Investigation into the Effectiveness of an Herbal Combination (Angocin®Anti-Infekt N) in the Therapy of Acute Bronchitis: A Retrospective Real-World Cohort Study
Abstract
1. Introduction
2. Methods
2.1. Data Source
2.2. Study Population
- Angocin® Anti-Infekt N (R05XP50);
- Thyme products (ATC: R05CP01 (thyme mono), R05CP51 (thyme combinations));
- Essential oils (ATC: R05CP59 (eucalyptus oil, combinations, e.g., myrtol), R05CA13 (cineole));
- Mucolytics (ATC: R05CB06 (ambroxol), R05CB01 (acetylcysteine), R05CB02 (bromhexine));
- Antibiotics (ATC: J01 (antibiotics for systemic use)).
2.3. Propensity Score Matching
2.4. Statistical Analyses
3. Results
3.1. Baseline Characteristics of Study Patients
3.2. Recurrence of Acute Bronchitis
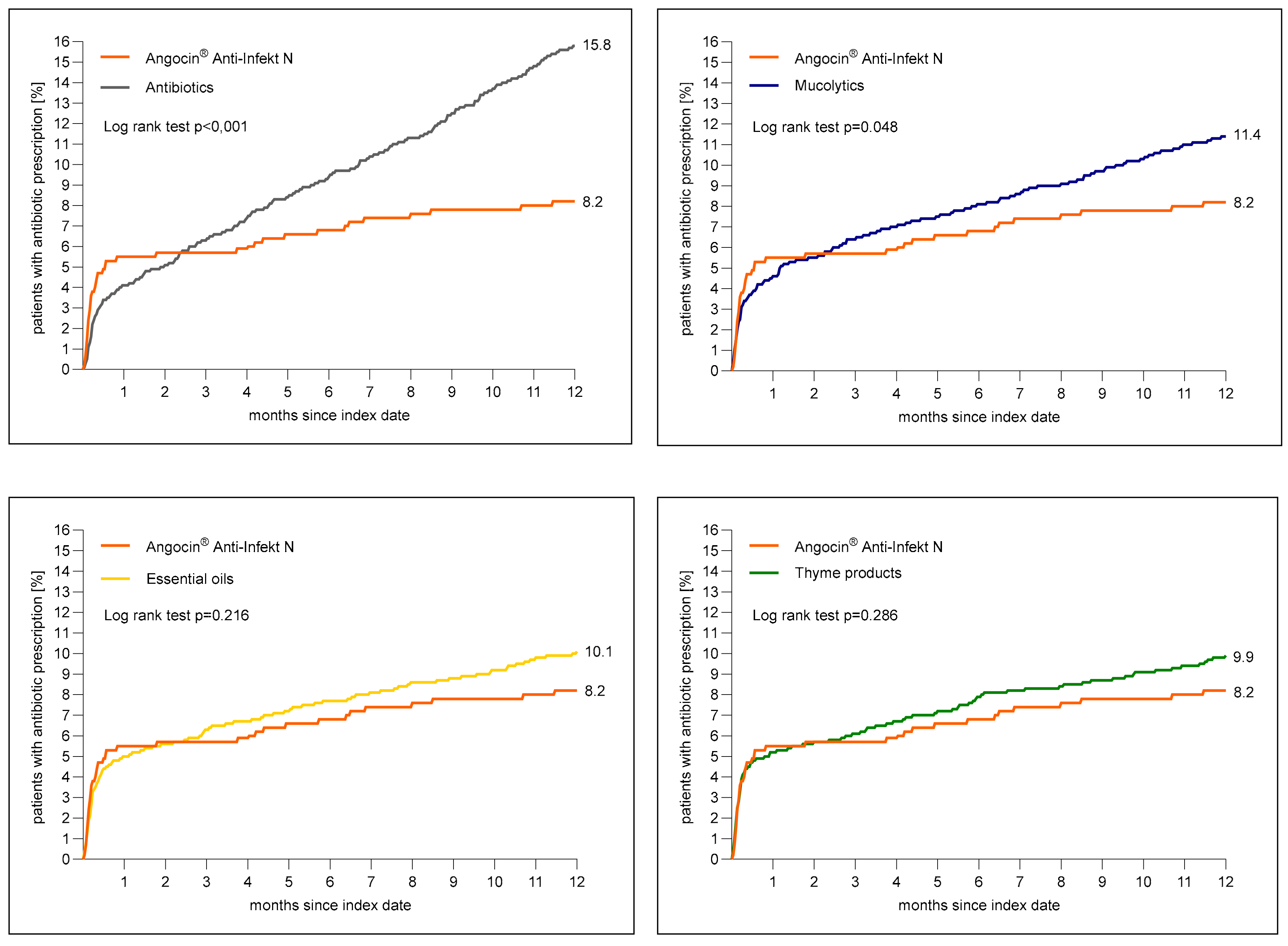
3.3. Antibiotic Prescriptions after the Index Date
3.4. Incidence of Chronic Bronchitis
3.5. Sick Leave Associated with Acute Bronchitis
4. Discussion
5. Limitations
6. Conclusions
Author Contributions
Funding
Institutional Review Board Statement
Informed Consent Statement
Data Availability Statement
Conflicts of Interest
References
- Park, J.Y.; Park, S.; Lee, S.H.; Lee, M.G.; Park, Y.B.; Oh, K.C.; Lee, J.M.; Kim, D.I.; Seo, K.H.; Shin, K.C.; et al. Microorganisms Causing Community-Acquired Acute Bronchitis: The Role of Bacterial Infection. PLoS ONE 2016, 11, e0165553. [Google Scholar] [CrossRef]
- Lehrl, S.; Kardos, P.; Matthys, H.; Kamin, W. Validation of a Clinical Instrument for Measuring the Severity of Acute Bronchitis in Children—The BSS-ped. Open Respir. Med. J. 2018, 12, 81–82. [Google Scholar] [CrossRef] [PubMed]
- Singh, A.; Avula, A.; Zahn, E. Acute Bronchitis. In StatPearls; StatPearls: Treasure Island, FL, USA, 2024. [Google Scholar]
- Goto, A.; Komiya, K.; Umeki, K.; Hiramatsu, K.; Kadota, J.I. Impact of Antibiotics Used for Acute Aspiration Bronchitis on the Prevention of Pneumonia. Geriatrics 2024, 9, 26. [Google Scholar] [CrossRef] [PubMed]
- Kern, W.V.; Kostev, K. Prevalence of and Factors Associated with Antibiotic Prescriptions in Patients with Acute Lower and Upper Respiratory Tract Infections—A Case-Control Study. Antibiotics 2021, 10, 455. [Google Scholar] [CrossRef] [PubMed]
- Schubert, N.; Kuhlein, T.; Burggraf, L. The conceptualization of acute bronchitis in general practice—A fuzzy problem with consequences? A qualitative study in primary care. BMC Prim. Care 2023, 24, 92. [Google Scholar] [CrossRef]
- Kleibrink, B.; Taube, C. Acute Respiratory Tract Infections/Acute Bronchitis. Dtsch. Med. Wochenschr. 2019, 144, 185–188. [Google Scholar] [CrossRef]
- Soilemezi, D.; Leydon, G.M.; Yan, R.; Simpson, C.; Bell, M.; Bostock, J.; Moore, M.; Willcox, M. Herbal medicine for acute bronchitis: A qualitative interview study of patients’ and health professionals’ views. Complement. Ther. Med. 2020, 55, 102613. [Google Scholar] [CrossRef]
