CEFEPIME/ENMETAZOBACTAM: Physicochemical Stability of a Novel β-Lactam/β-Lactamase Inhibitor Combination in Syringes and Elastomeric Devices
Abstract
1. Introduction
2. Results
2.1. Chemical Stability of FEP/META by HPLC Assay
2.1.1. Validation of the Method
2.1.2. Chemical Stability
2.1.3. Stability of FEP and META at 25/6.25 mg/mL When Stored in Polyisoprene ED at 2–8 °C Using 0.9% NaCl as Diluent
2.2. LC-ESI-QTOF-MS Assay
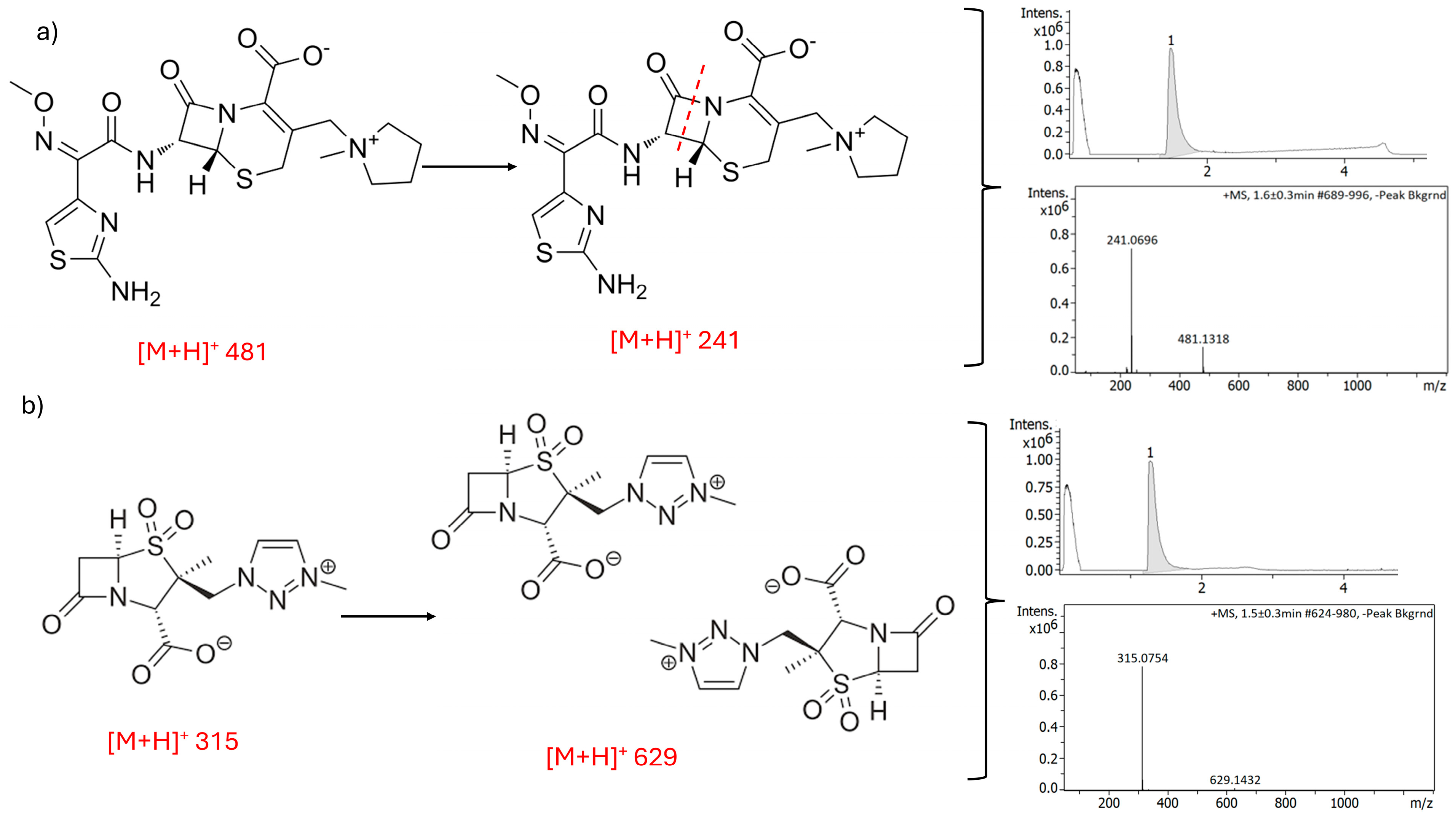
2.3. Determination of Degradation Product in Solution
2.4. pH Evaluation
2.5. Physical Stability
2.5.1. Visual Examination
2.5.2. Subvisual Examination
3. Discussion
4. Materials and Methods
4.1. Preparation of FEP/META Solutions
4.1.1. 125/31.25 mg/mL in Polypropylene Syringes
4.1.2. 25/6.25 mg/mL in Elastomeric Devices (EDs)
4.1.3. 50/12.5 mg/mL in Elastomeric Devices (EDs)
4.2. Study Design
4.3. Chemical Stability
4.3.1. HPLC Assay
4.3.2. Validation Method of HPLC Assay
4.3.3. Forced Degradation and Specificity of HPLC Assay
- -
- Acidic condition: 1 mL of a 1200 μg/mL FEP solution or 1 mL of a 300 µg/mL META solution were diluted with 1 mL HCl 1 M, stored at room temperature for 1 h, neutralized using 1 mL NaOH 1 M, and diluted with 1 mL ultrapure water to obtain a theoretical concentration of 300 μg/mL and 75 µg/mL (FEP and META, respectively).
