Molecular Epidemiology of Carbapenem-Resistant Pseudomonas aeruginosa Before the COVID-19 Pandemic: Resistance Profiles and Clonality in a Tertiary-Care Hospital
Abstract
1. Introduction
2. Results
2.1. Clinical Isolates
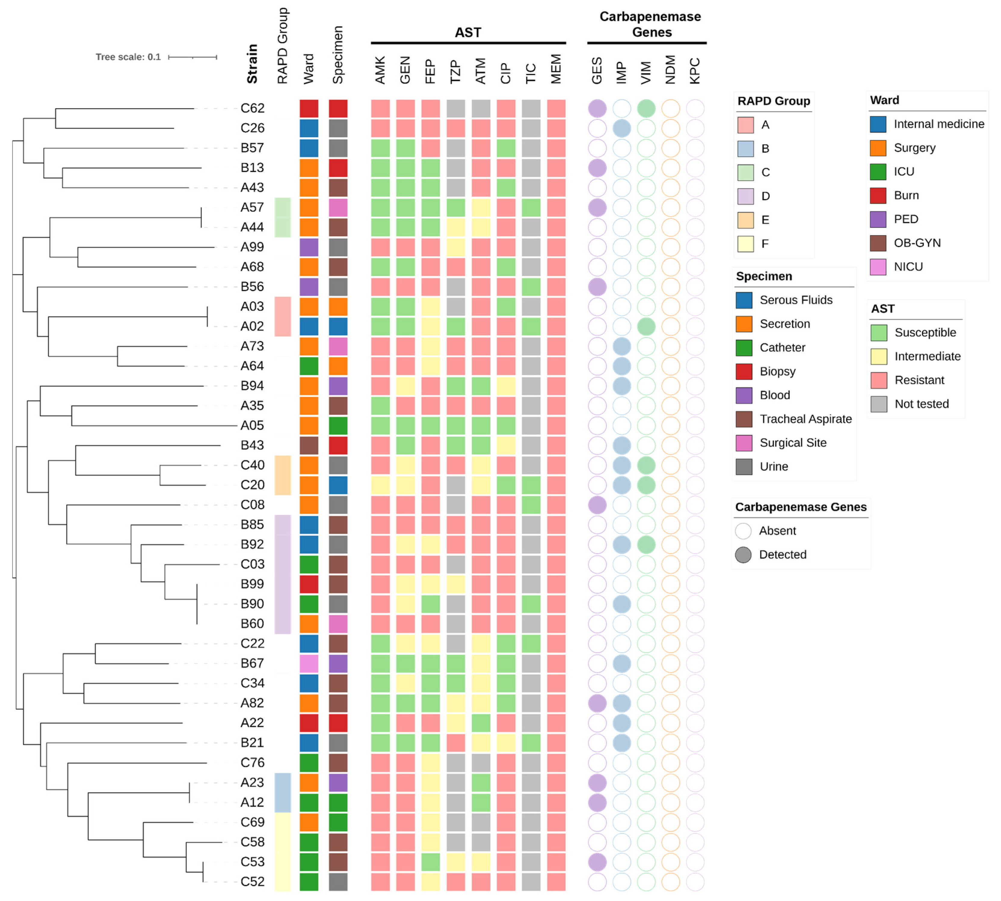
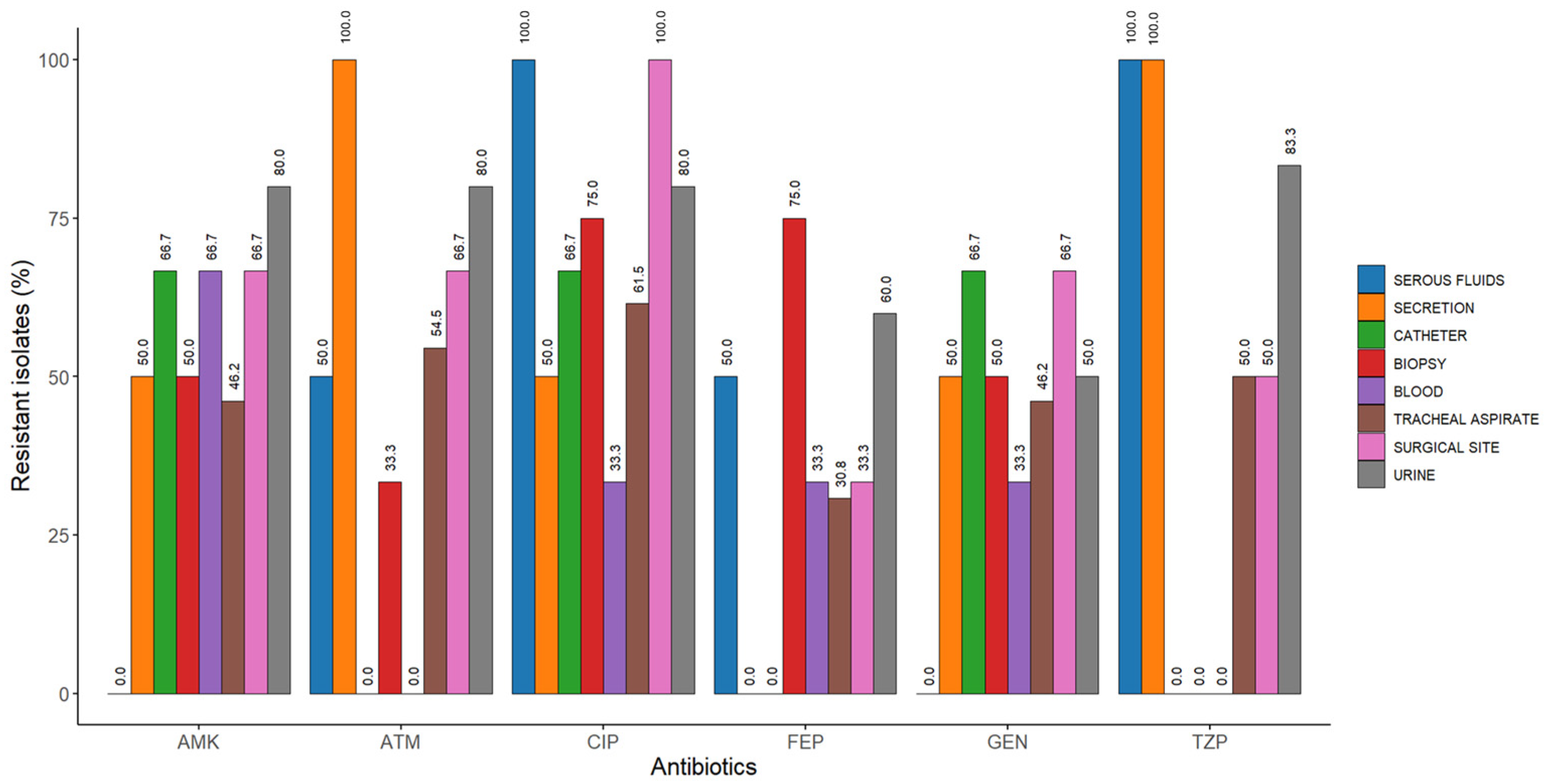
2.2. Antibiotic Susceptibility Pattern
2.3. Presence of Genes Encoding Carbapenemases
2.4. Clonal Diversity and Molecular Epidemiology of CRPA Isolates
3. Discussion
4. Materials and Methods
4.1. Bacterial Isolates and Clinical Data
4.2. Identification and Antimicrobial Susceptibility Testing
4.3. Detection of Resistance Genes
4.4. Clonal Relationship and Molecular Typing
4.5. Statistical Analysis
5. Conclusions
Supplementary Materials
Author Contributions
Funding
Institutional Review Board Statement
Informed Consent Statement
Data Availability Statement
Acknowledgments
Conflicts of Interest
Abbreviations
| AST | Antimicrobial Susceptibility Testing |
| CRPA | Carbapenem-resistant Pseudomonas aeruginosa |
| ICU | Intensive Care Unit |
| HAIs | Healthcare-Associated Infections |
| MLST | Multilocus Sequence Typing |
| RAPD | Random Amplified Polymorphic DNA |
| ST | Sequence Type |
References
- Raoofi, S.; Pashazadeh Kan, F.; Rafiei, S.; Hosseinipalangi, Z.; Noorani Mejareh, Z.; Khani, S.; Abdollahi, B.; Seyghalani Talab, F.; Sanaei, M.; Zarabi, F.; et al. Global prevalence of nosocomial infection: A systematic review and meta-analysis. PLoS ONE 2023, 18, e0274248. [Google Scholar] [CrossRef]
- Haque, M.; Sartelli, M.; McKimm, J.; Bakar, M.A. Health care-associated infections—An overview. Infect Drug Resist. 2018, 11, 2321–2333. [Google Scholar] [CrossRef] [PubMed]
- Moradali, M.F.; Ghods, S.; Rehm, B.H.A. Pseudomonas aeruginosa Lifestyle: A Paradigm for Adaptation, Survival, and Persistence. Front. Cell. Infect. Microbiol. 2017, 7, 39. [Google Scholar] [CrossRef]
- Gunalan, A.; Sistla, S.; Ramanathan, V.; Sastry, A.S. Early- vs Late-onset Ventilator-associated Pneumonia in Critically Ill Adults: Comparison of Risk Factors, Outcome, and Microbial Profile. Indian J. Crit. Care Med. 2023, 27, 411–415. [Google Scholar] [CrossRef]
- Saravanan, M.; Belete, M.A.; Arockiaraj, J. Carbapenem-resistant Pseudomonas aeruginosa in intensive care units increase mortality as an emerging global threat. Int. J. Surg. 2023, 109, 1034–1036. [Google Scholar] [CrossRef]