- Kemmerich, B. Evaluation of efficacy and tolerability of a fixed combination of dry extracts of thyme herb and primrose root in adults suffering from acute bronchitis with productive cough. A prospective, double-blind, placebo-controlled multicentre clinical trial. Arzneimittelforschung 2007, 57, 607–615. [Google Scholar] [CrossRef]
- Kemmerich, B.; Eberhardt, R.; Stammer, H. Efficacy and tolerability of a fluid extract combination of thyme herb and ivy leaves and matched placebo in adults suffering from acute bronchitis with productive cough. A prospective, double-blind, placebo-controlled clinical trial. Arzneimittelforschung 2006, 56, 652–660. [Google Scholar] [CrossRef]
- Gruenwald, J.; Graubaum, H.J.; Busch, R. Evaluation of the non-inferiority of a fixed combination of thyme fluid- and primrose root extract in comparison to a fixed combination of thyme fluid extract and primrose root tincture in patients with acute bronchitis. A single-blind, randomized, bi-centric clinical trial. Arzneimittelforschung 2006, 56, 574–581. [Google Scholar] [CrossRef]
- Gruenwald, J.; Graubaum, H.J.; Busch, R. Efficacy and tolerability of a fixed combination of thyme and primrose root in patients with acute bronchitis. A double-blind, randomized, placebo-controlled clinical trial. Arzneimittelforschung 2005, 55, 669–676. [Google Scholar] [CrossRef] [PubMed]
- Fischer, J.; Dethlefsen, U. Efficacy of cineole in patients suffering from acute bronchitis: A placebo-controlled double-blind trial. Cough 2013, 9, 25. [Google Scholar] [CrossRef] [PubMed]
- Matthys, H.; de Mey, C.; Carls, C.; Rys, A.; Geib, A.; Wittig, T. Efficacy and tolerability of myrtol standardized in acute bronchitis. A multi-centre, randomised, double-blind, placebo-controlled parallel group clinical trial vs. cefuroxime and ambroxol. Arzneimittelforschung 2000, 50, 700–711. [Google Scholar] [CrossRef]
- Gillissen, A.; Wittig, T.; Ehmen, M.; Krezdorn, H.G.; de Mey, C. A multi-centre, randomised, double-blind, placebo-controlled clinical trial on the efficacy and tolerability of GeloMyrtol(R) forte in acute bronchitis. Drug Res. 2013, 63, 19–27. [Google Scholar] [CrossRef]
- Albrecht, U.; Stefenelli, U.; Stange, R. A combination of Tropaeolum majus herb and Armoracia rusticana root for the treatment of acute bronchitis. Phytomed. Int. J. Phytother. Phytopharm. 2023, 116, 154838. [Google Scholar] [CrossRef]
- Cwientzek, U.; Ottillinger, B.; Arenberger, P. Acute bronchitis therapy with ivy leaves extracts in a two-arm study. A double-blind, randomised study vs. an other ivy leaves extract. Phytomed. Int. J. Phytother. Phytopharm. 2011, 18, 1105–1109. [Google Scholar] [CrossRef]
- Schaefer, A.; Ludwig, F.; Giannetti, B.M.; Bulitta, M.; Wacker, A. Efficacy of two dosing schemes of a liquid containing ivy leaves dry extract EA 575 versus placebo in the treatment of acute bronchitis in adults. ERJ Open Res. 2019, 5, 00019-2019. [Google Scholar] [CrossRef]
