Abstract
Background: Lactiplantibacillus plantarum can inhibit the growth of multidrug-resistant organisms (MDROs) and modulate the gut microbiome. However, data on hematopoietic stem cell transplantation (HSCT) are scarce. Aim: In an observational study, we assessed the impact of L. plantarum on the modulation of the gut microbiome in HSCT patients colonized by MDROs. Methods: Participants were allocated to an intervention group (IG = 22) who received capsules of L. plantarum (5 × 109 CFU) twice per day until the onset of neutropenia or a control group (CG = 20). The V4 region of the 16S bacterial rRNA gene was sequenced in 87 stool samples from a subset of 33 patients (IG = 20 and CG = 13). The Phylogenetic Investigation of Communities by Reconstruction of Unobserved States (PICRUSt2) program was used to predict metagenome functions. Results: L. plantarum demonstrated an average 86% (±11%) drug-target engagement at 43 (±29) days of consumption and was deemed safe, well-tolerated, and associated with an increase in the abundance of the Lactobacillales (p < 0.05). A significant increase in Lactococcus and a reduction in Turicibacter (p < 0.05) were identified on the second week of L. plantarum use. Although Enterococcus abundance had a greater rise in the CG (p = 0.07), there were no significant differences concerning the Gram-negative MDROs. No serious adverse effects were reported in the IG. We observed a greater, non-significant pyruvate fermentation to propanoate I (p = 0.193) relative abundance in the IG compared with the CG. L. plantarum use was safe and tolerable by HSCT patients. Conclusions: While L. plantarum is safe and may impact Enterococcus and Turicibacter abundance, it showed no impact on Gram-negative MDRO abundance in HSCT patients.
1. Introduction
Gut colonization by multidrug-resistant organisms (MDROs) has been reported as an independent risk factor for bloodstream infection (BSI) with high mortality among allogeneic hematopoietic stem cell transplant (HSCT) patients [,]. Strategies for reducing MDRO colonization and infection are challenging, with most studies focusing on the use of antimicrobial agents [].
Gut microbiome diversity has been associated with diet, antibiotic use, and chemotherapy in HSCT patients. Higher diversity of gut microbiome at the time of neutrophil engraftment was associated with lower mortality and graft-versus-host diseases in allogeneic HSCT []. The use of anti-anaerobic antibiotics decreased gut microbiome diversity in allogeneic HSCT patients []. Moreover, the impact of using antibiotics with different anaerobic spectra of activity and fluoroquinolone prophylaxis on gut microbiome is controversial. A recent study showed no significant impact of ending ciprofloxacin prophylaxis on microbiome diversity [].
Previous gut colonization has been associated with barrier BSI in neutropenic HSCT. At our center, Ferreira et al. evaluated 232 HSCT patients and demonstrated an MDRO colonization rate of 30.5%. Bloodstream infection (BSI) occurred in 20% of the MDRO-positive group. The authors observed, by multivariate analysis, that prior gut colonization by Gram-negative MDROs was a risk factor for this outcome []. Previous studies also observed that the increase in Enterococcus in the microbiome during the engraftment period is associated with BSI during the HSCT []. Few studies, however, have attempted to modulate the presence of MDROs in the intestinal microbiome by focusing on the individual’s diet or the use of prebiotics, probiotics, and symbiotics [,,,]. Moreover, this has rarely been reported in patients undergoing HSCT. Probiotics are live microorganisms that can provide benefit to the host if present in adequate doses []. Usually, probiotics are not offered to immunocompromised patients, like those undergoing HSCT, due to a risk of translocation and infection. To date, only one study demonstrated the safety and feasibility of using a specific probiotic, Lactiplantibacillus plantarum, in pediatric neutropenic patients undergoing HSCT [].
The presence of Lactiplantibacillus spp. in the fecal microbiota of hospitalized subjects has been associated with a lack of MDRO acquisition, indicating a potential protective role for these bacteria in HSCT []. Studies in vitro have shown that L. plantarum can inhibit Gram-positive and Gram-negative bacteria due to bacteriocins and that acetic acid produced by L. plantarum can inhibit the growth of carbapenem-resistant K. pneumonia [,,]. Lactiplantibacillus plantarum CIRM653 can impair K. pneumoniae preformed biofilm and L. plantarum-derived extracellular vesicles, modulating host responses to vancomycin-resistant Enterococcus faecium (VRE) [,].
Lactiplantibacillus plantarum can have modulatory effects on the intestine in healthy individuals by reducing proteins such as matrix metallopeptidases and zonulin []. However, a recent study using whole-genome sequencing described a cluster of BSI due to Lactiplantibacillus in pediatric patients undergoing HSCT who received probiotics []. Thus, more studies on the safe use of probiotics in HSCT are needed.
In the present study, we assessed the use of L. plantarum (intervention) as a probiotic in patients undergoing HSCT who were colonized by MDROs. We hypothesized that this intervention would reduce MDRO colonization and infection compared with an untreated control group. Additionally, we assessed the impact of the intervention on the gut microbiome and the safety and adverse effects of L. plantarum usage in HSCT patients.
2. Results
Patient characteristics. A total of 55 candidates for HSCT were selected for the study, with nine excluded for not having collected the baseline stool sample (see Figure 1). The final cohort included 42 participants: 20 in the CG and 22 in the IG. However, stool microbiome was not conducted for all participants. In the IG, two participants did not undergo HSCT due to disease refractoriness, and one participant was yet to undergo HSCT by the end of this study. Therefore, the analysis of MDROs and the modulation of the fecal microbiome following L. plantarum ingestion included 22 participants in the IG and 13 in the CG. Thirty-two patients enrolled in the study were autologous HSCTs, most of the patients received myeloablative treatment, and lymphoma and gammopathy were the most frequent underlying diseases. The mean duration of neutropenia was 13 days (10–20 days) in the IG and 13 days (10–18 days) in CG.

Figure 1.
The CONSORT flow diagram illustrates the progress through the phases of a parallel trial, depicting the study groups and controls. Exclusion criteria: Patients who did not collect stool samples after initiation of HSCT conditioning.
The patient and HSCT characteristics, along with gastrointestinal toxicities observed during HSCT, are presented in Table 1.

Table 1.
Clinical, demographic, and transplant characteristics of HSCT patients comparing intervention and control groups.