- Mozafari, N.; Abbasi Montazeri, E.; Moogahi, S.; Alavi, S.M.A. Healthcare-Associated Infections’ Characteristics Among Burn Patients and Risk Factors of Mortality: A Study Based on Data From a Tertiary Center in Iran. Can. J. Infect. Dis. Med. Microbiol. 2024, 2024, 8707245. [Google Scholar] [CrossRef]
- Abban, M.K.; Ayerakwa, E.A.; Mosi, L.; Isawumi, A. The burden of hospital acquired infections and antimicrobial resistance. Heliyon 2023, 9, e20561. [Google Scholar] [CrossRef]
- Tängdén, T.; Giske, C.G. Global dissemination of extensively drug-resistant carbapenemase-producing Enterobacteriaceae: Clinical perspectives on detection, treatment and infection control. J. Intern. Med. 2015, 277, 501–512. [Google Scholar] [CrossRef]
- World Health Organization. Prioritization of Pathogens to Guide Discovery, Research and Development of New Antibiotics for Drug-Resistant Bacterial Infections, Including Tuberculosis; World Health Organization: Geneva, Switzerland, 2017. [Google Scholar]
- World Health Organization. WHO Bacterial Priority Pathogens List, 2024: Bacterial Pathogens of Public Health Importance to Guide Research, Development and Strategies to Prevent and Control Antimicrobial Resistance; World Health Organization: Geneva, Switzerland, 2024. [Google Scholar]
- Reyes, J.; Komarow, L.; Chen, L.; Ge, L.; Hanson, B.M.; Cober, E.; Herc, E.; Alenazi, T.; Kaye, K.S.; Garcia-Diaz, J.; et al. Global epidemiology and clinical outcomes of carbapenem-resistant Pseudomonas aeruginosa and associated carbapenemases (POP): A prospective cohort study. Lancet Microbe 2023, 4, e159–e170. [Google Scholar] [CrossRef] [PubMed]
- Oliver, A.; Mulet, X.; López-Causapé, C.; Juan, C. The increasing threat of Pseudomonas aeruginosa high-risk clones. Drug Resist. Updates 2015, 21–22, 41–59. [Google Scholar] [CrossRef] [PubMed]
- del Barrio-Tofiño, E.; López-Causapé, C.; Oliver, A. Pseudomonas aeruginosa epidemic high-risk clones and their association with horizontally-acquired β-lactamases: 2020 update. Int. J. Antimicrob. Agents 2020, 56, 106196. [Google Scholar] [CrossRef]
- Zurita, J.; Sevillano, G.; Solís, M.B.; Paz y Miño, A.; Alves, B.R.; Changuan, J.; González, P. Pseudomonas aeruginosa epidemic high-risk clones and their association with multidrug-resistant. J. Glob. Antimicrob. Resist. 2024, 38, 332–338. [Google Scholar] [CrossRef]
- Laxminarayan, R.; Matsoso, P.; Pant, S.; Brower, C.; Røttingen, J.A.; Klugman, K.; Davies, S. Access to effective antimicrobials: A worldwide challenge. Lancet 2016, 387, 168–175. [Google Scholar] [CrossRef] [PubMed]
