Antimicrobial Resistance in Qatar: Prevalence and Trends before and Amidst the COVID-19 Pandemic
Abstract
1. Introduction
2. Results
2.1. Data Characteristics
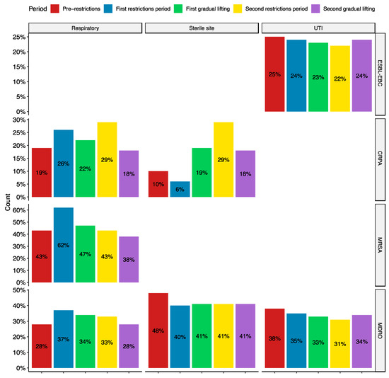
2.2. Antimicrobial Resistance Trends
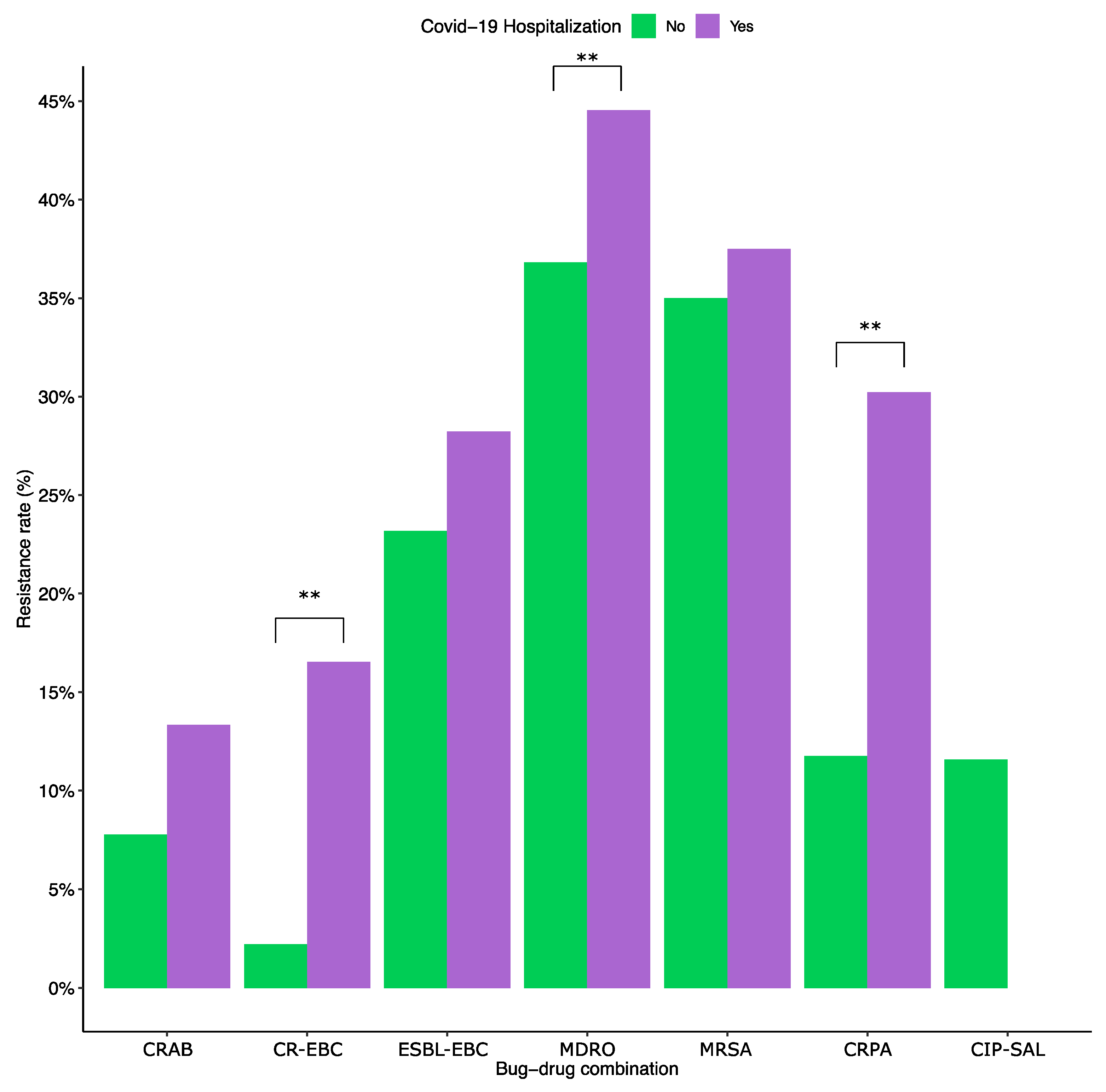
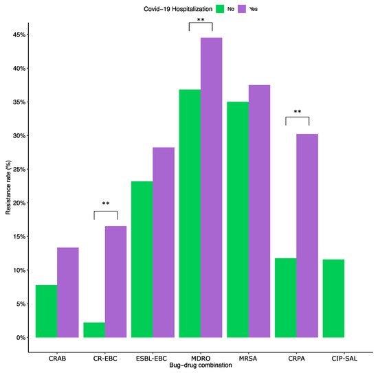
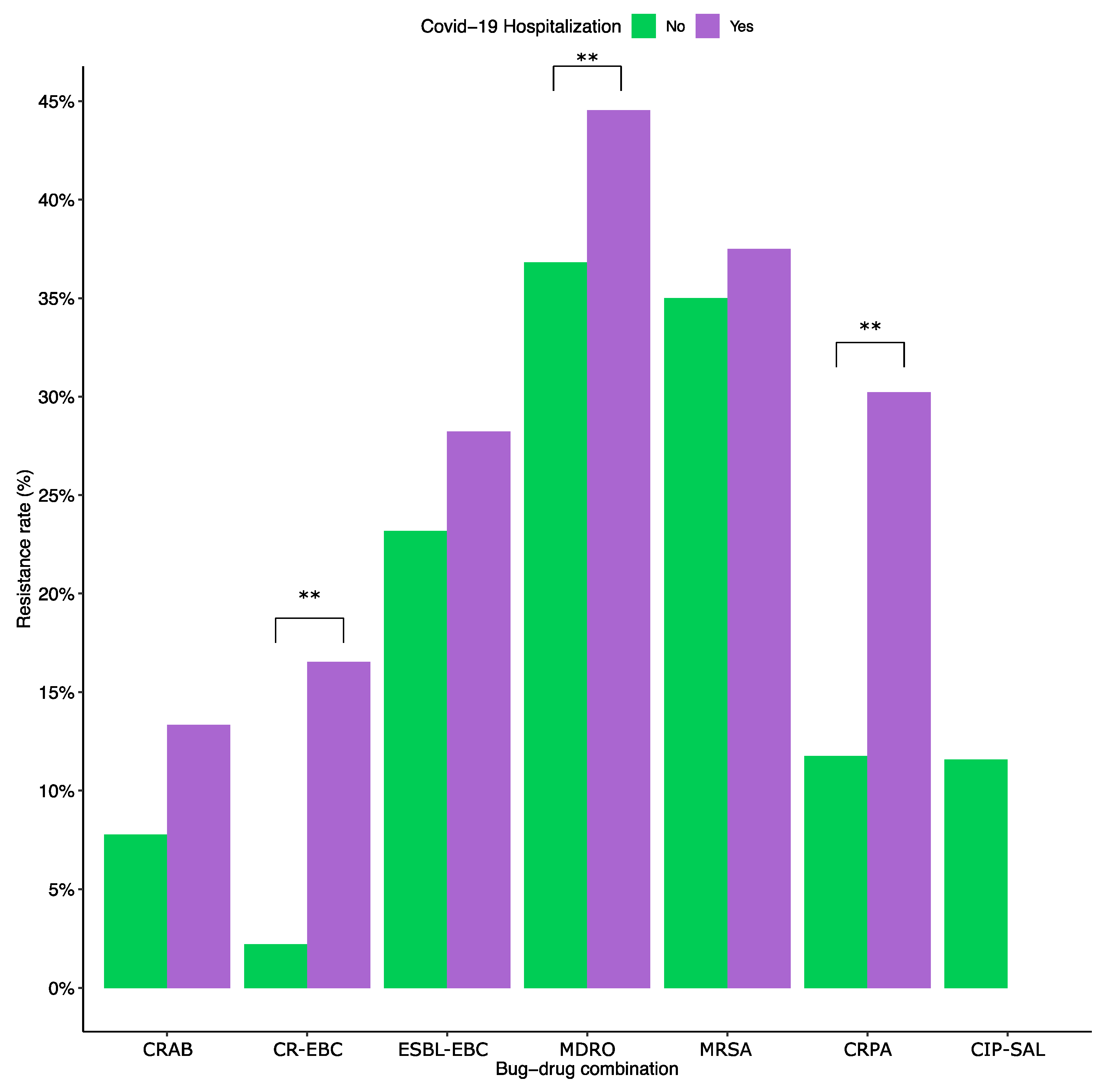
2.3. Antimicrobial Resistance and COVID-19 Hospitalization
3. Discussion
4. Materials and Methods
4.1. Setting
4.2. Data Management and Ethical Considerations
4.3. Dataset Specification and Pre-Processing
4.4. Microbiological Identification and Antimicrobial Susceptibility Testing (AST)
4.5. Statistical Analysis
5. Conclusions
Supplementary Materials
Author Contributions
Funding
Institutional Review Board Statement
Informed Consent Statement
Data Availability Statement
Conflicts of Interest
References
- Gandra, S.; Alvarez-Uria, G.; Turner, P.; Joshi, J.; Limmathurotsakul, D.; van Doorn, H.R. Antimicrobial Resistance Surveillance in Low- and Middle-Income Countries: Progress and Challenges in Eight South Asian and Southeast Asian Countries. Clin. Microbiol. Rev. 2020, 33, e00048-19. [Google Scholar] [CrossRef] [PubMed]
- Argimón, S.; Masim, M.A.L.; Gayeta, J.M.; Lagrada, M.L.; Macaranas, P.K.V.; Cohen, V.; Limas, M.T.; Espiritu, H.O.; Palarca, J.C.; Chilam, J.; et al. Integrating whole-genome sequencing within the National Antimicrobial Resistance Surveillance Program in the Philippines. Nat. Commun. 2020, 11, 2719. [Google Scholar] [CrossRef] [PubMed]
- Global Antimicrobial Resistance and Use Surveillance System (GLASS) Report 2022; World Health Organization: Geneva, Switzerland, 2022.
- Scaglione, V.; Reale, M.; Davoli, C.; Mazzitelli, M.; Serapide, F.; Lionello, R.; La Gamba, V.; Fusco, P.; Bruni, A.; Procopio, D.; et al. Prevalence of Antibiotic Resistance Over Time in a Third-Level University Hospital. Microb. Drug Resist. 2022, 28, 425–435. [Google Scholar] [CrossRef] [PubMed]
- Mishra, K.P.; Mishra, P.; Singh, A.K.; Singh, S.B. Impact of COVID-19 pandemic on antimicrobial resistance and secondary microbial infections. Int. J. Clin. Virol. 2021, 5, 32–36. [Google Scholar]
