Trends in Antimicrobial Usage on Swiss Pig Farms from 2018 to 2021: Based on an Electronic Treatment Journal
Abstract
1. Introduction
2. Results
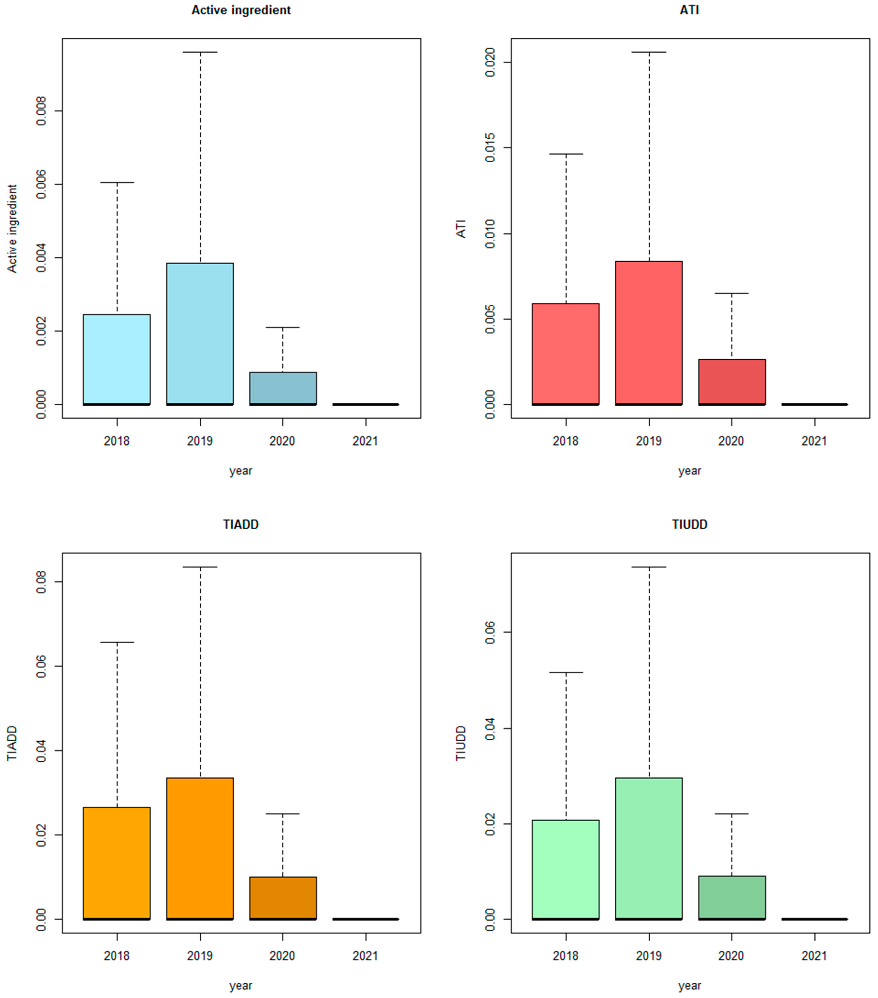
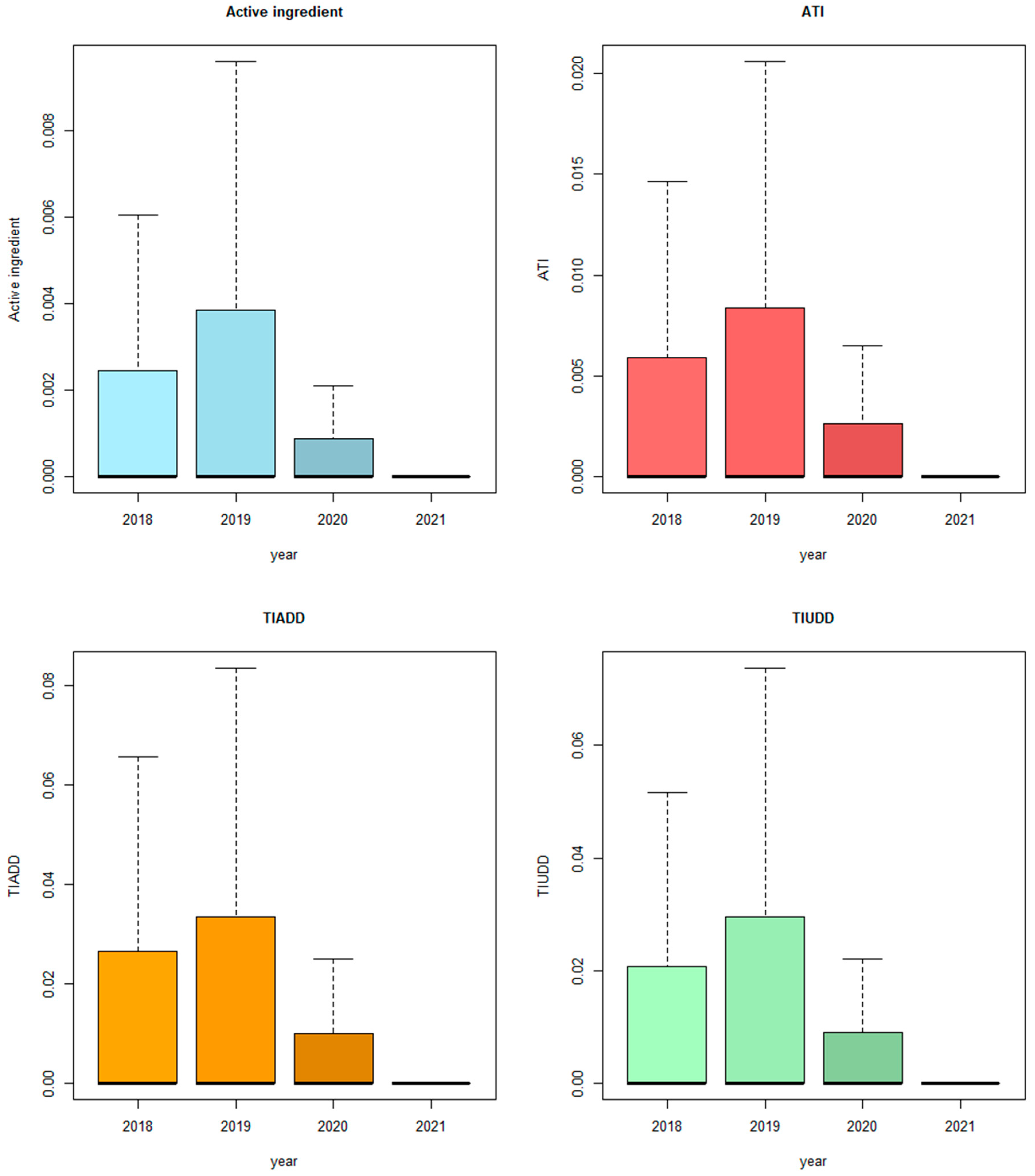
2.1. Overall AMU Per Farm and Age Group
2.2. AMU Per Age Category
2.3. AMU Quantification Per Antimicrobial Classes
2.4. HPCIAs
2.5. Interventions
3. Discussion
3.1. Overall AMU
3.1.1. Sample Size
3.1.2. Calculation Methods
3.1.3. AMU between Years
3.2. Antimicrobial Classes and HPCIAs
3.3. Interventions
3.4. Limitations
4. Materials and Methods
4.1. Data Collection
4.2. Quantification of AMU
| TIADDpig | |
| TIUDDpig |
4.3. Data Analysis
4.4. Interventions
5. Conclusions
Supplementary Materials
Author Contributions
Funding
Institutional Review Board Statement
Informed Consent Statement
Data Availability Statement
Acknowledgments
Conflicts of Interest
References
- Rodríguez-Rojas, A.; Rodríguez-Beltrán, J.; Couce, A.; Blázquez, J. Antibiotics and Antibiotic Resistance: A Bitter Fight against Evolution. Int. J. Med. Microbiol. 2013, 303, 293–297. [Google Scholar] [CrossRef] [PubMed]
- Bronzwaer, S.L.; Cars, O.; Buchholz, U.; Mölstad, S.; Goettsch, W.; Veldhuijzen, I.K.; Kool, J.L.; Sprenger, M.J.; Degener, J.E. The Relationship between Antimicrobial Use and Antimicrobial Resistance in Europe. Emerg. Infect. Dis. 2002, 8, 278–282. [Google Scholar] [CrossRef] [PubMed]
- WhO Guidelines on Use of Medically Important Antimicrobials in Food-Producing Animals. Available online: https://www.who.int/publications/i/item/9789241550130 (accessed on 7 August 2024).