- Howard, P.; Pulcini, C.; Levy Hara, G.; West, R.M.; Gould, I.M.; Harbarth, S.; Nathwani, D. An international cross-sectional survey of antimicrobial stewardship programmes in hospitals. J. Antimicrob. Chemother. 2015, 70, 1245–1255. [Google Scholar] [CrossRef]
- Martinez-Guerra, B.A.; Gonzalez-Lara, M.F.; de-Leon-Cividanes, N.A.; Tamez-Torres, K.M.; Roman-Montes, C.M.; Rajme-Lopez, S.; Villalobos-Zapata, G.I.; Lopez-Garcia, N.I.; Martínez-Gamboa, A.; Sifuentes-Osornio, J.; et al. Antimicrobial Resistance Patterns and Antibiotic Use during Hospital Conversion in the COVID-19 Pandemic. Antibiotics 2021, 10, 182. [Google Scholar] [CrossRef] [PubMed]
- Rojas-Larios, F.; Martínez-Guerra, B.A.; López-Jácome, L.E.; Bolado-Martínez, E.; Vázquez-Larios Mdel, R.; Velázquez-Acosta Mdel, C.; Romero-Romero, D.; Mireles-Dávalos, C.D.; Quintana-Ponce, S.; Feliciano-Guzmán, J.M.; et al. Active Surveillance of Antimicrobial Resistance and Carbapenemase-Encoding Genes According to Sites of Care and Age Groups in Mexico: Results from the INVIFAR Network. Pathogens 2023, 12, 1144. [Google Scholar] [CrossRef] [PubMed]
- González-Olvera, E.M.; Pérez-Morales, R.; González Zamora, A.; Castro-Escarpulli, G.; Palma-Martínez, I.; Alba-Romero, J.J. Antibiotic resistance, virulence factors and genotyping of Pseudomonas aeruginosa in public hospitals of northeastern Mexico. J. Infect. Dev. Ctries. 2019, 13, 374–383. [Google Scholar] [CrossRef]
- Gerges, J.R.; Barada, S.; Hussein, H.; Sleiman, A.; Jabbour, Z.; El Rida, F.; Kurdi, A.; Matar, G.; Araj, G.; Abou Fayad, A.; et al. Molecular Epidemiology of Carbapenem-Resistant P. aeruginosa and Enterobacterales Isolates from Clinical Infections and Their Susceptibility to Ceftazidime–Avibactam. Microorganisms 2025, 13, 2015. [Google Scholar] [CrossRef]
- Zhao, Y.; Chen, D.; Ji, B.; Zhang, X.; Anbo, M.; Jelsbak, L. Whole-genome sequencing reveals high-risk clones of Pseudomonas aeruginosa in Guangdong, China. Front. Microbiol. 2023, 14, 1117017. [Google Scholar] [CrossRef]
- Garnier, M.; Constantin, J.M.; Heming, N.; Camous, L.; Ferré, A.; Razazi, K.; Lapidus, N.; COVID-ICU Investigators. Epidemiology, risk factors and prognosis of ventilator-associated pneumonia during severe COVID-19: Multicenter observational study across 149 European Intensive Care Units. Anaesth. Crit. Care Pain Med. 2023, 42, 101184. [Google Scholar] [CrossRef] [PubMed]
