Abstract
Background: Plant-derived phytochemicals are crucial in fighting bacterial infections and in cancer therapy. Objective: This study investigates the phytochemical composition of the ethanolic extract obtained from Caralluma indica (C. indica) seeds and assesses its antimicrobial, anticancer, and antioxidant activities. Results: GC-MS analysis found 30 phytochemicals in C. indica seeds, including 5 bioactive compounds that have been shown to have antioxidant, antimicrobial, and cytotoxicity properties, through in silico evaluation. Phytochemical screening of C. indica identified and measured the phenolic compounds, providing insight into its bioactive potential and therapeutic properties. C. indica exhibited robust antioxidant capacity (DPPH, ABTS, nitric oxide, and H2O2 radical scavenging) alongside potent antimicrobial activity against oral pathogen and cytotoxicity activity on a human oral squamous carcinoma cell line (OECM-1) (EC50 of 169.35 µg/mL) and yeast cell Saccharomyces cerevisiae (215.82 µg/mL), with a selective index of 1.27. The subminimum % MBC/MFC of C. indica significantly reduced biofilm formation against oral pathogens (p < 0.05). Molecular docking studies showed a strong correlation (r = 0.862) between antifungal and anticancer targets, suggesting that the antimicrobial agents in C. indica contribute to cancer prevention mechanisms. Conclusions: These findings propose C. indica seeds as promising candidates for combating oral pathogens, inhibiting biofilm formation, and reducing the risk of oral cancer progression.
1. Introduction
Cancer is currently the second most common cause of death worldwide. The oral cavity harbors pathogens that may impact cancer development [1]. The presence of over 700 distinct bacterial types in the oral cavity raises concerns regarding the potential link between bacterial infections and the development of oral cancer [2]. Research indicates that specific species such as Fusobacterium sp., Prevotella sp., Peptostreptococcus sp., Porphyromonas gingivalis, Capnocytophaga gingivalis, and Streptococcus sp. exhibit a significant correlation with oral cancer [3]. Furthermore, Stasiewicz and Karpiński [4] noted an association between oral squamous cell carcinoma and the presence of oral bacteria. Microorganisms produce various metabolites that can induce tumors, such as acetaldehyde, nitrosamines, sulfides, and oxides [5]. There are several ways in which the oral microbiota influences the occurrence, progression, and prognosis of oral squamous cell carcinoma [5]. Three different mechanisms have explained the role of oral microbiota in the pathophysiology of cancer. The initial factor is the initiation of ongoing inflammation caused by microorganisms, where angiogenesis, mutagenesis, oncogene activation, and cell proliferation induced or stimulated by the inflammation-related substances are generated. Another process linked to bacteria is the activation of NF-κB and the suppression of cellular apoptosis, which may influence cell proliferation and thus contribute to cancer development. In the third process, bacteria that can cause cancer to produce specific chemicals [3].
The connection between oral microbiota and various oral diseases is well established, with increasing research highlighting the significant relationship between oral microbiota and health conditions such as diabetes, obesity, and cancer [6]. Bacterial biofilms play an important part in the pathophysiology of several human diseases, including cancer [7]. Biofilms can help spread cancer by causing inflammation, which often fails to eradicate infections associated with biofilms. Additionally, chronic inflammation can harm DNA and hasten the growth of cancer cells [8]. Another factor to consider is that certain bacteria in biofilms can possess the capability to produce toxins that function as carcinogens, thereby increasing the risk of cancer [9]. Jadhav and Tale discovered biofilm-forming Streptococcus species in the oral microbiota of cancer patients [10]. A group of taxa associated with periodontitis, including Fusobacterium, Dialister, Peptostreptococcus, Filifactor, Peptococcus, Catonella, and Parvimonas, were found to be highly enriched in oral squamous cell carcinomas [11]. Porphyromonas gingivalis and Fusobacterium nucleatum are two prevalent oral infections that have been shown to facilitate tumor growth [12]. There are theories that F. nucleatum and other anaerobic periodontal infections could play a role in the emergence of oral cancer because they are found in large quantities in the biofilms of oral squamous cell carcinomas. Immune evasion, cellular invasion, the activation of cell proliferation, and chronic inflammation are some of the ways that F. nucleatum can cause cancer [13].
The oral microbiota contains the opportunistic pathogen Candida albicans, which can change the epithelium and increase its vulnerability to premalignancy and cancer [14]. Vadovics et al. established a link between oral Candida albicans infection and oral squamous cell carcinoma (OSCC) [15]. Ayuningtyas et al. have determined that Candida albicans is one of the variables that contribute to the growth of oral cancer. Significantly elevated levels of biofilm, biofilm metabolism, phospholipase, proteinase, and microbial acetaldehyde production were observed in Candida species isolated from patients with oral cancer [14]. There is a possibility that Candida species play a role in the development of OSCC [16].
The current treatment employs an interdisciplinary strategy that integrates immunotherapy, radiotherapy, chemotherapy, and surgery tailored to the specific location and stage of the cancer. The search for a naturally occurring bioactive, such as secondary metabolites, to treat cancers, such as oral cancer, is gaining traction, largely due to the reduced adverse effects associated with existing pharmaceuticals [17]. Numerous challenges persist in both targeted molecular therapy and conventional treatment approaches for patients diagnosed with oral squamous cell carcinoma. The application of phytochemical components in cancer prevention has garnered significant interest due to their low-to-no toxicity to healthy tissues, positioning them as ideal chemopreventive agents [18].
Plants, microbes, and animals produce valuable secondary metabolites that exhibit potential bioactivity and function as metal-reducing agents [19,20]. Phenolic and flavonoid compounds from the plant extract have been extensively researched due to their various biological properties, including antibacterial, anti-inflammatory, and anticancer properties, and enhanced cytotoxic activity [21]. The origin of the plant material—whether it is the fruit, seeds, or leaves—does not solely dictate the antioxidant profile of the extracts. The current objective is to evaluate the anti-oral microbial and anti-oral cancer potential of the Caralluma indica (Wight & Arn.) seed ethanolic extract through in vitro and in silico methods, employing statistical and computational techniques.
2. Results and Discussion
2.1. Phytochemical Profile of C. indica Seeds
The ethanolic extract of C. indica seeds was characterized by the presence of phytochemical constituents, including tannins, saponins, flavonoids, steroids, terpenoids, and polyphenols (Table 1). It is worth mentioning that the extract had a high amount of flavonoids (31.55 ± 2.75 mg quercetin equivalents per gram) and total phenols (165.79 ± 7.54 mg gallic acid equivalents per gram) (Table 2). Sembiring et al. observed similar findings, with Caesalpinia bonduc seed kernels exhibiting total phenolic and flavonoid contents [22]. The gas chromatography–mass spectrometry (GC-MS) analysis identified 30 phytochemicals (Table 3 and Figure 1), with interpretations based on the NIST and WILEY libraries. Five bioactive compounds, including tetradecane, 1-heptadecene, 1-nonadecene, n-hexadecanoic acid, and dibutyl phthalate, were highlighted for their potential antimicrobial and anticancer activities (Table 4) [23,24,25,26,27]. The GC-MS profiling of the C. indica seed ethanolic extract underscores the presence of bioactive compounds with significant medicinal properties, underpinning its therapeutic applications.
Table 1.
Qualitative phytochemical profile of the C. indica seed ethanolic extract.
Table 2.
Quantitative phytochemical profile of the C. indica seeds.
Table 3.
GC-MS analysis of the C. indica seed ethanolic extract.
Figure 1.
GC-MS chromatogram of the C. indica seed ethanolic extract.
Table 4.
Identification of bioactive compounds from the C. indica seed ethanolic extract by GC-MS techniques with a literature review.
