An Unexpected Inverse Relationship Between Biofilm Formation and Antibiotic Resistance in Stenotrophomonas maltophilia
Abstract
1. Introduction
2. Results
2.1. Antibiotic Resistance
2.2. Biofilm Formation
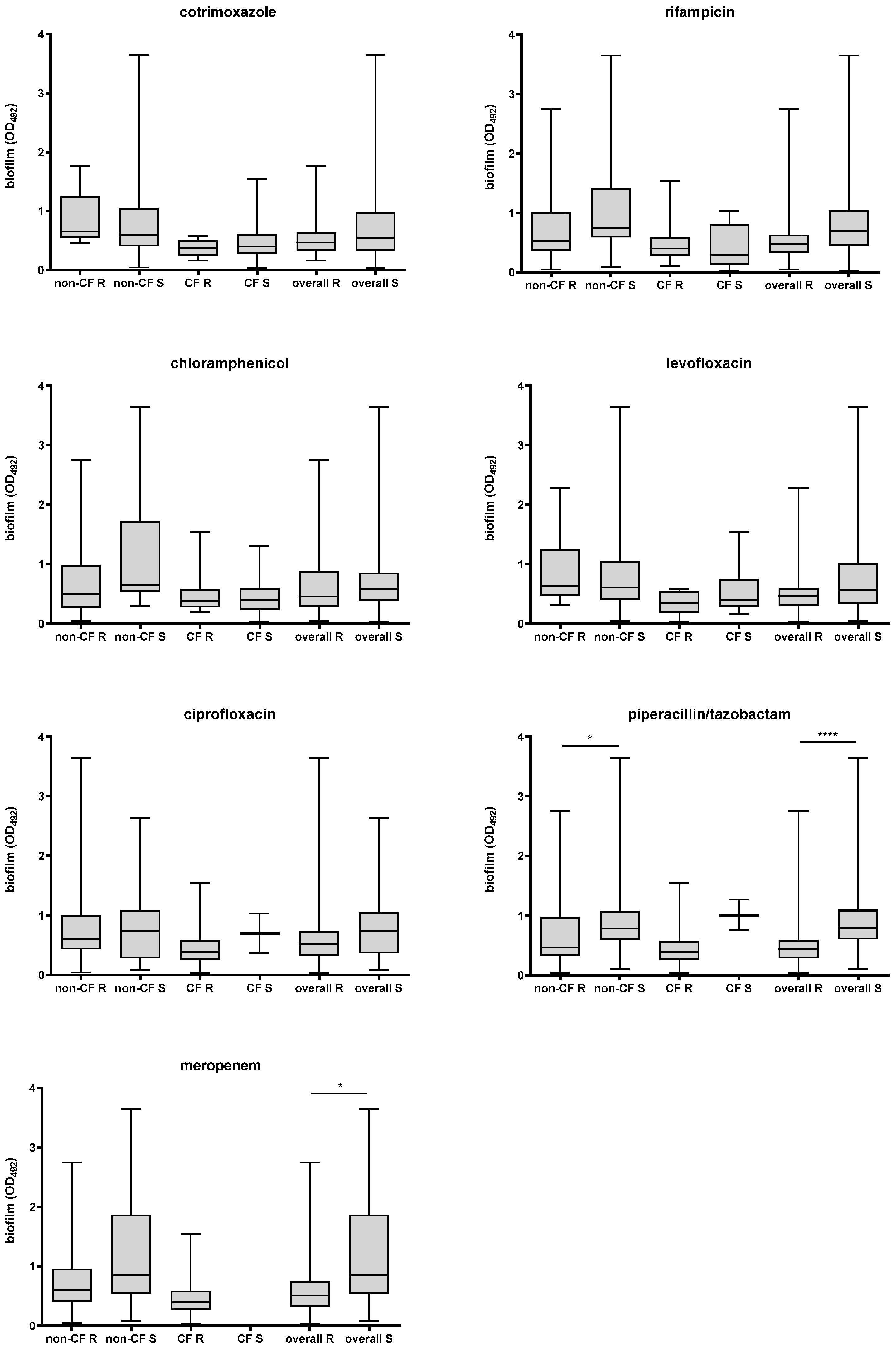
2.3. Correlation Between Antibiotic Resistance and Biofilm Formation
3. Discussion
4. Materials and Methods
4.1. Bacterial Strains
4.2. Antibiotic Susceptibility Tests
4.3. Biofilm Formation Assay
4.4. Statistical Analysis
5. Conclusions
Supplementary Materials
Author Contributions
Funding
Institutional Review Board Statement
Informed Consent Statement
Data Availability Statement
Acknowledgments
Conflicts of Interest
Abbreviations
| CF | Cystic fibrosis |
| OD | Optical density |
| MDR | Multidrug resistance |
| XDR | Extensively drug resistance |
| PDR | Pandrug resistance |
| EUCAST | European committee for antimicrobial susceptibility testing |
| CLSI | Clinical laboratory standards institute |
References
- Brooke, J.S. Advances in the Microbiology of Stenotrophomonas maltophilia. Clin. Microbiol. Rev. 2021, 34, e0003019. [Google Scholar] [CrossRef]
- Blanchard, A.C.; Waters, V.J. Opportunistic Pathogens in Cystic Fibrosis: Epidemiology and Pathogenesis of Lung Infection. J. Pediatr. Infect. Dis. Soc. 2022, 11, S3–S12. [Google Scholar] [CrossRef]
- Monardo, R.; Mojica, M.F.; Ripa, M.; Aitken, S.L.; Bonomo, R.A.; van Duin, D. How do I manage a patient with Stenotrophomonas maltophilia infection? Clin. Microbiol. Infect. 2025, 31, 1291–1297. [Google Scholar] [CrossRef]
- Di Bonaventura, G.; Spedicato, I.; D’Antonio, D.; Robuffo, I.; Piccolomini, R. Biofilm formation by Stenotrophomonas maltophilia: Modulation by quinolones, trimethoprim-sulfamethoxazole, and ceftazidime. Antimicrob. Agents Chemother. 2004, 48, 151–160. [Google Scholar] [CrossRef] [PubMed]
- Pompilio, A.; Crocetta, V.; Confalone, P.; Nicoletti, M.; Petrucca, A.; Guarnieri, S.; Fiscarelli, E.; Savini, V.; Piccolomini, R.; Di Bonaventura, G. Adhesion to and biofilm formation on IB3-1 bronchial cells by Stenotrophomonas maltophilia isolates from cystic fibrosis patients. BMC Microbiol. 2010, 10, 102. [Google Scholar] [CrossRef]
- Sun, E.; Liang, G.; Wang, L.; Wei, W.; Lei, M.; Song, S.; Han, R.; Wang, Y.; Qi, W. Antimicrobial susceptibility of hospital acquired Stenotrophomonas maltophilia isolate biofilms. Braz. J. Infect. Dis. 2016, 20, 365–373. [Google Scholar] [CrossRef] [PubMed]
- Amanatidou, E.; Matthews, A.C.; Kuhlicke, U.; Neu, T.R.; McEvoy, J.P.; Raymond, B. Biofilms facilitate cheating and social exploitation of β-lactam resistance in Escherichia coli. NPJ Biofilms Microbiomes 2019, 5, 36. [Google Scholar] [CrossRef] [PubMed]
