Pseudomonas aeruginosa ATCC27853 | |
| 4a | 0.046 ± 0.01 | 0.046 ± 0.04 | 0.046 ± 0.06 | 0.046 ± 0.05 |
| 4b | 0.187 ± 0.12 | 0.187 ± 0.02 | 0.187 ± 0.18 | 0.187 ± 0.21 |
| 4c | 0.093 ± 0.02 | 0.187 ± 0.05 | 0.930 ± 0.15 | 0.093 ± 0.08 |
| 4d | 0.187 ± 0.13 | 0.187 ± 0.18 | 0.187 ± 0.27 | 0.187 ± 0.23 |
| 5a | 0.023 ± 0.01 | 0.046 ± 0.03 | 0.460 ± 0.04 | 0.046 ± 0.07 |
| 5b | 0.093 ± 0.11 | 0.093 ± 0.06 | 0.930 ± 0.2 | 0.093 ± 0.22 |
| 5c | 0.023 ± 0.02 | 0.046 ± 0.09 | 0.460 ± 0.07 | 0.046 ± 0.08 |
| 5d | 0.046 ± 0.10 | 0.093 ± 0.02 | 0.460 ± 0.09 | 0.093 ± 0.07 |
| 6a | 0.093 ± 0.19 | 0.187 ± 0.23 | 0.187 ± 0.10 | 0.187 ± 0.17 |
| 6b | 0.093 ± 0.07 | 0.187 ± 0.21 | 0.187 ± 0.15 | 0.930 ± 0.09 |
| 6c | 0.187 ± 0.22 | 0.187 ± 0.16 | 0.187 ± 0.06 | 0.187 ± 0.2 |
| 6d | 0.093 ± 0.17 | 0.187 ± 0.24 | 0.093 ± 0.04 | 0.930 ± 0.09 |
| 6e | 0.046 ± 0.03 | 0.093 ± 0.11 | 0.046 ± 0.08 | 0.046 ± 062 |
| 6f | 0.046 ± 0.04 | 0.093 ± 0.12 | 0.046± 0.20 | 0.046 ± 0.03 |
| 6g | 0.187 ± 0.12 | 0.375 ± 0.36 | 0.187 ± 0.18 | 0.187 ± 0.21 |
| Erythromycin | 0.062 ± 0.16 | 0.062 ± 0.41 | 0.062 ± 0.03 | 0.062 ± 0.12 |
| Compound | Gram-Positive Bacteria | Gram-Negative Bacteria | ||
|---|---|---|---|---|
| Staphylococcus aureus ATCC25923 | Enterococcus faecalis ATCC29212 | Escherichia coli ATCC25922 | Pseudomonas aeruginosa ATCC27853 | |
| 4a | 0.023 ± 0.01 | 0.046 ± 0.11 | 0.046 ± 0.12 | 0.187 ± 0.05 |
| 4b | 0.046 ± 0.06 | 0.093 ± 0.08 | 0.093 ± 0.02 | 0.187 ± 0.06 |
| 4c | 0.093 ± 0.02 | 0.187± 0.11 | 0.093 ± 0.01 | 0.093 ± 0.04 |
| 4d | 0.093 ± 0.08 | 0.093 ± 0.03 | 0.187 ± 0.16 | 0.187 ± 0.10 |
| 5a | 0.023 ± 0.02 | 0.046 ± 0.01 | 0.460 ± 0.07 | 0.046 ± 0.04 |
| 5b | 0.093 ± 0.09 | 0.093 ± 0.01 | 0.187 ± 0.06 | 0.187 ± 0.11 |
| 5c | 0.093 ± 0.03 | 0.093 ± 0.06 | 0.093 ± 0.07 | 0.093 ± 0.02 |
| 5d | 0.093 ± 0.01 | 0.187± 0.19 | 0.187 ± 0.23 | 0.187 ± 0.18 |
| 6a | 0.023 ± 0.02 | 0.093 ± 0.07 | 0.093 ± 0.02 | 0.930 ± 0.03 |
| 6b | 0.023 ± 0.03 | 0.093 ± 0.09 | 0.093 ± 0.08 | 0.187 ± 0.16 |
| 6c | 0.093 ± 0.01 | 0.375 ± 0.29 | 0.187 ± 0.12 | 0.187 ± 0.06 |
| 6d | 0.093 ± 0.02 | 0.187± 0.21 | 0.093 ± 0.22 | 0.187 ± 0.05 |
| 6e | 0.023 ± 0.01 | 0.046 ± 0.05 | 0.046 ± 0.01 | 0.046 ± 0.02 |
| 6f | 0.023 ± 0.01 | 0.230 ± 0.02 | 0.046 ± 0.03 | 0.046 ± 0.04 |
| 6g | 0.093 ± 0.04 | 0.375 ± 0.30 | 0.187 ± 0.11 | 0.187 ± 0.04 |