2.2. In Vitro Antioxidant Activity and Antioxidant Activity Index of C. indica
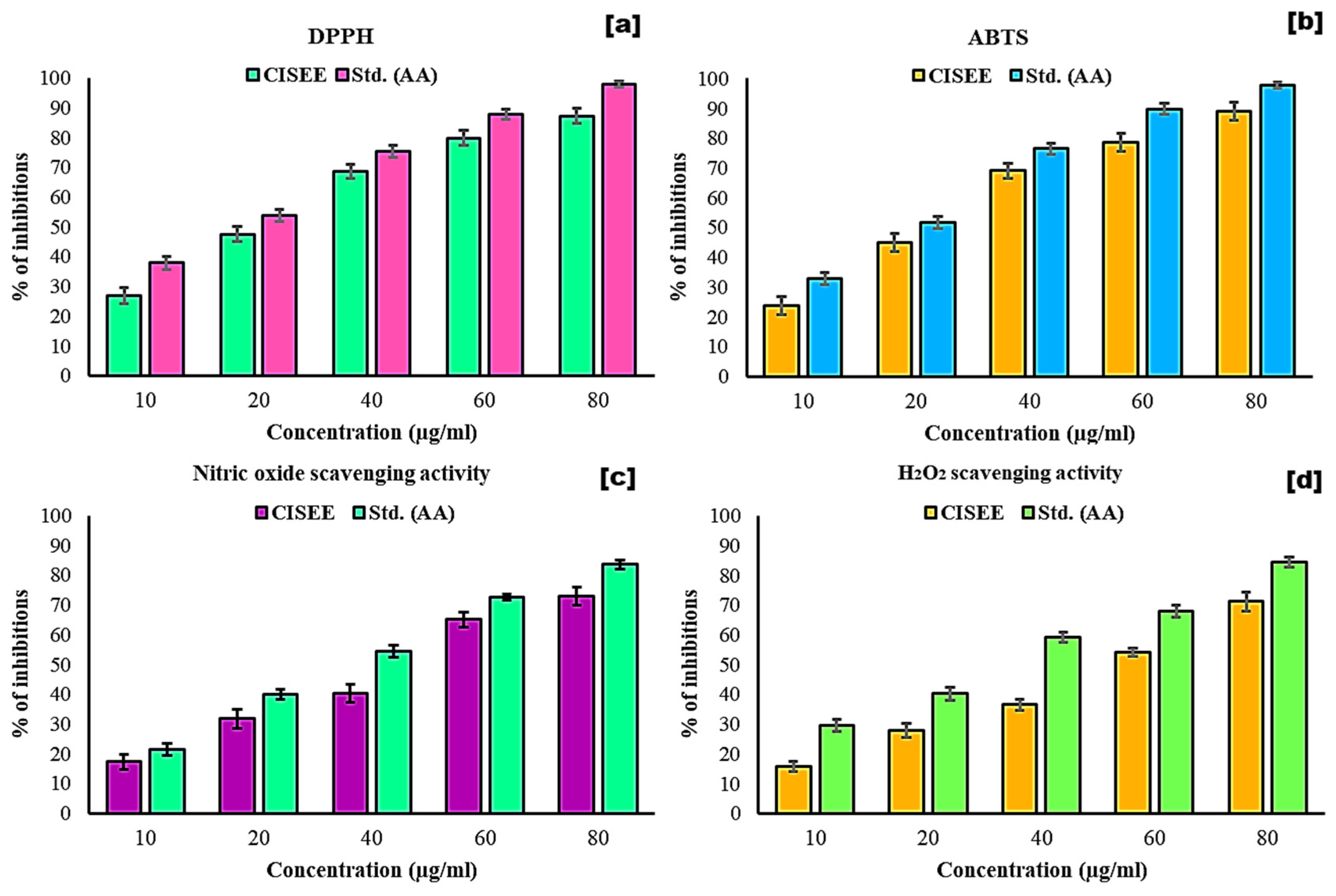
In the DPPH radical scavenging assays, the reduction in DPPH molecules by hydrogen donor antioxidants is evidenced by a color change from purple to yellow. The assay results demonstrated a significant dose-dependent inhibition (R2 = 0.91) (Figure 2a), with half-maximal inhibitory concentrations (IC50) of 17.50 µg/mL for ascorbic acid (AA) and 27.42 µg/mL for the ethanolic extract of C. indica seeds. ABTS radical scavenging activity of the C. indica seed ethanolic extract was observed to increase in a dose-dependent manner, with an R2 value of 0.92 and an IC50 of 29.52 µg/mL, compared to the AA IC50 of 20.39 µg/mL, as shown in Figure 2b. The ABTS assay relies on reducing the ABTS+ radical cations by the antioxidants present in the plant extracts [28]. Figure 2c shows that the ethanolic extract significantly enhanced the NO radical scavenging activity, with an IC50 of 47.72 µg/mL (R2 = 0.96), while the AA demonstrated an IC50 of 36.86 µg/mL. The extract reduced nitrite formation from sodium nitroprusside, suggesting the partial inhibition of NO release through direct scavenging activity [28].
Figure 2.
In vitro antioxidant activity of the C. indica seed ethanolic extract. (a) DPPH, (b) ABTS, (c) NO, and (d) H2O2 radical scavenging; AA—ascorbic acid and CISEE—C. indica seed ethanolic extract.
For hydrogen peroxide (H2O2) scavenging, the ethanolic extract exhibited dose-dependent efficacy, with an IC50 of 53.76 µg/mL and a strong correlation (R2 = 0.98) compared to the standard IC50 of 33.77 µg/mL (Figure 2d). Mathew and Abraham showed the electron-donating properties of plant phenolics in H2O2 neutralization [29]. Additionally, the antioxidant activity index (AAI) of the C. indica extract was determined to be 0.911, indicating a moderate level of antioxidant activity, which is approaching the threshold for a strong AAI. As a result, we proposed that the antioxidant activity of C. indica seeds would lower the risk of chronic diseases caused by oxidative stress. The antioxidant activity observed in C. indica seeds is likely attributable to the presence of bioactive phytochemicals.
These phytochemicals play a major role in the antioxidant qualities of plant extracts, supporting the idea that these extracts are promising natural antioxidant sources [30]. The primary phytochemical groups in the ethanolic extract of C. indica seeds that enhance its antioxidant capacity include polyphenols and n-hexadecanoic acid. Overall, the C. indica seed ethanolic extract exhibits hydrogen-donating capabilities, suggesting its potential in treating oxidative stress-related diseases, including cancer.
2.3. Antimicrobial Activity of C. indica
The lowest concentration of C. indica that can inhibit the growth of oral pathogens is found to be between 20 and 25 µg/mL. The lowest concentration that can kill bacteria or fungi is between 30 and 35 µg/mL. Specifically, the MIC against Staphylococcus aureus is 20 µg/mL, lower than that for C. albicans, which is 30 µg/mL. The MBC/MFC values reveal that C. indica is most effective against S. aureus at 30 µg/mL compared to 35 µg/mL for C. albicans. It has been recently reported that extracts from P. pensylvanica demonstrated the MIC against S. aureus [31], as well as the ethanolic extracts from Teucrium polium and Citrullus colocynthis against C. albicans, which are comparable to the MIC and MBC of C. indica against C. albicans [32]. The ethanolic extract from C. indica seeds at subminimum bactericidal/fungicidal concentrations (25, 50, and 75% of MBC/MFC) demonstrated the significant inhibition of biofilm formation in S. aureus and C. indica (p < 0.05) compared to the controls (Figure 3a,b). At 25 and 75% MBC, the extract notably reduced specific biofilm formation (SBF) in S. aureus, showing intermediate biofilm production at 25 and 50% MBC, and weak production at 75% MBC, as well as biofilm production [33]. In C. albicans, the extract inhibited biofilm formation dose-dependently [34]. Some of the active ingredients in C. indica, like 1-heptadecene, 1-nonadecene, and dibutyl phthalate, may reduce biofilm synthesis by interfering with cell-to-cell signaling pathways, particularly through flavonoids that inhibit autoinducer-2 [35]. Furthermore, C. indica flavonoids showed potent antibiofilm effects against oral pathogens [36]. The present study investigates the antimicrobial efficacy of the ethanolic extract of C. indica seeds against C. albicans and S. aureus. The antimicrobial activity was assessed using an antibiotic susceptibility test, revealing that the extract inhibited microbial growth, with inhibition zones ranging from 5.23 ± 0.51 to 15.78 ± 0.74 mm. Notably, it demonstrated superior activity against S. aureus (15.78 ± 0.74 mm with 100 µg/mL) compared to C. albicans (10.99 ± 0.69 mm with 100 µg/mL), while the standard chloramphenicol inhibited S. aureus growth (16.56 ± 0.66 mm) and fluconazole inhibited C. albicans growth (12.36 ± 0.81 mm), as shown in Figure 3c–e. The study suggests that the ethanolic extract of C. indica seeds could be used as an alternative medicine to treat oral infections caused by S. aureus and C. albicans.
Figure 3.
Antimicrobial activity of the C. indica seed ethanolic extract against oral-infection-causing pathogens. (a) S. aureus biofilm formation inhibitory activity of 25, 50, and 75% MBC concentrations (n = 3). (b) C. albicans biofilm formation inhibitory activity of 25, 50, and 75% MFC concentrations (n = 3). (c–e) Antimicrobial activity of C. indica seed ethanolic extract (50, 75, and 100 µg/mL) against oral pathogens (n = 3). (*) Statistically significant with the compared control (p < 0.05); within each concentration, the different letters a,b,c indicate significance (p < 0.05), and the same letters indicate non-significance (p > 0.05), using a one-way ANOVA followed by Duncan’s multiple range test (DMRT); the significance level is p < 0.05.
The ethanolic plant extracts and bioactive compounds reveal significant efficacy against Bacillus cereus, Staphylococcus aureus, Escherichia coli, Pseudomonas aeruginosa, and Salmonella typhi [37]. Additionally, Boroujeni et al. reported MIC values for extracts of S. bachtiarica and T. daenensis ranging from 25 to 50 μg/mL, suggesting their potential as natural antifungal agents against Candida [38]. C. indica seeds have shown substantial promise as natural alternatives to synthetic antimicrobials in the management of oral pathogens.
2.4. In Vitro Cytotoxicity Activity of C. indica
The plant phytochemicals derived exhibit significant efficacy against various cancers, including breast, oral, cervical, lung, hepatic, and colon cancers [39]. The C. indica demonstrated notable cytotoxic effects on oral cancer cells (OECM-1), achieving a cytotoxicity of 78.12 ± 1.10% at a concentration of 250 µg/mL, and the standard drug cisplatin (23.5 µM) revealed a cytotoxicity of 50.16 ± 0.76%. This study revealed that the extract exerted significant toxicity on the OECM-1 cell line in a dose-dependent manner, with an EC50 value of 169.35 µg/mL, as shown in Figure 4a.