- -
- Alkaline condition: 1 mL of a 1200 μg/mL FEP solution or 1 mL of a 300 µg/mL META solution were diluted with 1 mL of NaOH 0.01 M, stored at room temperature for 2 min for FEP and for 5 min for META, neutralized using 1 mL of HCl 0.01 M, and diluted with 1 mL of ultrapure water to obtain a theoretical concentration of 300 μg/mL and 75 µg/mL (FEP and META, respectively).
- -
- Oxidative degradation: 1 mL of a 1200 μg/mL FEP solution or 1 mL of a 300 µg/mL META solution were diluted with 1 mL of H2O2 0.03%, for 2 min for FEP, and with 0.3% H2O2 for 1 min for META and diluted with 3 mL of ultrapure water to obtain a theoretical 300 μg/mL and 75 µg/mL concentration (FEP and META, respectively).
- -
- Heat degradation: 1 mL of a 300 μg/mL FEP solution or 1 mL of a 75 µg/mL META solution was exposed to a temperature of 80 °C for 50 min. Solutions were analyzed directly without dilution.
- -
- Photolytic degradation: 1 mL of a 300 μg/mL FEP solution or 1 mL of a 75 µg/mL META solution was exposed to a UV source of 254 nm for 1800 min for FEP or 1440 min for META. Solutions were analyzed directly without dilution.