- Andersen, V.D.; de Knegt, L.V.; Munk, P.; Jensen, M.S.; Agerso, Y.; Aarestrup, F.M.; Vigre, H. The Association between Measurements of Antimicrobial Use and Resistance in the Faeces Microbiota of Finisher Batches. Epidemiol. Infect. 2017, 145, 2827–2837. [Google Scholar] [CrossRef] [PubMed]
- Aarestrup, F.M. Association between the consumption of antimicrobial agents in animal husbandry and the occurrence of resistant bacteria among food animals. Int. J. Antimicrob. Agents 1999, 12, 279–285. [Google Scholar] [CrossRef]
- Critically Important Antimicrobials for Human Medicine 6th Revision 2018 Ranking of Medically Important Antimicrobials for Risk Management of Antimicrobial Resistance Due to Non-Human Use. Available online: https://www.who.int/publications/i/item/9789241515528 (accessed on 7 August 2024).
- Von Ah, S.; Stephan, R.; Zurfluh, K.; Sidler, X.; Kümmerlen, D. Occurrence of quinolone-resistant Escherichia coli in environmental samples from a sow pool system in Switzerland. Schweiz. Arch. Tierheilkd. 2019, 161, 387–394. [Google Scholar] [CrossRef] [PubMed]
- Amsler, M.; Zurfluh, K.; Hartnack, S.; Sidler, X.; Stephan, R.; Kümmerlen, D. Occurrence of Escherichia coli non-susceptible to quinolones in faecal samples from fluoroquinolone-treated, contact and control pigs of different ages from 24 Swiss pig farms. Porc. Health Manag. 2021, 7, 29. [Google Scholar] [CrossRef] [PubMed]
- Swiss Antibiotic Resistance Report 2022 ANRESIS ARCH-Vet IS ABV Usage of Antibiotics and Occurrence of Antibiotic Resistance in Switzerland. Available online: https://www.star.admin.ch/star/en/home/sarr/sarr.html (accessed on 7 August 2024).
- Echtermann, T.; Müntener, C.; Sidler, X.; Kümmerlen, D. Impact of the Suissano Health Programme on Antimicrobial Usage on 291 Pig Farms in Switzerland. Vet. Rec. Open 2020, 7, e000389. [Google Scholar] [CrossRef]
- Raasch, S.; Collineau, L.; Postma, M.; Backhans, A.; Sjölund, M.; Belloc, C.; Emanuelson, U.; grosse Beilage, E.; Stärk, K.; Dewulf, J. Effectiveness of Alternative Measures to Reduce Antimicrobial Usage in Pig Production in Four European Countries. Porc. Health Manag. 2020, 6, 6. [Google Scholar] [CrossRef]
- Jensen, V.F.; de Knegt, L.V.; Andersen, V.D.; Wingstrand, A. Temporal Relationship between Decrease in Antimicrobial Prescription for Danish Pigs and the “Yellow Card” Legal Intervention Directed at Reduction of Antimicrobial Use. Prev. Vet. Med. 2014, 117, 554–564. [Google Scholar] [CrossRef]
- Dupont, N.; Diness, L.H.; Fertner, M.; Kristensen, C.S.; Stege, H. Antimicrobial Reduction Measures Applied in Danish Pig Herds Following the Introduction of the “Yellow Card” Antimicrobial Scheme. Prev. Vet. Med. 2017, 138, 9–16. [Google Scholar] [CrossRef]
- Sanders, P.; Vanderhaeghen, W.; Fertner, M.; Fuchs, K.; Obritzhauser, W.; Agunos, A.; Carson, C.; Borck Høg, B.; Dalhoff Andersen, V.; Chauvin, C.; et al. Monitoring of Farm-Level Antimicrobial Use to Guide Stewardship: Overview of Existing Systems and Analysis of Key Components and Processes. Front. Vet. Sci. 2020, 7, 540. [Google Scholar] [CrossRef]
- Agrarbericht 2022. Available online: https://2022.agrarbericht.ch/de (accessed on 7 August 2024).