- Abu-Rub, L.I.; Abdelrahman, H.A.; Johar, A.R.A.; Alhussain, H.A.; Hadi, H.A.; Eltai, N.O. Antibiotics Prescribing in Intensive Care Settings during the COVID-19 Era: A Systematic Review. Antibiotics 2021, 10, 935. [Google Scholar] [CrossRef] [PubMed]
- Kariyawasam, R.M.; Julien, D.A.; Jelinski, D.C.; Larose, S.L.; Rennert-May, E.; Conly, J.M.; Dingle, T.C.; Chen, J.Z.; Tyrrell, G.J.; Ronksley, P.E.; et al. Antimicrobial resistance (AMR) in COVID-19 patients: A systematic review and meta-analysis (November 2019–June 2021). Antimicrob. Resist. Infect. Control 2022, 11, 45. [Google Scholar] [CrossRef]
- Neto, A.G.M.; Lo, K.B.; Wattoo, A.; Salacup, G.; Pelayo, J.; DeJoy, R.; Bhargav, R.; Gul, F.; Peterson, E.; Albano, J.; et al. Bacterial infections and patterns of antibiotic use in patients with COVID-19. J. Med. Virol. 2021, 93, 1489–1495. [Google Scholar] [CrossRef]
- Arastehfar, A.; Carvalho, A.; Nguyen, M.H.; Hedayati, M.T.; Netea, M.G.; Perlin, D.S.; Hoenigl, M. COVID-19-Associated Candidiasis (CAC): An Underestimated Complication in the Absence of Immunological Predispositions? J. Fungi 2020, 6, 211. [Google Scholar] [CrossRef]
- Mędrzycka-Dąbrowska, W.; Lange, S.; Zorena, K.; Dąbrowski, S.; Ozga, D.; Tomaszek, L. Carbapenem-Resistant Klebsiella pneumoniae Infections in ICU COVID-19 Patients—A Scoping Review. J. Clin. Med. 2021, 10, 2067. [Google Scholar] [CrossRef]
- Sharaf, N.; Al-Jayyousi, G.F.; Radwan, E.; Eldin, S.M.E.S.; Hamdani, D.; Al-Katheeri, H.; Elawad, K.; Sair, A.H. Barriers of Appropriate Antibiotic Prescription at PHCC in Qatar: Perspective of Physicians and Pharmacists. Antibiotics 2021, 10, 317. [Google Scholar] [CrossRef] [PubMed]
- Hsu, J. How COVID-19 is accelerating the threat of antimicrobial resistance. BMJ 2020, 369, m1983. [Google Scholar] [CrossRef] [PubMed]
- Pérez-López, A.; Hasan, M.R.; Sundararaju, S.; Tsui, C.K.M.; Al-Mana, H.A.; Suleiman, M.; Imam, O.; Tang, P. Trends in fecal carriage of carbapenemase-producing Enterobacterales in children before and after the implementation of international travel restrictions in response to COVID-19. Travel. Med. Infect. Dis. 2021, 43, 102120. [Google Scholar] [CrossRef]