4.4. Sample Dilution for Analysis by RP-HPLC
4.5. Liquid Chromatography–Triple Quadrupole Mass Spectrometry Assay (LC-QQQ-MS)
4.6. HPLC-QTOF Impact II Assay (LC-ESI-QTOF-MS)
4.7. Sample Preparation and Storage of Supplement Assays Using LC-QQQ-MS and LC-ESI-QTOF-MS
4.8. pH Measurement
4.9. Physical Stability
5. Conclusions
Supplementary Materials
Author Contributions
Funding
Institutional Review Board Statement
Informed Consent Statement
Data Availability Statement
Acknowledgments
Conflicts of Interest
References
- Roberts, J.A.; Croom, K.; Adomakoh, N. Continuous infusion of beta-lactam antibiotics: Narrative review of systematic reviews, and implications for outpatient parenteral antibiotic therapy. Expert Rev. Anti-Infect. Ther. 2023, 4, 375–385. [Google Scholar] [CrossRef]
- Li, Y.; Roberts, J.A.; Abdul-Aziz, M.H.; Sime, F.B. Continuous or extended vs intermittent infusions of beta-lactam antibiotics in ICU patients with pneumonia: A systematic review and meta-analysis of randomized controlled trials. Antimicrob. Agents Chemother. 2025, 10, 69. [Google Scholar] [CrossRef] [PubMed]
- Zhao, Y.; Zang, B.; Wang, Q. Prolonged versus intermittent β-lactam infusion in sepsis: A systematic review and meta-analysis of randomized controlled trials. Ann. Intensive Care 2024, 14, 30. [Google Scholar] [CrossRef] [PubMed]
- Van Abel, A.L.; Childs-Kean, L.M.; Jensen, K.L.; Mynatt, R.P.; Ryan, K.L.; Rivera, C.G. A review of evidence, antimicrobial stability, and feasibility considerations for OPAT continuous infusion. Ther. Adv. Infect. Dis. 2023, 10, 20499361231191877. [Google Scholar] [CrossRef]
- D’Huart, E.; Boutouha, I.; Berardi, C.; Vigneron, J.; Demore, B.; Charmillon, A. Stability of Nine Time-Dependent Antibiotics for Outpatient Parenteral Antimicrobial Therapy (OPAT) Use. Antibiotics 2025, 14, 466. [Google Scholar] [CrossRef] [PubMed]
- Moreal, C.; Martini, L.; Prataviera, F.; Tascini, C.; Giuliano, S. Antibiotic Stability and Feasibility in Elastomeric Infusion Devices for OPAT: A Review of Current Evidence. J. Clin. Med. 2025, 14, 2722. [Google Scholar] [CrossRef]
- Jenkins, A.; Jamieson, C.; Santillo, M. Systematic review of room temperature stability of key beta-lactam antibiotics for extended infusions in inpatient settings. Eur. J. Hosp. Pharm. 2023, 31, 2–9. [Google Scholar] [CrossRef]
- Esteban-Cartelle, B.; Vicente-Oliveros, N.; Pérez Menéndez-Conde, C.; Serrano, D.R.; Martín-Dávila, P.; Fortún-Abete, J.; León-Gil, L.A.; Álvarez-Díaz, A. Antibiotic stability in portable elastomeric infusion devices: A systematic review. Am. J. Health Syst. Pharm. 2022, 79, 1355–1368. [Google Scholar] [CrossRef]
- Esteban-Cartelle, B.; Serrano, D.R.; Pérez Menéndez-Conde, C.; Vicente-Oliveros, N.; Álvarez-Díaz, A.; Fortún-Abete, J.; Martín-Dávila, P. Stability of meropenem in portable elastomeric infusion devices: Which protocol should be implemented in clinical practice? Microbiol. Spectr. 2024, 12, e0206423. [Google Scholar] [CrossRef]
- Esteban-Cartelle, B.; Anaya, B.J.; Pérez Menéndez-Conde, C.; Vicente-Oliveros, N.; Serrano, D.R.; Álvarez-Díaz, A.; Fortún-Abete, J.; Martín-Dávila, P. Stability of Ceftobiprole Medocaril in Portable Elastomeric Infusion Devices. Infect. Dis. Ther. 2025, 14, 1685–1696. [Google Scholar] [CrossRef]
- Kaye, K.S.; Belley, A.; Barth, P. Effect of Cefepime/Enmetazobactam vs Piperacillin/Tazobactam on Clinical Cure and Microbiological Eradication in Patients With Complicated Urinary Tract Infection or Acute Pyelonephritis: A Randomized Clinical Trial. JAMA 2022, 328, 1304–1314. [Google Scholar] [CrossRef]