- Echtermann, T.; Muentener, C.; Sidler, X.; Kuemmerlen, D. Antimicrobial Usage Among Different Age Categories and Herd Sizes in Swiss Farrow-to-Finish Farms. Front. Vet. Sci. 2020, 7, 566529. [Google Scholar] [CrossRef]
- Yun, J.; Muurinen, J.; Nykäsenoja, S.; Seppä-Lassila, L.; Sali, V.; Suomi, J.; Tuominen, P.; Joutsen, S.; Hämäläinen, M.; Olkkola, S.; et al. Antimicrobial Use, Biosecurity, Herd Characteristics, and Antimicrobial Resistance in Indicator Escherichia coli in Ten Finnish Pig Farms. Prev. Vet. Med. 2021, 193, 105408. [Google Scholar] [CrossRef]
- Hemme, M.; Ruddat, I.; Hartmann, M.; Werner, N.; van Rennings, L.; Käsbohrer, A.; Kreienbrock, L. Antibiotic Use on German Pig Farms-A Longitudinal Analysis for 2011, 2013 and 2014. PLoS ONE 2018, 13, e0199592. [Google Scholar] [CrossRef]
- Moreno, M.A. Survey of Quantitative Antimicrobial Consumption per Production Stage in Farrow-to-Finish Pig Farms in Spain. Vet. Rec. Open 2014, 1, e000002. [Google Scholar] [CrossRef]
- Jensen, V.F.; Emborg, H.D.; Aarestrup, F.M. Indications and Patterns of Therapeutic Use of Antimicrobial Agents in the Danish Pig Production from 2002 to 2008. J. Vet. Pharmacol. Ther. 2012, 35, 33–46. [Google Scholar] [CrossRef] [PubMed]
- Kümmerlen, D.; Echtermann, T.; von Gerlach, F.; Müntener, C.; Sidler, X. Analyses of Antimicrobial Usage in 598 Pig Farms in Switzerland in 2017. Schweiz. Arch. Tierheilkd. 2019, 161, 809–820. [Google Scholar] [CrossRef] [PubMed]
- Ungemach, F.R.; Müller-Bahrdt, D.; Abraham, G. Guidelines for Prudent Use of Antimicrobials and Their Implications on Antibiotic Usage in Veterinary Medicine. Int. J. Med. Microbiol. 2006, 296, 33–38. [Google Scholar] [CrossRef] [PubMed]
- Sales of Veterinary Antimicrobial Agents in 31 European Countries in 2019 and 2020. Available online: https://health.ec.europa.eu/publications/sales-veterinary-antimicrobial-agents-31-european-countries-2019-and-2020_en (accessed on 7 August 2024).
- Ceyssens, M. Switzerland, A Pig ‘Island’ Surrounded by the EU. Available online: https://www.pigprogress.net/health-nutrition/switzerland-a-pig-island-surrounded-by-the-eu/ (accessed on 7 August 2024).
- Sjölund, M.; Postma, M.; Collineau, L.; Lösken, S.; Backhans, A.; Belloc, C.; Emanuelson, U.; Beilage, E.G.; Stärk, K.; Dewulf, J.; et al. Quantitative and Qualitative Antimicrobial Usage Patterns in Farrow-to-Finish Pig Herds in Belgium, France, Germany and Sweden. Prev. Vet. Med. 2016, 130, 41–50. [Google Scholar] [CrossRef]
- Bonzelett, C.; Schnepf, A.; Hartmann, M.; Käsbohrer, A.; Kreienbrock, L. Use of Antimicrobials by Class in Pigs in Germany—A Longitudinal Description Considering Different International Categorisation Systems. Antibiotics 2022, 11, 1833. [Google Scholar] [CrossRef]
- Abe, R.; Takagi, H.; Fujimoto, K.; Sugiura, K. Evaluation of the Antimicrobial Use in Pigs in Japan Using Dosage-Based Indicators. PLoS ONE 2020, 15, e0241644. [Google Scholar] [CrossRef] [PubMed]
- Davies, P.R.; Singer, R.S. Antimicrobial Use in Wean to Market Pigs in the United States Assessed via Voluntary Sharing of Proprietary Data. Zoonoses Public Health 2020, 67, 6–21. [Google Scholar] [CrossRef] [PubMed]