- Al Mana, H.; Wilson, G.; Abdel Hadi, H.; Ibrahim, E.; Eltai, N.O. Trends in Bacterial and Candida Infections Prior to and Throughout the COVID-19 Pandemic [Internet]. Research Square. 2023. Available online: https://www.researchsquare.com (accessed on 21 December 2023).
- World Health Organization. Prioritization of Pathogens to Guide Discovery, Research and Development of New Antibiotics for Drug-Resistant Bacterial Infections, including Tuberculosis [Internet]. 2023. Available online: https://www.who.int/publications-detail-redirect/WHO-EMP-IAU-2017.12 (accessed on 3 January 2024).
- Tacconelli, E.; Carrara, E.; Savoldi, A.; Harbarth, S.; Mendelson, M.; Monnet, D.L.; Pulcini, C.; Kahlmeter, G.; Kluytmans, J.; Carmeli, Y.; et al. Discovery, research, and development of new antibiotics: The WHO priority list of antibiotic-resistant bacteria and tuberculosis. Lancet Infect. Dis. 2018, 18, 318–327. [Google Scholar] [CrossRef] [PubMed]
- Ahmed, M.A.S.; Petkar, H.M.; Saleh, T.M.; Albirair, M.; Arisgado, L.A.; Eltayeb, F.K.; Hamed, M.M.; Al-Maslamani, M.A.; Al Khal, A.L.; Alsoub, H.; et al. The epidemiology and microbiological characteristics of infections caused by Gram-negative bacteria in Qatar: National surveillance from the Study for Monitoring of Antimicrobial Resistance Trends (SMART): 2017 to 2019. JAC-Antimicrobial Resist. 2023, 5, dlad086. [Google Scholar] [CrossRef]
- World Health Organization. COVID-19 Situation Report-73; Report No.: 73; World Health Organization: Geneva, Switzerland, 2020. [Google Scholar]
- Santos, A.P.; Gonçalves, L.C.; Oliveira, A.C.C.; Queiroz, P.H.P.; Ito, C.R.M.; Santos, M.O.; Carneiro, L.C. Bacterial Co-Infection in Patients with COVID-19 Hospitalized (ICU and Not ICU): Review and Meta-Analysis. Antibiotics 2022, 11, 894. [Google Scholar] [CrossRef] [PubMed]
- O’Toole, R.F. The interface between COVID-19 and bacterial healthcare-associated infections. Clin. Microbiol. Infect. 2021, 27, 1772–1776. [Google Scholar] [CrossRef]
- Baker, M.A.; Sands, K.E.; Huang, S.S.; Kleinman, K.; Septimus, E.J.; Varma, N.; Blanchard, J.; E Poland, R.; Coady, M.H.; Yokoe, D.S.; et al. The Impact of Coronavirus Disease 2019 (COVID-19) on Healthcare-Associated Infections. Clin. Infect. Dis. 2022, 74, 1748–1754. [Google Scholar] [CrossRef]