| Erythromycin | 0.062 ± 0.02 | 0.062 ± 0.03 | 0.062 ± 0.01 | 0.062 ± 0.03 |
| Name | Size MW g/mol | INSATU | Flexibility | TPSA Å | Lipophilicity | Water Solubility |
|---|---|---|---|---|---|---|
| Fraction Csp3 | Num. Rotatable Bonds | Consensus Log PO/W | Log S (ESOL) | |||
| 4a | 345.15 | 0.25 | 3 | 29.85 | 3.28 | −4.46 MS |
| 4b | 361.61 | 0.25 | 3 | 29.85 | 3.50 | −4.90 MS |
| 4c | 406.06 | 0.25 | 3 | 29.85 | 3.59 | −5.22 MS |
| 4d | 453.06 | 0.25 | 3 | 29.85 | 3.60 | −5.47 MS |
| 5a | 579.19 | 0.33 | 5 | 38.88 | 4.69 | −6.78 PS |
| 5b | 595.65 | 0.33 | 5 | 38.88 | 4.92 | −7.22 PS |
| 5c | 640.10 | 0.33 | 5 | 38.88 | 4.99 | −7.53 PS |
| 5d | 687.10 | 0.33 | 5 | 38.88 | 5.03 | −7.80 PS |
| 6a | 242.10 | 0.10 | 3 | 29.85 | 2.69 | −3.70 S |
| 6b | 270.16 | 0.25 | 3 | 29.85 | 3.39 | −4.32 MS |
| 6c | 396.05 | 0.25 | 3 | 29.85 | 4.01 | −5.48 PS |
| 6d | 315.16 | 0.25 | 4 | 75.67 | 2.78 | −4.35 MS |
| 6e | 270.16 | 0.25 | 3 | 29.85 | 3.30 | −4.32 MS |
| 6f | 396.05 | 0.25 | 3 | 29.85 | 3.96 | −5.48 MS |
| 6g | 315.16 | 0.25 | 4 | 75.67 | 2.74 | −4.35 MS |
| Crizotinib | 450.34 | 0.33 | 5 | 77.99 | 3.86 | −5.05 PS |
| Pyrazofurin | 259.22 | 0.56 | 3 | 161.92 | −2.09 | −0.07 VS |
| Sulfaphenazole | 298.36 | 0.00 | 4 | 92.15 | 2.11 | −3.69 S |
| Name | Pharmacokinetics | Drug-Likeness | |||
|---|---|---|---|---|---|
| GI Absorption | BBB Permeant | Lipinski | Veber | Bioavailability Score | |
| 4a | High | Yes | Yes | Yes | 0.55 |
| 4b | High | Yes | Yes | Yes | 0.55 |
| 4c | High | Yes | Yes | Yes | 0.55 |
| 4d | High | Yes | Yes | Yes | 0.55 |
| 5a | High | Yes | No | Yes | 0.17 |
| 5b | High | Yes | No | Yes | 0.17 |
| 5c | High | Yes | No | Yes | 0.17 |
| 5d | High | Yes | No | Yes | 0.17 |
| 6a | High | Yes | Yes | Yes | 0.55 |
| 6b | High | Yes | Yes | Yes | 0.55 |
| 6c | High | Yes | Yes | Yes | 0.55 |
| 6d | High | Yes | Yes | Yes | 0.55 |
| 6e | High | Yes | Yes | Yes | 0.55 |
| 6f | High | Yes | Yes | Yes | 0.55 |
| 6g | High | Yes | Yes | Yes | 0.55 |
| Crizotinib | High | Yes | Yes | Yes | 0.55 |
| Pyrazofurin | Low | No | Yes | No | 0.55 |
| Sulfaphenzole | High | No | Yes | Yes | 0.55 |
| Name | Properties of Medicinal Chemistry | Metabolism HLM Stability | Absorption | ||||
|---|---|---|---|---|---|---|---|
| QED | Synth | Promiscuous Compounds | Caco-2 Permeability | PAMPA | HIA (%) | ||
| 4a | 0.865 | 2.0 | 0.026 | 0.059 | −4.81 | 0.015 | 0.00 |