- Liu, H.Y.; Prentice, E.L.; Webber, M.A. Mechanisms of antimicrobial resistance in biofilms. NPJ Antimicrob. Resist. 2024, 2, 27. [Google Scholar] [CrossRef] [PubMed]
- Michaelis, C.; Grohmann, E. Horizontal Gene Transfer of Antibiotic Resistance Genes in Biofilms. Antibiotics 2023, 12, 328. [Google Scholar] [CrossRef] [PubMed]
- Zhao, A.; Sun, J.; Liu, Y. Understanding bacterial biofilms: From definition to treatment strategies. Front. Cell. Infect. Microbiol. 2023, 13, 1137947. [Google Scholar] [CrossRef]
- Høiby, N.; Bjarnsholt, T.; Givskov, M.; Molin, S.; Ciofu, O. Antibiotic resistance of bacterial biofilms. Int. J. Antimicrob. Agents 2010, 35, 322–332. [Google Scholar] [CrossRef]
- Wood, T.K.; Knabel, S.J.; Kwan, B.W. Bacterial persister cell formation and dormancy. Appl. Environ. Microbiol. 2013, 79, 7116–7121. [Google Scholar] [CrossRef]
- Farrell, D.J.; Sader, H.S.; Jones, R.N. Antimicrobial susceptibilities of a worldwide collection of Stenotrophomonas maltophilia isolates tested against tigecycline and agents commonly used for S. maltophilia infections. Antimicrob. Agents Chemother. 2010, 54, 2735–2737. [Google Scholar] [CrossRef]
- Rolsma, S.L.; Sokolow, A.; Patel, P.C.; Sokolow, K.; Jimenez-Truque, N.; Fissell, W.H.; Ryan, V.; Kirkpatrick, C.M.; Nation, R.L.; Gu, K.; et al. Population Pharmacokinetic Modeling of Cefepime, Meropenem, and Piperacillin-Tazobactam in Patients with Cystic Fibrosis. J. Infect. Dis. 2025, 231, e364–e374. [Google Scholar] [CrossRef]
- Marvig, R.L.; Sommer, L.M.; Molin, S.; Johansen, H.K. Convergent evolution and adaptation of Pseudomonas aeruginosa within patients with cystic fibrosis. Nat. Genet. 2015, 47, 57–64. [Google Scholar] [CrossRef] [PubMed]
- Sanz-Garcia, F.; Hernando-Amado, S.; Martinez, J.L. Mutation-driven evolution of Pseudomonas aeruginosa in the presence of either ceftazidime or ceftazidime/avibactam. Antimicrob. Agents Chemother. 2018, 10, 62. [Google Scholar] [CrossRef]
- Duan, Z.; Qin, J.; Liu, Y.; Li, C.; Ying, C. Molecular epidemiology and risk factors of Stenotrophomonas maltophilia infections in a Chinese teaching hospital. BMC Microbiol. 2020, 20, 294. [Google Scholar] [CrossRef] [PubMed]
- Bostanghadiri, N.; Ardebili, A.; Ghalavand, Z.; Teymouri, S.; Mirzarazi, M.; Goudarzi, M.; Ghasemi, E.; Hashemi, A. Antibiotic resistance, biofilm formation, and biofilm-associated genes among Stenotrophomonas maltophilia clinical isolates. BMC Res. Notes 2021, 14, 151. [Google Scholar] [CrossRef]
- Rhee, J.Y.; Song, J.H.; Ko, K.S. Current Situation of Antimicrobial Resistance and Genetic Differences in Stenotrophomonas maltophilia Complex Isolates by Multilocus Variable Number of Tandem Repeat Analysis. Infect. Chemother. 2016, 48, 285–293. [Google Scholar] [CrossRef]