- Conrad, A. In-vitro-Untersuchungen zur antibakteriellen Wirksamkeit einer Kombination aus Kapuzinerkressekraut (Tropaeoli majoris herba) und Meerrettichwurzel (Armoraciae rusticanae radix). Drug Res. 2006, 56, 842–849. [Google Scholar]
- Conrad, A.; Biehler, D.; Nobis, T.; Richter, H.; Engels, I.; Biehler, K.; Frank, U. Broad spectrum antibacterial activity of a mixture of isothiocyanates from nasturtium (Tropaeoli majoris herba) and horseradish (Armoraciae rusticanae radix). Drug Res. 2013, 63, 65–68. [Google Scholar] [CrossRef]
- Goos, K.-H.; Albrecht, U.; Schneider, B. Wirksamkeit und Verträglichkeit eines pflanzlichen Arzneimittels mit Kapuzinerkressenkraut und Meerrettich bei akuter Sinusitis, akuter Bronchitis und akuter Blasenentzündung im Vergleich zu anderen Therapien unter den Bedingungen der täglichen Praxis. Arzneimittelforschung 2006, 56, 249–257. [Google Scholar] [CrossRef]
- Goos, K.-H.; Albrecht, U.; Schneider, B. Aktuelle Untersuchungen zur Wirksamkeit und Verträglichkeit eines pflanzlichen Arzneimittels mit Kapuzinerkressenkraut und Meerrettich bei akuter Sinusitis, akuter Bronchitis und akuter Blasenentzündung bei Kindern im Vergleich zu anderen Antibiotika. Arzneimittelforschung 2007, 57, 238–246. [Google Scholar] [CrossRef] [PubMed]
- Albrecht, U.; Stange, R.; Schermuly, N. Efficacy and Safety of The Herbal Combination Containing Tropaeoli Majoris Herba and Armoraciae Rusticanae Radix in Patients Suffering from Uncomplicated, Acute Rhinosinusitis: A Randomized, Double-Blind, Placebo Controlled, Two-Arm, Parallel Group, Phase. J. Curr. Med. Res. Opin. 2020, 3, 665–681. [Google Scholar] [CrossRef]
- Rathmann, W.; Bongaerts, B.; Carius, H.J.; Kruppert, S.; Kostev, K. Basic characteristics and representativeness of the German Disease Analyzer database. Int. J. Clin. Pharmacol. Ther. 2018, 56, 459–466. [Google Scholar] [CrossRef]
- Tanislav, C.; Kostev, K. Fewer non-COVID-19 respiratory tract infections and gastrointestinal infections during the COVID-19 pandemic. J. Med. Virol. 2022, 94, 298–302. [Google Scholar] [CrossRef]
- Liau, M.Y.Q.; Toh, E.Q.; Muhamed, S.; Selvakumar, S.V.; Shelat, V.G. Can propensity score matching replace randomized controlled trials? World J. Methodol. 2024, 14, 90590. [Google Scholar] [CrossRef] [PubMed]
- Charlson, M.E.; Pompei, P.; Ales, K.L.; MacKenzie, C.R. A new method of classifying prognostic comorbidity in longitudinal studies: Development and validation. J. Chronic Dis. 1987, 40, 373–383. [Google Scholar] [CrossRef]
- Charlson, M.E.; Carrozzino, D.; Guidi, J.; Patierno, C. Charlson Comorbidity Index: A Critical Review of Clinimetric Properties. Psychother. Psychosom. 2022, 91, 8–35. [Google Scholar] [CrossRef]
- Kim, S.; Park, J.; Kwon, J.H.; Oh, A.R.; Gook, J.; Yang, K.; Choi, J.H.; Kim, K.; Sung, J.D.; Ahn, J.; et al. The Charlson Comorbidity Index is associated with risk of 30-day mortality in patients with myocardial injury after non-cardiac surgery. Sci. Rep. 2021, 11, 18933. [Google Scholar] [CrossRef]