2.1. Lactiplantibacillus plantarum
The analysis of L. plantarum capsules with next-generation sequencing (NGS) showed an abundance of Lactobacillaceae. Comparing the most abundant amplicon sequence variants (ASVs) in the samples with GenBank (NCBI) revealed a 99% identity with L. plantarum. Additionally, Maldi-TOF analysis of the L. plantarum capsules showed high correspondence with L. plantarum. However, bacterial counts in the culture medium demonstrated a deficit in the expected quantity of L. plantarum colony-forming units (CFUs) in the capsules, measuring 6 × 108 ± 3.45 × 108 CFU instead of the requested 5 × 109 CFU. Therefore, we adjusted the number of prescribed probiotic capsules for the IG from one capsule to two twice per day.
The L. plantarum capsules were consumed at an average rate of 86% (±11%) by day 43 (±29). The mean duration of L. plantarum use was 48 days (range 13 to 108 days) in the IG; among individuals that developed BSI, it was 19 days (range 13–47 days). Three subjects reported mild (grade 1 in CTCAE) flatulence, while three others reported moderate (grade 2) flatulence. Of the 16 patients who reported Bristol Scale Stool type 3 before L. plantarum ingestion, only one remained at type 3 after its use, while the other 15 subsequently reported type 4 stools.
2.2. MDRO Colonization
All patients included in the study were colonized by MDROs. In the evaluation before the onset of HSCT (median 6 days, IQR 7), 3/20 (15.0%) individuals in the CG continued to be colonized by vancomycin-resistant Enterococcus (VRE). In the IG, 6/22 patients (27.0%) continued to be colonized, three by VRE, and the other three by Carbapenem-resistant Enterobacteriaceae, with a median consumption of L. plantarum of 17 days (IQR 7) and 47 days (IQR 36), respectively. The median number of days between the beginning of Lactiplantibacillus and the decolonization evaluation was 19 days (IQR 47). There was no new colonization by other MDROs during the follow-up period for both groups.
2.3. Infection
Febrile neutropenia occurred in 16/20 (80.0%) individuals in the CG and 10/20 (52.6%) in the IG (p = 0.14). In the IG, seven patients developed MBI-LCBI, and five patients had Klebsiella pneumonia infection. Among the five IG patients who developed MBI-LCBI due to Klebsiella pneumonia, three had been colonized by Carbapenem-resistant K. pneumonia (Table 2).

Table 2.
Details of bloodstream infections in patients undergoing hematopoietic stem cell transplantation.
2.4. Stool Microbiome Analysis
Stool samples were collected at various time points from the CG (baseline n = 13 and on week grafting n = 10) and IG (baseline n = 23, second week of L. plantarum use n = 22, at the time of neutropenia n = 11, one week before infection n = 4, and grafting n = 10). The presence of Lactobacillus was assessed at different time periods for the IG. Microbiome sequencing data are available on Bioproject (NCBI—National Center for Biotechnology Information, U.S. National Library of Medicine) under accession number PRJNA724885.
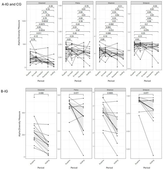
Overall, there was a reduction in alpha diversity (Observed ASVs, Shannon, and Simpson indices) for the IG and CG patients across different periods, irrespective of L. plantarum use, with significant values, especially between baseline and the second week versus neutropenia and grafting (Wilcoxon p < 0.05 and p < 0.01). Additionally, intense intraindividual variability in alpha diversity between these points was found in both IG and CG. Alpha diversity by Faith’s index decreased between baseline and grafting in both groups (IG p = 0.0026; CG p = 0.018) (Figure 2A(IG and CG),B(IG)).

Figure 2.
Alteration in Alpha diversity by Observed ASV, Shannon, Simpson, and Pielou’s evenness index among HSCT patients between periods for both IG and CG ((A)-IG and CG and (B)-IG). The alpha diversity indexes were tested for differences using Wilcoxon rank sum test. The continuous line represents the median and the shaded region the 25 and 75 percentiles.
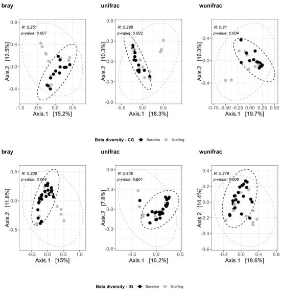
When analyzing the composition of both IG and CG, we observed a significant change in their bacteriome, both qualitatively and quantitatively, between baseline and grafting (ANOSIM—Bray–Curtis, weighted and unweighted UniFrac p < 0.05) (see Figure 3).

Figure 3.
Bacterial beta diversity measures on stool samples of HSCT patients enrolled in the IG and CG (ANOSIM p < 0.05 significant) at baseline and grafting.
The bacterial composition of both groups was compared on these two points, (IG vs. CG at baseline—ANOSIM UniFrac p = 0.002, R = 0.298; Bray–Curtis p = 0.007, R = 0.251; wunifrac p = 0.004, R = 0.21); (CG vs. IG at grafting—ANOSIM UniFrac p = 0.001, R = 0.435; Bray–Curtis p = 0.004, R = 0.308; wunifrac p = 0.008, R = 0.279).
At baseline, at least 50.9% of bacteria were predominantly from the phyla Bacteroidetes, followed by Firmicutes (38.3%) and Proteobacteria (4.5%). These phyla were still predominant at grafting for both IG and CG. Proteobacteria increased in both groups between baseline and grafting (p = 0.009) without significant differences between groups (p = 0.41).
The detection of Firmicutes and Bacteroidetes phyla was comparable in the IG and CG at baseline (p = 0.18 and p = 0.72, respectively) and following grafting (p = 0.50 and p = 0.14, respectively).
Stool samples from four IG patients who developed BSI were sequenced 1 week before the infection event. One patient with K. pneumoniae had a gut microbiome dominated by Enterobacteriaceae. Two other patients showed an increase in the Bacteroides genus, one with BSI by E. coli ESBL-positive and the other by carbapenem-resistant K. pneumonia.
The consumption of L. plantarum was associated with an increased presence of Lactobacillales (p < 0.05) in the second-week period of its use. Differences between baseline and the second week measured by LefSe with alpha values for the factorial Kruskal–Wallis test p < 0.02 and LDA > 1 showed an increase in Lactococcus, accompanied by a decrease in Turicibacter in the IG (n = 22) (Figure 4).

Figure 4.
