Impact of Exogenous Lactiplantibacillus plantarum on the Gut Microbiome of Hematopoietic Stem Cell Transplantation Patients Colonized by Multidrug-Resistant Bacteria: An Observational Study
Abstract
1. Introduction
2. Results
2.1. Lactiplantibacillus plantarum
2.2. MDRO Colonization
2.3. Infection
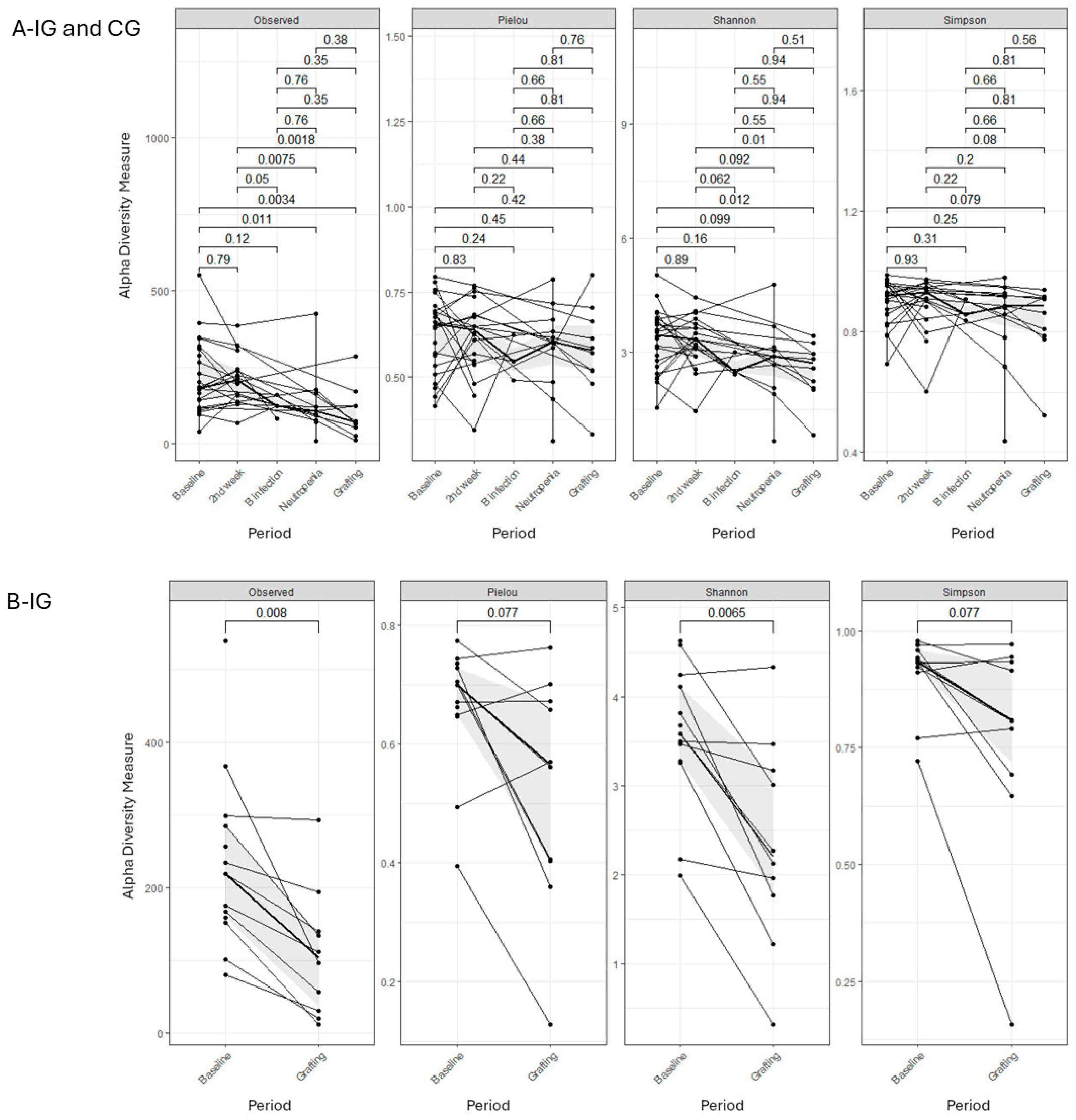
2.4. Stool Microbiome Analysis
2.5. Metagenome Functions
3. Discussion
4. Materials and Methods
4.1. Study Setting
4.2. Study Design
4.3. Lactiplantibacillus plantarum Administration
4.4. Definitions
4.5. Sample Collection
4.6. Microbiome Processing
4.7. Stool Microbiome Analysis
4.8. Statistical Analyses
5. Conclusions
Author Contributions
Funding
Institutional Review Board Statement
Informed Consent Statement
Data Availability Statement
Acknowledgments
Conflicts of Interest
References
- Ferreira, A.; Moreira, F.; Guimaraes, T.; Spadão, F.; Ramos, J.; Batista, M.; Filho, J.; Costa, S.; Rocha, V. Epidemiology, risk factors and outcomes of multi-drug-resistant bloodstream infections in haematopoietic stem cell transplant recipients: Importance of previous gut colonization. J. Hosp. Infect. 2018, 100, 83–91. [Google Scholar] [CrossRef] [PubMed]
- Bilinski, J.; Robak, K.; Peric, Z.; Marchel, H.; Karakulska-Prystupiuk, E.; Halaburda, K.; Rusicka, P.; Swoboda-Kopec, E.; Wroblewska, M.; Wiktor-Jedrzejczak, W.; et al. Impact of Gut Colonization by Antibi-otic-Resistant Bacteria on the Outcomes of Allogeneic Hematopoietic Stem Cell Transplantation: A Retrospective, Single-Center Study. Biol. Blood Marrow Transplant. 2016, 22, 1087–1093. [Google Scholar] [CrossRef]
- Tacconelli, E.; Mazzaferri, F.; de Smet, A.M.; Bragantini, D.; Eggimann, P.; Huttner, B.D.; Kuijper, E.J.; Lucet, J.-C.; Mutters, N.T.; Sanguinetti, M.; et al. ESCMID-EUCIC clinical guidelines on decolonization of multidrug-resistant Gram-negative bacteria carriers. Clin. Microbiol. Infect. 2019, 25, 807–817. [Google Scholar] [CrossRef]
- da Silva, M.B.; Ponce, D.M.; Dai, A.; Devlin, S.M.; Gomes, A.L.C.; Moore, G.F.; Slingerland, J.; Shouval, R.; Armijo, G.K.; DeWolf, S.; et al. Preservation of the fecal microbiome is associated with reduced severity of graft-versus-host disease. Blood 2022, 140, 2385–2397. [Google Scholar] [CrossRef] [PubMed]
