The Impact of the COVID-19 Pandemic on Antimicrobial Resistance Trends in a Tertiary Care Teaching Hospital: A Ten-Year Surveillance Study
Abstract
1. Introduction
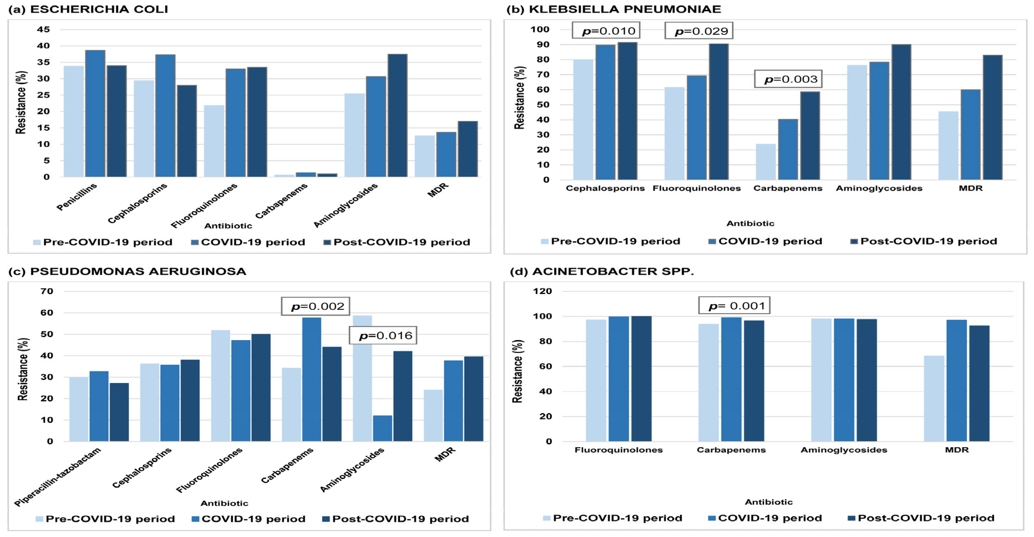
2. Results
3. Discussion
4. Materials and Methods
4.1. Study Design and Setting
4.2. Data Collection
- E. coli: penicillins (ampicillin, amoxicillin, amoxicillin-clavulanic acid, piperacillin-tazobactam), third-generation cephalosporins (cefotaxime, ceftriaxone), fluoroquinolones (ciprofloxacin, levofloxacin, ofloxacin), carbapenems (meropenem, imipenem), and aminoglycosides (gentamicin, tobramycin);
- K. pneumoniae: third-generation cephalosporins (cefotaxime, ceftriaxone), fluoroquinolones (ciprofloxacin, levofloxacin, ofloxacin), carbapenems (meropenem, imipenem), and aminoglycosides (gentamicin, tobramycin);
- P. aeruginosa: third-generation cephalosporin (ceftazidime), fluoroquinolones (ciprofloxacin, levofloxacin), carbapenems (meropenem, imipenem), aminoglycosides (gentamicin, amikacin, tobramycin), and piperacillin-tazobactam;
- Acinetobacter spp.: fluoroquinolones (ciprofloxacin, levofloxacin, ofloxacin), carbapenems (meropenem, imipenem), and aminoglycosides (gentamicin, tobramycin);
- S. aureus: methicillin (MRSA);
- S. pneumoniae: resistance to penicillin, fluoroquinolones (levofloxacin, moxifloxacin), and macrolides (erythromycin, clarithromycin, azithromycin);
- E. faecalis and E. faecium: resistance to vancomycin.
4.3. Antibiotic Utilization
4.4. Statistical Analyses
5. Conclusions
Author Contributions
Funding
Institutional Review Board Statement
Informed Consent Statement
Data Availability Statement
Conflicts of Interest
References
- Ul Mustafa, Z.; Salman, M.; Aldeyab, M.; Kow, C.S.; Hasan, S.S. Antimicrobial consumption among hospitalized patients with COVID-19 in Pakistan. SN Compr. Clin. Med. 2021, 3, 1691–1695. [Google Scholar] [CrossRef]
- Li, T.; Wang, Z.; Guo, J.; de la Fuente-Nunez, C.; Wang, J.; Han, B.; Tao, H.; Liu, J.; Wang, X. Bacterial resistance to antibacterial agents: Mechanisms, control strategies, and implications for global health. Sci. Total Environ. 2023, 860, 160461. [Google Scholar] [CrossRef]
- World Health Organization. Global Antimicrobial Resistance and Use Surveillance System (GLASS) Report 2022; World Health Organization: Geneva, Switzerland, 2022; Available online: https://www.who.int/publications/i/item/9789240062702 (accessed on 15 March 2025).