- ADVANZ Pharma. EXBLIFEP 2 g/0.5 g Powder for Concentrate for Solution for Infusion—Summary of Product Characteristics (SmPC)—Available Online (FDA) Label; ADVANZ Pharma: London, UK, 2024. [Google Scholar]
- ADVANZ Pharma. EXBLIFEP 2 g/0.5 g Powder for Concentrate for Solution for Infusion—Summary of Product Characteristics (SmPC)—Available Online (EMA) Exblifep, INN-Cefepime + Enmetazobactam; ADVANZ Pharma: London, UK, 2024. [Google Scholar]
- Papp-Wallace, K.M.; Bethel, C.R.; Caillon, J.; Barnes, M.D.; Potel, G.; Bajaksouzian, S.; Rutter, J.D.; Reghal, A.; Shapiro, S.; Taracila, M.A.; et al. Beyond Piperacillin-Tazobactam: Cefepime and AAI101 as a Potent beta-Lactam-beta-Lactamase Inhibitor Combination. Antimicrob. Agents Chemother. 2019, 63, e00105-19. [Google Scholar] [CrossRef]
- Darlow, C.A.; Hope, W.; Dubey, V. Cefepime/Enmetazobactam: A microbiological, pharmacokinetic, pharmacodynamic, and clinical evaluation. Expert Opin. Drug Metab. Toxicol. 2025, 21, 115–123. [Google Scholar] [CrossRef] [PubMed]
- Bonnin, R.A.; Jeannot, K.; Santerre Henriksen, A.; Quevedo, J.; Dortet, L. In vitro activity of cefepime-enmetazobactam on carbapenem-resistant Gram negatives. Clin. Microbiol. Infect. 2025, 31, 240–249. [Google Scholar] [CrossRef]
- Rabouan-Guyon, S.M.; Guet, A.F.; Courtois, P.Y.; Barthes, D.M.C. Stability study of cefepime in different infusion solutions. Int. J. Pharm. 1997, 154, 185–190. [Google Scholar] [CrossRef]
- Stewart, J.T.; Maddox, F.C.; Warren, F.W. Stability of cefepime hydrochloride in polypropylene syringes. Am. J. Health Syst. Pharm. 1999, 56, 1134. [Google Scholar] [CrossRef] [PubMed]
- Loeuille, G.; D’Huart, E.; Vigneron, J.; Nisse, Y.-E.; Beiler, B.; Polo, C.; Ayari, G.; Sacrez, M.; Demoré, B.; Charmillon, A. Stability Studies of 16 Antibiotics for Continuous Infusion in Intensive Care Units and for Performing Outpatient Parenteral Antimicrobial Therapy. Antibiotics 2022, 11, 458. [Google Scholar] [CrossRef]
- Pharmaceutical Technical Procedures. 2.9.19: Particulate contamination: Sub-visible particles. In European Pharmacopoeia, 11th ed.; European Directorate for the Quality of Medicines and Health Care: Strasbourg, France, 2023. [Google Scholar]
- Pharmaceutical Technical Procedures. 2.9.20: Particulate contamination: Visible particle. In European Pharmacopoeia, 11th ed.; European Directorate for the Quality of Medicines and Health Care: Strasbourg, France, 2023. [Google Scholar]
- U.S. Department of Health and Human Services Food and Drug Administration. Guidance for Industry: Drug Stability Guidelines; U.S. Department of Health and Human Services Food and Drug Administration: Silver Spring, MD, USA, 2008.
- Bardin, C.; Astier, A.; Vulto, A.; Sewell, G.; Vigneron, J.; Trittler, R.; Daouphars, M.; Paul, M.; Trojniak, M.; Pinguet, F.; et al. Guidelines for the Practical Stability Studies of Anticancer Drugs: A European Consensus Conference. Ann. Pharm. Françaises 2011, 69, 221–231. [Google Scholar] [CrossRef]
- Jagadeesh Kumar, V.; Badarinadh Gupta, P.; Pavan Kumar, K.S.; Prasada Rao, K.V.; Rao, K.R.; Prasanna, S.J.; Kumar Sharma, H.; Mukkanti, K. Identification and characterization of new degradation products of cefepime dihydrochloride monohydrate drug substance during stress stability studies. Anal. Sci. 2010, 26, 1081–1086. [Google Scholar] [CrossRef] [PubMed][Green Version]
- Park, S.; Park, S.; Oh, S.; Heo, Y.; Lee, H.; Park, J. Novel Yellow Aromatic Imine Derivative Incorporating Oxazolone Moiety for Color Resist Applications. Appl. Sci. 2024, 14, 4362. [Google Scholar] [CrossRef]
- Renapime 2g Powder for Solution for Injection/Infusion—Summary of Product Characteristics (SmPC)—(Emc). Available online: https://www.medicines.org.uk/emc/product/9672/smpc/print (accessed on 25 April 2025).