- Deiana, G.; Arghittu, A.; Gentili, D.; Dettori, M.; Palmieri, A.; Masia, M.D.; Azara, A.; Castiglia, P. Impact of the COVID-19 Pandemic on the Prevalence of HAIs and the Use of Antibiotics in an Italian University Hospital. Healthcare 2022, 10, 1597. [Google Scholar] [CrossRef]
- Langford, B.J.; So, M.; Raybardhan, S.; Leung, V.; Westwood, D.; MacFadden, D.R.; Soucy, J.-P.R.; Daneman, N. Bacterial co-infection and secondary infection in patients with COVID-19: A living rapid review and meta-analysis. Clin. Microbiol. Infect. 2020, 26, 1622–1629. [Google Scholar] [CrossRef]
- Saini, V.; Jain, C.; Singh, N.P.; Alsulimani, A.; Gupta, C.; Dar, S.A.; Haque, S.; Das, S. Paradigm Shift in Antimicrobial Resistance Pattern of Bacterial Isolates during the COVID-19 Pandemic. Antibiotics 2021, 10, 954. [Google Scholar] [CrossRef]
- Gerver, S.M.; Guy, R.; Wilson, K.; Thelwall, S.; Nsonwu, O.; Rooney, G.; Brown, C.S.; Muller-Pebody, B.; Hope, R.; Hall, V. National surveillance of bacterial and fungal coinfection and secondary infection in COVID-19 patients in England: Lessons from the first wave. Clin. Microbiol. Infect. Off. Publ. Eur. Soc. Clin. Microbiol. Infect. Dis. 2021, 27, 1658–1665. [Google Scholar] [CrossRef]
- Lai, C.C.; Chen, S.Y.; Ko, W.C.; Hsueh, P.R. Increased antimicrobial resistance during the COVID-19 pandemic. Int. J. Antimicrob. Agents 2021, 57, 106324. [Google Scholar] [CrossRef]
- Ehuwa, O.; Jaiswal, A.K.; Jaiswal, S. Salmonella, Food Safety and Food Handling Practices. Foods 2021, 10, 907. [Google Scholar] [CrossRef]
- Mughini-Gras, L.; Pinedo, L.C.; Pijnacker, R.; Beld, M.v.D.; Wit, B.; Veldman, K.; Bosh, T.; Franz, E. Impact of the COVID-19 pandemic on human salmonellosis in the Netherlands. Epidemiol. Infect. 2021, 149, e254. [Google Scholar] [CrossRef]
- Rodríguez-Molina, D.; Berglund, F.; Blaak, H.; Flach, C.-F.; Kemper, M.; Marutescu, L.; Gradisteanu, G.P.; Popa, M.; Spießberger, B.; Wengenroth, L.; et al. International Travel as a Risk Factor for Carriage of Extended-Spectrum β-Lactamase-Producing Escherichia coli in a Large Sample of European Individuals—The AWARE Study. Int. J. Environ. Res. Public Health 2022, 19, 4758. [Google Scholar] [CrossRef] [PubMed]