- Squyres, G.R.; Newman, D.K. Biofilms as more than the sum of their parts: Lessons from developmental biology. Curr. Opin. Microbiol. 2024, 82, 102537. [Google Scholar] [CrossRef] [PubMed]
- Schulze, A.; Mitterer, F.; Pombo, J.P.; Schild, S. Biofilms by bacterial human pathogens: Clinical relevance—Development, composition and regulation—Therapeutical strategies. Microb. Cell 2021, 8, 28–56. [Google Scholar] [CrossRef]
- Pompilio, A.; Ranalli, M.; Piccirilli, A.; Perilli, M.; Vukovic, D.; Savic, B.; Krutova, M.; Drevinek, P.; Jonas, D.; Fiscarelli, E.V.; et al. Biofilm Formation among Stenotrophomonas maltophilia Isolates Has Clinical Relevance: The ANSELM Prospective Multicenter Study. Microorganisms 2020, 9, 49. [Google Scholar] [CrossRef]
- Mikhailovich, V.; Heydarov, R.; Zimenkov, D.; Chebotar, I. Stenotrophomonas maltophilia virulence: A current view. Front. Microbiol. 2024, 15, 1385631. [Google Scholar] [CrossRef]
- Esposito, A.; Pompilio, A.; Bettua, C.; Crocetta, V.; Giacobazzi, E.; Fiscarelli, E.; Jousson, O.; Di Bonaventura, G. Evolution of Stenotrophomonas maltophilia in Cystic Fibrosis Lung over Chronic Infection: A Genomic and Phenotypic Population Study. Front. Microbiol. 2017, 8, 1590. [Google Scholar] [CrossRef] [PubMed]
- Qi, L.; Li, H.; Zhang, C.; Liang, B.; Li, J.; Wang, L.; Du, X.; Liu, X.; Qiu, S.; Song, H. Relationship between Antibiotic Resistance, Biofilm Formation, and Biofilm-Specific Resistance in Acinetobacter baumannii. Front. Microbiol. 2016, 7, 483. [Google Scholar] [CrossRef]
- Kwon, A.S.; Park, G.C.; Ryu, S.Y.; Lim, D.H.; Lim, D.Y.; Choi, C.H.; Park, Y.; Lim, Y. Higher biofilm formation in multidrug-resistant clinical isolates of Staphylococcus aureus. Int. J. Antimicrob. Agents 2008, 32, 68–72. [Google Scholar] [CrossRef] [PubMed]
- García-Castillo, M.; Morosini, M.I.; Valverde, A.; Almaraz, F.; Baquero, F.; Cantón, R.; del Campo, R. Differences in biofilm development and antibiotic susceptibility among Streptococcus pneumoniae isolates from cystic fibrosis samples and blood cultures. J. Antimicrob. Chemother. 2007, 59, 301–304. [Google Scholar] [CrossRef]
- Liaw, S.J.; Lee, Y.L.; Hsueh, P.R. Multidrug resistance in clinical isolates of Stenotrophomonas maltophilia: Roles of integrons, efflux pumps, phosphoglucomutase (SpgM), and melanin and biofilm formation. Int. J. Antimicrob. Agents 2010, 35, 126–130. [Google Scholar] [CrossRef] [PubMed]
- Junco, S.J.; Bowman, M.C.; Turner, R.B. Clinical outcomes of Stenotrophomonas maltophilia infection treated with trimethoprim/sulfamethoxazole, minocycline, or fluoroquinolone monotherapy. Int. J. Antimicrob. Agents 2021, 58, 106367. [Google Scholar] [CrossRef]
- EUCAST. Disk Diffusion Method for Antimicrobial Susceptibility Testing. Version 13.0 (January 2025). 2025. Available online: www.eucast.org (accessed on 15 September 2025).