Effect size of linear discriminant analysis (LefSe). (A) Cladogram representing taxonomic differences between baseline and L. plantarum consumption in the second week in the Intervention Group (n = 22). (B) LefSe demonstrating enrichment of Lactobacillaceae family abundance after two weeks of L. plantarum. (C) Histogram of all samples displaying linear discriminant analysis (LDA) scores for differentially abundant features between baseline and the second week of L. plantarum use (p < 0.02 and LDA score > 1 were considered significant and are presented here with notation indicating the corresponding taxonomy [K = Kingdom; p = phylum; g = genus; f = family; o = order. Solid line: mean; dashed line: median]).
The Lactobacillaceae family was identified as differentially abundant in the second week of L. plantarum use in the IG using Kruskal–Wallis factorial test; alpha value of p < 0.01 and an LDA score > 3.
Although no differentially abundant bacteria were identified between the IG and CG, both groups presented a decrease in the presence of Roseburia and Coprococcus when baseline and grafting were compared (Figure 5).

Figure 5.
Potential biomarkers were defined by the effect size of linear discriminant analysis (LefSe) between baseline and engraftment periods. (A) Histogram of linear discriminant analysis (LDA) scores for differentially abundant features between baseline and engraftment (p < 0.01; LDA score > 3 was considered significant, solid line mean and dashed line median]). (B–D) LefSe demonstrates a decreased presence of Coprococcus, Ruminococcus, and Roseburia during the engraftment period compared to baseline.
We observed an increase in the abundance of Enterococcus in the CG, with a trend toward significance compared with the IG (p = 0.07) in paired sample analysis, considering patients with stool collected in both periods (baseline and grafting) (Figure 6).

Figure 6.
Relative abundance of Enterococcus genus in the gut microbiome during hematopoietic stem cell transplantation at Hospital das Clínicas da FMUSP.
2.5. Metagenome Functions
The PICRUSt2 program was used to predict the metagenome functions of the gut microbiome of HSCT patients. We observed a greater, though statistically non-significant, relative abundance of pyruvate fermentation to propanoate I (p = 0.193) in the IG (yes-Lac) compared to the CG (no-lac) (Figure 7).

Figure 7.
Comparison of metagenome functions of IG and CG using the PICRUSt2 program of gut microbiome of hematopoietic stem cell transplantation patients.
3. Discussion
Of note, L. plantarum demonstrated safety and tolerability before the onset of neutropenia in all individuals undergoing HSCT, and it may potentially reduce fecal levels of the Enterococcus genus in HSCT patients. There was a decrease in the presence of Roseburia and Coprococcus in the gut microbiome during the grafting period in both IG and CG. The consumption of L. plantarum was associated with a significant increase in Lactobacillales and a decrease in Turicibacter in the gut microbiome of HSCT patients during the second week of usage. None of the patients in the intervention group experienced BSI caused by L. plantarum or severe adverse events.
While a significant reduction in MDRO colonization or infection following L. plantarum ingestion compared to the control group was not observed, all infections in the intervention group were MBI-LCBI, which occurred after the cessation of L. plantarum use. Despite individuals in the IG being more frequently colonized by three MDROs (VRE, carbapenem-resistant K. pneumoniae, and carbapenem-resistant A. baumannii), polymicrobial MDRO-BSI and carbapenem-resistant A. baumannii-BSI were not identified in the intervention group, suggesting the potential benefits of L. plantarum use.
Data on the impact of Lactiplantibacillus on the prevention of MDRO colonization are controversial and dependent on many variables, such as species, antibiotic use, and patient population []. A recent randomized controlled study involving 120 patients treated with amoxicillin-clavulanate for 10 days compared the effects with a 30-day treatment with placebo Saccharomyces boulardii and a probiotic mixture containing Saccharomyces boulardii, Lactiplantibacillus acidophilus CFM, Lactiplantibacillus paracasei, Bifidobacterium lactis 4, and Bifidobacterium lactis. It was noted that treatment with the probiotic mixture led to a significant decline in colonization by Pseudomonas (p = 0.041) and AmpC-producing enterobacteria []. On the other hand, another prospective, double-blinded, randomized controlled trial found that Lactiplantibacillus rhamnosus did not prevent MDRO colonization among patients receiving broad-spectrum antibiotics [].
The Enterobacteriaceae family, mainly K. pneumoniae, was responsible for the highest number of infections in patients in the IG. Intestinal domination by Enterobacterales was observed in only one patient who developed BSI. Interestingly, the IG developed MBI-LCBI during the neutropenia period after L. plantarum was discontinued. In samples from these individuals, members of the Lactobacillales order were not found.
Most patients enrolled in our study underwent autologous HSCT. Few studies have addressed the gut microbiome in autologous HSCT. A recent study observed loss of alpha diversity at the engraftment timepoint driven by decreases in Blautia, Ruminococcus, and Faecalibacterium genera in 33 patients with multiple myeloma undergoing autologous HSCT []. We observed a significant reduction in alpha diversity in the gut microbiome, especially between baseline and the second week versus neutropenia and grafting. Additionally, intense intra-individual variability in alpha diversity between the time points was found, as previously shown by Taur et al. []. Interestingly, there was a reduction in the uniformity of the species observed between baseline and grafting in both groups, which was slightly smaller in CG than in IG. At baseline, there was a predominance of the phyla Bacteroidetes, followed by Firmicutes and Proteobacteria, which are considered a healthier gut microbiome. On the other hand, there was a decrease in the presence of Roseburia and Coprococcus, short-chain fatty acid producers in the gut microbiome, during the grafting period in both groups, IG and CG, similar to what was described in allogeneic HSCT patients [].
Although Enterococcus abundance had a greater increase in the CG, there were no significant differences between groups, possibly due to the cessation of L. plantarum during neutropenia and the small sample size. Previous studies have observed that the increase in Enterococcus in the microbiome during the engraftment period is associated with BSI during HSCT [,,,]. Thus, the lower Enterococcus abundance found in the IG might be advantageous. In addition, an increase in Lactococcus and a decrease in Turicibacter abundance was noted on the second week of L. plantarum use in the IG. The increase in Lactococcus may be worthy of note because this genus expresses an antimicrobial peptide involved in human gut homeostasis and may reduce VRE [,,]. Turicibacter is believed to contribute to host metabolic and homeostatic mechanisms []. Thus, it seems that L. plantarum could be useful in decreasing Enterococcus abundance, potentially reducing VRE, and aiding in the management of HSCT patients in settings with a high prevalence of VRE.