- World Health Organization. Regional Office for Europe. Central Asian and European Surveillance of Antimicrobial Resistance: CAESAR manual: Version 3.0, 2019. Available online: https://iris.who.int/handle/10665/346572 (accessed on 15 March 2025).
- Aslam, B.; Wang, W.; Arshad, M.I.; Khurshid, M.; Muzammil, S.; Rasool, M.H.; Nisar, M.A.; Alvi, R.F.; Aslam, M.A.; Qamar, M.U.; et al. Antibiotic resistance: A rundown of a global crisis. Infect. Drug Resist. 2018, 11, 1645–1658. [Google Scholar] [CrossRef] [PubMed]
- Langford, B.J.; So, M.; Raybardhan, S.; Leung, V.; Soucy, J.R.; Westwood, D.; Daneman, N.; MacFadden, D.R. Antibiotic prescribing in patients with COVID-19: Rapid review and meta-analysis. Clin. Microbiol. Infect. 2021, 27, 520–531. [Google Scholar] [CrossRef]
- Vijay, S.; Bansal, N.; Rao, B.K.; Veeraraghavan, B.; Rodrigues, C.; Wattal, C.; Goyal, J.P.; Tadepalli, K.; Mathur, P.; Venkateswaran, R.; et al. Secondary Infections in Hospitalized COVID-19 Patients: Indian Experience. Infect. Drug Resist. 2021, 14, 1893–1903. [Google Scholar] [CrossRef] [PubMed]
- WHO News, WHO Reports Widespread Overuse of Antibiotics in Patients Hospitalized with COVID-19, 2025. Available online: https://www.who.int/news/item/26-04-2024-who-reports-widespread-overuse-of-antibiotics-in-patients--hospitalized-with-covid-19 (accessed on 17 March 2025).
- Booton, R.D.; Meeyai, A.; Alhusein, N.; Buller, H.; Feil, E.; Lambert, H.; Mongkolsuk, S.; Pitchforth, E.; Reyher, K.K.; Sakcamduang, W.; et al. One Health drivers of antibacterial resistance: Quantifying the relative impacts of human, animal and environmental use and transmission. One Health 2021, 12, 100220. [Google Scholar] [CrossRef] [PubMed]
- Langford, B.J.; So, M.; Simeonova, M.; Leung, V.; Lo, J.; Kan, T.; Raybardhan, S.; Sapin, M.E.; Mponponsuo, K.; Farrell, A.; et al. Antimicrobial resistance in patients with COVID-19: A systematic review and meta-analysis. Lancet Microbe 2023, 4, e179–e191. [Google Scholar] [CrossRef]
- Antimicrobial Resistance Collaborators. Global burden of bacterial antimicrobial resistance in 2019: A systematic analysis. Lancet 2022, 399, 629–655. [Google Scholar] [CrossRef]
- Akrami, S.; Montazeri, E.A.; Saki, M.; Neisi, N.; Khedri, R.; Dini, S.A.; Motlagh, A.A.; Ahmadi, F. Bacterial profiles and their antibiotic resistance background in superinfections caused by multidrug-resistant bacteria among COVID-19 ICU patients from southwest Iran. J. Med. Virol. 2023, 95, e28403. [Google Scholar] [CrossRef]
- Conway Morris, A.; Kohler, K.; De Corte, T.; Ercole, A.; De Grooth, H.J.; Elbers, P.W.G.; Povoa, P.; Morais, R.; Koulenti, D.; Jog, S.; et al. COVID investigators Co-infection and ICU-acquired infection in COIVD-19 ICU patients: A secondary analysis of the UNITE-COVID data set. Crit. Care 2022, 26, 236. [Google Scholar] [CrossRef]
- François, B.; Laterre, P.F.; Luyt, C.E.; Chastre, J. The challenge of ventilator-associated pneumonia diagnosis in COVID-19 patients. Crit. Care 2020, 24, 289. [Google Scholar] [CrossRef]
- Vincent, J.L.; Sakr, Y.; Singer, M.; Martin-Loeches, I.; Machado, F.R.; Marshall, J.C.; Finfer, S.; Pelosi, P.; Brazzi, L.; Aditianingsih, D.; et al. Prevalence and Outcomes of Infection among Patients in Intensive Care Units in 2017. JAMA 2020, 323, 1478–1487. [Google Scholar] [CrossRef]