- Gong, G.; Wan, W.; Zhang, X.; Liu, Y.; Liu, X.; Yin, J. Correlation between the Charlson comorbidity index and skeletal muscle mass/physical performance in hospitalized older people potentially suffering from sarcopenia. BMC Geriatr. 2019, 19, 367. [Google Scholar] [CrossRef]
- Sharabiani, M.T.; Aylin, P.; Bottle, A. Systematic review of comorbidity indices for administrative data. Med. Care 2012, 50, 1109–1118. [Google Scholar] [CrossRef]
- Stuart, E.A.; Lee, B.K.; Leacy, F.P. Prognostic score-based balance measures can be a useful diagnostic for propensity score methods in comparative effectiveness research. J. Clin. Epidemiol. 2013, 66, S84–S90. [Google Scholar] [CrossRef] [PubMed]
- Ehrenberg, C.; Kalder, M.; Kostev, K. Prevalence of and factors associated with the prescription of phytopharmaceuticals in outpatients with urinary tract infections. Int. J. Clin. Pharmacol. Ther. 2021, 59, 654–661. [Google Scholar] [CrossRef] [PubMed]
- Llor, C.; Bjerrum, L. Antibiotic prescribing for acute bronchitis. Expert. Rev. Anti Infect. Ther. 2016, 14, 633–642. [Google Scholar] [CrossRef] [PubMed]
- Benoun, J.M.; Labuda, J.C.; McSorley, S.J. Collateral Damage: Detrimental Effect of Antibiotics on the Development of Protective Immune Memory. MBio 2016, 7, e01520-16. [Google Scholar] [CrossRef]
- Kaiser, S.J.; Mutters, N.T.; Blessing, B.; Gunther, F. Natural isothiocyanates express antimicrobial activity against developing and mature biofilms of Pseudomonas aeruginosa. Fitoterapia 2017, 119, 57–63. [Google Scholar] [CrossRef]
- Manuguerra, S.; Caccamo, L.; Mancuso, M.; Arena, R.; Rappazzo, A.C.; Genovese, L.; Santulli, A.; Messina, C.M.; Maricchiolo, G. The antioxidant power of horseradish, Armoracia rusticana, underlies antimicrobial and antiradical effects, exerted in vitro. Nat. Prod. Res. 2020, 34, 1567–1570. [Google Scholar] [CrossRef]
- Scaglione, F.; Petrini, O. Mucoactive Agents in the Therapy of Upper Respiratory Airways Infections: Fair to Describe Them Just as Mucoactive? Clin. Med. Insights Ear Nose Throat 2019, 12, 1179550618821930. [Google Scholar] [CrossRef]
- Mastalerz-Migas, A.; Doniec, Z.; Plusa, T. Bronchipret TE(R) in therapy of acute infections of the respiratory tract. Pol. Merkur. Lek. 2017, 43, 255–257. [Google Scholar]
- Herz, C.; Márton, M.-R.; Tran, H.T.T.; Gründemann, C.; Schell, J.; Lamy, E. Benzyl isothiocyanate but not benzyl nitrile from Brassicales plants dually blocks the COX and LOX pathway in primary human immune cells. J. Funct. Foods 2016, 23, 135–143. [Google Scholar] [CrossRef]
- Herz, C.; Tran, H.T.; Marton, M.R.; Maul, R.; Baldermann, S.; Schreiner, M.; Lamy, E. Evaluation of an Aqueous Extract from Horseradish Root (Armoracia rusticana Radix) against Lipopolysaccharide-Induced Cellular Inflammation Reaction. Evid.-Based Complement. Altern. Med. 2017, 2017, 1950692. [Google Scholar] [CrossRef]