Various methods have been developed to predict functions from 16S rRNA sequence data, including PICRUSt2, which was applied in the present study []. We observed a non-significant increase in metabolites, such as pyruvate fermentation to propanoate I (p = 0.193) relative abundance in the IG. Bacteria from the Firmicutis phylum, such as f_Lactobacillaceae and g_Lactobacillus, have been associated with pyruvate fermentation to propanoate I in Parkison’s disease []. However, the role of L. plantarum in metagenomic functions in the gut microbiome of HSCT patients needs further clarification.
Of note, L. plantarum had an average 86% (±11%) drug-target engagement after 43 (±29) days of consumption. The intervention proved to be safe, tolerable, and significantly associated with an increase in the abundance of Lactobacillales in the present study. None of the patients in the IG experienced BSI caused by L. plantarum or serious adverse events. This aligns with findings from two recent studies involving HSCT patients, supporting the safety of probiotics in this population [,]. These studies highlight that the organisms found in over-the-counter probiotics are rarely implicated in BSI during the pre-engraftment period, indicating the feasibility of administering probiotic L. plantarum to children undergoing HSCT without associated BSI or serious adverse events [].
This study has several limitations: it is an observational study without a control group that received a placebo, and the duration of L. plantarum consumption varied among patients based on their availability and clinical condition for admission to HSCT. Additionally, the sample size was small and not controlled for clinical features that could potentially influence the results.
4. Materials and Methods
4.1. Study Setting
This study was conducted at the Cell Therapy Clinical Unit (CTCU) at the Hospital das Clinicas, Faculdade de Medicina, Universidade de São Paulo, Brazil. The CTCU is a 10-room ward for adult patients, with double bedrooms for autologous transplants and single bedrooms for allogeneic transplants. Piperacillin-tazobactam was the empirical antibiotic used during febrile neutropenia.
4.2. Study Design
This exploratory clinical investigation included patients seen from November 2017 to May 2020 who were colonized by MDROs prior to their HSCT. We utilized a convenience sample of patients treated with L. plantarum (IG) and an untreated control group (CG). The inclusion criteria were: oncohematological disease and indication for HSCT, being over 18 years old with no history of previous gastrointestinal tract surgery, and colonization by MDROs identified by a positive surveillance culture (SC) prior to HSCT. The study protocol followed Helsinki’s declaration and was approved by the Institute’s ethical committee (CAPPesq approval 2.126.478), registered on the Registro Brasileiro de Ensaios Clínicos (ReBEC, Brazilian Registry of Clinical Trials, number RBR-2ztbwgr), and all participants voluntarily signed the written informed consent form.
Demographic and clinical variables were assessed, such as age, gender, underlying diseases, HSCT, mucositis, weight, height, body mass index (BMI), and classification of nutritional status by WHO or PAHO criteria at the time of admission to the study. Feces consistency was determined using the Bristol fecal scale prior to and following the consumption of L. plantarum. Gastrointestinal toxicities (mucositis and diarrhea) were measured by Common Terminology Criteria for Adverse Events (CTCAE—Version 5.0) []. Neutrophil recovery was defined as the third day of an absolute neutrophil count > 500 neutrophils mm−3.
4.3. Lactiplantibacillus plantarum Administration
Lactiplantibacillus plantarum, G18 lineage, was administrated as a probiotic to the treatment group at a dose of 5 × 109 colony forming units (CFU) twice daily in the form of gastric release capsules produced in a compounding pharmacy. The HSCT pharmacy supervised capsule dispensing and assessed drug-target engagement quantification. Consumption was terminated in cases of HSCT neutropenia. All symptoms in those taking L. plantarum were assessed according to CTCAE protocol []. The safety of the use of L. plantarum was also evaluated by observing the development of BSI by L. plantarum up to day +60 after its use. The content of L. plantarum capsules was analyzed by 16S rRNA next-generation sequencing (NGS), growth in Lactiplantibacillus culture medium (MRS Agar), and mass spectrometry (Maldi-TOF-Buker-Bremen, Germany).
4.4. Definitions
MDROs: Vancomycin-resistant Enterococcus; Enterobacteria resistant to carbapenems and/or colistin, producing ESBL (enzymes produced by certain bacteria that are able to hydrolyze extended-spectrum cephalosporin); Gram-negative non-fermenting bacteria (Pseudomonas aeruginosa and Acinetobacter baumannii) resistant to carbapenems and/or colistin [].
Colonization: Colonization was assessed by SC using rectal swab samples and qPCR analysis for the main resistance genes: blaVIM—metallo-beta-lactamase VIM, blaSPM—metallo-beta-lactamase SPM, blaKPC—carbapenem-hydrolyzing beta-lactamase KPC, mcr-1—Phosphoethanolamine-lipid A transferase MCR-1, blaOXA-23—carbapenem-hydrolyzing beta-lactamase OXA-23, blaOXA-48—carbapenem-hydrolyzing beta-lactamase OXA-48, blaOXA-143—carbapenem-hydrolyzing beta-lactamase OXA-143, vanA—vancomycin-resistance protein VanA, vanB—vancomycin-resistance protein VanB. The DNA sequences of oligonucleotides were used in qPCR as previously described [,,,].
Infections were defined using the criteria of the Centers for Disease Control and Prevention (CDC) []: central line-associated bloodstream infections (CLABSIs) were characterized as laboratory-confirmed bloodstream infections where an eligible BSI organism is identified on the day of the event or the preceding day. Mucosal barrier injury–laboratory-confirmed bloodstream infection (MBI-LCBI) characterizes LCBI in patients immunosuppressed by microbiological translocation of the gastrointestinal tract due to persistent neutropenia (neutrophils < 500 cells/mm3), diarrheal episodes (1 L or more of diarrhea in 24 h), or graft-versus-host disease (GVHD) in allogeneic HSCT patients, within seven days of positive blood culture. Decolonization was defined as the SC changing from positive to negative after the intervention period.
4.5. Sample Collection
Stool samples were collected in an outpatient setting according to hospital protocol. Surveillance cultures were performed weekly in inpatient settings for HSCT patients. Bacterial cultures on selective media were initiated, followed by qPCR targeting key resistance genes. Specifically, a multiplex PCR for detecting genes related to Metallo-β-lactamase resistance in P. aeruginosa (IMP, VIM, and SPM), oxacillinase resistance in A. baumanii (OXA-23 and OXA-143), genes related to Van A and Van B resistance, and for detecting genes related to blaKPC antimicrobial resistance [,,,]. Stool samples were obtained prospectively in sterile bottles containing guanidine and stored at −20 °C until DNA extraction, as previously described []. The first collection, termed ‘baseline’, occurred before probiotic consumption. Patients were instructed to date and store samples in a freezer until delivery to the researcher, or they were collected on the day of delivery. Collections were performed weekly after initiating the consumption of L. plantarum and continued until the grafting procedure.
