Mechanistic Insights into the Antimicrobial Effect of Benzodioxane-Benzamides Against Escherichia coli
Abstract
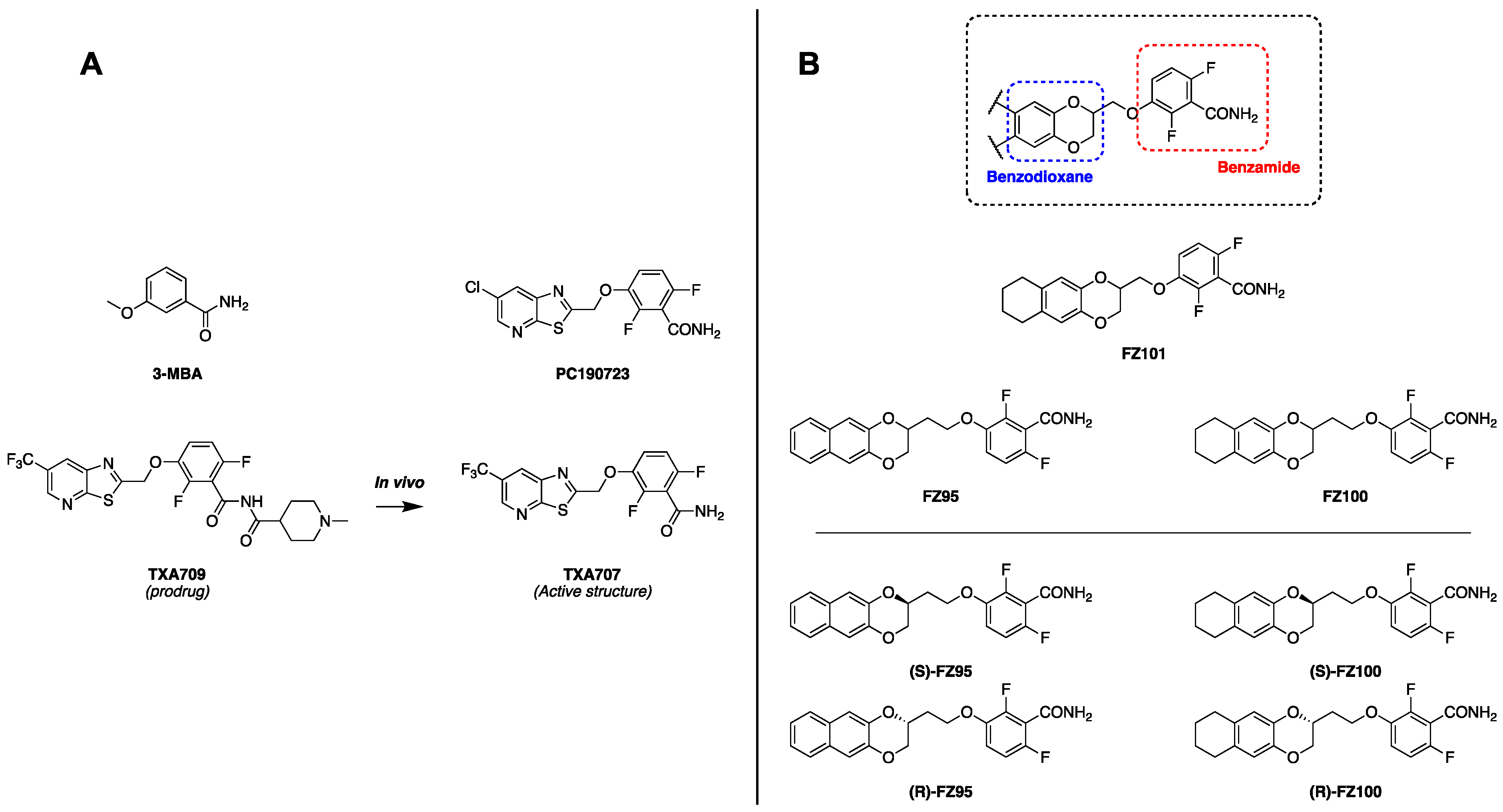
1. Introduction
2. Results
2.1. PAβN Restores Antimicrobial Activity of BDOBs Against WT E. coli
2.2. Spontaneous FZ101-Resistant Mutants Map to the E. coli FtsZ Interdomain Cleft (IDC)
2.3. Variants in the IDC of E. coli FtsZ Can Affect Functionality and BDOB-Resistance
2.4. Non-FtsZ Mutations Can Promote Resistance Towards Selected BDOBs
2.5. Investigating Potential Mechanisms Behind Non-FtsZ Resistance to BDOBs
2.6. FtsW* Mutations (Including ftsWQ221L) Provide Resistance Towards Selected BDOBs
3. Discussion
4. Materials and Methods
4.1. Strains, Plasmids, and Growth Conditions
4.2. Construction of Plasmids and Strains
4.3. MIC Assays with PAβN
4.4. Spontaneous Mutant Screening
4.5. Phenotypic Evaluation of Drug-Resistant Strains
4.6. FtsZ Mutant Functionality Assay
4.7. Spot Viability Assays
4.8. Microscopy
Supplementary Materials
Author Contributions
Funding
Institutional Review Board Statement
Informed Consent Statement
Data Availability Statement
Acknowledgments
Conflicts of Interest
References
- Murray, C.J.; Ikuta, K.S.; Sharara, F.; Swetschinski, L.; Robles Aguilar, G.; Gray, A.; Han, C.; Bisignano, C.; Rao, P.; Wool, E.; et al. Global burden of bacterial antimicrobial resistance in 2019: A systematic analysis. Lancet 2022, 399, 629–655. [Google Scholar] [CrossRef]
- Tang, K.W.K.; Millar, B.C.; Moore, J.E. Antimicrobial Resistance (AMR). Br. J. Biomed. Sci. 2023, 80, 11387. [Google Scholar] [CrossRef] [PubMed]
- Ho, C.S.; Wong, C.T.H.; Aung, T.T.; Lakshminarayanan, R.; Mehta, J.S.; Rauz, S.; McNally, A.; Kintses, B.; Peacock, S.J.; De La Fuente-Nunez, C.; et al. Antimicrobial Resistance: A Concise Update. Lancet Microbe 2025, 6, 100947. [Google Scholar] [CrossRef] [PubMed]
- World Health Organization. WHO Bacterial Priority Pathogens List 2024: Bacterial Pathogens of Public Health Importance, to Guide Research, Development, and Strategies to Prevent and Control Antimicrobial Resistance, 1st ed.; World Health Organization: Geneva, Switzerland, 2024. [Google Scholar]
- World Health Organization (Ed.) Guidelines for the Prevention and Control of Carbapenem-Resistant Enterobacteriaceae, Acinetobacter baumannii, and Pseudomonas aeruginosa in Health Care Facilities; World Health Organization: Geneva, Switzerland, 2017. [Google Scholar]
- Heimann, D.; Kohnhäuser, D.; Kohnhäuser, A.J.; Brönstrup, M. Antibacterials with Novel Chemical Scaffolds in Clinical Development. Drugs 2025, 85, 293–323. [Google Scholar] [CrossRef] [PubMed]