Figure 4.
In vitro cytotoxicity activity of the C. indica seed ethanolic extract. * significant difference from the control at p < 0.05 using a one-way ANOVA followed by DMRT. (a) OECM-1 cell line. (b) Yeast Saccharomyces cerevisiae cell model.
In this study, the ethanolic extract of C. indica seeds demonstrated strong cytotoxic (antiproliferative) activity against S. cerevisiae yeast cells. The highest cytotoxic effect was observed at 250 µg/mL, resulting in a 58.61% inhibition of yeast cell viability compared to the control (100% viability) (Figure 4b). The half-maximal effective concentration (EC50) was 215.82 µg/mL, showing a dose-dependent inhibition with a correlation of R2 = 0.980. For comparison, the standard drug methotrexate inhibitions were 48.96 and 81.92% in similar yeast models [40]. Previous studies have shown other plant extracts also significantly reduce S. cerevisiae cell viability [41].
Additionally, the C. indica seed extract exhibited greater cytotoxicity toward the OECM-1 (human oral squamous carcinoma) cell line than against yeast. The Selectivity Index (SI) for the extract was calculated as 1.27, which, according to established guidelines, suggests general cytotoxicity (SI < 2), indicating a lack of selective toxicity between cancerous and normal cells [42]. The ethanolic extract induced the significant inhibition of OECM-1 and yeast cell proliferation across a concentration range from 50 to 250 µg/mL (Figure 4a,b). Morphological changes were observed in normal cells versus those treated with the extract, with observable alterations in the treated cells at 24 h across concentrations from 50 to 250 µg/mL, as shown in Figure 5a–g. Figure 6a–f depict the morphological examination of the antiproliferative activity of the C. indica seed ethanolic extract against yeast cells, and the death of the cell is indicated in the blue color. S. cerevisiae yeast is a great model system for finding compounds with antiproliferative properties, and methylene blue staining shows that concentrations of Matricaria chamomilla extract reduced the viability of S. cerevisiae cells [43]. A common model for higher eukaryotes in the study of fundamental cellular functions is S. cerevisiae. Except for its high level of sequence similarity and function conservation, this organism has helped to clarify biological pathways in both humans and yeast. These include the pathways that repair DNA damage and regulate the cell cycle [44].
Figure 5.
Morphology of normal and C. indica seed ethanolic extract-treated cells on OECM-1. (a) Control, (b–f) various concentrations of the CISEE extract, and (g) the standard as cisplatin.
Figure 6.
Morphological examination of the cytotoxicity (antiproliferative) activity of the C. indica seed ethanolic extract against yeast cells (the blue color arrow indicates a live cell (without staining) and the red color arrow indicates cell death (with blue color staining)). (a) Control and (b–f) various concentrations of the C. indica seed ethanolic extract.
Shivpuje et al. employed Ocimum sanctum aqueous extract, finding it to be significantly cytotoxic to oral cancer cell lines and effective as an antiproliferative agent, inducing apoptosis [45]. Rajagopalan et al. documented that the ethanolic leaf extract of Salvia officinalis contained sterols, flavonoids, and tannins, inhibiting the growth of the oral squamous carcinoma cell lines SSC-15 and SSC-25, with GI50 values of 340.7 µg/mL and 287.7 µg/mL, respectively [46]. To further establish the therapeutic potential of the ethanolic extract from C. indica seeds in oral cancer treatment, the isolation of specific phyto compounds from the extract is warranted. The cytotoxic properties of the extract could be harnessed to develop novel chemotherapeutic agents.
Secondary metabolites found in plant extracts have been shown to activate enzymes that induce apoptosis in cells, while simultaneously inhibiting the proliferation of cancer cells by damaging their DNA, across various experimental models [39]. These medicinal plants contain phytochemicals capable of modulating cellular signaling pathways, leading to apoptosis and inhibiting cell growth. Such alterations impact the cellular defense mechanisms against reactive oxygen species (ROS) [47]. Highly reactive molecules known as free radicals have the capacity to harm cells [48].
Research on Ficus carica has identified novel mechanisms involving ROS generation and cyclin-dependent kinases (CDKs) in HepG2 cells, highlighting the role of phytochemicals that provide preliminary support for cancer treatment [49]. Cytotoxic phytochemicals extracted from C. rostrata are being explored for their potential in developing new anticancer therapies [50]. Furthermore, Guha et al. showed the methanolic extracts of Ruellia tuberosa induced intracellular ROS, promoted G0/G1 cell cycle arrest, altered the mitochondrial membrane potential (MMP), and facilitated cell death [51]. Certain phytochemicals exhibit the ability to mediate ROS-induced cytotoxicity, leading to cancer cell death [52]. Additionally, the cytotoxic and antiproliferative effects of C. indica seeds on oral cancer cell lines have been evidenced through the MTT assay, revealing a reduction in cell viability correlating with increased concentrations of the ethanolic extract. Collectively, C. indica seeds demonstrate significant potential as an anti-oral cancer agent, and in the treatment of oral infections and diseases.
2.5. In Silico Anti-Oral Microbial and Anti-Oral Cancer Activity Caralluma indica Seeds
Table 5 illustrates that the in silico analysis revealed that dibutyl phthalate, a compound found in C. indica seeds, exhibited the strongest antimicrobial and anticancer activity against various molecular targets. Other phytochemicals from the seeds also demonstrated significant binding affinity to these targets, suggesting their potential for treating oral pathogens and cancers.
Table 5.
In silico anti-oral microbial and anti-oral cancer activity of identified bioactive compounds.
The antibacterial molecular target, sortase A (PDB: 1T2W), complexed with an LPETG peptide (LEU-PRO-GLU-THR-GLY), interacts with the amino acid residues Arg A197, Gln A172, Glu A108, Glu A105, and Val A104. Bioactive compounds from C. indica seeds also interact with Arg A197 (Table 4), suggesting a potential overlap in antibacterial mechanisms. Sortase enzymes in Gram-positive bacteria contain the conserved residues His 120, Cys 184, and Arg 197, which are essential for bacterial protein anchoring and substrate specificity [53]. The n-myristoyl transferase (NMT) in eukaryotic cells speeds up myristate transfer, which is important for growth and antifungal activity. The ethanolic extract compounds of C. indica seeds interact with Tyr A354 and Tyr A225 on C. albicans NMT, similar to the binding sites of the native GOL ligand (Table 6), yet differ in interaction sites compared to SAH (S-adenosyl-L-homocysteine), indicating distinct binding mechanisms. These compounds react to DNMT1 (DNA methyltransferase 1), which may be a non-competitive inhibitor, whereas C. indica seeds competitively inhibit the molecular target of n-myristoyl transferase from Candida albicans and Staphylococcus aureus sortase A.
Table 6.
Amino acid interactions of the identified ligands from the C. indica seeds, and the PDB crystal structure.
The interaction of bioactive compounds from C. indica seeds with the amino acid residues of the antibacterial target sortase A (PDB: 1T2W) is illustrated in Figure 7. Sortase A is recognized as a promising molecular target for developing anti-staphylococcal therapeutics. Scientists have found that the srtA gene is very important for making monospecies biofilms. They have also found that turning off srtA reduces the likelihood of biofilm formation [54].

Figure 7.
Molecular docking of the C. indica seed ethanolic extract phytochemicals against the antibacterial target of sortase A (PDB: 1T2W).
Computational analyses of bioactive compounds from C. indica seeds suggest their potential antibacterial activity, particularly their capacity to prevent the formation of biofilms through targeting sortase A. This interaction could aid in the development of antibiofilm agents for treating oral pathogens (Staphylococcus). Supporting evidence for the antibacterial role of sortase A has been documented [55,56].
N-myristoyltransferase 1 (NMT1) is a pivotal eukaryotic enzyme responsible for the addition of myristoyl groups to the amino-terminal residues of various proteins. Recent research has introduced several NMT inhibitors that may be utilized in cancer therapy [57]. Additionally, NMT has emerged as a novel therapeutic target for fungal infections, including anti-Candida treatments [58], and the biofilm formation of C. albicans, an oral pathogenic strain [59]. NMT is integral to the signaling networks essential for the growth of the oral pathogen C. albicans and has been identified as a potential therapeutic target [60]. Figure 8 illustrates the interaction of bioactive compounds from C. indica seeds with n-myristoyltransferase (PDB ID: 1NMT), which serves as an antifungal target against C. albicans. These interactions demonstrate the potential of flavonol compounds as agents for controlling the growth of C. albicans in response to cytotoxic drugs, as well as the development of antifungal agents targeting n-myristoyltransferase (PDB ID: 1NMT) [58,61].
Figure 8.
Molecular docking of C. indica seeds phytochemicals against the antifungal target of N-myristoyl transferase (PDB ID: 1NMT).
An enzyme called DNMT1 has been linked to facilitating the growth of oral squamous cell carcinoma [62]. Researchers are employing DNMT1 inhibitors and knockdown techniques to specifically target DNMT1 in oral cancer cells [62].