| 4b | 0.842 | 2.0 | 0.039 | 0.143 | −5.009 | 0.021 | 0.00 |
| 4c | 0.784 | 2.0 | 0.009 | 0.436 | −4.871 | 0.015 | 0.00 |
| 4d | 0.726 | 2.0 | 0.037 | 0.815 | −4.818 | 0.216 | 0.032 |
| 5a | 0.409 | 3.0 | 0.124 | 0.612 | −4.905 | 0.021 | 0.00 |
| 5b | 0.376 | 3.0 | 0.202 | 0.803 | −5.012 | 0.027 | 0.00 |
| 5c | 0.351 | 3.0 | 0.088 | 0.518 | −4.951 | 0.019 | 0.00 |
| 5d | 0.345 | 3.0 | 0.105 | 0.694 | −4.943 | 0.056 | 0.00 |
| 6a | 0.895 | 2.0 | 0.298 | 0.415 | −5.152 | 0.097 | 0.001 |
| 6b | 0.917 | 2.0 | 0.185 | 0.166 | −5.075 | 0.014 | 0.00 |
| 6c | 0.776 | 2.0 | 0.059 | 0.758 | −5.062 | 0.039 | 0.00 |
| 6d | 0.688 | 2.0 | 0.008 | 0.604 | −5.035 | 0.229 | 0.00 |
| 6e | 0.917 | 2.0 | 0.176 | 0.934 | −5.072 | 0.010 | 0.00 |
| 6f | 0.776 | 2.0 | 0.079 | 0.978 | −5.033 | 0.028 | 0.00 |
| 6g | 0.688 | 2.0 | 0.011 | 0.996 | −5.025 | 0.094 | 0.00 |
| Crizotinib | 0.533 | 3.0 | 0.622 | 0.00 | −5.322 | 0.005 | 0.00 |
| Pyrazofurin | 0.346 | 4.0 | 0.171 | 0.00 | −6.042 | 0.998 | 0.118 |
| Sulfaphenazole | 0.573 | 3.0 | 0.14 | 0.621 | −4.896 | 0.104 | 0.00 |
| Name | Toxicity | |||||||
|---|---|---|---|---|---|---|---|---|
| hERG Blockers | DILI | AMES Mutagenicity | Rat Oral Acute Toxicity | Carcinogenicity | Drug-Induced Nefrotoxicity | A549 Cytotoxicity | Hematotoxicity | |
| 4a | 0.268 | 0.180 | 0.606 | 0.644 | 0.795 | 0.559 | 0.267 | 0.317 |
| 4b | 0.395 | 0.199 | 0.415 | 0.468 | 0.673 | 0.247 | 0.279 | 0.233 |
| 4c | 0.297 | 0.225 | 0.344 | 0.521 | 0.708 | 0.108 | 0.155 | 0.166 |
| 4d | 0.539 | 0.182 | 0.117 | 0.500 | 0.728 | 0.476 | 0.414 | 0.184 |
| 5a | 0.330 | 0.179 | 0.476 | 0.633 | 0.794 | 0.270 | 0.048 | 0.317 |
| 5b | 0.375 | 0.119 | 0.163 | 0.453 | 0.600 | 0.102 | 0.043 | 0.249 |
| 5c | 0.280 | 0.132 | 0.131 | 0.506 | 0.641 | 0.041 | 0.019 | 0.189 |
| 5d | 0.019 | 0.064 | 0.045 | 0.384 | 0.793 | 0.149 | 0.112 | 0.148 |
| 6a | 0.318 | 0.843 | 0.469 | 0.395 | 0.672 | 0.589 | 0.221 | 0.345 |
| 6b | 0.316 | 0.832 | 0.464 | 0.389 | 0.688 | 0.496 | 0.204 | 0.374 |
| 6c | 0.387 | 0.337 | 0.311 | 0.505 | 0.696 | 0.268 | 0.373 | 0.292 |
| 6d | 0.116 | 0.983 | 0.549 | 0.538 | 0.509 | 0.520 | 0.123 | 0.555 |
| 6e | 0.247 | 0.247 | 0.528 | 0.447 | 0.686 | 0.504 | 0.152 | 0.440 |
| 6f | 0.333 | 0.649 | 0.411 | 0.569 | 0.722 | 0.282 | 0.311 | 0.394 |
| 6g | 0.091 | 0.995 | 0.634 | 0.597 | 0.551 | 0.532 | 0.094 | 0.662 |