- Woerther, P.L.; Andremont, A.; Kantele, A. Travel-acquired ESBL-producing Enterobacteriaceae: Impact of colonization at individual and community level. J. Travel. Med. 2017, 24 (Suppl. 1), S29–S34. [Google Scholar] [CrossRef] [PubMed]
- Zhou, Y.P.; Wilder-Smith, A.; Hsu, L.Y. The role of international travel in the spread of methicillin-resistant Staphylococcus aureus. J. Travel. Med. 2014, 21, 272–281. [Google Scholar] [CrossRef] [PubMed][Green Version]
- Shoaib, M.; Aqib, A.I.; Muzammil, I.; Majeed, N.; Bhutta, Z.A.; Kulyar, M.F.-E.; Fatima, M.; Zaheer, C.-N.F.; Muneer, A.; Murtaza, M.; et al. MRSA compendium of epidemiology, transmission, pathophysiology, treatment, and prevention within one health framework. Front. Microbiol. 2022, 13, 1067284. [Google Scholar] [CrossRef]
- Polly, M.; de Almeida, B.L.; Lennon, R.P.; Cortês, M.F.; Costa, S.F.; Guimarães, T. Impact of the COVID-19 pandemic on the incidence of multidrug-resistant bacterial infections in an acute care hospital in Brazil. Am. J. Infect. Control 2022, 50, 32–38. [Google Scholar] [CrossRef]
- Kampmeier, S.; Tönnies, H.; Correa-Martinez, C.L.; Mellmann, A.; Schwierzeck, V. A nosocomial cluster of vancomycin resistant enterococci among COVID-19 patients in an intensive care unit. Antimicrob. Resist. Infect. Control 2020, 9, 154. [Google Scholar] [CrossRef]
- Porretta, A.D.; Baggiani, A.; Arzilli, G.; Casigliani, V.; Mariotti, T.; Mariottini, F.; Scardina, G.; Sironi, D.; Totaro, M.; Barnini, S.; et al. Increased Risk of Acquisition of New Delhi Metallo-Beta-Lactamase-Producing Carbapenem-Resistant Enterobacterales (NDM-CRE) among a Cohort of COVID-19 Patients in a Teaching Hospital in Tuscany, Italy. Pathogens 2020, 9, 635. [Google Scholar] [CrossRef]
- Contou, D.; Claudinon, A.; Pajot, O.; Micaëlo, M.; Longuet Flandre, P.; Dubert, M.; Cally, R.; Logre, E.; Fraissé, M.; Mentec, H.; et al. Bacterial viral co-infections in patients with severe SARS-CoV-2 pneumonia admitted to a French, I.C.U. Ann. Intensive Care 2020, 10, 119. [Google Scholar] [CrossRef]