- CLSI M02; Performance Standards for Antimicrobial Disk Susceptibility Tests. Clinical Laboratory Standards Institute: Wayne, PA, USA, 2024.
- Magiorakos, A.P.; Srinivasan, A.; Carey, R.B.; Carmeli, Y.; Falagas, M.E.; Giske, C.G.; Harbarth, S.; Hindler, J.F.; Kahlmeter, G.; Olsson-Liljequist, B.; et al. Multidrug-resistant, extensively drug-resistant and pandrug-resistant bacteria: An international expert proposal for interim standard definitions for acquired resistance. Clin. Microbiol. Infect. 2012, 18, 268–281. [Google Scholar] [CrossRef]
- Stepanović, S.; Vuković, D.; Hola, V.; Di Bonaventura, G.; Djukić, S.; Cirković, I.; Ruzicka, F. Quantification of biofilm in microtiter plates: Overview of testing conditions and practical recommendations for assessment of biofilm production by staphylococci. APMIS 2007, 115, 891–899. [Google Scholar] [CrossRef] [PubMed]


| Overall (n = 86) | CF (n = 40) | non-CF (n = 46) | Fisher’s Exact Test (p; CF vs. non-CF) | ||||
|---|---|---|---|---|---|---|---|
| Antibiotic | n | % | n | % | n | % | |
| meropenem | 75 | 87.2 | 38 | 95.0 | 37 | 80.4 | NS a |
| ciprofloxacin | 69 | 80.2 | 36 | 90.0 | 33 | 71.7 | NS |
| rifampicin | 62 | 72.1 | 33 | 82.5 | 29 | 63.0 | NS |
| piperacillin/tazobactam | 49 | 57.0 | 36 | 90.0 | 24 | 52.2 | 0.0001 |
| chloramphenicol | 41 | 47.7 | 18 | 45.0 | 24 | 52.2 | NS |
| levofloxacin | 23 | 26.7 | 13 | 32.5 | 10 | 21.7 | NS |
| cotrimoxazole | 16 | 18.6 | 10 | 25.0 | 6 | 13.0 | NS |
| Multidrug-resistant phenotypes | |||||||
| MDR | 70 | 81.4 | 39 | 97.5 | 31 | 67.4 | 0.0002 |
| XDR | 49 | 56.9 | 24 | 60 | 25 | 54.3 | NS |
| PDR | 8 | 9.3 | 6 | 15 | 2 | 4.3 | NS |
Disclaimer/Publisher’s Note: The statements, opinions and data contained in all publications are solely those of the individual author(s) and contributor(s) and not of MDPI and/or the editor(s). MDPI and/or the editor(s) disclaim responsibility for any injury to people or property resulting from any ideas, methods, instructions or products referred to in the content. |
© 2026 by the authors. Licensee MDPI, Basel, Switzerland. This article is an open access article distributed under the terms and conditions of the Creative Commons Attribution (CC BY) license.
Share and Cite
Pompilio, A.; Di Bonaventura, G. An Unexpected Inverse Relationship Between Biofilm Formation and Antibiotic Resistance in Stenotrophomonas maltophilia. Antibiotics 2026, 15, 85. https://doi.org/10.3390/antibiotics15010085
Pompilio A, Di Bonaventura G. An Unexpected Inverse Relationship Between Biofilm Formation and Antibiotic Resistance in Stenotrophomonas maltophilia. Antibiotics. 2026; 15(1):85. https://doi.org/10.3390/antibiotics15010085
Chicago/Turabian StylePompilio, Arianna, and Giovanni Di Bonaventura. 2026. "An Unexpected Inverse Relationship Between Biofilm Formation and Antibiotic Resistance in Stenotrophomonas maltophilia" Antibiotics 15, no. 1: 85. https://doi.org/10.3390/antibiotics15010085
APA StylePompilio, A., & Di Bonaventura, G. (2026). An Unexpected Inverse Relationship Between Biofilm Formation and Antibiotic Resistance in Stenotrophomonas maltophilia. Antibiotics, 15(1), 85. https://doi.org/10.3390/antibiotics15010085