- Li, Y.; Roberts, J.A.; Walker, M.M.; Aslan, A.T.; Harris, P.N.A.; Sime, F.B. The global epidemiology of ventilator-associated pneumonia caused by multi-drug resistant Pseudomonas aeruginosa: A systematic review and meta-analysis. Int. J. Infect. Dis. 2024, 139, 78–85. [Google Scholar] [CrossRef]
- Deshwal, P.R.; Aggarwal, M.; Reddy, N.S.; Fathima, R.; Tiwari, P. Association of β-lactam antimicrobial’s exposure with carbapenem-resistant Pseudomonas aeruginosa infection: A cumulative meta-analysis. Glob. Health J. 2023, 7, 137–146. [Google Scholar] [CrossRef]
- Garza-González, E.; Bocanegra-Ibarias, P.; Bobadilla-Del-Valle, M.; Alfredo Ponce-De-León-Garduño, L.; Esteban-Kenel, V.; Silva-Sánchez, J.; Garza-Ramos, U.; Barrios-Camacho, H.; López-Jácome, L.E.; Colin-Castro, C.A.; et al. Drug resistance phenotypes and genotypes in Mexico in representative gram-negative species: Results from the infivar network. PLoS ONE 2021, 16, e0248614. [Google Scholar] [CrossRef] [PubMed]
- López-García, A.; Rocha-Gracia, R.D.C.; Bello-López, E.; Juárez-Zelocualtecalt, C.; Sáenz, Y.; Castañeda-Lucio, M.; López-Pliego, L.; González-Vázquez, M.C.; Torres, C.; Ayala-Nuñez, T.; et al. Characterization of antimicrobial resistance mechanisms in carbapenem-resistant pseudomonas aeruginosa carrying IMP variants recovered from a Mexican hospital. Infect. Drug Resist. 2018, 11, 1523–1536. [Google Scholar] [CrossRef]
- Khan, A.; Tran, T.T.; Rios, R.; Hanson, B.; Shropshire, W.C.; Sun, Z.; Diaz, L.; Dinh, A.Q.; Wanger, A.; Ostrosky-Zeichner, L.; et al. Extensively Drug-Resistant Pseudomonas aeruginosa ST309 Harboring Tandem Guiana Extended Spectrum β-Lactamase Enzymes: A Newly Emerging Threat in the United States. In Open Forum Infectious Diseases; Oxford University Press: Cary, NC, USA, 2019; Volume 6. [Google Scholar] [CrossRef]
- Morales-Espinosa, R.; Delgado, G.; Espinosa, L.F.; Isselo, D.; Méndez, J.L.; Rodriguez, C.; Miranda, G.; Cravioto, A. Fingerprint Analysis and Identification of Strains ST309 as a Potential High Risk Clone in a Pseudomonas aeruginosa Population Isolated from Children with Bacteremia in Mexico City. Front. Microbiol. 2017, 8, 313. [Google Scholar] [CrossRef] [PubMed]
- Büchler, A.C.; Shahab, S.N.; Severin, J.A.; Vos, M.C.; Voor in ’t holt, A.F. Outbreak investigations after identifying carbapenem-resistant Pseudomonas aeruginosa: A systematic review. Antimicrob. Resist. Infect. Control 2023, 12, 28. [Google Scholar] [CrossRef]