- Rico, A.I.; Krupka, M.; Vicente, M. In the Beginning, Escherichia coli Assembled the Proto-Ring: An Initial Phase of Division. J. Biol. Chem. 2013, 288, 20830–20836. [Google Scholar] [CrossRef]
- Viola, M.G.; LaBreck, C.J.; Conti, J.; Camberg, J.L. Proteolysis-Dependent Remodeling of the Tubulin Homolog FtsZ at the Division Septum in Escherichia coli. PLoS ONE 2017, 12, e0170505. [Google Scholar] [CrossRef]
- Cameron, T.A.; Margolin, W. Insights into the Assembly and Regulation of the Bacterial Divisome. Nat. Rev. Microbiol. 2024, 22, 33–45. [Google Scholar] [CrossRef]
- Pradhan, P.; Margolin, W.; Beuria, T.K. Targeting the Achilles Heel of FtsZ: The Interdomain Cleft. Front. Microbiol. 2021, 12, 732796. [Google Scholar] [CrossRef]
- Suigo, L.; Monterroso, B.; Sobrinos-Sanguino, M.; Alfonso, C.; Straniero, V.; Rivas, G.; Zorrilla, S.; Valoti, E.; Margolin, W. Benzodioxane-Benzamides as Promising Inhibitors of Escherichia coli FtsZ. Int. J. Biol. Macromol. 2023, 253, 126398. [Google Scholar] [CrossRef]
- Rosado-Lugo, J.D.; Sun, Y.; Banerjee, A.; Cao, Y.; Datta, P.; Zhang, Y.; Yuan, Y.; Parhi, A.K. Evaluation of 2,6-Difluoro-3-(Oxazol-2-Ylmethoxy)Benzamide Chemotypes as Gram-Negative FtsZ Inhibitors. J. Antibiot. 2022, 75, 385–395. [Google Scholar] [CrossRef]
- Margalit, D.N.; Romberg, L.; Mets, R.B.; Hebert, A.M.; Mitchison, T.J.; Kirschner, M.W.; RayChaudhuri, D. Targeting Cell Division: Small-Molecule Inhibitors of FtsZ GTPase Perturb Cytokinetic Ring Assembly and Induce Bacterial Lethality. Proc. Natl. Acad. Sci. USA 2004, 101, 11821–11826. [Google Scholar] [CrossRef]
- Domadia, P.N.; Bhunia, A.; Sivaraman, J.; Swarup, S.; Dasgupta, D. Berberine Targets Assembly of Escherichia coli Cell Division Protein FtsZ. Biochemistry 2008, 47, 3225–3234. [Google Scholar] [CrossRef] [PubMed]
- Mathew, B.; Ross, L.; Reynolds, R.C. A Novel Quinoline Derivative That Inhibits Mycobacterial FtsZ. Tuberculosis 2013, 93, 398–400. [Google Scholar] [CrossRef] [PubMed]
- Plaza, A.; Keffer, J.L.; Bifulco, G.; Lloyd, J.R.; Bewley, C.A. Chrysophaentins A−H, Antibacterial Bisdiarylbutene Macrocycles That Inhibit the Bacterial Cell Division Protein FtsZ. J. Am. Chem. Soc. 2010, 132, 9069–9077. [Google Scholar] [CrossRef] [PubMed]
- Läppchen, T.; Hartog, A.F.; Pinas, V.A.; Koomen, G.-J.; Den Blaauwen, T. GTP Analogue Inhibits Polymerization and GTPase Activity of the Bacterial Protein FtsZ without Affecting Its Eukaryotic Homologue Tubulin. Biochemistry 2005, 44, 7879–7884. [Google Scholar] [CrossRef]