- Buess, S.; Nüesch-Inderbinen, M.; Stephan, R.; Zurfluh, K. Assessment of animals as a reservoir for colistin resistance: No MCR-1/MCR-2-producing Enterobacteriaceae detected in Swiss livestock. J. Glob. Antimicrob. Resist. 2017, 8, 33–34. [Google Scholar] [CrossRef][Green Version]
- Stannarius, C.; Bürgi, E.; Regula, G.; Zychowska, M.A.; Zweifel, C.; Stephan, R. Antimicrobial resistance in Escherichia coli strains isolated from Swiss weaned pigs and sows. Schweiz. Arch. Tierheilkd. 2009, 151, 119–125. [Google Scholar] [CrossRef][Green Version]
- Pendl, W.; Jenny, B.; Torgerson, P.; Spring, P.; Kümmerlen, D.; Sidler, X. Effect of Herd Health Management on the Prevalence of Postpartum Dysgalaktie Syndrome (PPDS) and the Treatment Incidence. Schweiz. Arch. Tierheilkd. 2017, 159, 109–116. [Google Scholar] [CrossRef]
- Raasch, S.; Postma, M.; Dewulf, J.; Stärk, K.D.C.; grosse Beilage, E. Association between Antimicrobial Usage, Biosecurity Measures as Well as Farm Performance in German Farrow-to-Finish Farms. Porc. Health Manag. 2018, 4, 30. [Google Scholar] [CrossRef] [PubMed]
- Blaha, T.; Dickhaus, P.; Meemken, D. The “Animal Treatment Index” (ATI) for benchmarking pig herd health. In Proceedings of the 19th International Pig Veterinary Society Congress, Copenhagen, Denmark, 16–19 July 2006; p. 1. [Google Scholar]
- Timmerman, T.; Dewulf, J.; Catry, B.; Feyen, B.; Opsomer, G.; de Kruif, A.; Maes, D. Quantification and Evaluation of Antimicrobial Drug Use in Group Treatments for Fattening Pigs in Belgium. Prev. Vet. Med. 2006, 74, 251–263. [Google Scholar] [CrossRef] [PubMed]
- Echtermann, T.; Müntener, C.; Torgerson, P.; Sidler, X.; Kümmerlen, D. Defining Daily Doses and Total Doses for the Measurement of Antibiotic Usage in Swiss Pig Production. Schweiz. Arch. Tierheilkd. 2018, 160, 597–605. [Google Scholar] [CrossRef]
- Taverne, F.J.; Jacobs, J.H.; Heederik, D.J.J.; Mouton, J.W.; Wagenaar, J.A.; van Geijlswijk, I.M. Influence of Applying Different Units of Measurement on Reporting Antimicrobial Consumption Data for Pig Farms. BMC Vet. Res. 2015, 11, 250. [Google Scholar] [CrossRef]


| Age Group | 2018 | 2019 | 2020 | 2021 |
|---|---|---|---|---|
| Suckling piglets (n) | 1’317’592 | 1’584’680 | 1’912’505 | 2’327’035 |
| Weaners (n) | 1’132’360 | 1’361’430 | 1’639’831 | 1’996’143 |
| Fattening pigs (n) | 858’294 | 1’095’041 | 1’606’793 | 2’032’961 |
| Lactating sows (n) | 14’762 | 17’869 | 22’900 | 28’259 |
| Gestating sows (n) | 38’437 | 46’060 | 58’984 | 71’638 |
| Farms (n) | 1213 (1160) | 1526 (1480) | 2339 (2225) | 3539 (3288) |
| Year | Suckling Piglet | Weaner | Fattening Pig | Gestating Sow | Lactating Sow |
|---|---|---|---|---|---|
| 2018 | 28.69 | 236.25 | 292.38 | 80.46 | 101.59 |
| 2019 | 43.14 | 311.29 | 564.98 | 142.18 | 141.62 |
| 2020 | 50.88 | 297.87 | 666.04 | 205.61 | 208.28 |
| 2021 | 66.19 | 371.74 | 891.79 | 300.77 | 240.05 |
| Sum | 188.89 | 1217.14 | 2415.19 | 729.03 | 691.54 |
| Overall AMU Per Farm | Year | Mean (95% Conf.) | Median | SD | Min | Max | Significance | |
|---|---|---|---|---|---|---|---|---|
| Active ingredient | ||||||||
| 2018 | 0.64 (0.49–0.78) | 0.15 | 2.52 | 0 | 61.05 | A | ||
| 2019 | 0.81 (0.66–0.97) | 0.18 | 3.01 | 0 | 84.06 | A | ||
| 2020 | 0.64 (0.57–0.72) | 0.15 | 1.82 | 0 | 45.31 | A | ||