- Tanaka, J.S.; Young, R.R.; Heston, S.M.; Jenkins, K.; Spees, L.P.; Sung, A.D.; Corbet, K.; Thompson, J.C.; Bohannon, L.; Martin, P.L.; et al. Anaerobic Antibiotics and the Risk of Graft-versus-Host Disease after Allogeneic Hematopoietic Stem Cell Transplantation. Biol. Blood Marrow Transplant. 2020, 26, 2053–2060. [Google Scholar] [CrossRef] [PubMed]
- Daoud-Asfour, H.; Henig, I.; Ghersin, I.; Rakedzon, S.; Stern, A.; Pitashny, M.; Zuckerman, T.; Bar-Yoseph, H. Omitting Ciprofloxacin Prophylaxis in Patients Undergoing Allogeneic Hematopoietic Stem Cell Transplantation and Its Impact on Clinical Out-comes and Microbiome Structure. Transplant. Cell Ther. 2022, 28, 168.e1–168.e8. [Google Scholar] [CrossRef]
- Taur, Y.; Xavier, J.B.; Lipuma, L.; Ubeda, C.; Goldberg, J.; Gobourne, A.; Lee, Y.J.; Dubin, K.A.; Socci, N.D.; Viale, A.; et al. Intestinal Domination and the Risk of Bacteremia in Patients Undergoing Allogeneic Hematopoietic Stem Cell Transplantation. Clin. Infect. Dis. 2012, 55, 905–914. [Google Scholar] [CrossRef] [PubMed]
- Aira, A.; Fehér, C.; Rubio, E.; Soriano, A. The Intestinal Microbiota as a Reservoir and a Therapeutic Target to Fight Multi-Drug-Resistant Bacteria: A Narrative Review of the Literature. Infect. Dis. Ther. 2019, 8, 469–482. [Google Scholar] [CrossRef] [PubMed]
- Wu, G.; Zhang, C.; Wang, J.; Zhang, F.; Wang, R.; Shen, J.; Wang, L.; Pang, X.; Zhang, X.; Zhao, L.; et al. Diminution of the gut resistome after a gut microbiota-targeted dietary intervention in obese children. Sci. Rep. 2016, 6, 24030. [Google Scholar] [CrossRef]
- Esaiassen, E.; Hjerde, E.; Cavanagh, J.P.; Pedersen, T.; Andresen, J.H.; Rettedal, S.I.; Støen, R.; Nakstad, B.; Willassen, N.P.; Klingenberg, C. Effects of Probiotic Supplementation on the Gut Microbiota and Antibiotic Resistome Development in Preterm Infants. Front. Pediatr. 2018, 6, 347. [Google Scholar] [CrossRef]
- Salomão, M.C.C.; Heluany-Filho, M.A.; Menegueti, M.G.; De Kraker, M.E.A.; Martinez, R.; Bellissimo-Rodrigues, F. A randomized clinical trial on the effectiveness of a symbiotic product to decolonize patients harboring multidrug-resistant Gram-negative bacilli. Rev. Soc. Bras. Med. Trop. 2016, 49, 559–566. [Google Scholar] [CrossRef] [PubMed]