As a key epigenetic regulator, DNA methyltransferase is crucial in controlling mammalian gene expression by silencing specific genes, including tumor suppressor genes, making it a potent therapeutic target in cancer [63]. Through structure-based drug design, secondary metabolites have been demonstrated to inhibit the activity of DNMT1, which has been linked to the advancement of oral cancer. DNMT1 could serve as an immunotherapeutic marker and play a vital role in treating oral squamous cell carcinoma [64]. The in silico development of anticancer drugs targeting human DNMT1 (PDB ID: 4WXX) has been investigated, with Figure 9 illustrating the interaction between bioactive compounds from C. indica seeds and DNMT1 (PDB ID: 4WXX), indicating their potential anticancer activity. Furthermore, Yang et al. reported that inhibiting DNMT1 enhances antitumor immunity in oral squamous cell carcinoma [64]. Molecular docking studies targeting DNMT1 for oral cancer treatment [63], and others, with PDB ID 4WXX have been utilized [65].

Figure 9.
Molecular docking of C. indica seed phytochemicals against the anticancer molecular target of DNMT1 (PDB ID: 4WXX).
2.6. Correlation Between Molecular Drug Targets on Anti-Oral Microbial and Anti-Oral Cancer
The correlation analysis indicated that all of the bioactive compounds from C. indica seeds exhibit similar antimicrobial and anticancer activities (Table 7). A strong positive correlation was observed between the antifungal and anticancer targets, with a correlation coefficient (r) of 0.862. In contrast, the correlation between antibacterial and anticancer targets showed a moderate positive relationship (r = 0.728), while the antifungal and antibacterial targets exhibited a strong positive correlation (r = 0.932). Figure 10 presents a hierarchical cluster analysis, including rescaled distance clustering and a combined analysis of the targets. The results are depicted in a dendrogram created using the Ward method, illustrating major clustering formations related to antifungal and anticancer activities. The dendrogram suggests that the in silico antifungal activity of C. indica seed bioactive compounds is similarly associated with anticancer activity, highlighting their potential as cytotoxic agents.
Table 7.
Correlation matrix of molecular targets (n = 5; C. indica seed phytochemicals).
Figure 10.
Hierarchical tree clustering analysis between the targets (n = 5; C. indica seed bioactive compound binding affinity (kcal/mol) against targets on antimicrobial and anti-oral cancer).
Table 8 illustrates the correlation between the binding affinities of C. indica seed bioactive compounds on various molecular targets. The analysis showed a very strong positive correlation (r = 0.900 to 0.999) between the binding affinities of these compounds (in kcal/mol) against both anticancer and antimicrobial targets, including tetradecane, 1-heptadecene, 1-nonadecene, n-hexadecanoic acid, and dibutyl phthalate. This finding is further supported by a graphical representation in a radar plot (Figure 11). The correlation matrix indicates that the bioactive compounds from the C. indica seeds are similarly involved in the binding affinities across all molecular targets. This suggests that the C. indica seed extract may be effective against multiple diseases and infections, including as an anti-oral microbial agent, thereby reducing the risk of oral cancer development.
Table 8.
Correlation matrix of C. indica seed bioactive compounds (n = 3).
Figure 11.
Graphical representation of the C. indica seed and the bioactive compound binding affinity score, which was similarly involved across all molecular targets for anti-oral microbial and anti-oral cancer.
2.7. Molecular Target Homology Modeling
The primary antibacterial target, S. aureus sortase A (PDB: 1T2W), shares significant homology with other sortase family proteins, including C. perfringens SM101 (Query Cover: 82%; PDB: 7D6P) and S. pneumoniae TIGR4 (Query Cover: 78%; PDB: 2W1J), as identified using NCBI BLAST [66]. For antifungal targeting, C. albicans n-myristoyl transferase (PDB: 1NMT) has a 100% homology with S. cerevisiae peptide n-myristoyltransferase (PDB: 1IIC) and glycylpeptide n-tetradecanoyltransferase (PDB: 2P6E) (Figure 12a,b).
Figure 12.
Molecular target homology modeling using phylogenetic tree analysis. (a) Antibacterial molecular target homology modeling. (b) Antifungal molecular target homology modeling. Red box indicates the targeted protein of micro orgaisms.
C. perfringens, a pathogen producing biofilm-associated enterotoxins, causes gastroenteritis and can persist environmentally. Similarly, S. pneumoniae relies on biofilm formation for nasopharyngeal colonization [67]. S. cerevisiae is frequently employed as a model organism for fungal biofilms and exhibits biofilm characteristics akin to those of pathogenic yeasts, which include responses to quorum sensing, the production of the extracellular matrix, and resistance to antifungal agents [68]. The homology modeling of these organisms offers insights into the biofilm-inhibiting effects of the C. indica seed extract, providing a cost-effective, low-risk approach to predicting the compound or inhibitor mechanisms in antimicrobial research.
3. Materials and Methods
3.1. C. indica Seed Collection and Extraction
C. indica seeds (comprising both the kernel and seed coat; Figure 13) were sourced from Tamil Nadu’s Thanjavur District. The species was authenticated and documented as voucher specimen RSV01, which is now housed in the Rapinat Herbarium at St. Joseph’s College, Thiruchirappalli, under the verification of Dr. John Britto, Director of the Herbarium. The seeds were meticulously washed multiple times with distilled water to eliminate any residual impurities. Subsequently, the clean seeds were spread on plain paper and air-dried in shaded conditions at ambient temperature for 10–15 days. Once dried, the seeds were finely pulverized using a mortar and pestle. The resulting powder underwent ethanol extraction for 24 h. The supernatant was decanted into a China dish, and the solvent was evaporated by placing the dish in a water bath at 40–50 °C. The extract was further concentrated until complete solvent removal, yielding a semi-solid extract from the seeds.
Figure 13.
Collection of C. indica seeds.
3.2. Phytochemical Screening of C. indica Seeds
The ethanolic extracts were analyzed to determine the preliminary phytochemical composition [69]. A Shimadzu 2010 Plus system, equipped with a GC-MS interface and an AOC-20i auto-sampler, was employed for the GC-MS analysis (Shimadzu GC 2010 Plus Tokyo, Japan). The relative abundance of each compound was calculated by comparing the average peak area of each constituent to the total peak area (Turbo Mass software, version 5.2.0). Component identification was performed by comparing the mass spectra to those in the NIST and WILEY spectral libraries. The spectra of unknown compounds were matched against the database to ascertain their identities. The test compounds were characterized by their names, molecular weights, and structural formulae.
3.3. Quantitative Estimation of Total Phenolic and Total Flavonoid Contents
The total phenolic content was quantified using the Folin–Ciocalteu assay; the results were reported as mg of gallic acid equivalents (GAEs) per gram of C. indica seed extract. Similarly, the total flavonoid content was measured via an aluminum chloride colorimetric assay [70], with slight modifications. The flavonoid concentration was expressed as milligrams of quercetin equivalents (QEs) per gram of C. indica seed extract.
3.4. In Vitro Antioxidant Activity
3.4.1. DPPH Radical Scavenging Activity
The DPPH radical scavenging activity was assessed following the method in [71]. Briefly, 0.5 mL of C. indica seed ethanolic extract at varying concentrations (from 10 to 80 µg/mL) was combined with 2 mL of DPPH (Himedia, Mumbai, India) methanolic solution (25 µg/mL). The mixture was thoroughly shaken and allowed to stand in the dark at room temperature for 30 min. Absorbance was then recorded at 517 nm using a spectrophotometer (SYSTRONICS, Ahmedabad, India). Ascorbic acid was used as a reference standard, and the scavenging rate was calculated by Equation (1).
3.4.2. ABTS Free Radical Scavenging Assay
The ABTS scavenging capacity was assessed [72]. A radical cation solution was prepared by mixing a 7 mM ABTS (Himedia, Mumbai, India) stock solution with 2.45 mM potassium persulfate and allowing the mixture to react in darkness at room temperature for 10–16 h. The ABTS•+ solution was then diluted with water to absorb 0.70 ± 0.02 at 734 nm. The ABTS•+ 3.0 mL was mixed with 1 mL of C. indica seed ethanolic extract at concentrations ranging from 10 to 80 µg/mL. After a 6-min incubation, the absorbance at 734 nm was recorded. The scavenging activity was calculated using Equation (1), with ascorbic acid (AA) as the standard reference.
3.4.3. Nitric Oxide (NO) Scavenging Assay
The nitric oxide (NO) radical scavenging activity of the C. indica seed ethanolic extract was evaluated [73]. A 2 mL 10 mM sodium nitroprusside (Himedia, Mumbai, India) solution was prepared in 0.5 mL phosphate-buffered saline (pH of 7.4) and mixed with 0.5 mL of C. indica extract at concentrations ranging from 10 to 80 µg/mL. This mixture was incubated at 25 °C for 150 min. After incubation, 0.5 mL of Griess reagent (0.1% n-(1-naphthyl) ethylenediamine dihydrochloride, 2% H3PO4, and 1% sulfanilamide) was added. Following an additional 30-min incubation at room temperature, the absorbance was measured at 546 nm. The NO scavenging activity was calculated using Equation (1), with AA as a reference standard.