- Gholipour, S.; Nikaeen, M.; Mehdipour, M.; Mohammadi, F.; Rabbani, D. Occurrence of chlorine-resistant Pseudomonas aeruginosa in hospital water systems: Threat of waterborne infections for patients. Antimicrob. Resist. Infect. Control 2024, 13, 111. [Google Scholar] [CrossRef] [PubMed]
- Reyle, R.; Schwab, F.; Saydan, S.; Behnke, M.; Leistner, R.; Gastmeier, P.; Geffers, C.; Kramer, T.S. Risk factors for detection of Pseudomonas aeruginosa in clinical samples upon hospital admission. Antimicrob. Resist. Infect. Control 2025, 14, 17. [Google Scholar] [CrossRef]
- Tamma, P.D.; Aitken, S.L.; Bonomo, R.A.; Mathers, A.J.; van Duin, D.; Clancy, C.J. Infectious Diseases Society of America Guidance on the Treatment of Extended-Spectrum β-lactamase Producing Enterobacterales (ESBL-E), Carbapenem-Resistant Enterobacterales (CRE), and Pseudomonas aeruginosa with Difficult-to-Treat Resistance (DTR-P. aeruginosa). Clin. Infect. Dis. 2021, 72, e169–e183. [Google Scholar]
- Mackay, B.; Parcell, B.J.; Shirran, S.L.; Coote, P.J. Carbapenem-Only Combination Therapy against Multi-Drug Resistant Pseudomonas aeruginosa: Assessment of In Vitro and In Vivo Efficacy and Mode of Action. Antibiotics 2022, 11, 1467. [Google Scholar] [CrossRef]
- Clinical and Laboratory Standards Institute (CLSI). Performance Standards for Antimicrobial Susceptibility Testing. In CLSI Document M100, 35th ed.; Clinical and Laboratory Standards Institute (CLSI): Malvern, PA, USA, 2025. [Google Scholar]
- Clinical and Laboratory Standards Institute (CLSI). Processes for the Collection of Urine Specimens. In CLSI PRE05, 1st ed.; Clinical and Laboratory Standards Institute (CLSI): Malvern, PA, USA, 2024. [Google Scholar]
- Telgen, M.C.; Brusse-Keizer, M.G.J.; van der Valk, P.D.L.P.M.; van der Palen, J.; Kerstjens, H.A.M.; Hendrix, M.G.R. Impact on clinical decision making of quality control standards applied to sputum analysis in COPD. Respir. Med. 2011, 105, 371–376. [Google Scholar] [CrossRef]
- Saukkoriipi, A.; Palmu, A.A.; Jokinen, J. Culture of all sputum samples irrespective of quality adds value to the diagnosis of pneumococcal community-acquired pneumonia in the elderly. Eur. J. Clin. Microbiol. Infect. Dis. 2019, 38, 1249–1254. [Google Scholar] [CrossRef] [PubMed]
- CLSI. Performance Standards for Antimicrobial Susceptibility Testing, 28th ed.; Vol. CLSI Supplement M100; Clinical and Laboratory Standards Institute: Wayne, PA, USA, 2018. [Google Scholar]