- Baririan, N.; Chanteux, H.; Viaene, E.; Servais, H.; Tulkens, P.M. Stability and compatibility study of cefepime in comparison with ceftazidime for potential administration by continuous infusion under conditions pertinent to ambulatory treatment of cystic fibrosis patients and to administration in intensive care units. J. Antimicrob. Chemother. 2003, 51, 651–658. [Google Scholar] [CrossRef]
- N-methylpyrrolidine—Data Sheet Security, Sigma Aldrich®. Available online: https://www.sigmaaldrich.com/FR/en/sds/sial/328634?userType=anonymous (accessed on 20 July 2025).
- International Conference on Harmonisation: Validation of Analytical Procedures: Text and Methodology Q2 (R1). Guide-Line 2005. Available online: http://www.ich.org/fileadmin/Public_Web_Site/ICH_Products/Guidelines/Quality/Q2_R1/Step4/Q2_R1__Guideline.pdf (accessed on 1 March 2021).
- SFPC (French Society of Clinical Pharmacy); GERPAC (Evaluation and Research Group on Protection in Controlled Atmospher). SFPC, GERPAC, Methodological Guidelines for Stability Studies of Hospital Pharmaceutical Preparations, Part I: Liquid Preparations. 2013. Available online: https://www.gerpac.eu/IMG/pdf/guide_stabilite_anglais.pdf (accessed on 1 March 2021).
- D’Cunha, R.; Bach, T.; Young, B.A.; Li, P.; Nalbant, D.; Zhang, J.; Winokur, P.; An, G. Quantification of Cefepime, Meropenem, Piperacillin, and Tazobactam in Human Plasma Using a Sensitive and Robust Liquid Chromatography-Tandem Mass Spectrometry Method, Part 1: Assay Development and Validation. Antimicrob. Agents Chemother. 2018, 62, e00859-18. [Google Scholar] [CrossRef] [PubMed]
- Ren, X.; Zhu, B.; Gao, J.; Tang, K.; Zhou, P.; Wang, J. Study of the polymerized impurities in cefotaxime sodium and cefepime by applying various chromatographic modes coupled with ion trap/time-of-flight mass spectrometry. Talanta 2022, 238, 123079. [Google Scholar] [CrossRef] [PubMed]











| Container | Temperature | Light Exposition | Volume | FEP/META Final Concentration | Solvent | FEP/META Chemical Stability (≥90% of the Ci) | pH (±1 pH Unit) | Visual Examination (Compliant If No Modification Observed) | Subvisual (Compliant If Respects PAMAS Particles Counter per Eur.Pharma. 2.9.19.) |
|---|---|---|---|---|---|---|---|---|---|
| Polypropylene syringe | 22–25 °C | Yes | 48 mL | 125/31.25 mg/mL | 0.9% NaCl | 12 h | 24 h | 12 h | 24 h |
| D5W | 24 h | 24 h | 12 h | 24 h | |||||
| Silicone elastomeric device | 32 °C | No | 240 mL | 25/6.25 mg/mL | 0.9% NaCl | 12 h | 24 h | 12 h | 24 h |
| D5W | 24 h | 24 h | 12 h | 24 h | |||||
| Polyisoprene elastomeric device | 32 °C | No | 240 mL | 25/6.25 mg/mL | 0.9% NaCl | 12 h | 24 h | 12 h | 12 h |