3.4.4. Hydrogen Peroxide (H2O2) Scavenging Activity
The hydrogen peroxide (H2O2) scavenging activity of the C. indica seed ethanolic extract was assessed [74]. A 4 mM H2O2 solution (Himedia, Mumbai, India) was prepared in phosphate-buffered saline (PBS, pH of 7.4; (Himedia, Mumbai, India)). To evaluate the scavenging activity, 4 mL of C. indica seed ethanolic extract, at concentrations ranging from 10 to 80 µg/mL, was mixed with 0.6 mL of the H2O2 solution. After a 10-min incubation, the absorbance was recorded at 230 nm. A blank containing the extract in PBS without H2O2 was used as a control. The scavenging rate was calculated using Equation (1), with the AA standard.
The radical scavenging activity was calculated as follows:
where Ac is the absorbance of the control and As is the absorbance of the sample. The IC50 value, representing the concentration required to inhibit 50% of DPPH radicals, was derived using regression analysis (concentration vs. % inhibition).
% of Inhibition = [(Ac − As)/Ac] × 100
3.4.5. The Antioxidant Activity Index
The antioxidant activity index (AAI) was calculated using the following formula:
AAI = Final concentration of DPPH radical (µg/mL)/IC50 (µg/mL)
The AAI values of the extract were evaluated [75], which defines the antioxidant efficacy as follows: poor (<0.5), moderate (0.5–1.0), strong (1.0–2.0), and very strong (>2.0).
3.5. Antimicrobial Activity
3.5.1. MIC and MBC/MFC Evaluation
The antimicrobial activity of C. indica seed ethanolic extract was assessed with the MIC and MBC/MFC tests, with a tiny portion being modified [76]. The ethanolic extract of the C. indica seeds (CISEE) was prepared in 10 different concentrations, ranging from 5 to 50 µg/mL, and its MIC was determined [76]. MIC represents the lowest concentration of the extract that inhibits the visible growth of the microbial community. To assess the MBC or MFC, 10 µL aliquots from the MIC tube were plated onto nutrient agar (NA) and potato dextrose agar (PDA) plates. These plates were incubated at 37 °C for 24 to 48 h, and the MBC/MFC was identified as the lowest extract concentration that completely inhibited the visible growth on the surface of the agar plates.
3.5.2. Bacterial Biofilm Formation Inhibition
The impact of the C. indica seed ethanolic extracts on biofilm formation was assessed using a modified protocol [77]. A broth inoculum (300 µL, final concentration of 106 CFU/mL) was dispensed into each well, with sub-MBC concentrations of C. indica extract (25, 50, and 75% of MBC) added. Controls included extract-free wells, wells with ethanol only, and medium-only wells. Following a 48-h incubation at 37 °C, the supernatant was removed, and the wells were rinsed with sterile distilled water to remove planktonic cells. The biofilm was stained with 0.1% crystal violet for 15 min at room temperature. After rinsing three times with distilled water, 250 µL of 95% ethanol was added to dissolve the bound dye, and the absorbance at 570 nm was measured after a 15-min incubation.
The specific biofilm formation (SBF) was calculated using the following formula:
where SBF represents the specific biofilm formation; AB is the OD at 570 nm of stained, attached cells; CW is the OD at 570 nm of the control wells (bacteria-free medium); G is the OD at 630 nm for cell growth in broth.
SBF = AB − CW/G,
3.5.3. Candida sp. Biofilm Formation Inhibition
Furletti et al. [78] utilized an inoculum containing 2% sucrose and 2.5 × 105 CFU/mL to evaluate the impact of subminimum fungicidal concentrations (25, 50, and 75% of MFC) of C. indica seed ethanolic extracts on Candida biofilm formation, using a method similar to that for the bacterial biofilm inhibition described in [77]. Absorbance readings at 600 nm were recorded, and the percentage inhibition of biofilm formation was calculated by comparing the absorbance values of the tested concentrations with the growth control, as outlined by Jovito et al. [34].
3.5.4. Antimicrobial Susceptibility Test
The antimicrobial susceptibility of the ethanolic extract of C. indica seeds was assessed using a modified Kirby–Bauer disk diffusion method [79] via agar well diffusion. Test organisms, S. aureus (MTCC 3160) and C. albicans (MTCC 183), were cultured in nutrient broth and potato dextrose broth, respectively, and incubated at 37 °C for 24–48 h to achieve a turbidity equivalent to 0.5 McFarland standards (1.5 × 108 CFU/mL). The standardized cultures were spread on nutrient agar and potato dextrose agar plates. Wells (5 mm) were bored in the medium, and each concentration (50–100 µg/mL) of C. indica seed extract was added (50 µL) to three wells, with 30 µL of chloramphenicol (25 mg/mL of concentration) for bacteria and fluconazole (25 mg/mL of concentration) for fungi in the fourth well. Plates were incubated at 37 °C for 24 h (bacteria) and 48 h (fungi), and the zones of inhibition (ZOIs) were measured in millimeters to assess the antimicrobial activity.
3.5.5. Cytotoxicity Activity
The cytotoxic effect of the test compound on OECM-1 (human oral squamous carcinoma cells obtained from National Center for Cell Science (Pune, India) cells was evaluated using the MTT assay [80]. Approximately 20,000 cells per well were seeded in a 200 µL cell suspension in a 96-well plate (Corning, Somerville, MA, USA) and allowed to adhere overnight. Varying concentrations of the C. indica seed ethanolic extract (from 50 to 250 µg/mL) were added, with cisplatin (23.5 µM) as the positive control and ethanol as the negative control. The plate was incubated at 37 °C in a 5% CO2 atmosphere for 24 h. After incubation, the medium was discarded and MTT reagent (Himedia, Mumbai, India) (0.5 mg/mL) was added to each well. The plate was then incubated for an additional three hours. Following this, 100 µL of DMSO (Himedia, Mumbai, India) was added to dissolve the formazan crystals. The absorbance was measured at 570 nm, with 630 nm as the reference wavelength, using an ELISA reader (LX-800, BioTek, Winooski, VT, USA) or spectrophotometer (SYSTRONICS, Ahmedabad, India).
3.5.6. Antiproliferative Activity Using a Yeast Cell Model
The antiproliferative activity of the C. indica seed ethanolic extract was assessed using a yeast cell model [81]. A seeded broth was prepared by mixing 100 mL of sterilized nutrient broth with 5 g of commercially available yeast and incubating the mixture at 37 °C for 24 h. To achieve approximately 25.4 × 104 cells, 1 mL of the seeded broth was diluted with 10 mL of sterile distilled water [82]. Each concentration of C. indica seed ethanolic extract (50–250 µg/mL) was combined with 1 mL of yeast inoculum and 2.5 mL of potato dextrose broth (PDB; Himedia, Mumbai, India), while the control contained only yeast inoculum and PDB. The test tubes were incubated at 37 °C for 24 h. After incubation, the cell viability was evaluated by mixing the cell suspension with 0.1% methylene blue and examining it under a low-power microscope. The number of living (transparent) and dead (blue-stained) cells in 16 hemocytometer chambers was counted, and the mean number of cells/mL and cell viability (%) was calculated using the following formulae:
Viable cells/mL = average no. of viable cells in one square × dilution factor × 104
Percentage of cell viability = Total viable cells/Total cells × 100
3.5.7. Selectivity Index (SI) Calculation
The calculation of the SI was performed using an EC50 of the extract in a normal cell line/EC50 of the extract in a cancer cell line, where the EC50 is the concentration required to kill 50% of the cell population [42].
3.6. Molecular Docking of Phytochemicals from Caralluma indica Seeds Was Conducted Against Molecular Targets
The target proteins associated with oral infection (sortase A, PDB: 1T2W; N-myristoyltransferase, PDB: 1NMT) and oral cancer (DNMT1, PDB: 4WXX) were retrieved from the Protein Data Bank (PDB: https://www.rcsb.org), while the phytochemical ligands from C. indica seeds were obtained from PubChem (https://pubchem.ncbi.nlm.nih.gov/). The ligands were converted to PDB format using OpenBabel software (Version 2.4.1). Before docking, water and ligand molecules were removed from the target proteins, and the modified proteins were saved in PDB format using PyMOL (Version 2.3.2). Molecular docking was conducted with PyRx (Version 0.8), utilizing a virtual screening tool with specified grid dimensions [83]. The resulting docked complexes were visualized using PyMOL, BIOVIA Discovery Studio Visualizer (Version 2021), and UCSF Chimera (Version 1.14).
3.7. Statistical Analysis
All of the experiments were conducted in triplicate (n = 3). Data analysis was performed using one-way ANOVA, followed by post hoc Duncan’s multiple range test (DMRT), with IBM SPSS Version 20.0. Statistical significance was defined as * p < 0.05, and * NS p > 0.05 was considered as statistically non-significant.