| 2021 | 0.57 (0.5–0.64) | 0.11 | 2.11 | 0 | 71.23 | B | ||
| ATI | ||||||||
| 2018 | 0.05 (0.04–0.06) | 0.02 | 0.18 | 0 | 4.17 | A | ||
| 2019 | 0.06 (0.05–0.07) | 0.02 | 0.20 | 0 | 3.36 | AB | ||
| 2020 | 0.07 (0.06–0.07) | 0.02 | 0.23 | 0 | 4.67 | AB | ||
| 2021 | 0.09 (0.08–0.11) | 0.02 | 0.42 | 0 | 11.00 | B | ||
| TIADD | ||||||||
| 2018 | 0.25 (0.18–0.33) | 0.08 | 1.28 | 0. | 27.72 | A | ||
| 2019 | 0.33 (0.25–0.4) | 0.08 | 1.55 | 0 | 28.22 | AB | ||
| 2020 | 0.46 (0.35–0.57) | 0.09 | 2.54 | 0 | 80.40 | B | ||
| 2021 | 0.77 (0.62–0.92) | 0.11 | 4.43 | 0 | 108.91 | C | ||
| TIUDD | ||||||||
| 2018 | 0.27 (0.17–0.32) | 0,07 | 1.75 | 0. | 11.25 | A | ||
| 2019 | 0.32 (0.24–0.4) | 0.07 | 1.65 | 0. | 28.38 | AB | ||
| 2020 | 0.43 (0.34–0.52) | 0.08 | 2.20 | 0. | 46.21 | B | ||
| 2021 | 0.72 (0.58–0.86) | 0.09 | 4.10 | 0 | 108.91 | C |
| Antimicrobial Classes | 2018 | 2019 | 2020 | 2021 |
|---|---|---|---|---|
| Aminoglycosides | 34.83 | 42.26 | 62.47 | 103.01 |
| Cephalosporins 3. Generation | 0.03 | 0.04 | 0.03 | 0.03 |
| Cephalosporins 4. Generation | 0.13 | 0.15 | 0.13 | 0.14 |
| Clavulanates | 0.47 | 0.61 | 1.64 | 2.31 |
| Fluoroquinolones | 1.66 | 1.84 | 2.06 | 1.97 |
| Lincosamides | 0.51 | 0.86 | 1.43 | 1.54 |
| Macrolides | 11.03 | 22.12 | 11.57 | 17.36 |
| Nitrobenzoles | 2.77 | 2.86 | 2.67 | 3.52 |
| Penicillins | 251.85 | 381.24 | 529.57 | 730.33 |
| Pleuromutilins | 8.04 | 21.05 | 30.06 | 7.29 |
| Polypeptides | 25.97 | 37.68 | 32.30 | 38.57 |
| Pyrimidines | 19.48 | 29.47 | 36.30 | 42.31 |
| Sulfonamides | 204.66 | 363.48 | 289.48 | 350.29 |
| Tetracyclines | 177.93 | 299.55 | 428.97 | 571.88 |
| Total | 739.37 | 1203.20 | 1428.67 | 1870.55 |
Disclaimer/Publisher’s Note: The statements, opinions and data contained in all publications are solely those of the individual author(s) and contributor(s) and not of MDPI and/or the editor(s). MDPI and/or the editor(s) disclaim responsibility for any injury to people or property resulting from any ideas, methods, instructions or products referred to in the content. |
© 2024 by the authors. Licensee MDPI, Basel, Switzerland. This article is an open access article distributed under the terms and conditions of the Creative Commons Attribution (CC BY) license (https://creativecommons.org/licenses/by/4.0/).
Share and Cite
Wissmann, R.; Kümmerlen, D.; Echtermann, T. Trends in Antimicrobial Usage on Swiss Pig Farms from 2018 to 2021: Based on an Electronic Treatment Journal. Antibiotics 2024, 13, 831. https://doi.org/10.3390/antibiotics13090831
Wissmann R, Kümmerlen D, Echtermann T. Trends in Antimicrobial Usage on Swiss Pig Farms from 2018 to 2021: Based on an Electronic Treatment Journal. Antibiotics. 2024; 13(9):831. https://doi.org/10.3390/antibiotics13090831
Chicago/Turabian StyleWissmann, Ramona, Dolf Kümmerlen, and Thomas Echtermann. 2024. "Trends in Antimicrobial Usage on Swiss Pig Farms from 2018 to 2021: Based on an Electronic Treatment Journal" Antibiotics 13, no. 9: 831. https://doi.org/10.3390/antibiotics13090831
APA StyleWissmann, R., Kümmerlen, D., & Echtermann, T. (2024). Trends in Antimicrobial Usage on Swiss Pig Farms from 2018 to 2021: Based on an Electronic Treatment Journal. Antibiotics, 13(9), 831. https://doi.org/10.3390/antibiotics13090831