- Spilker, T.; Coenye, T.; Vandamme, P.; Lipuma, J.J. PCR-Based Assay for Differentiation of Pseudomonas aeruginosa from Other Pseudomonas Species Recovered from Cystic Fibrosis Patients. J. Clin. Microbiol. 2004, 42, 2074–2079. [Google Scholar] [CrossRef] [PubMed]
- Poirel, L.; Walsh, T.R.; Cuvillier, V.; Nordmann, P. Multiplex PCR for detection of acquired carbapenemase genes. Diagn. Microbiol. Infect. Dis. 2011, 70, 119–123. [Google Scholar] [CrossRef] [PubMed]
- Mahenthiralingam, E.; Campbell, M.E.; Foster, J.; Lam, J.S.; Speert, D.P. Random amplified polymorphic DNA typing of Pseudomonas aeruginosa isolates recovered from patients with cystic fibrosis. J. Clin. Microbiol. 1996, 34, 1129–1135. [Google Scholar] [CrossRef]
- Hassuna, N.A.; Darwish, M.K.; Sayed, M.; Ibrahem, R.A. Molecular epidemiology and mechanisms of high-level resistance to meropenem and imipenem in pseudomonas aeruginosa. Infect. Drug Resist. 2020, 13, 285–293. [Google Scholar] [CrossRef]
- Letunic, I.; Bork, P. Interactive Tree of Life (iTOL) v6: Recent updates to the phylogenetic tree display and annotation tool. Nucleic Acids Res. 2024, 52, W78–W82. [Google Scholar] [CrossRef]
- Curran, B.; Jonas, D.; Grundmann, H.; Pitt, T.; Dowson, C.G. Development of a Multilocus Sequence Typing Scheme for the Opportunistic Pathogen Pseudomonas aeruginosa. J. Clin. Microbiol. 2004, 42, 5644–5649. [Google Scholar] [CrossRef]





| Characteristic | Patients n = 35 | (%) |
|---|---|---|
| Age Groups (years) | ||
| Early Childhood (0–5) | 1 | (2.9) |
| Childhood (6–11) | 1 | (2.9) |
| Adolescence (12–17) | 3 | (8.6) |
| Young Adult (18–35) | 10 | (28.6) |
| Adult (36–64) | 17 | (48.6) |
| Elderly (>64) | 3 | (8.6) |
| Sex | ||
| Male | 24 | (68.6) |
| Female | 11 | (31.4) |
| Mortality | ||
| Associated | 4 | (11.4) |
| Not Associated | 1 | (2.8) |
| Prior Antimicrobial Therapies | ||
| With β-lactams | 14 | (40.0) |
| With non- β-lactam antibiotics | 6 | (17.1) |
| Characteristic | CRPA n = 40 | (%) |
|---|---|---|
| Type of culture | ||
| Tracheal aspirate | 13 | (32.5) |
| Biopsy | 4 | (10.0) |
| Catheter | 3 | (7.5) |
| Blood culture | 3 | (7.5) |
| Serous fluids | 2 | (5.0) |
| Secretion | 2 | (5.0) |
| Surgical site | 3 | (7.5) |
| Urine culture | 10 | (25.0) |
| Hospital Service | ||
| Surgery | 12 | (42.5) |
| Gynecology | 1 | (2.5) |
| Internal Medicine | 9 | (22.5) |