- Walia, K.; Mendelson, M.; Kang, G.; Venkatasubramanian, R.; Sinha, R.; Vijay, S.; Veeraraghavan, B.; Basnyat, B.; Rodrigues, C.; Bansal, N.; et al. How can lessons from the COVID-19 pandemic enhance antimicrobial resistance surveillance and stewardship? Lancet Infect. Dis. 2023, 23, e301–e309. [Google Scholar] [CrossRef]
- Gulumbe, B.H.; Sahal, M.R.; Abdulrahim, A.; Faggo, A.A.; Yusuf, Z.M.; Sambo, K.H.; Usman, N.I.; Bagwai, M.A.; Muhammad, W.N.; Adamu, A.; et al. Antibiotic resistance and the COVID-19 pandemic: A dual crisis with complex challenges in LMICs. Health Sci. Rep. 2023, 6, e1566. [Google Scholar] [CrossRef]
- Ayobami, O.; Brinkwirth, S.; Eckmanns, T.; Markwart, R. Antibiotic resistance in hospital-acquired ESKAPE-E infections in low- and lower-middle-income countries: A systematic review and meta-analysis. Emerg. Microbes Infect. 2022, 11, 443–451. [Google Scholar] [CrossRef] [PubMed]
- O’Neill, J. The Review on Antimicrobial Resistance. Tackling Drug-Resistant Infections Globally. Final Report and Recommendations, 2016. Available online: https://amr-review.org/sites/default/files/160518_Final%20paper_with%20cover.pdf (accessed on 17 March 2025).
- European Centre for Disease Prevention and Control (ECDC). Assessing the Health Burden of Infections with Antibiotic-Resistant Bacteria in the EU/EEA, 2016–2020; ECDC: Stockholm, Switzerland, 2022; Available online: https://www.ecdc.europa.eu/en/publications-data/health-burden-infections-antibiotic-resistant-bacteria-2016-2020 (accessed on 17 March 2025).
- WHO Health Topics, Antimicrobial Resistance, 2025. Available online: https://www.who.int/health-topics/antimicrobial-resistance (accessed on 17 March 2025).
- Vallès, J.; Fernández, S.; Cortés, E.; Morón, A.; Fondevilla, E.; Oliva, J.C.; Diaz, E. Comparison of the defined daily dose and days of treatment methods for evaluating the consumption of antibiotics and antifungals in the intensive care unit. Med. Intensiv. (Engl. Ed.) 2020, 44, 294–300. [Google Scholar] [CrossRef] [PubMed]
- Parisini, A.; Boni, S.; Vacca, E.B.; Bobbio, N.; Puente, F.D.; Feasi, M.; Prinapori, R.; Lattuada, M.; Sartini, M.; Cristina, M.L.; et al. Impact of the COVID-19 Pandemic on Epidemiology of Antibiotic Resistance in an Intensive Care Unit (ICU): The Experience of a North-West Italian Center. Antibiotics 2023, 12, 1278. [Google Scholar] [CrossRef]
- Liu, Y.; Song, H.; Wu, Y.; Liu, L.; Li, N.; Zhang, M.; Li, Y.; Meng, X. Influence of COVID-19 pandemic on the distribution and drug resistance of pathogens in patients with bloodstream infection. Front. Public Health 2025, 13, 1607801. [Google Scholar] [CrossRef] [PubMed]
- European Centre for Disease Prevention and Control and World Health Organization. Antimicrobial Resistance Surveillance in Europe 2023–2021 Data; European Centre for Disease Prevention and Control and World Health Organization: Stockholm, Switzerland, 2023; Available online: https://www.ecdc.europa.eu/en/publications-data/antimicrobial-resistance-surveillance-europe-2023-2021-data (accessed on 2 September 2025).