- Hill, C.; Guarner, F.; Reid, G.; Gibson, G.R.; Merenstein, D.J.; Pot, B.; Morelli, L.; Canani, R.B.; Flint, H.J.; Salminen, S.; et al. Expert consensus document: The international scientific association for probiotics and prebiotics consensus statement on the scope and appropriate use of the term probiotic. Nat. Rev. Gastroenterol. Hepatol. 2014, 11, 506–514. [Google Scholar] [CrossRef] [PubMed]
- Ladas, E.J.; Bhatia, M.; Chen, L.; Sandler, E.; Petrovic, A.; Berman, D.M.; Hamblin, F.; Gates, M.; Hawks, R.; Sung, L.; et al. The safety and feasibility of probiotics in children and adolescents undergoing hematopoietic cell transplantation. Bone Marrow Transplant. 2015, 51, 262–266. [Google Scholar] [CrossRef] [PubMed]
- Araos, R.; Tai, A.K.; Snyder, G.M.; Blaser, M.J.; D’Agata, E.M.C. Predominance of Lactobacillus spp. Among Patients Who Do Not Acquire Multidrug-Resistant Organisms. Clin. Infect. Dis. 2016, 63, 937–943. [Google Scholar] [CrossRef] [PubMed]
- Kim, S.W.; Kang, S.I.; Shin, D.H.; Oh, S.Y.; Lee, C.W.; Yang, Y.; Son, Y.K.; Yang, H.S.; Lee, B.H.; An, H.J.; et al. Potential of Cell-Free Supernatant from Lactobacillus plantarum NIBR97, Including Novel Bacteriocins, as a Natural Alterna-tive to Chemical Disinfectants. Pharmaceuticals 2020, 13, 266. [Google Scholar] [CrossRef] [PubMed]
- Yan, R.; Lu, Y.; Wu, X.; Yu, P.; Lan, P.; Wu, X.; Jiang, Y.; Li, Q.; Pi, X.; Liu, W.; et al. Anticolonization of Carbapenem-Resistant Klebsiella pneumoniae by Lactobacillus plantarum LP1812 Through Accumulated Acetic Acid in Mice Intestinal. Front. Cell. Infect. Microbiol. 2021, 11, 804253. [Google Scholar] [CrossRef]
- Lagrafeuille, R.; Miquel, S.; Balestrino, D.; Vareille-Delarbre, M.; Chain, F.; Langella, P.; Forestier, C. Opposing effect of Lactoba-cillus on in vitro Klebsiella pneumoniae in biofilm and in an in vivo intestinal colonisation model. Benef. Microbes 2018, 9, 87–100. [Google Scholar] [CrossRef]
- Li, M.; Lee, K.; Hsu, M.; Nau, G.; Mylonakis, E.; Ramratnam, B. Lactobacillus-derived extracellular vesicles enhance host immune responses against vancomycin-resistant enterococci. BMC Microbiol. 2017, 17, 66. [Google Scholar] [CrossRef]
- Nam, B.; Kim, S.A.; Park, S.D.; Kim, H.J.; Kim, J.S.; Bae, C.H.; Kim, J.Y.; Nam, W.; Lee, J.L.; Sim, J.H. Regulatory effects of Lactobacillus plantarum HY7714 on skin health by improving intestinal condition. PLoS ONE 2020, 15, e0231268. [Google Scholar] [CrossRef]