4. Conclusions
C. indica seeds represent a rich source of phenolic compounds, with GC-MS highlighting the existence of 30 phytochemicals, including the following 5 notable bioactive compounds: tetradecane, 1-heptadecene, 1-nonadecene, n-hexadecanoic acid, and dibutyl phthalate. These compounds are associated with antimicrobial, antioxidant, and anticancer properties. The ethanolic extract of C. indica seeds exhibits hydrogen-donating properties, contributing to its antioxidant capabilities, which may play a role in cancer prevention. Additionally, this extract has demonstrated significant antimicrobial and cytotoxicity effects against oral pathogens, OECM-1 cell lines, and yeast cells. The computational analysis corroborates the antimicrobial and anticancer properties of the phytochemicals in C. indica seeds, supported by statistical correlation coefficients, dendrograms, and radar plots. According to the post-docking findings, antifungal and anticancer targets have a strong positive association, pointing to a shared characteristic of eukaryotic organisms that may aid in the creation of cytotoxic drugs. This interplay indicates that antifungal agents could potentially lower the chance of developing cancer. The current study provides evidence endorsing the application of C. indica seeds for treating oral microbial infections, particularly through inhibiting biofilm formation, thereby potentially reducing the risk of oral cancer.
Author Contributions
Conceptualization and methodology, S.V.R.; software, S.V.R. and S.B.; validation, S.V.R., S.B. and R.V.; formal analysis, S.V.R., S.B. and K.R.; investigation, K.R., V.G.S. and A.K.A.; resources, V.G.S.; data curation, M.K.A.-S., V.G.S. and A.K.A.; writing—original draft preparation, S.V.R. and S.B.; writing—review and editing, A.K.A. and R.V.; supervision, S.V.R. and R.V.; funding acquisition, M.K.A.-S. All authors have read and agreed to the published version of the manuscript.
Funding
The authors would like to extend their sincere appreciation to the Researchers Supporting Project Number (RSP2024R410), King Saud University, Riyadh, Saudi Arabia.
Institutional Review Board Statement
Not applicable.
Informed Consent Statement
Not applicable.
Data Availability Statement
The data that support the findings of this study are available from the corresponding author upon reasonable request.
Acknowledgments
The authors would like to extend their sincere appreciation to the Researchers Supporting Project Number (RSP2024R410), King Saud University, Riyadh, Saudi Arabia.
Conflicts of Interest
The authors declare no conflicts of interest.
References
- Tuominen, H.; Rautava, J. Oral microbiota and cancer development. Pathobiology 2021, 88, 116–126. [Google Scholar] [CrossRef] [PubMed]
- Fujiwara, N.; Kitamura, N.; Yoshida, K.; Yamamoto, T.; Ozaki, K.; Kudo, Y. Involvement of fusobacterium species in oral cancer progression: A literature review including other types of cancer. Int. J. Mol. Sci. 2020, 21, 6207. [Google Scholar] [CrossRef] [PubMed]
- Karpiński, T.M. Role of oral microbiota in cancer development. Microorganisms 2019, 7, 20. [Google Scholar] [CrossRef] [PubMed]
- Stasiewicz, M.; Karpiński, T.M. The oral microbiota and its role in carcinogenesis. Semin. Cancer Biol. 2022, 86, 633–642. [Google Scholar] [CrossRef]
- Wang, J.; Gao, B. Mechanisms and Potential Clinical Implications of Oral Microbiome in Oral Squamous Cell Carcinoma. Curr. Oncol. 2023, 31, 168–182. [Google Scholar] [CrossRef]
- Lu, M.; Xuan, S.; Wang, Z. Oral microbiota: A new view of body health. Food Sci. Hum. Wellness 2019, 8, 8–15. [Google Scholar] [CrossRef]
- Choi, E.; Murray, B.; Choi, S. Biofilm and Cancer: Interactions and Future Directions for Cancer Therapy. Int. J. Mol. Sci. 2023, 24, 12836. [Google Scholar] [CrossRef]
- Vestby, L.K.; Grønseth, T.; Simm, R.; Nesse, L.L. Bacterial biofilm and its role in the pathogenesis of disease. Antibiotics 2020, 9, 59. [Google Scholar] [CrossRef]
- Kostic, A.D.; Chun, E.; Robertson, L.; Glickman, J.N.; Gallini, C.A.; Michaud, M.; Garrett, W.S. Fusobacterium nucleatum potentiates intestinal tumorigenesis and modulates the tumor-immune microenvironment. Cell Host Microbe 2013, 14, 207–215. [Google Scholar] [CrossRef]
- Jadhav, A.T.; Tale, V.S. Isolation and characterization of biofilm forming Streptococcus species from oral flora of cancer patients. Int. J. Curr. Microbiol. Appl. Sci. 2015, 2, 38–47. [Google Scholar]
- Zhao, H.; Chu, M.; Huang, Z.; Yang, X.; Ran, S.; Hu, B.; Liang, J. Variations in oral microbiota associated with oral cancer. Sci. Rep. 2017, 7, 11773. [Google Scholar] [CrossRef] [PubMed]
- Irfan, M.; Delgado, R.Z.R.; Frias-Lopez, J. The oral microbiome and cancer. Front. Immunol. 2020, 11, 591088. [Google Scholar] [CrossRef] [PubMed]
- McIlvanna, E.; Linden, G.J.; Craig, S.G.; Lundy, F.T.; James, J.A. Fusobacterium nucleatum and oral cancer: A critical review. BMC Cancer 2021, 21, 1212. [Google Scholar] [CrossRef] [PubMed]
- Ayuningtyas, N.F.; Mahdani, F.Y.; Pasaribu, T.A.S.; Chalim, M.; Ayna, V.K.P.; Santosh, A.B.R.; Surboyo, M.D.C. Role of Candida albicans in oral carcinogenesis. Pathophysiology 2022, 29, 650–662. [Google Scholar] [CrossRef]
- Vadovics, M.; Ho, J.; Igaz, N.; Alföldi, R.; Rakk, D.; Veres, É.; Gácser, A. Candida albicans enhances the progression of oral squamous cell carcinoma in vitro and in vivo. mBio 2022, 13, e03144-21. [Google Scholar] [CrossRef]
- Tasso, C.O.; Ferrisse, T.M.; de Oliveira, A.B.; Ribas, B.R.; Jorge, J.H. Candida species as potential risk factors for oral squamous cell carcinoma: Systematic review and meta-analysis. Cancer Epidemiol. 2023, 86, 102451. [Google Scholar] [CrossRef]
- Butnariu, M.; Quispe, C.; Sharifi-Rad, J.; Pons-Fuster, E.; Lopez-Jornet, P.; Zam, W.; Das, T.; Dey, A.; Kumar, M.; Pentea, M.; et al. Naturally-Occurring Bioactives in Oral Cancer: Preclinical and Clinical Studies, Bottlenecks and Future Directions. Front. Biosci. 2022, 14, 24. [Google Scholar] [CrossRef]
- Lee, T.Y.; Tseng, Y.H. The potential of phytochemicals in oral cancer prevention and therapy: A review of the evidence. Biomolecules 2020, 10, 1150. [Google Scholar] [CrossRef]
- Mateș, L.; Rusu, M.E.; Popa, D.S. Phytochemicals and biological activities of walnut septum: A systematic review. Antioxidants 2023, 12, 604. [Google Scholar] [CrossRef]
- Zain, M.E.; Awaad, A.S.; Al-Othman, M.R.; Alafeefy, A.M.; El-Meligy, R.M. Biological activity of fungal secondary metabolites. Int. J. Chem. Appl. Biol. Sci. 2014, 1, 14. [Google Scholar] [CrossRef]
- Al-Rimawi, F.; Khalid, M.; Salah, Z.; Zawahreh, M.A.; Alnasser, S.M.; Alshammari, S.O.; Bourhia, M. Anticancer, antioxidant, and antibacterial activity of chemically fingerprinted extract from Cyclamen persicum Mill. Sci. Rep. 2024, 14, 8488. [Google Scholar]
- Sembiring, E.N.; Elya, B.; Sauriasari, R. Phytochemical screening, total flavonoid and total phenolic content and antioxidant activity of different parts of Caesalpinia bonduc (L.) Roxb. Pharmacogn. J. 2018, 10, 123–127. [Google Scholar] [CrossRef]
- More, K.; Tayade, S.; Gawande, P.; Manik, S.; Shelke, D. Antioxidant and antimicrobial potential of Canavalia gladiata (Jacq.) DC. Leaves and Seeds: GC-MS based metabolic profiling. Indian J. Nat. Prod. Resour. 2022, 13, 163–169. [Google Scholar]