- Haydon, D.J.; Stokes, N.R.; Ure, R.; Galbraith, G.; Bennett, J.M.; Brown, D.R.; Baker, P.J.; Barynin, V.V.; Rice, D.W.; Sedelnikova, S.E.; et al. An Inhibitor of FtsZ with Potent and Selective Anti-Staphylococcal Activity. Science 2008, 321, 1673–1675. [Google Scholar] [CrossRef]
- Straniero, V.; Sebastián-Pérez, V.; Suigo, L.; Margolin, W.; Casiraghi, A.; Hrast, M.; Zanotto, C.; Zdovc, I.; Radaelli, A.; Valoti, E. Computational Design and Development of Benzodioxane-Benzamides as Potent Inhibitors of FtsZ by Exploring the Hydrophobic Subpocket. Antibiotics 2021, 10, 442. [Google Scholar] [CrossRef]
- Chiodini, G.; Pallavicini, M.; Zanotto, C.; Bissa, M.; Radaelli, A.; Straniero, V.; Bolchi, C.; Fumagalli, L.; Ruggeri, P.; De Giuli Morghen, C.; et al. Benzodioxane–Benzamides as New Bacterial Cell Division Inhibitors. Eur. J. Med. Chem. 2015, 89, 252–265. [Google Scholar] [CrossRef]
- Straniero, V.; Suigo, L.; Casiraghi, A.; Sebastián-Pérez, V.; Hrast, M.; Zanotto, C.; Zdovc, I.; De Giuli Morghen, C.; Radaelli, A.; Valoti, E. Benzamide Derivatives Targeting the Cell Division Protein FtsZ: Modifications of the Linker and the Benzodioxane Scaffold and Their Effects on Antimicrobial Activity. Antibiotics 2020, 9, 160. [Google Scholar] [CrossRef]
- Straniero, V.; Sebastián-Pérez, V.; Hrast, M.; Zanotto, C.; Casiraghi, A.; Suigo, L.; Zdovc, I.; Radaelli, A.; De Giuli Morghen, C.; Valoti, E. Benzodioxane-Benzamides as Antibacterial Agents: Computational and SAR Studies to Evaluate the Influence of the 7-Substitution in FtsZ Interaction. ChemMedChem 2020, 15, 195–209. [Google Scholar] [CrossRef]
- Kaul, M.; Mark, L.; Zhang, Y.; Parhi, A.K.; Lyu, Y.L.; Pawlak, J.; Saravolatz, S.; Saravolatz, L.D.; Weinstein, M.P.; LaVoie, E.J.; et al. TXA709, an FtsZ-Targeting Benzamide Prodrug with Improved Pharmacokinetics and Enhanced In Vivo Efficacy against Methicillin-Resistant Staphylococcus aureus. Antimicrob. Agents Chemother. 2015, 59, 4845–4855. [Google Scholar] [CrossRef] [PubMed]
- Khare, S.; Hsin, J.; Sorto, N.A.; Nepomuceno, G.M.; Shaw, J.T.; Shi, H.; Huang, K.C. FtsZ-Independent Mechanism of Division Inhibition by the Small Molecule PC190723 in Escherichia coli. Adv. Biosys. 2019, 3, 1900021. [Google Scholar] [CrossRef] [PubMed]
- Poddar, S.M.; Chakraborty, J.; Gayathri, P.; Srinivasan, R. Disruption of Salt Bridge Interactions in the Inter-domain Cleft of the Tubulin-like Protein FTSZ of Escherichia coli Makes Cells Sensitive to the Cell Division Inhibitor PC190723. Cytoskeleton 2024, 82, 415–431. [Google Scholar] [CrossRef] [PubMed]
- Sharma, A.K.; Poddar, S.M.; Chakraborty, J.; Nayak, B.S.; Kalathil, S.; Mitra, N.; Gayathri, P.; Srinivasan, R. A Mechanism of Salt Bridge–Mediated Resistance to FtsZ Inhibitor PC190723 Revealed by a Cell-Based Screen. MBoC 2023, 34, ar16. [Google Scholar] [CrossRef]