- Gilliam, C.H.; de Cardenas, J.B.; Carias, D.; Alfaro, G.M.; Hayden, R.T.; Hakim, H. Lactoba-cillus bloodstream infections genetically related to probiotic use in pediatric hematopoietic cell transplant patients. Infect. Control Hosp. Epidemiol. 2023, 44, 484–487. [Google Scholar] [CrossRef]
- Rauseo, A.M.; Hink, T.; Reske, K.A.; Seiler, S.M.; Bommarito, K.M.; Fraser, V.J.; Burnham, C.-A.D.; Dubberke, E.R.; CDC Prevention Epicenter Program. A randomized controlled trial of Lactobacillus rhamnosus GG on antimicrobial-resistant organism colonization. Infect. Control Hosp. Epidemiol. 2021, 43, 167–173. [Google Scholar] [CrossRef]
- D’Angelo, C.; Sudakaran, S.; Asimakopoulos, F.; Hematti, P.; El-Gamal, D.; Safdar, N.; Callander, N. Perturbation of the gut micro-biome and association with outcomes following autologous stem cell transplantation in patients with multiple myeloma. Leuk Lymphoma 2023, 64, 87–97. [Google Scholar] [CrossRef]
- Masetti, R.; Leardini, D.; Muratore, E.; Fabbrini, M.; D’Amico, F.; Zama, D.; Baccelli, F.; Gottardi, F.; Belotti, T.; Ussowicz, M.; et al. Gut microbiota diversity before al-logeneic hematopoietic stem cell transplantation as a predictor of mortality in children. Blood 2023, 142, 1387–1398. [Google Scholar] [CrossRef]
- Carvalho, R.; Vaz, A.; Pereira, F.L.; Dorella, F.; Aguiar, E.; Chatel, J.M.; Bermudez, L.; Langella, P.; Fernandes, G.; Figueiredo, H.; et al. Gut microbiome modulation during treatment of mu-cositis with the dairy bacterium Lactococcus lactis and recombinant strain secreting human antimicrobial PAP. Sci. Rep. 2018, 8, 15072. [Google Scholar] [CrossRef]
- Kim, S.G.; Becattini, S.; Moody, T.U.; Shliaha, P.V.; Littmann, E.R.; Seok, R.; Gjonbalaj, M.; Eaton, V.; Fontana, E.; Amoretti, L.; et al. Microbiota-derived lantibiotic restores resistance against vancomycin-resistant Enterococcus. Nature 2019, 572, 665–669. [Google Scholar] [CrossRef]
- Heidenreich, D.; Kreil, S.; Jawhar, M.; Müller, N.; Nolte, F.; Becker, K.P.; Miethke, T.; Hofmann, W.-K.; Klein, S.A. Course of colonization by multidrug-resistant organ-isms after allogeneic hematopoietic cell transplantation. Ann. Hematol. 2018, 97, 2501–2508. [Google Scholar] [CrossRef]