4.6. Microbiome Processing
The composition of the prokaryotic communities was determined based on partial 16S rRNA (V4 region) sequences directly amplified using a bacterial/archaeal primer set 515F/806R [] from each DNA sample. PCR amplification, library preparation, and sequencing followed the procedures described by Ribeiro et al. []. Briefly, approximately 0.25 g of feces was used for DNA isolation using the DNeasy PowerSoil Kit (Qiagen, Germantown, MD, USA), following the manufacturer’s instructions. The template preparation was performed by the Ion Chef System (Thermo Fisher Scientific, Waltham, MA, USA), using the Ion PGM Hi-Q View Chef Kit. Sequencing was performed in the Ion Personal Genome Machine (PGM), using the Ion PGM Hi-Q Sequencing Kit and the Ion 318 Chip v2, following the manufacturer’s instructions (Thermo Fisher Scientific, Waltham, MA, USA). Samples with less than 85.000 reads were re-sequenced.
4.7. Stool Microbiome Analysis
The 16S rRNA gene data pre-processing and diversity estimates were performed using Quantitative Insights Into Microbial Ecology (QIIME2) version 2019.10 []. Demultiplexed sequence data were denoised with DADA2 (via q2-dada2) with the default parameters: 260 bp in length and an average quality Phred score of ≥30 to generate the amplicon sequence variants (ASVs) [,]. A phylogenetic tree was built by inserting the sequences into the Greengenes 13_8 reference tree using the q2-fragment-insertion plugin [], which uses the SATé-enabled phylogenetic placement insertion method []. Alpha-diversity metrics (number of observed ASVs, Pielou’s evenness, Shannon diversity, and Faith’s phylogenetic diversity) and beta-diversity metrics (Bray–Curtis and unweighted and weighted UniFrac) were estimated using q2-diversity after samples were rarefied to 32,000 sequences per sample [,]. The rarefaction curves for the samples reached the plateau, indicating that there was a good representation of the microbial community. The principal coordinates analysis (PCoA) plot for each of the beta-diversity metrics was generated using the phyloseq package as implemented in R []. The ASVs were taxonomically classified using the q2-feature-classifier [] (naive Bayes classifier) against Greengenes 13_8 99% OTU reference sequences [,,,]. Metagenomic functions were analyzed using Package: ggpicrust2, Type: Package, Title: Make ‘PICRUSt2’ Output Analysis and Visualization Easier, Version: 1.7.2, R version 4.3.1 (16 June 2023) [].
4.8. Statistical Analyses
A database containing all demographic and clinical variables was built using the Collaborative software Airtable-version 1 (https://www.airtable.com/) (San Francisco, CA, USA). Categorical variables were described as counts and proportions. Variables with a normal and asymmetric distribution were described as mean (range). Normality was evaluated with a visual inspection of histograms and the Shapiro–Wilk test. Student’s t-test was used for the comparison of normal variables, while the Wilcoxon test was used for non-normal variables. Categorical variables were compared using the chi-square and Fisher exact tests (OR and 95% CI were described for categorical variables). Microbiota community compositions were summarized proportionally at various taxonomy levels, including species, genus, family, order, class, and phylum ranks. For all analyses, significance was determined as p < 0.05. The Kruskal–Wallis test was performed to explore differences in alpha-diversity metrics. Differences in community composition (beta-diversity) were assessed using non-parametric analysis of similarities (ANOSIM) tests. To determine the features most likely to explain differences between periods and groups, we employed the algorithm linear discriminant analysis effect size—LEfSe—version 1.1.2 []. Wilcoxon rank-sum tests and Wilcoxon signed rank tests, adjusted by Bonferroni correction, were used to compare continuous microbiota features among groups and time periods. Fisher’s exact test was applied to compare categorical decolonization data. All these analyses were performed using R, version 3.6.
5. Conclusions
In conclusion, the ingestion of L. plantarum capsules was deemed safe and well-tolerated. While there may be an impact on Enterococcus abundance and a reduction in Turicibacter, no significant impact on Gram-negative MDRO abundance in HSCT patients was observed. Further studies with more individuals are necessary to confirm our findings.
Author Contributions
Conceptualization, B.D.G.C.M., E.S., T.G., S.F.C.; methodology, B.D.G.C.M., L.A.M.F., E.S., S.F.C.; software, J.V.d.S.F., L.A.M.F., T.F.B.; validation, B.D.G.C.M. and S.F.C.; formal analysis, B.D.G.C.M., R.C.R.M., J.V.d.S.F., N.S., T.F.B., C.F.S., L.J.O., M.F.C., G.C.O.P., V.S.P.; resources, P.T.M., L.M., V.R., E.S. and S.F.C.; data curation, B.D.G.C.M., R.C.R.M., L.J.O., N.S., J.V.d.S.F., T.F.B., C.F.S., S.F.C.; writing—original draft preparation, B.D.G.C.M. and S.F.C.; writing—review and editing, B.D.G.C.M., J.V.d.S.F., N.S., S.S.W., S.F.C.; supervision, V.R., L.A.M.F. and S.F.C.; funding acquisition, S.F.C. All authors have read and agreed to the published version of the manuscript.
Funding
The research received support from the São Paulo Research Foundation (FAPESP) [18/13147-3 to S.F.C.]. The funders played no part in the study design, methods, data collection and analysis, decision to publish, or the preparation of this manuscript. All authors share final responsibility for the decision to submit the manuscript for publication.
Institutional Review Board Statement
The present study adhered to the guidelines established in the Declaration of Helsinki. All procedures involving human subjects were approved by the Ethics Committee of Hospital das Clinicas da Faculdade de Medicina da Universidade de São Paulo, São Paulo, Brazil, for the analysis of research projects (CAPPesq approval 2.126.478).
Informed Consent Statement
All subjects participating in the study provided written informed consent for the publication of this paper.
Data Availability Statement
Microbiome sequencing data are available on Bioproject (NCBI—National Center for Biotechnology Information, U.S. National Library of Medicine) under the accession number PRJNA724885.
Acknowledgments
We would like to acknowledge Kelly Dias for guiding the participants, and the dedicated nurses, particularly Juliana Turca and Liliane Pinheiro, who collected the biological samples. We would also like to acknowledge the pharmacy team, particularly Tamires Fernandes and Anna Bortulucci.