- Bryan, E.J.; Szekely, Z.; Wang, Y.; Fan, H.; Moynié, L.; Roberge, J.Y.; Pilch, D.S. A FtsZ Inhibitor-Acinetobactin Conjugate with Enhanced Cellular Uptake in Acinetobacter baumannii Acts Synergistically in Combination with PBP3-Targeting Antibiotics. PLoS ONE 2025, 20, e0334409. [Google Scholar] [CrossRef]
- Lamers, R.P.; Cavallari, J.F.; Burrows, L.L. The Efflux Inhibitor Phenylalanine-Arginine Beta-Naphthylamide (PAβN) Permeabilizes the Outer Membrane of Gram-Negative Bacteria. PLoS ONE 2013, 8, e60666. [Google Scholar] [CrossRef]
- Straniero, V.; Suigo, L.; Lodigiani, G.; Valoti, E. Obtainment of Threo and Erythro Isomers of the 6-Fluoro-3-(2,3,6,7,8,9-Hexahydronaphtho [2,3-b][1,4]Dioxin-2-Yl)-2,3-Dihydrobenzo[b][1,4]Dioxine-5-Carboxamide. Molbank 2023, 2023, M1559. [Google Scholar] [CrossRef]
- Adams, D.W.; Wu, L.J.; Errington, J. A Benzamide-dependent Fts Z Mutant Reveals Residues Crucial for Z-ring Assembly. Mol. Microbiol. 2016, 99, 1028–1042. [Google Scholar] [CrossRef]
- Saier, M.H.; Reddy, V.S.; Tsu, B.V.; Ahmed, M.S.; Li, C.; Moreno-Hagelsieb, G. The Transporter Classification Database (TCDB): Recent Advances. Nucleic Acids Res. 2016, 44, D372–D379. [Google Scholar] [CrossRef]
- Taguchi, A.; Welsh, M.A.; Marmont, L.S.; Lee, W.; Sjodt, M.; Kruse, A.C.; Kahne, D.; Bernhardt, T.G.; Walker, S. FtsW Is a Peptidoglycan Polymerase That Is Functional Only in Complex with Its Cognate Penicillin-Binding Protein. Nat. Microbiol. 2019, 4, 587–594. [Google Scholar] [CrossRef]
- Baba, T.; Ara, T.; Hasegawa, M.; Takai, Y.; Okumura, Y.; Baba, M.; Datsenko, K.A.; Tomita, M.; Wanner, B.L.; Mori, H. Construction of Escherichia coli K-12 In-frame, Single-gene Knockout Mutants: The Keio Collection. Mol. Syst. Biol. 2006, 2, 2006.0008. [Google Scholar] [CrossRef]
- Boes, A.; Olatunji, S.; Breukink, E.; Terrak, M. Regulation of the Peptidoglycan Polymerase Activity of PBP1b by Antagonist Actions of the Core Divisome Proteins FtsBLQ and FtsN. mBio 2019, 10, e01912-18. [Google Scholar] [CrossRef] [PubMed]
- Li, Y.; Gong, H.; Zhan, R.; Ouyang, S.; Park, K.-T.; Lutkenhaus, J.; Du, S. Genetic Analysis of the Septal Peptidoglycan Synthase FtsWI Complex Supports a Conserved Activation Mechanism for SEDS-bPBP Complexes. PLoS Genet. 2021, 17, e1009366. [Google Scholar] [CrossRef] [PubMed]
- Perkins, A.; Mounange-Badimi, M.S.; Margolin, W. Role of the Antiparallel Double-Stranded Filament Form of FtsA in Activating the Escherichia coli Divisome. mBio 2024, 15, e01687-24. [Google Scholar] [CrossRef] [PubMed]