- Cohen, S.A.; Woodfield, M.C.; Boyle, N.; Stednick, Z.; Boeckh, M.; Pergam, S.A. Incidence and outcomes of bloodstream infections among hematopoietic cell transplant recipients from species commonly reported to be in over-the-counter probiotic formula-tions. Transpl. Infect. Dis. 2016, 18, 699–705. [Google Scholar] [CrossRef]
- Douglas, G.M.; Maffei, V.J.; Zaneveld, J.R.; Yurgel, S.N.; Brown, J.R.; Taylor, C.M.; Huttenhower, C.; Langille, M.G.I. PICRUSt2 for prediction of metagenome functions. Nat. Biotechnol. 2020, 38, 685–688. [Google Scholar] [CrossRef]
- Li, Z.; Lu, G.; Li, Z.; Wu, B.; Luo, E.; Qiu, X.; Guo, J.; Xia, Z.; Zheng, C.; Su, Q.; et al. Altered Actinobacteria and Firmicutes Phylum Associated Epitopes in Patients with Parkinson’s Disease. Front. Immunol. 2021, 12, 632482. [Google Scholar] [CrossRef]
- National Cancer Institute. Common Terminology Criteria for Adverse Events (CTCAE) Verson 5.0; US Department of Health and Human Services, National Institutes of Health, National Cancer Institute: Washington, DC, USA, 2020.
- Siegel, J.D.; Rhinehart, E.; Jackson, M.; Chiarello, L. Management of multi-drug resistant organisms in healthcare settings. J. Korean Med. Assoc. 2018, 61, 26–35. [Google Scholar]
- Woodford, N.; Ellington, M.J.; Coelho, J.M.; Turton, J.F.; Ward, M.E.; Brown, S.; Amyes, S.G.; Livermore, D.M. Multiplex PCR for genes encoding prevalent OXA carbapenemases in Acinetobacter spp. Int. J. Antimicrob. Agents 2006, 27, 351–353. [Google Scholar] [CrossRef]
- Higgins, P.G.; Poirel, L.; Lehmann, M.; Nordmann, P.; Seifert, H. OXA-143, a novel carbapenem-hydrolyzing class D β-lactamase in Acinetobacter baumannii. Antimicrob. Agents Chemother. 2009, 12, 5035–5038. [Google Scholar] [CrossRef]
- Mendes, R.E.; Kiyota, K.A.; Monteiro, J.; Castanheira, M.; Andrade, S.S.; Gales, A.C.; Pignatari, A.C.C.; Tufik, S. Rapid detection and identification of metal-lo-beta-lactamase-encoding genes by multiplex real-time PCR assay and melt curve analysis. J. Clin. Microbiol. 2007, 45, 544–547. [Google Scholar] [CrossRef]
- CDC—Center for Disease Control and Prevention. Bloodstream Infection Event (Central Line-Associated Bloodstream Infection and Non-Central Line-Associated Bloodstream Infection). Available online: https://www.cdc.gov/nhsn/pdfs/pscmanual/4psc_clabscurrent.pdf (accessed on 16 October 2024).