| Crizotinib | 0.866 | 0.991 | 0.486 | 0.940 | 0.384 | 0.998 | 0.356 | 0.714 |
| Pyrazofurin | 0.038 | 0.791 | 0.671 | 0.301 | 0.519 | 0.253 | 0.024 | 0.344 |
| Sulfaphenazole | 0.023 | 1.00 | 0.876 | 0.842 | 0.982 | 0.189 | 0.000 | 0.389 |
Disclaimer/Publisher’s Note: The statements, opinions and data contained in all publications are solely those of the individual author(s) and contributor(s) and not of MDPI and/or the editor(s). MDPI and/or the editor(s) disclaim responsibility for any injury to people or property resulting from any ideas, methods, instructions or products referred to in the content. |
© 2026 by the authors. Licensee MDPI, Basel, Switzerland. This article is an open access article distributed under the terms and conditions of the Creative Commons Attribution (CC BY) license.
Share and Cite
Zalaru, C.; Dumitrascu, F.; Draghici, C.; Ferbinteanu, M.; Tarcomnicu, I.; Marinescu, M.; Moldovan, Z.; Nitulescu, G.M.; Tatia, R.; Popa, M. Design, Synthesis, Spectral, Structural Analysis, and Biological Evaluation of Novel Pyrazole Derivatives as Anti-Tumor, Antimicrobial, and Anti-Biofilm Agents. Antibiotics 2026, 15, 127. https://doi.org/10.3390/antibiotics15020127
Zalaru C, Dumitrascu F, Draghici C, Ferbinteanu M, Tarcomnicu I, Marinescu M, Moldovan Z, Nitulescu GM, Tatia R, Popa M. Design, Synthesis, Spectral, Structural Analysis, and Biological Evaluation of Novel Pyrazole Derivatives as Anti-Tumor, Antimicrobial, and Anti-Biofilm Agents. Antibiotics. 2026; 15(2):127. https://doi.org/10.3390/antibiotics15020127
Chicago/Turabian StyleZalaru, Christina, Florea Dumitrascu, Constantin Draghici, Marilena Ferbinteanu, Isabela Tarcomnicu, Maria Marinescu, Zenovia Moldovan, George Mihai Nitulescu, Rodica Tatia, and Marcela Popa. 2026. "Design, Synthesis, Spectral, Structural Analysis, and Biological Evaluation of Novel Pyrazole Derivatives as Anti-Tumor, Antimicrobial, and Anti-Biofilm Agents" Antibiotics 15, no. 2: 127. https://doi.org/10.3390/antibiotics15020127
APA StyleZalaru, C., Dumitrascu, F., Draghici, C., Ferbinteanu, M., Tarcomnicu, I., Marinescu, M., Moldovan, Z., Nitulescu, G. M., Tatia, R., & Popa, M. (2026). Design, Synthesis, Spectral, Structural Analysis, and Biological Evaluation of Novel Pyrazole Derivatives as Anti-Tumor, Antimicrobial, and Anti-Biofilm Agents. Antibiotics, 15(2), 127. https://doi.org/10.3390/antibiotics15020127