| D5W | 24 h | 24 h | 12 h | 12 h | |||||
| Silicone elastomeric device | 32 °C | No | 120 mL | 50/12.5 mg/mL | 0.9% NaCl | 12 h | 24 h | 8 h | 12 h |
| D5W | 24 h | 24 h | 8 h | 24 h | |||||
| Polyisoprene elastomeric device | 32 °C | No | 120 mL | 50/12.5 mg/mL | 0.9% NaCl | 12 h | 24 h | 8 h | 12 h |
| D5W | 24 h | 24 h | 8 h | 12 h | |||||
| Polyisoprene elastomeric device | 2–8 °C | No | 240 mL | 25/6.25 mg/mL | 0.9% NaCl | 24 h | not done | not done | not done |
| T0 | T8 h | T12 h | T24 h | ||||||
|---|---|---|---|---|---|---|---|---|---|
| Preparation Number | Solvent | pH | pH | ≠Relative to T0 | pH | ≠Relative to T0 | pH | ≠Relative to T0 | |
| Syringe (125/31.25 mg/mL) | 1 | NaCl 0.9% | 4.61 | 4.54 | −0.07 | 4.58 | −0.03 | 4.54 | −0.07 |
| 1 | D5W | 4.65 | 4.58 | −0.07 | 4.58 | −0.07 | 4.57 | −0.08 | |
| Silicone ED (25/6.25 mg/mL) | 1 | NaCl 0.9% | 4.77 | 4.78 | 0.01 | 4.78 | 0.01 | 4.97 | 0.2 |
| 2 | 4.71 | 4.74 | 0.03 | 4.73 | 0.02 | 4.91 | 0.2 | ||
| 3 | 4.63 | 4.63 | 0 | 4.63 | 0 | 4.78 | 0.15 | ||
| 1 | D5W | 4.76 | 4.68 | −0.08 | 4.72 | −0.04 | 4.83 | 0.07 | |
| 2 | 4.58 | 4.48 | −0.1 | 4.54 | −0.04 | 4.70 | 0.12 | ||
| 3 | 4.57 | 4.49 | −0.08 | 4.55 | −0.02 | 4.72 | 0.15 | ||
| Silicone ED (50/12.5 mg/mL) | 1 | NaCl 0.9% | 4.53 | 4.54 | 0.01 | 4.58 | 0.05 | 4.61 | 0.08 |
| 2 | 4.66 | 4.64 | −0.02 | 4.65 | −0.01 | 4.69 | 0.03 | ||
| 3 | 4.56 | 4.61 | 0.05 | 4.62 | 0.06 | 4.71 | 0.15 | ||
| 1 | D5W | 4.65 | 4.61 | −0.04 | 4.63 | −0.02 | 4.78 | 0.13 | |
| 2 | 4.58 | 4.55 | −0.03 | 4.58 | 0 | 4.61 | 0.03 | ||
| 3 | 4.65 | 4.6 | −0.05 | 4.59 | −0.06 | 4.77 | 0.12 | ||
| Polyisoprene ED (25/6.25 mg/mL) | 1 | NaCl 0.9% | 4.69 | 4.6 | −0.09 | 4.64 | −0.05 | 4.78 | 0.09 |
| 2 | 4.6 | 4.56 | −0.04 | 4.56 | −0.04 | 4.78 | 0.18 | ||
| 3 | 4.55 | 4.53 | −0.02 | 4.55 | 0 | 4.70 | 0.15 | ||
| 1 | D5W | 4.52 | 4.50 | −0.02 | 4.46 | −0.06 | 4.67 | 0.15 | |
| 2 | 4.48 | 4.45 | −0.03 | 4.46 | −0.02 | 4.63 | 0.15 | ||
| 3 | 4.49 | 4.47 | −0.02 | 4.46 | −0.03 | 4.63 | 0.14 | ||
| Polyisoprene ED (50/12.5 mg/mL) | 1 | NaCl 0.9% | 4.74 | 4.70 | −0.04 | 4.74 | 0 | 4.90 | 0.16 |
| 2 | 4.66 | 4.63 | −0.03 | 4.64 | −0.02 | 4.84 | 0.18 | ||
| 3 | 4.60 | 4.60 | 0 | 4.59 | −0.01 | 4.79 | 0.19 | ||
| 1 | D5W | 4.74 | 4.68 | −0.06 | 4.75 | 0.01 | 4.94 | 0.2 | |
| 2 | 4.58 | 4.56 | −0.02 | 4.59 | 0.01 | 4.73 | 0.15 | ||
| 3 | 4.49 | 4.46 | −0.03 | 4.49 | 0 | 4.62 | 0.13 | ||
| Container | Temperature | Light Exposition | Volume | FEP/META Final Concentration | Solvent | FEP/META Physicochemical Stability |
|---|---|---|---|---|---|---|
| Polypropylene syringe | 22–25 °C | Yes | 48 mL | 125/31.25 mg/mL | 0.9% NaCl | 12 h |
| D5W | 24 h | |||||