- Ribeiro, R.M.; de Souza-Basqueira, M.; de Oliveira, L.C.; Salles, F.C.; Pereira, N.B.; Sabino, E.C. An alternative storage method for characterization of the intestinal microbiota through next generation sequencing. Rev. Inst. Med. Trop. Sao Paulo 2018, 60, e77. [Google Scholar] [CrossRef]
- Caporaso, J.G.; Lauber, C.L.; Walters, W.A.; Berg-Lyons, D.; Lozupone, C.A.; Turnbaugh, P.J.; Fierer, N.; Knight, R. Global patterns of 16S rRNA diver-sity at a depth of millions of sequences per sample. Proc. Natl. Acad. Sci. USA 2011, 108, 4516–4522. [Google Scholar] [CrossRef]
- Bolyen, E.; Rideout, J.R.; Dillon, M.R.; Bokulich, N.A.; Abnet, C.C.; Al-Ghalith, G.A.; Alexander, H.; Alm, E.J.; Arumugam, M.; Asnicar, F.; et al. Reproducible, interactive, scalable and exten-sible microbiome data science using QIIME 2. Nat. Biotechnol. 2019, 37, 852–857. [Google Scholar] [CrossRef]
- Callahan, B.J.; Mcmurdie, P.J.; Rosen, M.J.; Han, A.W.; Johnson, A.J.A.; Holmes, S.P. DADA2: High-resolution sample inference from Illumina amplicon data. Nat. Methods 2016, 13, 581–583. [Google Scholar] [CrossRef]
- Janssen, S.; McDonald, D.; Gonzalez, A.; Navas-Molina, J.A.; Jiang, L.; Xu, Z.Z.; Winker, K.; Kado, D.M.; Orwoll, E.; Manary, M.; et al. Phylogenetic Placement of Exact Amplicon Sequences Improves Associations with Clinical Information. mSystems 2018, 3, e00021-18. [Google Scholar] [CrossRef]
- Mirarab, S.; Nguyen, N.; Warnow, T. SEPP: SATé-Enabled Phylogenetic Placement. In Proceedings of the Pacific Symposium on Biocomputing, Kohala Coast, HI, USA, 3–7 January 2012; pp. 247–258. [Google Scholar]
- Faith, D.P. Conservation evaluation and phylogenetic diversity. Biol. Conserv. 1992, 61, 1–10. [Google Scholar] [CrossRef]
- Lozupone, C.A.; Hamady, M.; Kelley, S.T.; Knight, R. Quantitative and Qualitative β Diversity Measures Lead to Different Insights into Factors That Structure Microbial Communities. Appl. Environ. Microbiol. 2007, 73, 1576–1585. [Google Scholar] [CrossRef]
- Lozupone, C.; Knight, R. UniFrac: A New Phylogenetic Method for Comparing Microbial Communities. Appl. Environ. Microbiol. 2005, 71, 8228–8235. [Google Scholar] [CrossRef] [PubMed]
- Segata, N.; Izadt, J.; Waldron, L.; Gebers, D.; Miropolsky, L.; Garrett, W.S.; Hutternhower, C. Metagenomic biomarker discovery and explanation. Genome Biol. 2011, 12, R60. [Google Scholar] [CrossRef] [PubMed]
- Bokulich, N.A.; Kaehler, B.D.; Rideout, J.R.; Dillon, M.; Boleyn, E.; Knight, R.; Huttley, G.A.; Caporaso, J.G. Optimizing taxonomic classification of marker-gene amplicon sequences with QIIME 2’s q2-feature-classifier plugin. Microbiome 2018, 6, 90. [Google Scholar] [CrossRef] [PubMed]
- Mandal, S.; Van Treuren, W.; White, R.A.; Eggesbø, M.Å.; Knight, R.T.; Peddada, S.D. Analysis of composition of microbiomes: A novel method for studying microbial composition. Microb. Ecol. Health Dis. 2015, 26, 27663. [Google Scholar] [CrossRef]
- Yang, C.; Mai, J.; Cao, X.; Burberry, A.; Cominelli, F.; Zhang, L. ggpicrust2: An R package for PICRUSt2 predicted functional profile analysis and visualization. Bioinformatics 2023, 39, btad470. [Google Scholar] [CrossRef]