Conflicts of Interest
The authors declare no conflicts of interest. The funders played no role in the study’s design; data collection, analysis, and interpretation; manuscript writing; or the decision to publish the results.
References
- Ferreira, A.; Moreira, F.; Guimaraes, T.; Spadão, F.; Ramos, J.; Batista, M.; Filho, J.; Costa, S.; Rocha, V. Epidemiology, risk factors and outcomes of multi-drug-resistant bloodstream infections in haematopoietic stem cell transplant recipients: Importance of previous gut colonization. J. Hosp. Infect. 2018, 100, 83–91. [Google Scholar] [CrossRef] [PubMed]
- Bilinski, J.; Robak, K.; Peric, Z.; Marchel, H.; Karakulska-Prystupiuk, E.; Halaburda, K.; Rusicka, P.; Swoboda-Kopec, E.; Wroblewska, M.; Wiktor-Jedrzejczak, W.; et al. Impact of Gut Colonization by Antibi-otic-Resistant Bacteria on the Outcomes of Allogeneic Hematopoietic Stem Cell Transplantation: A Retrospective, Single-Center Study. Biol. Blood Marrow Transplant. 2016, 22, 1087–1093. [Google Scholar] [CrossRef]
- Tacconelli, E.; Mazzaferri, F.; de Smet, A.M.; Bragantini, D.; Eggimann, P.; Huttner, B.D.; Kuijper, E.J.; Lucet, J.-C.; Mutters, N.T.; Sanguinetti, M.; et al. ESCMID-EUCIC clinical guidelines on decolonization of multidrug-resistant Gram-negative bacteria carriers. Clin. Microbiol. Infect. 2019, 25, 807–817. [Google Scholar] [CrossRef]
- da Silva, M.B.; Ponce, D.M.; Dai, A.; Devlin, S.M.; Gomes, A.L.C.; Moore, G.F.; Slingerland, J.; Shouval, R.; Armijo, G.K.; DeWolf, S.; et al. Preservation of the fecal microbiome is associated with reduced severity of graft-versus-host disease. Blood 2022, 140, 2385–2397. [Google Scholar] [CrossRef] [PubMed]
- Tanaka, J.S.; Young, R.R.; Heston, S.M.; Jenkins, K.; Spees, L.P.; Sung, A.D.; Corbet, K.; Thompson, J.C.; Bohannon, L.; Martin, P.L.; et al. Anaerobic Antibiotics and the Risk of Graft-versus-Host Disease after Allogeneic Hematopoietic Stem Cell Transplantation. Biol. Blood Marrow Transplant. 2020, 26, 2053–2060. [Google Scholar] [CrossRef] [PubMed]
- Daoud-Asfour, H.; Henig, I.; Ghersin, I.; Rakedzon, S.; Stern, A.; Pitashny, M.; Zuckerman, T.; Bar-Yoseph, H. Omitting Ciprofloxacin Prophylaxis in Patients Undergoing Allogeneic Hematopoietic Stem Cell Transplantation and Its Impact on Clinical Out-comes and Microbiome Structure. Transplant. Cell Ther. 2022, 28, 168.e1–168.e8. [Google Scholar] [CrossRef]
- Taur, Y.; Xavier, J.B.; Lipuma, L.; Ubeda, C.; Goldberg, J.; Gobourne, A.; Lee, Y.J.; Dubin, K.A.; Socci, N.D.; Viale, A.; et al. Intestinal Domination and the Risk of Bacteremia in Patients Undergoing Allogeneic Hematopoietic Stem Cell Transplantation. Clin. Infect. Dis. 2012, 55, 905–914. [Google Scholar] [CrossRef] [PubMed]
- Aira, A.; Fehér, C.; Rubio, E.; Soriano, A. The Intestinal Microbiota as a Reservoir and a Therapeutic Target to Fight Multi-Drug-Resistant Bacteria: A Narrative Review of the Literature. Infect. Dis. Ther. 2019, 8, 469–482. [Google Scholar] [CrossRef] [PubMed]
- Wu, G.; Zhang, C.; Wang, J.; Zhang, F.; Wang, R.; Shen, J.; Wang, L.; Pang, X.; Zhang, X.; Zhao, L.; et al. Diminution of the gut resistome after a gut microbiota-targeted dietary intervention in obese children. Sci. Rep. 2016, 6, 24030. [Google Scholar] [CrossRef]
- Esaiassen, E.; Hjerde, E.; Cavanagh, J.P.; Pedersen, T.; Andresen, J.H.; Rettedal, S.I.; Støen, R.; Nakstad, B.; Willassen, N.P.; Klingenberg, C. Effects of Probiotic Supplementation on the Gut Microbiota and Antibiotic Resistome Development in Preterm Infants. Front. Pediatr. 2018, 6, 347. [Google Scholar] [CrossRef]
- Salomão, M.C.C.; Heluany-Filho, M.A.; Menegueti, M.G.; De Kraker, M.E.A.; Martinez, R.; Bellissimo-Rodrigues, F. A randomized clinical trial on the effectiveness of a symbiotic product to decolonize patients harboring multidrug-resistant Gram-negative bacilli. Rev. Soc. Bras. Med. Trop. 2016, 49, 559–566. [Google Scholar] [CrossRef] [PubMed]
- Hill, C.; Guarner, F.; Reid, G.; Gibson, G.R.; Merenstein, D.J.; Pot, B.; Morelli, L.; Canani, R.B.; Flint, H.J.; Salminen, S.; et al. Expert consensus document: The international scientific association for probiotics and prebiotics consensus statement on the scope and appropriate use of the term probiotic. Nat. Rev. Gastroenterol. Hepatol. 2014, 11, 506–514. [Google Scholar] [CrossRef] [PubMed]
- Ladas, E.J.; Bhatia, M.; Chen, L.; Sandler, E.; Petrovic, A.; Berman, D.M.; Hamblin, F.; Gates, M.; Hawks, R.; Sung, L.; et al. The safety and feasibility of probiotics in children and adolescents undergoing hematopoietic cell transplantation. Bone Marrow Transplant. 2015, 51, 262–266. [Google Scholar] [CrossRef] [PubMed]
- Araos, R.; Tai, A.K.; Snyder, G.M.; Blaser, M.J.; D’Agata, E.M.C. Predominance of Lactobacillus spp. Among Patients Who Do Not Acquire Multidrug-Resistant Organisms. Clin. Infect. Dis. 2016, 63, 937–943. [Google Scholar] [CrossRef] [PubMed]