| Silicone elastomeric device | 32 °C | No | 240 mL | 25/6.25 mg/mL | 0.9% NaCl | 12 h |
| D5W | 24 h | |||||
| Polyisoprene elastomeric device | 32 °C | No | 240 mL | 25/6.25 mg/mL | 0.9% NaCl | 12 h |
| D5W | 12 h | |||||
| Silicone elastomeric device | 32 °C | No | 120 mL | 50/12.5 mg/mL | 0.9% NaCl | 12 h |
| D5W | 24 h | |||||
| Polyisoprene elastomeric device | 32 °C | No | 120 mL | 50/12.5 mg/mL | 0.9% NaCl | 12 h |
| D5W | 12 h | |||||
| Polyisoprene elastomeric device | 2–8 °C | No | 240 mL | 25/6.25 mg/mL | 0.9% NaCl | 24 h |
| Time (min) | Water (%) | Methanol (%) |
|---|---|---|
| 0 | 95 | 5 |
| 5 | 40 | 60 |
| 5.1 | 95 | 5 |
| 12 | 95 | 5 |
Disclaimer/Publisher’s Note: The statements, opinions and data contained in all publications are solely those of the individual author(s) and contributor(s) and not of MDPI and/or the editor(s). MDPI and/or the editor(s) disclaim responsibility for any injury to people or property resulting from any ideas, methods, instructions or products referred to in the content. |
© 2026 by the authors. Licensee MDPI, Basel, Switzerland. This article is an open access article distributed under the terms and conditions of the Creative Commons Attribution (CC BY) license.
Share and Cite
Chayem, A.; Quevedo, J.; Cure, S.; Jemmely, N.; Demore, B.; Esteban-Cartelle, B.; Anaya, B.J.; Peñalver, G.A.; Serrano, D.R.; D’Huart, E. CEFEPIME/ENMETAZOBACTAM: Physicochemical Stability of a Novel β-Lactam/β-Lactamase Inhibitor Combination in Syringes and Elastomeric Devices. Antibiotics 2026, 15, 114. https://doi.org/10.3390/antibiotics15020114
Chayem A, Quevedo J, Cure S, Jemmely N, Demore B, Esteban-Cartelle B, Anaya BJ, Peñalver GA, Serrano DR, D’Huart E. CEFEPIME/ENMETAZOBACTAM: Physicochemical Stability of a Novel β-Lactam/β-Lactamase Inhibitor Combination in Syringes and Elastomeric Devices. Antibiotics. 2026; 15(2):114. https://doi.org/10.3390/antibiotics15020114
Chicago/Turabian StyleChayem, Akim, Juan Quevedo, Sandrine Cure, Noëlle Jemmely, Béatrice Demore, Beatriz Esteban-Cartelle, Brayan J. Anaya, Gabriel A. Peñalver, Dolores R. Serrano, and Elise D’Huart. 2026. "CEFEPIME/ENMETAZOBACTAM: Physicochemical Stability of a Novel β-Lactam/β-Lactamase Inhibitor Combination in Syringes and Elastomeric Devices" Antibiotics 15, no. 2: 114. https://doi.org/10.3390/antibiotics15020114
APA StyleChayem, A., Quevedo, J., Cure, S., Jemmely, N., Demore, B., Esteban-Cartelle, B., Anaya, B. J., Peñalver, G. A., Serrano, D. R., & D’Huart, E. (2026). CEFEPIME/ENMETAZOBACTAM: Physicochemical Stability of a Novel β-Lactam/β-Lactamase Inhibitor Combination in Syringes and Elastomeric Devices. Antibiotics, 15(2), 114. https://doi.org/10.3390/antibiotics15020114