- European Centre for Disease Prevention and Control and WHO Regional Office for Europe. Surveillance of Antimicrobial Resistance in Europe, 2023 Data: Executive Summary; European Centre for Disease Prevention and Control: Stockholm, Switzerland, 2024; Available online: https://www.ecdc.europa.eu/en/publications-data/surveillance-antimicrobial-resistance-europe-2023-data-executive-summary (accessed on 17 March 2025).
- Kachalov, V.N.; Nguyen, H.; Balakrishna, S.; Salazar-Vizcaya, L.; Sommerstein, R.; Kuster, S.P.; Hauser, A.; Abel Zur Wiesch, P.; Klein, E.; Kouyos, R.D. Identifying the drivers of multidrug-resistant Klebsiella pneumoniae at a European level. PLoS Comput. Biol. 2021, 17, e1008446. [Google Scholar] [CrossRef]
- Cireșă, A.; Tălăpan, D.; Vasile, C.C.; Popescu, C.; Popescu, G.A. Evolution of Antimicrobial Resistance in Klebsiella pneumoniae over 3 Years (2019–2021) in a Tertiary Hospital in Bucharest, Romania. Antibiotics 2024, 13, 431. [Google Scholar] [CrossRef]
- Yakobi, S.H.; Nwodo, U.U. Prevalence of Antimicrobial Resistance in Klebsiella pneumoniae in the South African Populations: A Systematic Review and Meta-Analysis of Surveillance Studies. Microbiologyopen 2025, 14, e70037. [Google Scholar] [CrossRef]
- Curcio, D.; Latin American Antibiotic Use in Intensive Care Unit Group. Antibiotic prescriptions in critically-ill patients: A latin american experience. Ann. Med. Health Sci. Res. 2013, 3, 220–228. [Google Scholar] [CrossRef]
- Tabah, A.; Lipman, J.; Barbier, F.; Buetti, N.; Timsit, J.F.; on Behalf of the Escmid Study Group For Infections In Critically Ill Patients-Esgcip. Use of Antimicrobials for Bloodstream Infections in the Intensive Care Unit, a Clinically Oriented Review. Antibiotics 2022, 11, 362. [Google Scholar] [CrossRef]
- Sokolović, D.; Drakul, D.; Vujić-Aleksić, V.; Joksimović, B.; Marić, S.; Nežić, L. Antibiotic consumption and antimicrobial resistance in the SARS-CoV-2 pandemic: A single-center experience. Front. Pharmacol. 2023, 14, 1067973. [Google Scholar] [CrossRef]
- Novović, K.; Kuzmanović Nedeljković, S.; Poledica, M.; Nikolić, G.; Grujić, B.; Jovčić, B.; Kojić, M.; Filipić, B. Virulence potential of multidrug-resistant Acinetobacter baumannii isolates from COVID-19 patients on mechanical ventilation: The first report from Serbia. Front. Microbiol. 2023, 14, 1094184. [Google Scholar] [CrossRef] [PubMed]
- Brkic, S.; Cirkovic, I. Carbapenem-Resistant Enterobacterales in the Western Balkans: Addressing Gaps in European AMR Surveillance Map. Antibiotics 2024, 13, 895. [Google Scholar] [CrossRef] [PubMed]
- Serretiello, E.; Manente, R.; Dell’Annunziata, F.; Folliero, V.; Iervolino, D.; Casolaro, V.; Perrella, A.; Santoro, E.; Galdiero, M.; Capunzo, M.; et al. Antimicrobial Resistance in Pseudomonas aeruginosa before and during the COVID-19 Pandemic. Microorganisms 2023, 11, 1918. [Google Scholar] [CrossRef]
- Butscheid, Y.; Frey, P.M.; Pfister, M.; Pagani, L.; Kouyos, R.D.; Scheier, T.C.; Staiger, W.I.; Mancini, S.; Brugger, S.D. Decline of antimicrobial resistance in Pseudomonas aeruginosa bacteraemia following the COVID-19 pandemic: A longitudinal observational study. J. Antimicrob. Chemother. 2025, 80, 1837–1848. [Google Scholar] [CrossRef] [PubMed]