| Characteristics of the Patients | Intervention Group | Group Control | OR (95% CI) | p-Value |
|---|---|---|---|---|
| N = 22 | N = 20 | |||
| Diagnosis | ||||
| Gamopathy | 6 (27%) | 6 (30%) | 0.56 (0.24–5.38) | 1 |
| Hodgkin’s lymphoma | 3 (14%) | 4 (20%) | 1.56 (0.22–12.3) | 0.691 |
| Non-Hodgkin’s lymphoma | 7 (32%) | 5 (25%) | 0.72 (0.14–3.47) | 0.739 |
| Acute lymphocytic leukemia | 1 (05%) | 2 (10%) | 0.0 (0.0–42.9) | 0.608 |
| Acute myeloid leukemia | 4 (18%) | 2 (10%) | 0.50 (0.04–21.20) | 0.598 |
| Chronic myeloid leukemia | 1 (05%) | 0 | 1 | |
| Age at HSCT 1, yr, median (range) | 51 (22–67) | 40 (22–70) | 0.094 | |
| Male sex | 10 (46%) | 12 (60%) | 0.56 (0.13–2.22) | 0.527 |
| Colonization | ||||
| Vancomycin-resistant Enterococcus | 8 (36%) | 11 (55%) | 2.09 (0.52–8.81) | 0.352 |
| Vancomycin-resistant Enterococcus + Acinetobacter baumanni | 0 | 1 (05%) | 0.488 | |
| Vancomycin-resistant Enterococcus + Klebsiella pneumonia | 5 (23%) | 5 (25%) | 1.12 (0.21–5.94) | 1 |
| Vancomycin-resistant enterococcus + Klebsiella pneumoniae + Acinetobacter baumanni | 4 (18%) | 1 (5%) | 0.24 (0.004–2.78) | 0.347 |
| Carbapenem-resistant Klebsiella pneumoniae | 2 (09%) | 1 (5%) | 0.53 (0.008–11.05) | 1 |
| Carbapenem-resistant Klebsiella pneumoniae + Carbapenem-resistant E. coli | 1 (05%) | 0 | 1 | |
| E. coli carbapenem-resistant + Klebsiella pneumoniae | 1 (05%) | 0 | 1 | |
| Pseudomonas + Klebsiella pneumoniae resistant to carbapenem | 0 | 1 (05%) | 0.488 | |
| Acinetobacter baumanni | 1 (05%) | 0 | 1 | |
| HSCT 1 | ||||
| Autologous | 16 (73%) | 16 (80%) | 0.849 | |
| Allogeneic | 4 (18%) | 4 (20%) | 1 (0.15–6.3) | 1 |
| Did not undergo HSCT | 2 (09%) | 0 | ||
| HSCT 1 Conditioning Therapy 2 | ||||
| Myeloablative | 18 (90%) | 19 (95%) | 1 | |
| Reduced intensity | 2 (10%) | 1 (5%) | 1 | |
| Length of hospitalization, days, average (range) 2 | 32.2 (±19) | 26.8 (±14) | 0.762 | |
| Autologous | 30.6 (±21) | 22.4 (±8) | ||
| Allogeneic | 38.3 (±6) | 44.3 (±23) | ||
| Time until grafting, days, average (range) 2 | 9 (4–21) | 9 (6–14) | 0.667 | |
| Toxicities in HSCT 3 | ||||
| Diarrhea | 15 (75%) | 19 (95%) | 8.46 (0.92–419) | 0.815 |
| Severe diarrhea (grades III and IV) | 5 (25%) | 1 (5%) | 0.18 (0.0036–1.98) | 0.193 |
| Mucositis | 13 (65%) | 17 (85%) | 3.79 (0.74–26.10) | 0.808 |
| Severe mucositis (grades III and IV) | 8 (40%) | 7 (35%) | 1.16 (0.28–4.84) | 1.000 |
| Nutritional status | 0.594 | |||
| Thinness | 0 | 1 (5%) | ||
| Normal | 8 (36%) | 6 (30%) | ||
| Overweight | 7 (32%) | 7 (35%) | ||
| Obese | 7 (32%) | 6 (30%) |
| Intervention Group (n = 19) | Control Group (n = 20) | OR 95%CI | p-Value | |
|---|---|---|---|---|
| Number of infections | 7 (35%) | 4 (20%) | 0.3008 | |
| BSI 1 | 0 | 2 (10%) | 0.4872 | |
| Days TCTH to BSI (mean) | 5 (±3) | 8 (±3) | ||
| BSI during neutropenia | 5 | 4 | ||
| BSI during use of L. plantarum | 2 * | - | ||
| Days free L. plantarum (mean) | 1(±2) | - | ||
| Agents | ||||
| CLABSI 2 | ||||