- Patil, V.T.; Jadhav, V.D. GC-MS and FTIR analysis of methanolic leaf extract of Rhynchosia minima (L.) DC. Curr. Bot. 2020, 11, 221–225. [Google Scholar] [CrossRef]
- Arora, S.; Meena, S. GC-MS profiling of Ceropegia bulbosa Roxb. var. bulbosa, an endangered plant from Thar desert, Rajasthan. Pharma Innov. J. 2017, 568, 568–573. [Google Scholar]
- Sermakkani, M.; Thangapandian, V. GC-MS analysis of Cassia italica leaf methanol extract. Asian J. Pharm. Clin. Res. 2012, 5, 90–94. [Google Scholar]
- Priya, V.; Jananie, R.K.; Vijayalakshmi, K. GC/MS determination of bioactive components of Trigonella foenum grecum. J. Chem. Pharm. Res. 2011, 3, 35–40. [Google Scholar]
- Sahoo, S.; Ghosh, G.; Nayak, S. Evaluation of in vitro antioxidant activity of leaf extract of Alp. Malaccensis. J. Med. Plants Res. 2012, 6, 4032–4038. [Google Scholar]
- Mathew, S.; Abraham, T.E. In vitro antioxidant activities and scavenging effects of Cinnamomum verum leaf extract assayed by different methodologies. J. Food. Chem. Toxicol. 2006, 44, 198–206. [Google Scholar] [CrossRef]
- Shahinuzzaman, M.; Yaakob, Z.; Anuar, F.H.; Akhtar, P.; Kadir, N.H.A.; Hasan, A.M.; Akhtaruzzaman, M. In vitro antioxidant activity of Ficus carica L. latex from 18 different cultivars. Sci. Rep. 2020, 10, 10852. [Google Scholar] [CrossRef]
- Abdi, R.D.; Dego, O.K. Antimicrobial activity of Persicaria pensylvanica extract against Staphylococcus aureus. Eur. J. Integr. Med. 2019, 29, 100921. [Google Scholar] [CrossRef]
- Beigom, M.; Biabangard, A.; Behzadmehr, R. Evaluation of the antimicrobial activity of plant extracts on Escherichia coli and Candida albicans. Micro Environer 2021, 1, 86–92. [Google Scholar] [CrossRef]
- Sánchez, E.; Morales, C.R.; Castillo, S.; Leos-Rivas, C.; García-Becerra, L.; Martínez, D.M.O. Antibacterial and antibiofilm activity of methanolic plant. extracts against Nosocomial microorganisms. Evid. Based Complement. Altern. Med. 2016, 2016, 1572697. [Google Scholar] [CrossRef]
- Jovito, V.D.C.; Lima, J.M.D.; Rangel, M.D.L.; Gondim, B.L.C.; Nogueira, P.L.; Medeiros, A.C.D.D.; Castellano, L.R.C. Anticandida and antibiofilm activities of extract from Schinopsis brasiliensis Engl. against Candida spp. Braz. Oral Res. 2024, 38, e016. [Google Scholar] [CrossRef] [PubMed]
- Vikram, A.; Jayaprakasha, G.K.; Jesudhasan, P.R.; Pillai, S.D.; Patil, B.S. Suppression of bacterial cell-cell signalling, bioflm formation and type III secretion system by citrus flavonoids. J. Appl. Microbiol. 2010, 109, 515–527. [Google Scholar] [CrossRef] [PubMed]
- Kalbassi, S.; Yarahmadi, M.; Mohammadifard, H.; Ahmadi, F. The antibiofilm and antibacterial effects of medicinal plant extracts on isolated sulfate-reducing bacteria from orthodontic appliances. Food Sci. Technol. 2022, 42, e38322. [Google Scholar] [CrossRef]
- Mostafa, A.A.; Al-Askar, A.A.; Almaary, K.S.; Dawoud, T.M.; Sholkamy, E.N.; Bakri, M.M. Antimicrobial activity of some plant extracts against bacterial strains causing food poisoning diseases. Saudi J. Biol. Sci. 2018, 25, 361–366. [Google Scholar] [CrossRef]
- Boroujeni, H.R.; Pirbalouti, A.G.; Hamedi, B.; Abdizadeh, R.; Malekpoor, F. Anti-Candida activity of ethanolic extracts of Iranian endemic medicinal herbs against Candida albicans. J. Med. Plants Res. 2012, 6, 2448–2452. [Google Scholar]
- Chandra, S.; Gahlot, M.; Choudhary, A.N.; Palai, S.; de Almeida, R.S.; de Vasconcelos, J.E.L.; Coutinho, H.D.M. Scientific evidences of anticancer potential of medicinal plants. Food Chem. Adv. 2023, 2, 100239. [Google Scholar] [CrossRef]
- Periyanayagam, K.; Kasirajan, B.; Karthikeyan, V.; Kumuda, R.I.T. Vitis vinifera L. (Vitaceae) leaves towards antimitotic and anti-proliferative activity in anticancer drug discovery. Innovare J. Health Sci. 2013, 1, 3–6. [Google Scholar]
- Cal, B.B.; Araújo, L.B.; Nunes, B.M.; da Silva, C.R.; Oliveira, M.B.; Soares, B.O.; Dantas, F.J. Cytotoxicity of Extracts from Petiveria alliacea leaves on Yeast. Plants 2022, 11, 3263. [Google Scholar] [CrossRef] [PubMed]
- Koch, A.; Tamez, P.; Pezzuto, J.; Soejarto, D. Evaluation of plants used for antimalarial treatment by the Maasai of Kenya. J. Ethnopharmacol. 2005, 101, 95–99. [Google Scholar] [CrossRef] [PubMed]
- Hosseinpour, M.; Mobini-Dehkordi, M.; Saffar, B.; Teimori, H. Antiproliferative effects of Matricaria chamomilla on S. cerevisiae. J. HerbMed Pharmacol. 2013, 2, 49–51. [Google Scholar]
- Simon, J.A.; Bedalov, A. Yeast as a model system for anticancer drug discovery. Nat. Rev. Cancer 2004, 4, 481–487. [Google Scholar] [CrossRef]
- Shivpuje, P.; Ammanangi, R.; Bhat, K.; Katti, S. Effect of Ocimum sanctum on Oral Cancer Cell Line: An in vitro Study. J. Contemp. Dent. Pract. 2015, 16, 709–714. [Google Scholar] [CrossRef]
- Rajagopalan, P.; Wahab, S.; Dera, A.A.; Chandramoorthy, H.C.; Irfan, S.; Patel, A.A.; Ahmad, I. Anti-cancer activity of ethanolic leaf extract of Salvia officinalis against oral squamous carcinoma cells in vitro via caspase-mediated mitochondrial apoptosis. Pharmacogn. Mag. 2020, 16, 554. [Google Scholar]
- Prakash, S.; Radha; Kumar, M.; Kumari, N.; Thakur, M.; Rathour, S.; Mekhemar, M. Plant-based antioxidant extracts and compounds in the management of oral cancer. Antioxidants 2021, 10, 1358. [Google Scholar] [CrossRef]
- Valko, M.; Leibfritz, D.; Moncol, J.; Cronin, M.T.D.; Mazur, M.; Telser, J. Free radicals and antioxidants in normal physiological functions and human disease. Int. J. Biochem. Cell Biol. 2007, 39, 44–84. [Google Scholar] [CrossRef]
- Mustafa, K.; Yu, S.; Zhang, W.; Mohamed, H.; Naz, T.; Xiao, H.; Song, Y. Screening, characterization, and in vitro-ROS dependent cytotoxic potential of extract from Ficus carica against hepatocellular (HepG2) carcinoma cells. S. Afr. J. Bot. 2021, 138, 217–226. [Google Scholar] [CrossRef]
- Ajayi, B.E.; Oboh, B.; Minari, J.B.; Sexton, D.W.; Sarker, S.D.; Fatokun, A.A. Cola rostrata K. Schum. constituents induce cytotoxicity through reactive oxygen species generation and mitochondrial membrane depolarisation. Explor. Target. Anti-Tumor Ther. 2023, 4, 1328. [Google Scholar] [CrossRef]
- Guha, S.; Talukdar, D.; Mandal, G.K.; Mukherjee, R.; Ghosh, S.; Naskar, R.; Das, G. Crude extract of Ruellia tuberosa L. flower induces intracellular ROS, promotes DNA damage and apoptosis in Triple Negative Breast Cancer Cells. J. Ethnopharmacol. 2024, 332, 118389. [Google Scholar] [CrossRef] [PubMed]
- Vallejo, M.J.; Salazar, L.; Grijalva, M. Oxidative stress modulation and ROS-mediated toxicity in cancer: A review on in vitro models for plant-derived compounds. Oxidative Med. Cell. Longev. 2017, 2017, 4586068. [Google Scholar] [CrossRef] [PubMed]
- Zong, Y.; Bice, T.W.; Ton-That, H.; Schneewind, O.; Narayana, S.V. Crystal structures of Staphylococcus aureus sortase A and its substrate complex. J. Biol. Chem. 2004, 279, 31383–31389. [Google Scholar] [CrossRef]
- Lévesque, C.M.; Voronejskaia, E.; Huang, Y.C.C.; Mair, R.W.; Ellen, R.P.; Cvitkovitch, D.G. Involvement of sortase anchoring of cell wall proteins in biofilm formation by Streptococcus mutans. Infect. Immun. 2005, 73, 3773–3777. [Google Scholar] [CrossRef]
- Obaid, N.A.; Alkhudhir, N.A.; Mojally, M.; Abou Rehab, M.; Albohy, A. In silico identification of new potential inhibitors of quorum sensing by gram-positive bacteria through specialized molecular docking. J. Umm Al-Qura Univ. Appl. Sci. 2024, 10, 83–90. [Google Scholar] [CrossRef]