- Kim, S.W.; Kang, S.I.; Shin, D.H.; Oh, S.Y.; Lee, C.W.; Yang, Y.; Son, Y.K.; Yang, H.S.; Lee, B.H.; An, H.J.; et al. Potential of Cell-Free Supernatant from Lactobacillus plantarum NIBR97, Including Novel Bacteriocins, as a Natural Alterna-tive to Chemical Disinfectants. Pharmaceuticals 2020, 13, 266. [Google Scholar] [CrossRef] [PubMed]
- Yan, R.; Lu, Y.; Wu, X.; Yu, P.; Lan, P.; Wu, X.; Jiang, Y.; Li, Q.; Pi, X.; Liu, W.; et al. Anticolonization of Carbapenem-Resistant Klebsiella pneumoniae by Lactobacillus plantarum LP1812 Through Accumulated Acetic Acid in Mice Intestinal. Front. Cell. Infect. Microbiol. 2021, 11, 804253. [Google Scholar] [CrossRef]
- Lagrafeuille, R.; Miquel, S.; Balestrino, D.; Vareille-Delarbre, M.; Chain, F.; Langella, P.; Forestier, C. Opposing effect of Lactoba-cillus on in vitro Klebsiella pneumoniae in biofilm and in an in vivo intestinal colonisation model. Benef. Microbes 2018, 9, 87–100. [Google Scholar] [CrossRef]
- Li, M.; Lee, K.; Hsu, M.; Nau, G.; Mylonakis, E.; Ramratnam, B. Lactobacillus-derived extracellular vesicles enhance host immune responses against vancomycin-resistant enterococci. BMC Microbiol. 2017, 17, 66. [Google Scholar] [CrossRef]
- Nam, B.; Kim, S.A.; Park, S.D.; Kim, H.J.; Kim, J.S.; Bae, C.H.; Kim, J.Y.; Nam, W.; Lee, J.L.; Sim, J.H. Regulatory effects of Lactobacillus plantarum HY7714 on skin health by improving intestinal condition. PLoS ONE 2020, 15, e0231268. [Google Scholar] [CrossRef]
- Gilliam, C.H.; de Cardenas, J.B.; Carias, D.; Alfaro, G.M.; Hayden, R.T.; Hakim, H. Lactoba-cillus bloodstream infections genetically related to probiotic use in pediatric hematopoietic cell transplant patients. Infect. Control Hosp. Epidemiol. 2023, 44, 484–487. [Google Scholar] [CrossRef]
- Rauseo, A.M.; Hink, T.; Reske, K.A.; Seiler, S.M.; Bommarito, K.M.; Fraser, V.J.; Burnham, C.-A.D.; Dubberke, E.R.; CDC Prevention Epicenter Program. A randomized controlled trial of Lactobacillus rhamnosus GG on antimicrobial-resistant organism colonization. Infect. Control Hosp. Epidemiol. 2021, 43, 167–173. [Google Scholar] [CrossRef]
- D’Angelo, C.; Sudakaran, S.; Asimakopoulos, F.; Hematti, P.; El-Gamal, D.; Safdar, N.; Callander, N. Perturbation of the gut micro-biome and association with outcomes following autologous stem cell transplantation in patients with multiple myeloma. Leuk Lymphoma 2023, 64, 87–97. [Google Scholar] [CrossRef]
- Masetti, R.; Leardini, D.; Muratore, E.; Fabbrini, M.; D’Amico, F.; Zama, D.; Baccelli, F.; Gottardi, F.; Belotti, T.; Ussowicz, M.; et al. Gut microbiota diversity before al-logeneic hematopoietic stem cell transplantation as a predictor of mortality in children. Blood 2023, 142, 1387–1398. [Google Scholar] [CrossRef]
- Carvalho, R.; Vaz, A.; Pereira, F.L.; Dorella, F.; Aguiar, E.; Chatel, J.M.; Bermudez, L.; Langella, P.; Fernandes, G.; Figueiredo, H.; et al. Gut microbiome modulation during treatment of mu-cositis with the dairy bacterium Lactococcus lactis and recombinant strain secreting human antimicrobial PAP. Sci. Rep. 2018, 8, 15072. [Google Scholar] [CrossRef]
- Kim, S.G.; Becattini, S.; Moody, T.U.; Shliaha, P.V.; Littmann, E.R.; Seok, R.; Gjonbalaj, M.; Eaton, V.; Fontana, E.; Amoretti, L.; et al. Microbiota-derived lantibiotic restores resistance against vancomycin-resistant Enterococcus. Nature 2019, 572, 665–669. [Google Scholar] [CrossRef]
- Heidenreich, D.; Kreil, S.; Jawhar, M.; Müller, N.; Nolte, F.; Becker, K.P.; Miethke, T.; Hofmann, W.-K.; Klein, S.A. Course of colonization by multidrug-resistant organ-isms after allogeneic hematopoietic cell transplantation. Ann. Hematol. 2018, 97, 2501–2508. [Google Scholar] [CrossRef]
- Cohen, S.A.; Woodfield, M.C.; Boyle, N.; Stednick, Z.; Boeckh, M.; Pergam, S.A. Incidence and outcomes of bloodstream infections among hematopoietic cell transplant recipients from species commonly reported to be in over-the-counter probiotic formula-tions. Transpl. Infect. Dis. 2016, 18, 699–705. [Google Scholar] [CrossRef]
- Douglas, G.M.; Maffei, V.J.; Zaneveld, J.R.; Yurgel, S.N.; Brown, J.R.; Taylor, C.M.; Huttenhower, C.; Langille, M.G.I. PICRUSt2 for prediction of metagenome functions. Nat. Biotechnol. 2020, 38, 685–688. [Google Scholar] [CrossRef]
- Li, Z.; Lu, G.; Li, Z.; Wu, B.; Luo, E.; Qiu, X.; Guo, J.; Xia, Z.; Zheng, C.; Su, Q.; et al. Altered Actinobacteria and Firmicutes Phylum Associated Epitopes in Patients with Parkinson’s Disease. Front. Immunol. 2021, 12, 632482. [Google Scholar] [CrossRef]
- National Cancer Institute. Common Terminology Criteria for Adverse Events (CTCAE) Verson 5.0; US Department of Health and Human Services, National Institutes of Health, National Cancer Institute: Washington, DC, USA, 2020.