- Momenah, A.M.; Bakri, R.A.; Jalal, N.A.; Ashgar, S.S.; Felemban, R.F.; Bantun, F.; Hariri, S.H.; Barhameen, A.A.; Faidah, H.; Al-Said, H.M. Antimicrobial Resistance Pattern of Pseudomonas aeruginosa: An 11-Year Experience in a Tertiary Care Hospital in Makkah, Saudi Arabia. Infect. Drug Resist. 2023, 16, 4113–4122. [Google Scholar] [CrossRef]
- Domon, H.; Hirayama, S.; Isono, T.; Sasagawa, K.; Takizawa, F.; Maekawa, T.; Yanagihara, K.; Terao, Y. Macrolides Decrease the Proinflammatory Activity of Macrolide-Resistant Streptococcus pneumoniae. Microbiol. Spectr. 2023, 11, e0014823. [Google Scholar] [CrossRef]
- Viteri-Dávila, C.; Morales-Jadán, D.; Creel, A.; Jop Vidal, A.G.; Boldo, X.M.; Rivera-Olivero, I.A.; Bautista-Muñoz, C.; Alibayov, B.; Garcia-Bereguiain, M.Á.; Vidal, J.E. The Crisis of Macrolide Resistance in Pneumococci in Latin America. Am. J. Trop. Med. Hyg. 2024, 111, 756–764. [Google Scholar] [CrossRef]
- Schroeder, M.R.; Stephens, D.S. Macrolide Resistance in Streptococcus pneumoniae. Front. Cell. Infect. Microbiol. 2016, 6, 98. [Google Scholar] [CrossRef]
- Kastrin, T.; Mioč, V.; Mahnič, A.; Čižman, M.; Slovenian Meningitidis Study Group. Impact of the COVID-19 Pandemic on Community Consumption of Antibiotics for Systemic Use and Resistance of Invasive Streptococcus pneumoniae in Slovenia. Antibiotics 2023, 12, 945. [Google Scholar] [CrossRef]
- Miyamori, D.; Yoshida, S.; Ikeda, K.; Ito, M. Evaluating antibiotic susceptibility trends in S. pneumoniae and H. influenzae isolates during the COVID-19 pandemic: An interrupted time series analysis of a nationwide antimicrobial resistance database. J. Infect. Public. Health 2025, 18, 102707. [Google Scholar] [CrossRef]
- Guan, L.; Beig, M.; Wang, L.; Navidifar, T.; Moradi, S.; Motallebi Tabaei, F.; Teymouri, Z.; Abedi Moghadam, M.; Sedighi, M. Global status of antimicrobial resistance in clinical Enterococcus faecalis isolates: Systematic review and meta-analysis. Ann. Clin. Microbiol. Antimicrob. 2024, 23, 80. [Google Scholar] [CrossRef]
- Huang, C.; Moradi, S.; Sholeh, M.; Tabaei, F.M.; Lai, T.; Tan, B.; Meng, J.; Azizian, K. Global trends in antimicrobial resistance of Enterococcus faecium: A systematic review and meta-analysis of clinical isolates. Front. Pharmacol. 2025, 16, 1505674. [Google Scholar] [CrossRef]
- Radford-Smith, D.E.; Anthony, D.C. Vancomycin-Resistant E. faecium: Addressing Global and Clinical Challenges. Antibiotics 2025, 14, 522. [Google Scholar] [CrossRef]
- Brinkwirth, S.; Martins, S.; Ayobami, O.; Feig, M.; Noll, I.; Zacher, B.; Eckmanns, T.; Werner, G.; Willrich, N.; Haller, S. Germany’s Burden of Disease of Bloodstream Infections Due to Vancomycin-Resistant Enterococcus faecium between 2015–2020. Microorganisms 2022, 10, 2273. [Google Scholar] [CrossRef] [PubMed]
- Boccabella, L.; Palma, E.G.; Abenavoli, L.; Scarlata, G.G.M.; Boni, M.; Ianiro, G.; Santori, P.; Tack, J.F.; Scarpellini, E. Post-Coronavirus Disease 2019 Pandemic Antimicrobial Resistance. Antibiotics 2024, 13, 233. [Google Scholar] [CrossRef] [PubMed]
- World Health Organization. WHO Bacterial Priority Pathogens List, 2024: Bacterial Pathogens of Public Health Importance to Guide Research, Development and Strategies to Prevent and Control Antimicrobial Resistance; World Health Organization: Geneva, Switzerland, 2024; Available online: https://www.who.int/publications/i/item/9789240093461 (accessed on 25 September 2025).