- Thappeta, K.R.V.; Zhao, L.N.; Nge, C.E.; Crasta, S.; Leong, C.Y.; Ng, V.; Kanagasundaram, Y.; Fan, H.; Ng, S.B. In-silico identified new natural sortase a inhibitors disrupt S. aureus biofilm formation. Int. J. Mol. Sci. 2020, 21, 8601. [Google Scholar] [CrossRef]
- Wang, H.; Xu, X.; Wang, J.; Qiao, Y. The role of N-myristoyltransferase in tumour development. Ann. Med. 2023, 55, 1422–1430. [Google Scholar] [CrossRef]
- Javid, S.; Ather, H.; Hani, U.; Siddiqua, A.; Asif Ansari, S.M.; Shanmugarajan, D.; Kumar, B.P. Discovery of novel myristic acid derivatives as N-myristoyltransferase inhibitors: Design, synthesis, analysis, computational studies and antifungal activity. Antibiotics 2023, 12, 1167. [Google Scholar] [CrossRef]
- Meenambiga, S.S.; Rajagopal, K. Antibiofilm activity and molecular docking studies of bioactive secondary metabolites from endophytic fungus Aspergillus nidulans on oral Candida albicans. J. Appl. Pharm. Sci. 2018, 8, 37–45. [Google Scholar]
- Chen, S.H.; Sheng, C.Q.; Xu, X.H.; Jiang, Y.Y.; Zhang, W.N.; He, C. Identification of Y118 amino acid residue in Candida albicans sterol 14alphademethylase associated with the enzyme activity and selective antifungal activity of azole analogues. Biol. Pharm. Bull. 2007, 30, 1246–1253. [Google Scholar] [CrossRef]
- Hussain, A.; Verma, C.K. Computational Drug Repurposing Resources and Approaches for Discovering Novel Antifungal Drugs against Candida albicans N-Myristoyl Transferase. J. Pure Appl. Microbiol. 2021, 15, 556–579. [Google Scholar] [CrossRef]
- Liu, Y.; Sun, Y.; Yang, J.; Wu, D.; Yu, S.; Liu, J.; Zhou, H. DNMT1-targeting remodeling global DNA hypomethylation for enhanced tumor suppression and circumvented toxicity in oral squamous cell carcinoma. Mol. Cancer 2024, 23, 1–26. [Google Scholar] [CrossRef]
- Zhang, Z.; Wang, G.; Li, Y.; Lei, D.; Xiang, J.; Ouyang, L.; Yang, J. Recent progress in DNA methyltransferase inhibitors as anticancer agents. Front. Pharmacol. 2022, 13, 1072651. [Google Scholar] [CrossRef]
- Yang, S.C.; Wang, W.Y.; Zhou, J.J.; Wu, L.; Zhang, M.J.; Yang, Q.C.; Sun, Z.J. Inhibition of DNMT1 potentiates antitumor immunity in oral squamous cell carcinoma. Int. Immunopharmacol. 2022, 111, 109113. [Google Scholar] [CrossRef]
- Florean, C.; Kim, K.R.; Schnekenburger, M.; Kim, H.J.; Moriou, C.; Debitus, C.; Diederich, M. Synergistic AML cell death induction by marine cytotoxin (+)-1 (R), 6 (S), 1’(R), 6’(S), 11 (R), 17 (S)-fistularin-3 and Bcl-2 inhibitor venetoclax. Mar. Drugs 2018, 16, 518. [Google Scholar] [CrossRef]
- Johnson, M.; Zaretskaya, I.; Raytselis, Y.; Merezhuk, Y.; McGinnis, S.; Madden, T.L. NCBI BLAST: A better web interface. Nucleic Acids Res. 2008, 36, 5–9. [Google Scholar] [CrossRef]
- Blanchette-Cain, K.; Hinojosa, C.A.; Akula Suresh Babu, R.; Lizcano, A.; Gonzalez-Juarbe, N.; Munoz-Almagro, C.; Orihuela, C.J. Streptococcus pneumoniae biofilm formation is strain dependent, multifactorial, and associated with reduced invasiveness and immunoreactivity during colonization. mBio 2013, 4, e00745-13. [Google Scholar] [CrossRef]
- Bojsen, R.K.; Andersen, K.S.; Regenberg, B. Saccharomyces cerevisiae—A model to uncover molecular mechanisms for yeast biofilm biology. FEMS Immunol. Med. Microbiol. 2012, 65, 169–182. [Google Scholar] [CrossRef]
- Sofowora, A. Medicinal Plants and Traditional Medicine in Africa; Spectrum Books Ltd.: Ibadan, Nigeria, 1993; pp. 191–289. [Google Scholar]
- Roy, S.; Pawar, S.; Chowdary, A. Evaluation of in vitro cytotoxic and antioxidant activity of datura metel/linn. and Cynodon dactylon linn. extracts. Pharmacogn. Res. 2016, 8, 123–127. [Google Scholar] [CrossRef]
- Chaves, N.; Santiago, A.; Alías, J.C. Quantification of the Antioxidant Activity of Plant Extracts: Analysis of Sensitivity and Hierarchization Based on the Method Used. Antioxidants 2020, 9, 76. [Google Scholar] [CrossRef]
- Re, R.; Pellegrini, N.; Proteggente, A.; Pannala, A.; Yang, M.; Rice-Evans, C. Antioxidant activity applying an improved ABTS radical cation decolorization assay. Free Radic. Biol. Med. 1999, 26, 1231–1237. [Google Scholar] [CrossRef] [PubMed]
- Shukla, S.; Mehta, A.; Mehta, P.; Bajpai, V.K. Antioxidant ability and total phenolic content of aqueous leaf extract of Stevia rebaudiana Bert. Exp. Toxicol. Pathol. 2012, 64, 807–811. [Google Scholar] [CrossRef] [PubMed]
- Ruch, R.J.; Cheng, S.J.; Klaunig, J.E. Prevention of cytotoxicity and inhibition of intercellular communication by antioxidant catechins isolated from Chinese green tea. Carcinogenesis 1989, 10, 1003–1008. [Google Scholar] [CrossRef] [PubMed]
- Scherer, R.; Godoy, H.T. Antioxidant activity index (AAI) by the 2,2-diphenyl-1-picrylhydrazyl method. Food Chem. 2009, 112, 654–658. [Google Scholar] [CrossRef]
- Wiegand, I.; Hilpert, K.; Hancock, R.E.W. Agar and broth dilution methods to determine the minimal inhibitory concentration (MIC) of antimicrobial substances. Nat. Protoc. 2008, 3, 163–175. [Google Scholar] [CrossRef]
- Antunes, A.L.S.; Trentin, D.S.; Bonfanti, J.W.; Pinto, C.C.F.; Perez, L.R.R.; Macedo, A.J.; Barth, A.L. Application of a feasible method for determination of biofilm antimicrobial susceptibility in staphylococci. APMIS 2010, 118, 873–877. [Google Scholar] [CrossRef]
- Furletti, V.F.; Teixeira, I.P.; Obando-Pereda, G.; Mardegan, R.C.; Sartoratto, A.; Figueira, G.M.; Duarte, R.M.T.; Rehder, V.L.G.; Duarte, M.C.T.; Höfling, J.F. Action of Coriandrum sativum l. Essential oil upon oral Candida albicans biofilm formation. Evid. Based Complement. Altern. Med. 2011, 2011, 985832. [Google Scholar] [CrossRef]
- Biemer, J.J. Antimicrobial susceptibility testing by the Kirby-Bauer disc diffusion method. Ann. Clin. Lab. Sci. 1973, 3, 135–140. [Google Scholar]
- Mosmann, T. Rapid colorimetric assay for cellular growth and survival: Application to proliferation and cytotoxicity assays. J. Immunol. Methods 1983, 65, 55–63. [Google Scholar] [CrossRef]
- Khirallah, S.M.; Ramadan, H.M.M.; Shawky, A.; Qahl, S.H.; Baty, R.S.; Alqadri, N.; Alsuhaibani, A.M.; Jaremko, M.; Emwas, A.-H.; Saied, E.M. Development of Novel 1,3-Disubstituted-2-Thiohydantoin Analogues with Potent Anti-Inflammatory Activity; In Vitro and In Silico Assessments. Molecules 2022, 27, 6271. [Google Scholar] [CrossRef]
- Raheel, R.; Saddiqe, Z.; Iram, M.; Afzal, S. In vitro antimitotic, antiproliferative and antioxidant activity of stem bark extracts of Ficus benghalensis L. S. Afr. J. Bot. 2017, 111, 248–257. [Google Scholar] [CrossRef]
- Trott, O.; Olson, A.J. AutoDock Vina: Improving the speed and accuracy of docking with a new scoring function, efficient optimization, and multithreading. J. Comput. Chem. 2010, 31, 455–461. [Google Scholar] [CrossRef]
Disclaimer/Publisher’s Note: The statements, opinions and data contained in all publications are solely those of the individual author(s) and contributor(s) and not of MDPI and/or the editor(s). MDPI and/or the editor(s) disclaim responsibility for any injury to people or property resulting from any ideas, methods, instructions or products referred to in the content. |
© 2024 by the authors. Licensee MDPI, Basel, Switzerland. This article is an open access article distributed under the terms and conditions of the Creative Commons Attribution (CC BY) license (https://creativecommons.org/licenses/by/4.0/).



