| Burn Unit | 2 | (5.0) |
| Intensive Care Unit | 9 | (22.5) |
| Neonatal Intensive Care Unit | 1 | (2.5) |
| Pediatric | 1 | (2.5) |
| Use of medical devices * | 25 | (62.5) |
| Central venous catheter | 5 | (12.5) |
| Urinary catheter | 7 | (17.5) |
| Mechanical ventilation | 12 | (30.0) |
| Tracheal tube | 1 | (2.5) |
| Strain | MIC (µg/mL) | |||||||
|---|---|---|---|---|---|---|---|---|
| AMK | GEN | FEP | TZP | ATM | CIP | MEM | TIC | |
| A02 | ≤2 | ≤1 | 16 | ≥128 | ≥64 | ≥4 | ≥16 | 4 |
| A03 | ≤2 | ≤1 | 16 | ND | 32 | ≤0.25 | 8 | ND |
| A05 | ≤2 | ≤1 | ≤1 | 8 | 4 | ≤0.25 | 8 | ND |
| A12 | ≥64 | ≥16 | 16 | ND | 4 | ≥4 | ≥16 | ND |
| A22 | 16 | ≥16 | ≥64 | 32 | 4 | 2 | ≥16 | ND |
| A23 | ≥64 | ≥16 | 16 | ND | 4 | ≥4 | ≥16 | ND |
| A35 | 8 | ≥16 | 32 | ≥128 | 32 | ≥4 | ≥16 | ND |
| A43 | 4 | ≤1 | 4 | ND | 32 | 0.5 | ≥16 | ND |
| A44 | 16 | 4 | 8 | 32 | 16 | ≥4 | ≥16 | ND |
| A57 | 16 | 4 | 4 | 16 | 16 | ≥4 | ≥16 | ≥8 |
| A64 | ≥64 | ≥16 | 16 | ≥128 | ≥64 | ≥4 | ≥16 | ND |
| A68 | ≤2 | ≤1 | ≥64 | ≥128 | ≥64 | 0.5 | ≥16 | ND |
| A73 | ≥64 | ≥16 | 16 | ≥128 | ≥64 | ≥4 | ≥16 | ND |
| A82 | ≤2 | ≤1 | 4 | 64 | 16 | 0.5 | ≥16 | ND |
| A99 | ≥64 | ≥16 | ≥64 | 32 | ≥64 | ≥4 | ≥16 | ND |
| B13 | ≤2 | ≤1 | 8 | ND | 32 | 2 | ≥16 | ND |
| B21 | 8 | ≤1 | 4 | ≥128 | 16 | 1 | ≥16 | 2 |
| B43 | ≥64 | ≤1 | ≥64 | ND | 2 | 1 | ≥16 | ND |
| B56 | ≥64 | ≥16 | ≥64 | ND | ≥64 | ≥4 | ≥16 | ≥8 |
| B57 | ≤2 | 2 | ≥64 | ND | ≥64 | 0.5 | ≥16 | ND |
| B60 | ≥64 | ≥16 | 32 | ND | 32 | ≥4 | ≥16 | ND |
| B67 | ≤2 | 2 | 2 | 8 | 8 | ≤0.25 | 8 | ND |
| B85 | ≥64 | ≥16 | 32 | ≥128 | ≥64 | ≥4 | ≥16 | ND |
| B90 | ≥64 | 8 | 8 | ND | 32 | ≥4 | ≥16 | ≥8 |
| B92 | ≥64 | 8 | 16 | ≥128 | ≥64 | ≥4 | ≥16 | ND |
| B94 | ≥64 | 8 | ≥64 | 8 | 2 | 1 | 8 | ND |
| B99 | ≥64 | 8 | 16 | 64 | 32 | ≥4 | ≥16 | ND |
| C03 | ≥64 | ≥16 | ≥64 | ND | ≥64 | ≥4 | ≥16 | ND |
| C08 | ≥64 | ≥16 | ≥64 | ND | ≥64 | ≥4 | ≥16 | ≥8 |
| C20 | 32 | 8 | ≥64 | ND | 16 | 2 | ≥16 | ≥8 |
| C22 | 16 | 8 | 16 | ND | 16 | ≤0.25 | ≥16 | ≥8 |
| C26 | ≥64 | ≥16 | ≥64 | ≥128 | ≥64 | ≥4 | ≥16 | ND |
| C34 | 16 | 8 | 8 | ≥128 | 16 | ≤0.25 | ≥16 | ND |
| C40 | ≥64 | 8 | ≥64 | ≥128 | 16 | ≥4 | ≥16 | ND |
| C52 | ≥64 | ≥16 | 16 | ≥128 | 32 | ≥4 | ≥16 | ND |
| C53 | ≥64 | ≥16 | 8 | 64 | 16 | ≥4 | ≥16 | ND |
| C58 | ≥64 | ≥16 | 16 | ND | ND | ≥4 | ≥16 | ND |
| C62 | ≥64 | ≥16 | ≥64 | ND | ND | ≥4 | ≥16 | ND |
| C69 | ≥64 | ≥16 | 16 | ND | ND | ≥4 | ≥16 | ND |