- Baiou, A.; Elbuzidi, A.; Bakdach, D.; Zaqout, A.; Alarbi, K.; Bintaher, A.; Ali, M.; Elarabi, A.; Ali, G.; Daghfal, J.; et al. Clinical characteristics and risk factors for the isolation of multi-drug-resistant Gram-negative bacteria from critically ill patients with COVID-19. J. Hosp. Infect. 2021, 110, 165–171. [Google Scholar] [CrossRef]
- Hindler, J.F.; Stelling, J. Analysis and Presentation of Cumulative Antibiograms: A New Consensus Guideline from the Clinical and Laboratory Standards Institute. Clin. Infect. Dis. 2007, 44, 867–873. [Google Scholar] [CrossRef]
- CLSI Performance Standards for Antimicrobial Susceptibility Testing (M100), 31st ed.; Clinical and Laboratory Standards Institute: Wayne, PA, USA, 2021.
- Magiorakos, A.-P.; Srinivasan, A.; Carey, R.B.; Carmeli, Y.; Falagas, M.E.; Giske, C.G.; Harbarth, S.; Hindler, J.F.; Kahlmeter, G.; Olsson-Liljequist, B.; et al. Multidrug-resistant, extensively drug-resistant and pandrug-resistant bacteria: An international expert proposal for interim standard definitions for acquired resistance. Clin. Microbiol. Infect. 2012, 18, 268–281. [Google Scholar] [CrossRef]
- R Core Team. R: A Language and Environment for Statistical Computing. [Internet]; R Foundation for Statistical Computing: Vienna, Austria, 2011; Available online: http://www.r-project.org/ (accessed on 23 December 2023).
- Wickham, H. ggplot2: Elegant Graphics for Data Analysis [Internet]; Springer: New York, NY, USA, 2016; Available online: https://ggplot2.tidyverse.org (accessed on 23 December 2023).
- Kassambara, A. ggpubr: “ggplot2” Based Publication Ready Plots [Internet]. 2020. Available online: https://CRAN.R-project.org/package=ggpubr (accessed on 23 December 2023).
- Sjoberg, D.D.; Whiting, K.; Curry, M.; Lavery, J.A.; Larmarange, J. Reproducible summary tables with the gtsummary package. R. J. 2021, 13, 570–580. [Google Scholar] [CrossRef]
- Kassambara, A. rstatix: Pipe-Friendly Framework for Basic Statistical Tests. R Package Version 0.7.2. 2023. Available online: https://CRAN.R-project.org/package=rstatix (accessed on 23 December 2023).