- Mrvič, T.; Stevanoska, S.; Beović, B.; Logar, M.; Gregorčič, S.; Žnidaršič, B.; Seme, K.; Velimirović, I.; Švent Kučina, N.; Maver Vodičar, P.; et al. The Impact of COVID-19 on Multidrug-Resistant Bacteria at a Slovenian Tertiary Medical Center. Antibiotics 2024, 13, 214. [Google Scholar] [CrossRef] [PubMed]
- Gamaleldin, P.; Alseqely, M.; Evans, B.A.; Omar, H.; Abouelfetouh, A. Comparison of genotypic features between two groups of antibiotic resistant Klebsiella pneumoniae clinical isolates obtained before and after the COVID-19 pandemic from Egypt. BMC Genom. 2024, 25, 983. [Google Scholar] [CrossRef]
- Salawudeen, A.; Raji, Y.E.; Jibo, G.G.; Desa, M.N.M.; Neoh, H.M.; Masri, S.N.; Di Gregorio, S.; Jamaluddin, T.Z.M.T. Epidemiology of multidrug-resistant Klebsiella pneumoniae infection in clinical setting in South-Eastern Asia: A systematic review and meta-analysis. Antimicrob. Resist. Infect. Control. 2023, 12, 142. [Google Scholar] [CrossRef]
- Antochevis, L.C.; Wilhelm, C.M.; Arns, B.; Sganzerla, D.; Sudbrack, L.O.; Nogueira, T.C.R.L.; Guzman, R.D.; Martins, A.S.; Cappa, D.S.; Dos Santos, Â.C.; et al. World Health Organization priority antimicrobial resistance in Enterobacterales, Acinetobacter baumannii, Pseudomonas aeruginosa, Staphylococcus aureus and Enterococcus faecium healthcare-associated bloodstream infections in Brazil (ASCENSION): A prospective, multicentre, observational study. Lancet Reg. Health Am. 2025, 43, 101004. [Google Scholar]
- Kousovista, R.; Athanasiou, C.; Liaskonis, K.; Ivopoulou, O.; Ismailos, G.; Karalis, V. Correlation between Acinetobacter baumannii Resistance and Hospital Use of Meropenem, Cefepime, and Ciprofloxacin: Time Series Analysis and Dynamic Regression Models. Pathogens 2021, 10, 480. [Google Scholar] [CrossRef]
- Kasbi, Y.; Sellami, F.; Ferjani, A.; Abbassi, A.; Boutiba Ben Boubaker, I. Pharmaco-Epidemiological Study and Correlation Between Antibiotic Resistance and Antibiotic Consumption in a Tunisian Teaching Hospital from 2010 to 2022. Antibiotics 2025, 14, 135. [Google Scholar] [CrossRef] [PubMed]
- van Duin, D.; Doi, Y. The global epidemiology of carbapenemase-producing Enterobacteriaceae. Virulence 2017, 8, 460–469. [Google Scholar] [CrossRef]
- Medic, D.; Bozic Cvijan, B.; Bajcetic, M. Impact of Antibiotic Consumption on Antimicrobial Resistance to Invasive Hospital Pathogens. Antibiotics 2023, 12, 259. [Google Scholar] [CrossRef]
- Lepper, P.M.; Grusa, E.; Reichl, H.; Högel, J.; Trautmann, M. Consumption of imipenem correlates with beta-lactam resistance in Pseudomonas aeruginosa. Antimicrob. Agents Chemother. 2002, 46, 2920–2925. [Google Scholar] [CrossRef] [PubMed]
- Ramatla, T.; Nkhebenyane, J.; Lekota, K.E.; Thekisoe, O.; Monyama, M.; Achilonu, C.C.; Khasapane, G. Global prevalence and antibiotic resistance profiles of carbapenem-resistant Pseudomonas aeruginosa reported from 2014 to 2024: A systematic review and meta-analysis. Front. Microbiol. 2025, 16, 1599070. [Google Scholar] [CrossRef] [PubMed]