| Capnocytophaga sp. | 0 | 1 (5%) | ||
| Staphylococcus epidermidis | 0 | 1 (5%) | ||
| MBI-LCBI 3 | 7 (35%) | 2 (10%) | 0.21 (0.018–1.37) | 0.0648 |
| Klebsiella pneumonia MDRO | 1 (5%) | 0 | ||
| Klebsiella pneumonia | 2 (10%) | 0 | ||
| Enterobacter cloacae complex and Klebsiella pneumonia | 1 (5%) | 0 | ||
| Klebsiella pneumonia and Streptococcus oralis | 1 (5%) | 0 | ||
| Escherichia coli | 2 (10%) | 1 (5%) | ||
| Escherichia coli and Streptococcus viridans | 0 | 1 (5%) | ||
| Same agent as previous colonization # | 3 (15%) | 0 |
Disclaimer/Publisher’s Note: The statements, opinions and data contained in all publications are solely those of the individual author(s) and contributor(s) and not of MDPI and/or the editor(s). MDPI and/or the editor(s) disclaim responsibility for any injury to people or property resulting from any ideas, methods, instructions or products referred to in the content. |
© 2024 by the authors. Licensee MDPI, Basel, Switzerland. This article is an open access article distributed under the terms and conditions of the Creative Commons Attribution (CC BY) license (https://creativecommons.org/licenses/by/4.0/).
Share and Cite
Moraes, B.D.G.C.; Martins, R.C.R.; Fonseca, J.V.d.S.; Franco, L.A.M.; Pereira, G.C.O.; Bartelli, T.F.; Cortes, M.F.; Scaccia, N.; Santos, C.F.; Musqueira, P.T.; et al. Impact of Exogenous Lactiplantibacillus plantarum on the Gut Microbiome of Hematopoietic Stem Cell Transplantation Patients Colonized by Multidrug-Resistant Bacteria: An Observational Study. Antibiotics 2024, 13, 1010. https://doi.org/10.3390/antibiotics13111010
Moraes BDGC, Martins RCR, Fonseca JVdS, Franco LAM, Pereira GCO, Bartelli TF, Cortes MF, Scaccia N, Santos CF, Musqueira PT, et al. Impact of Exogenous Lactiplantibacillus plantarum on the Gut Microbiome of Hematopoietic Stem Cell Transplantation Patients Colonized by Multidrug-Resistant Bacteria: An Observational Study. Antibiotics. 2024; 13(11):1010. https://doi.org/10.3390/antibiotics13111010
Chicago/Turabian StyleMoraes, Bruna D. G. C., Roberta C. R. Martins, Joyce Vanessa da Silva Fonseca, Lucas A. M. Franco, Gaspar C. O. Pereira, Thais F. Bartelli, Marina F. Cortes, Nazareno Scaccia, Carolina F. Santos, Priscila T. Musqueira, and et al. 2024. "Impact of Exogenous Lactiplantibacillus plantarum on the Gut Microbiome of Hematopoietic Stem Cell Transplantation Patients Colonized by Multidrug-Resistant Bacteria: An Observational Study" Antibiotics 13, no. 11: 1010. https://doi.org/10.3390/antibiotics13111010
APA StyleMoraes, B. D. G. C., Martins, R. C. R., Fonseca, J. V. d. S., Franco, L. A. M., Pereira, G. C. O., Bartelli, T. F., Cortes, M. F., Scaccia, N., Santos, C. F., Musqueira, P. T., Otuyama, L. J., Pylro, V. S., Mariano, L., Rocha, V., Witkin, S. S., Sabino, E., Guimaraes, T., & Costa, S. F. (2024). Impact of Exogenous Lactiplantibacillus plantarum on the Gut Microbiome of Hematopoietic Stem Cell Transplantation Patients Colonized by Multidrug-Resistant Bacteria: An Observational Study. Antibiotics, 13(11), 1010. https://doi.org/10.3390/antibiotics13111010