- Aragon, T.J. epitools: Epidemiology Tools. R Package Version 0.5-10.1. 2020. Available online: https://CRAN.R-project.org/package=epitools (accessed on 23 December 2023).
- Kassambara, A. ggcorrplot: Visualization of a Correlation Matrix using ‘ggplot2’. R Package Version 0.1.4. 2022. Available online: https://CRAN.R-project.org/package=ggcorrplot (accessed on 23 December 2023).



| Characteristic | N = 53,183 1 |
|---|---|
| Age | 37 (25, 57) |
| Not reported | 13 |
| Sex | |
| Female | 32,088 (60%) |
| Male | 21,092 (40%) |
| Not reported | 3 |
| During COVID-19 Hospitalization | 440 (0.8%) |
| Nationality | |
| Non-Qatari | 38,105 (72%) |
| Qatari | 15,077 (29%) |
| Not reported | 1 |
| Organism | Pre-Restrictions ** | First Restrictions Period ** | First Gradual Lifting ** | Second Restrictions Period ** | Second Gradual Lifting ** | Total |
|---|---|---|---|---|---|---|
| Total | 25,394 | 2510 | 11,804 | 5101 | 10,859 | 55,668 |
| Escherichia coli | 10,431 | 920 | 4633 | 1948 | 4601 | 22,533 |
| Staphylococcus aureus | 4657 | 453 | 2099 | 839 | 1774 | 9822 |
| Klebsiella pneumoniae | 3667 | 408 | 1961 | 861 | 1867 | 8764 |
| Pseudomonas aeruginosa | 2484 | 339 | 1372 | 592 | 1068 | 5855 |
| Other Enterobacteriaceae * | 1493 | 211 | 897 | 504 | 789 | 3894 |
| Salmonella | 772 | 55 | 348 | 124 | 261 | 1560 |
| Acinetobacter baumannii | 294 | 26 | 130 | 58 | 112 | 620 |
Disclaimer/Publisher’s Note: The statements, opinions and data contained in all publications are solely those of the individual author(s) and contributor(s) and not of MDPI and/or the editor(s). MDPI and/or the editor(s) disclaim responsibility for any injury to people or property resulting from any ideas, methods, instructions or products referred to in the content. |
© 2024 by the authors. Licensee MDPI, Basel, Switzerland. This article is an open access article distributed under the terms and conditions of the Creative Commons Attribution (CC BY) license (https://creativecommons.org/licenses/by/4.0/).
Share and Cite
Al Mana, H.; Abdel Hadi, H.; Wilson, G.; Almaslamani, M.A.; Abu Jarir, S.H.; Ibrahim, E.; Eltai, N.O. Antimicrobial Resistance in Qatar: Prevalence and Trends before and Amidst the COVID-19 Pandemic. Antibiotics 2024, 13, 203. https://doi.org/10.3390/antibiotics13030203
Al Mana H, Abdel Hadi H, Wilson G, Almaslamani MA, Abu Jarir SH, Ibrahim E, Eltai NO. Antimicrobial Resistance in Qatar: Prevalence and Trends before and Amidst the COVID-19 Pandemic. Antibiotics. 2024; 13(3):203. https://doi.org/10.3390/antibiotics13030203
Chicago/Turabian StyleAl Mana, Hassan, Hamad Abdel Hadi, Godwin Wilson, Muna A. Almaslamani, Sulieman H. Abu Jarir, Emad Ibrahim, and Nahla O. Eltai. 2024. "Antimicrobial Resistance in Qatar: Prevalence and Trends before and Amidst the COVID-19 Pandemic" Antibiotics 13, no. 3: 203. https://doi.org/10.3390/antibiotics13030203
APA StyleAl Mana, H., Abdel Hadi, H., Wilson, G., Almaslamani, M. A., Abu Jarir, S. H., Ibrahim, E., & Eltai, N. O. (2024). Antimicrobial Resistance in Qatar: Prevalence and Trends before and Amidst the COVID-19 Pandemic. Antibiotics, 13(3), 203. https://doi.org/10.3390/antibiotics13030203