- Barišić, V.; Kovačević, T.; Travar, M.; Golić Jelić, A.; Kovačević, P.; Milaković, D.; Škrbić, R. A Retrospective Study of the Impact of the COVID-19 Pandemic on the Utilization and Quality of Antibiotic Use in a Tertiary Care Teaching Hospital in Low-Resource Settings. Antibiotics 2025, 14, 535. [Google Scholar] [CrossRef]
- Sulis, G.; Sayood, S.; Katukoori, S.; Bollam, N.; George, I.; Yaeger, L.H.; Chavez, M.A.; Tetteh, E.; Yarrabelli, S.; Pulcini, C.; et al. Exposure to World Health Organization’s AWaRe antibiotics and isolation of multidrug resistant bacteria: A systematic review and meta-analysis. Clin. Microbiol. Infect. 2022, 28, 1193–1202. [Google Scholar] [CrossRef] [PubMed]
- Tomic, T.; Henman, M.; Tadic, I.; Antic Stankovic, J.; Santric Milicevic, M.; Maksimovic, N.; Odalovic, M. Antimicrobial utilization and resistance in Pseudomonas aeruginosa using segmented regression analysis: A comparative study between Serbia and eight European Countries. Int. J. Clin. Pharm. 2023, 45, 989–998. [Google Scholar] [CrossRef] [PubMed]
- Pérez Jorge, G.; Rodrigues Dos Santos Goes, I.C.; Gontijo, M.T.P. Les misérables: A Parallel Between Antimicrobial Resistance and COVID-19 in Underdeveloped and Developing Countries. Curr. Infect. Dis. Rep. 2022, 24, 175–186. [Google Scholar] [CrossRef]
- EUCAST Clinical Breakpoints. 2025. Available online: https://www.eucast.org/clinical_breakpoints (accessed on 17 March 2025).
- Jain, N.; Jansone, I.; Obidenova, T.; Simanis, R.; Meisters, J.; Straupmane, D.; Reinis, A. Antimicrobial Resistance in Nosocomial Isolates of Gram-Negative Bacteria: Public Health Implications in the Latvian Context. Antibiotics 2021, 10, 791. [Google Scholar] [CrossRef] [PubMed]



| E. coli | K. pneumoniae | P. aeruginosa | Acinetobacter spp. | S. aureus | S. pneumoniae | E. faecalis | E. faecium | Total | |
|---|---|---|---|---|---|---|---|---|---|
| Number of isolates, n (%) | 751 (15.9) | 982 (20.8) | 334 (7.1) | 1258 (26.7) | 711 (15.1) | 122 (2.6) | 291 (6.1) | 269 (5.7) | 4718 (100) |
| Isolate source, n | |||||||||
| Blood | 748 | 971 | 329 | 1215 | 700 | 87 | 280 | 258 | 4588 |
| Cerebrospinal fluid | 3 | 11 | 5 | 43 | 11 | 35 | 11 | 11 | 130 |
| Sex, n | |||||||||
| Male | 279 | 655 | 221 | 816 | 470 | 79 | 194 | 172 | 2886 |
| Female | 470 | 327 | 113 | 441 | 241 | 42 | 97 | 97 | 1828 |
| Unknown | 2 | 0 | 0 | 1 | 0 | 1 | 0 | 0 | 4 |
| Age (years), n | |||||||||
| 0–4 | 80 | 137 | 15 | 91 | 61 | 14 | 21 | 22 | 441 |
| 5–19 | 4 | 12 | 7 | 5 | 10 | 15 | 3 | 3 | 59 |
| 20–64 | 318 | 417 | 161 | 515 | 321 | 55 | 131 | 100 | 2018 |
| ≥65 | 349 | 414 | 150 | 646 | 317 | 38 | 135 | 144 | 2193 |
| Unknown | 0 | 2 | 1 | 1 | 2 | 0 | 1 | 0 | 7 |
| Hospital department, n | |||||||||
| Emergency | 144 | 26 | 9 | 1 | 98 | 12 | 31 | 2 | 323 |
| Hematology or oncology | 34 | 62 | 33 | 25 | 31 | 12 | 10 | 13 | 220 |
| Infectious disease | 274 | 133 | 16 | 21 | 123 | 52 | 43 | 15 | 677 |
| Internal medicine | 120 | 133 | 73 | 46 | 183 | 9 | 98 | 57 | 719 |
| Obstetrics or gynecology | 13 | 6 | 0 | 1 | 6 | 0 | 8 | 0 | 34 |
| Surgery | 10 | 27 | 8 | 22 | 50 | 0 | 13 | 11 | 141 |
| Urology | 28 | 30 | 3 | 1 | 8 | 0 | 14 | 9 | 93 |