- Siegel, J.D.; Rhinehart, E.; Jackson, M.; Chiarello, L. Management of multi-drug resistant organisms in healthcare settings. J. Korean Med. Assoc. 2018, 61, 26–35. [Google Scholar]
- Woodford, N.; Ellington, M.J.; Coelho, J.M.; Turton, J.F.; Ward, M.E.; Brown, S.; Amyes, S.G.; Livermore, D.M. Multiplex PCR for genes encoding prevalent OXA carbapenemases in Acinetobacter spp. Int. J. Antimicrob. Agents 2006, 27, 351–353. [Google Scholar] [CrossRef]
- Higgins, P.G.; Poirel, L.; Lehmann, M.; Nordmann, P.; Seifert, H. OXA-143, a novel carbapenem-hydrolyzing class D β-lactamase in Acinetobacter baumannii. Antimicrob. Agents Chemother. 2009, 12, 5035–5038. [Google Scholar] [CrossRef]
- Mendes, R.E.; Kiyota, K.A.; Monteiro, J.; Castanheira, M.; Andrade, S.S.; Gales, A.C.; Pignatari, A.C.C.; Tufik, S. Rapid detection and identification of metal-lo-beta-lactamase-encoding genes by multiplex real-time PCR assay and melt curve analysis. J. Clin. Microbiol. 2007, 45, 544–547. [Google Scholar] [CrossRef]
- CDC—Center for Disease Control and Prevention. Bloodstream Infection Event (Central Line-Associated Bloodstream Infection and Non-Central Line-Associated Bloodstream Infection). Available online: https://www.cdc.gov/nhsn/pdfs/pscmanual/4psc_clabscurrent.pdf (accessed on 16 October 2024).
- Ribeiro, R.M.; de Souza-Basqueira, M.; de Oliveira, L.C.; Salles, F.C.; Pereira, N.B.; Sabino, E.C. An alternative storage method for characterization of the intestinal microbiota through next generation sequencing. Rev. Inst. Med. Trop. Sao Paulo 2018, 60, e77. [Google Scholar] [CrossRef]
- Caporaso, J.G.; Lauber, C.L.; Walters, W.A.; Berg-Lyons, D.; Lozupone, C.A.; Turnbaugh, P.J.; Fierer, N.; Knight, R. Global patterns of 16S rRNA diver-sity at a depth of millions of sequences per sample. Proc. Natl. Acad. Sci. USA 2011, 108, 4516–4522. [Google Scholar] [CrossRef]
- Bolyen, E.; Rideout, J.R.; Dillon, M.R.; Bokulich, N.A.; Abnet, C.C.; Al-Ghalith, G.A.; Alexander, H.; Alm, E.J.; Arumugam, M.; Asnicar, F.; et al. Reproducible, interactive, scalable and exten-sible microbiome data science using QIIME 2. Nat. Biotechnol. 2019, 37, 852–857. [Google Scholar] [CrossRef]
- Callahan, B.J.; Mcmurdie, P.J.; Rosen, M.J.; Han, A.W.; Johnson, A.J.A.; Holmes, S.P. DADA2: High-resolution sample inference from Illumina amplicon data. Nat. Methods 2016, 13, 581–583. [Google Scholar] [CrossRef]
- Janssen, S.; McDonald, D.; Gonzalez, A.; Navas-Molina, J.A.; Jiang, L.; Xu, Z.Z.; Winker, K.; Kado, D.M.; Orwoll, E.; Manary, M.; et al. Phylogenetic Placement of Exact Amplicon Sequences Improves Associations with Clinical Information. mSystems 2018, 3, e00021-18. [Google Scholar] [CrossRef]
- Mirarab, S.; Nguyen, N.; Warnow, T. SEPP: SATé-Enabled Phylogenetic Placement. In Proceedings of the Pacific Symposium on Biocomputing, Kohala Coast, HI, USA, 3–7 January 2012; pp. 247–258. [Google Scholar]
- Faith, D.P. Conservation evaluation and phylogenetic diversity. Biol. Conserv. 1992, 61, 1–10. [Google Scholar] [CrossRef]
- Lozupone, C.A.; Hamady, M.; Kelley, S.T.; Knight, R. Quantitative and Qualitative β Diversity Measures Lead to Different Insights into Factors That Structure Microbial Communities. Appl. Environ. Microbiol. 2007, 73, 1576–1585. [Google Scholar] [CrossRef]
- Lozupone, C.; Knight, R. UniFrac: A New Phylogenetic Method for Comparing Microbial Communities. Appl. Environ. Microbiol. 2005, 71, 8228–8235. [Google Scholar] [CrossRef] [PubMed]
- Segata, N.; Izadt, J.; Waldron, L.; Gebers, D.; Miropolsky, L.; Garrett, W.S.; Hutternhower, C. Metagenomic biomarker discovery and explanation. Genome Biol. 2011, 12, R60. [Google Scholar] [CrossRef] [PubMed]
- Bokulich, N.A.; Kaehler, B.D.; Rideout, J.R.; Dillon, M.; Boleyn, E.; Knight, R.; Huttley, G.A.; Caporaso, J.G. Optimizing taxonomic classification of marker-gene amplicon sequences with QIIME 2’s q2-feature-classifier plugin. Microbiome 2018, 6, 90. [Google Scholar] [CrossRef] [PubMed]
- Mandal, S.; Van Treuren, W.; White, R.A.; Eggesbø, M.Å.; Knight, R.T.; Peddada, S.D. Analysis of composition of microbiomes: A novel method for studying microbial composition. Microb. Ecol. Health Dis. 2015, 26, 27663. [Google Scholar] [CrossRef]
- Yang, C.; Mai, J.; Cao, X.; Burberry, A.; Cominelli, F.; Zhang, L. ggpicrust2: An R package for PICRUSt2 predicted functional profile analysis and visualization. Bioinformatics 2023, 39, btad470. [Google Scholar] [CrossRef]
Disclaimer/Publisher’s Note: The statements, opinions and data contained in all publications are solely those of the individual author(s) and contributor(s) and not of MDPI and/or the editor(s). MDPI and/or the editor(s) disclaim responsibility for any injury to people or property resulting from any ideas, methods, instructions or products referred to in the content. |
© 2024 by the authors. Licensee MDPI, Basel, Switzerland. This article is an open access article distributed under the terms and conditions of the Creative Commons Attribution (CC BY) license (https://creativecommons.org/licenses/by/4.0/).