- Park, K.-T.; Du, S.; Lutkenhaus, J. Essential Role for FtsL in Activation of Septal Peptidoglycan Synthesis. mBio 2020, 11, e03012-20. [Google Scholar] [CrossRef]
- Bahaj, S.S.; Al-Dhubaibi, M.S.; Noman, A.; Ali, S.S.; Mehmood, H.; Alkassar, W.Y.; Al-Dhubaibi, A.M.; Mohammed, G.F.; Abd Elneam, A.I. Expression of Multidrug Efflux Pump Gene acrAB in Escherichia coli: A Systematic Review and Meta Analysis. BMC Infect. Dis. 2025, 25, 1362. [Google Scholar] [CrossRef]
- Adams, D.W.; Wu, L.J.; Czaplewski, L.G.; Errington, J. Multiple Effects of Benzamide Antibiotics on FtsZ Function. Mol. Microbiol. 2011, 80, 68–84. [Google Scholar] [CrossRef]
- Gundavarapu, B.; Nallamotu, K.C.; Murapaka, V.V.; Venkataraman, B.; Saisree, L.; Reddy, M. Identification of SanA as a Novel Regulator of Peptidoglycan Biogenesis in Escherichia coli. PLoS Genet. 2025, 21, e1011712. [Google Scholar] [CrossRef]
- Aleksandrowicz, A.; Kolenda, R.; Baraniewicz, K.; Thurston, T.L.M.; Suchański, J.; Grzymajlo, K. Membrane Properties Modulation by SanA: Implications for Xenobiotic Resistance in Salmonella typhimurium. Front. Microbiol. 2024, 14, 1340143. [Google Scholar] [CrossRef]
- Whitley, K.D.; Jukes, C.; Tregidgo, N.; Karinou, E.; Almada, P.; Cesbron, Y.; Henriques, R.; Dekker, C.; Holden, S. FtsZ Treadmilling Is Essential for Z-Ring Condensation and Septal Constriction Initiation in Bacillus subtilis Cell Division. Nat. Commun. 2021, 12, 2448. [Google Scholar] [CrossRef]
- Hu, L.; Perez, A.; Nesterova, T.; Lyu, Z.; Yahashiri, A.; Weiss, D.S.; Xiao, J.; Liu, J. FtsZ-Mediated Spatial-Temporal Control over Septal Cell Wall Synthesis. Proc. Natl. Acad. Sci. USA 2024, 122, e2426431122. [Google Scholar] [CrossRef] [PubMed]
- Nierhaus, T.; McLaughlin, S.H.; Bürmann, F.; Kureisaite-Ciziene, D.; Maslen, S.L.; Skehel, J.M.; Yu, C.W.H.; Freund, S.M.V.; Funke, L.F.H.; Chin, J.W.; et al. Bacterial Divisome Protein FtsA Forms Curved Antiparallel Double Filaments When Binding to FtsN. Nat. Microbiol. 2022, 7, 1686–1701. [Google Scholar] [CrossRef]
- Park, K.-T.; Pichoff, S.; Du, S.; Lutkenhaus, J. FtsA Acts through FtsW to Promote Cell Wall Synthesis during Cell Division in Escherichia coli. Proc. Natl. Acad. Sci. USA 2021, 118, e2107210118. [Google Scholar] [CrossRef]
- Modell, J.W.; Kambara, T.K.; Perchuk, B.S.; Laub, M.T. A DNA Damage-Induced, SOS-Independent Checkpoint Regulates Cell Division in Caulobacter crescentus. PLoS Biol. 2014, 12, e1001977. [Google Scholar] [CrossRef]
- Schneider, C.A.; Rasband, W.S.; Eliceiri, K.W. NIH Image to ImageJ: 25 Years of Image Analysis. Nat. Methods 2012, 9, 671–675. [Google Scholar] [CrossRef]