| Intensive care unit | 48 | 424 | 174 | 1041 | 139 | 15 | 50 | 136 | 2027 |
| Pediatrics or neonatal | 44 | 42 | 11 | 22 | 39 | 22 | 7 | 9 | 196 |
| Pediatrics or neonatal intensive care unit | 35 | 98 | 7 | 72 | 29 | 0 | 15 | 14 | 270 |
| Other | 1 | 1 | 0 | 1 | 5 | 0 | 1 | 1 | 10 |
| Unknown | 0 | 0 | 0 | 5 | 0 | 0 | 1 | 2 | 8 |
| Number of Isolates/1000 BD, Mean (±SD) | p-Value 1 | |||
|---|---|---|---|---|
| Pre-COVID-19 Period | COVID-19 Period | Post-COVID-19 Period | ||
| E. coli | 0.19 (0.06) | 0.16 (0.03) | 0.26 (0.04) | 0.178 |
| K. pneumoniae | 0.15 (0.05) | 0.31 (0.07) | 0.40 (0.01) | 0.003 |
| P. aeruginosa | 0.06 (0.04) | 0.15 (0.04) | 0.08 (0.01) | 0.017 |
| Acinetobacter spp. | 0.14 (0.08) | 0.77 (0.38) | 0.17 (0.04) | 0.013 |
| S. aureus | 0.15 (0.07) | 0.20 (0.02) | 0.25 (0.01) | 0.138 |
| S. pneumoniae | 0.03 (0.02) | 0.03 (0.01) | 0.04 (0.00) | 0.598 |
| E. faecalis | 0.07 (0.03) | 0.10 (0.03) | 0.06 (0.01) | 0.396 |
| E. faecium | 0.05 (0.03) | 0.12 (0.03) | 0.06 (0.01) | 0.028 |
| ICU | 0.25 (0.13) | 1.08 (0.49) | 0.45 (0.09) | 0.015 |
| Total | 0.82 (0.32) | 1.77 (0.44) | 1.29 (0.03) | 0.016 |
Disclaimer/Publisher’s Note: The statements, opinions and data contained in all publications are solely those of the individual author(s) and contributor(s) and not of MDPI and/or the editor(s). MDPI and/or the editor(s) disclaim responsibility for any injury to people or property resulting from any ideas, methods, instructions or products referred to in the content. |
© 2025 by the authors. Licensee MDPI, Basel, Switzerland. This article is an open access article distributed under the terms and conditions of the Creative Commons Attribution (CC BY) license (https://creativecommons.org/licenses/by/4.0/).
Share and Cite
Barišić, V.; Kovačević, T.; Travar, M.; Golić Jelić, A.; Kovačević, P.; Vučićević, K.; Milaković, D.; Škrbić, R. The Impact of the COVID-19 Pandemic on Antimicrobial Resistance Trends in a Tertiary Care Teaching Hospital: A Ten-Year Surveillance Study. Antibiotics 2025, 14, 1179. https://doi.org/10.3390/antibiotics14121179
Barišić V, Kovačević T, Travar M, Golić Jelić A, Kovačević P, Vučićević K, Milaković D, Škrbić R. The Impact of the COVID-19 Pandemic on Antimicrobial Resistance Trends in a Tertiary Care Teaching Hospital: A Ten-Year Surveillance Study. Antibiotics. 2025; 14(12):1179. https://doi.org/10.3390/antibiotics14121179
Chicago/Turabian StyleBarišić, Vedrana, Tijana Kovačević, Maja Travar, Ana Golić Jelić, Pedja Kovačević, Katarina Vučićević, Dragana Milaković, and Ranko Škrbić. 2025. "The Impact of the COVID-19 Pandemic on Antimicrobial Resistance Trends in a Tertiary Care Teaching Hospital: A Ten-Year Surveillance Study" Antibiotics 14, no. 12: 1179. https://doi.org/10.3390/antibiotics14121179
APA StyleBarišić, V., Kovačević, T., Travar, M., Golić Jelić, A., Kovačević, P., Vučićević, K., Milaković, D., & Škrbić, R. (2025). The Impact of the COVID-19 Pandemic on Antimicrobial Resistance Trends in a Tertiary Care Teaching Hospital: A Ten-Year Surveillance Study. Antibiotics, 14(12), 1179. https://doi.org/10.3390/antibiotics14121179