| C76 | ≥64 | ≥16 | 16 | ND | ND | ≥4 | ≥16 | ND |
Disclaimer/Publisher’s Note: The statements, opinions and data contained in all publications are solely those of the individual author(s) and contributor(s) and not of MDPI and/or the editor(s). MDPI and/or the editor(s) disclaim responsibility for any injury to people or property resulting from any ideas, methods, instructions or products referred to in the content. |
© 2026 by the authors. Licensee MDPI, Basel, Switzerland. This article is an open access article distributed under the terms and conditions of the Creative Commons Attribution (CC BY) license.
Share and Cite
Loredo-Puerta, R.E.; Niño-Moreno, P.; Atriano-Briano, R.A.; Martínez-Alaniz, K.L.; Baltazar-Benitez, N.; Pérez-González, L.F.; Acebo-Martínez, M.L.; Rousset-Román, A.B.; Turrubiartes-Martínez, E.A. Molecular Epidemiology of Carbapenem-Resistant Pseudomonas aeruginosa Before the COVID-19 Pandemic: Resistance Profiles and Clonality in a Tertiary-Care Hospital. Antibiotics 2026, 15, 102. https://doi.org/10.3390/antibiotics15010102
Loredo-Puerta RE, Niño-Moreno P, Atriano-Briano RA, Martínez-Alaniz KL, Baltazar-Benitez N, Pérez-González LF, Acebo-Martínez ML, Rousset-Román AB, Turrubiartes-Martínez EA. Molecular Epidemiology of Carbapenem-Resistant Pseudomonas aeruginosa Before the COVID-19 Pandemic: Resistance Profiles and Clonality in a Tertiary-Care Hospital. Antibiotics. 2026; 15(1):102. https://doi.org/10.3390/antibiotics15010102
Chicago/Turabian StyleLoredo-Puerta, Raúl Eduardo, Perla Niño-Moreno, Raúl Alejandro Atriano-Briano, Katy Lizbeth Martínez-Alaniz, Nubia Baltazar-Benitez, Luis Fernando Pérez-González, Mónica Lucía Acebo-Martínez, Adriana Berenice Rousset-Román, and Edgar A. Turrubiartes-Martínez. 2026. "Molecular Epidemiology of Carbapenem-Resistant Pseudomonas aeruginosa Before the COVID-19 Pandemic: Resistance Profiles and Clonality in a Tertiary-Care Hospital" Antibiotics 15, no. 1: 102. https://doi.org/10.3390/antibiotics15010102
APA StyleLoredo-Puerta, R. E., Niño-Moreno, P., Atriano-Briano, R. A., Martínez-Alaniz, K. L., Baltazar-Benitez, N., Pérez-González, L. F., Acebo-Martínez, M. L., Rousset-Román, A. B., & Turrubiartes-Martínez, E. A. (2026). Molecular Epidemiology of Carbapenem-Resistant Pseudomonas aeruginosa Before the COVID-19 Pandemic: Resistance Profiles and Clonality in a Tertiary-Care Hospital. Antibiotics, 15(1), 102. https://doi.org/10.3390/antibiotics15010102