- Ducret, A.; Quardokus, E.M.; Brun, Y.V. MicrobeJ, a Tool for High Throughput Bacterial Cell Detection and Quantitative Analysis. Nat. Microbiol. 2016, 1, 16077. [Google Scholar] [CrossRef] [PubMed]
- Nakamura, H.; Suganuma, A. Membrane Mutation Associated with Sensitivity to Acriflavine in Escherichia coli. J. Bacteriol. 1972, 110, 329–335. [Google Scholar] [CrossRef]
- Tsang, M.; Bernhardt, T.G. A Role for the FtsQLB Complex in Cytokinetic Ring Activation Revealed by an ftsL Allele That Accelerates Division. Mol. Microbiol. 2015, 95, 925–944. [Google Scholar] [CrossRef]












| MIC (μg/mL) | |||
|---|---|---|---|
| E. coli Wt | E. coli ΔtolC | ||
| Compound | Alone | +PaβN | Alone |
| (S)-FZ95 | >30 | 0.47 | 0.47 |
| FZ101 | >30 | 7.5 | 7.5 |
| (S)-FZ95 Res. Strain #1 | (S)-FZ95 Res. Strain #2 | |
|---|---|---|
| yidE | Deletion of G at position 131 | Deletion of G at position 131 |
| sanA | 1342 bp insertion at position 495 | Unmodified |
| ftsW | Unmodified | SNP A to T at position 812 |
Disclaimer/Publisher’s Note: The statements, opinions and data contained in all publications are solely those of the individual author(s) and contributor(s) and not of MDPI and/or the editor(s). MDPI and/or the editor(s) disclaim responsibility for any injury to people or property resulting from any ideas, methods, instructions or products referred to in the content. |
© 2026 by the authors. Licensee MDPI, Basel, Switzerland. This article is an open access article distributed under the terms and conditions of the Creative Commons Attribution (CC BY) license.
Share and Cite
Suigo, L.; Lanzini, A.; Straniero, V.; Margolin, W. Mechanistic Insights into the Antimicrobial Effect of Benzodioxane-Benzamides Against Escherichia coli. Antibiotics 2026, 15, 126. https://doi.org/10.3390/antibiotics15020126
Suigo L, Lanzini A, Straniero V, Margolin W. Mechanistic Insights into the Antimicrobial Effect of Benzodioxane-Benzamides Against Escherichia coli. Antibiotics. 2026; 15(2):126. https://doi.org/10.3390/antibiotics15020126
Chicago/Turabian StyleSuigo, Lorenzo, Alessia Lanzini, Valentina Straniero, and William Margolin. 2026. "Mechanistic Insights into the Antimicrobial Effect of Benzodioxane-Benzamides Against Escherichia coli" Antibiotics 15, no. 2: 126. https://doi.org/10.3390/antibiotics15020126
APA StyleSuigo, L., Lanzini, A., Straniero, V., & Margolin, W. (2026). Mechanistic Insights into the Antimicrobial Effect of Benzodioxane-Benzamides Against Escherichia coli. Antibiotics, 15(2), 126. https://doi.org/10.3390/antibiotics15020126