- Tran, H.T.; Marton, M.R.; Herz, C.; Maul, R.; Baldermann, S.; Schreiner, M.; Lamy, E. Nasturtium (Indian cress, Tropaeolum majus nanum) dually blocks the COX and LOX pathway in primary human immune cells. Phytomed. Int. J. Phytother. Phytopharm. 2016, 23, 611–620. [Google Scholar] [CrossRef] [PubMed]
- Mazarakis, N.; Higgins, R.A.; Anderson, J.; Toh, Z.Q.; Luwor, R.B.; Snibson, K.J.; Karagiannis, T.C.; Do, L.A.H.; Licciardi, P.V. The effects of the dietary compound L-sulforaphane against respiratory pathogens. Int. J. Antimicrob. Agents 2021, 58, 106460. [Google Scholar] [CrossRef] [PubMed]
- Ordonez, A.A.; Bullen, C.K.; Villabona-Rueda, A.F.; Thompson, E.A.; Turner, M.L.; Merino, V.F.; Yan, Y.; Kim, J.; Davis, S.L.; Komm, O.; et al. Sulforaphane exhibits antiviral activity against pandemic SARS-CoV-2 and seasonal HCoV-OC43 coronaviruses in vitro and in mice. Commun. Biol. 2022, 5, 242. [Google Scholar] [CrossRef] [PubMed]
- Fu, J.; Zong, X.; Jin, M.; Min, J.; Wang, F.; Wang, Y. Mechanisms and regulation of defensins in host defense. Signal Transduct. Target. Ther. 2023, 8, 300. [Google Scholar] [CrossRef]
- Hostanska, K.; Melzer, J.; Amon, A.; Saller, R. Suppression of interleukin (IL)-8 and human beta defensin-2 secretion in LPS-and/or IL-1beta-stimulated airway epithelial A549 cells by a herbal formulation against respiratory infections (BNO 1030). J. Ethnopharmacol. 2011, 134, 228–233. [Google Scholar] [CrossRef]
- Pfaffle, S.P.; Herz, C.; Brombacher, E.; Proietti, M.; Gigl, M.; Hofstetter, C.K.; Mittermeier-Klessinger, V.K.; Classen, S.; Tran, H.T.T.; Dawid, C.; et al. A 14-Day Double-Blind, Randomized, Controlled Crossover Intervention Study with Anti-Bacterial Benzyl Isothiocyanate from Nasturtium (Tropaeolum majus) on Human Gut Microbiome and Host Defense. Nutrients 2024, 16, 373. [Google Scholar] [CrossRef]
- Fintelmann, V.; Albrecht, U.; Schmitz, G.; Schnitker, J. Efficacy and safety of a combination herbal medicinal product containing Tropaeoli majoris herba and Armoraciae rusticanae radix for the prophylactic treatment of patients with respiratory tract diseases: A randomised, prospective, double-blind, placebo-controlled phase III trial. Curr. Med. Res. Opin. 2012, 28, 1799–1807. [Google Scholar] [CrossRef]
- Chen, J.W.; Maldonado, D.R.; Kowalski, B.L.; Miecznikowski, K.B.; Kyin, C.; Gornbein, J.A.; Domb, B.G. Best Practice Guidelines for Propensity Score Methods in Medical Research: Consideration on Theory, Implementation, and Reporting. A Review. Arthroscopy 2022, 38, 632–642. [Google Scholar] [CrossRef]




| Variable | Patients with Angocin® Prescription | Patients with Essential Oils Prescription | Patients with Thyme Products Prescription | Patients with Mucolytics Prescription | Patients with Antibiotic Prescription | p-Value |
|---|---|---|---|---|---|---|
| N | 598 | 2990 | 2990 | 2990 | 2990 | |
| Mean age (SD) | 41.7 (17.8) | 41.9 (17.5) | 41.5 (18.4) | 41.8 (18.1) | 41.8 (17.9) | 0.881 |
| <18 years (N, %) | 37 (6.2) | 163 (5.5) | 214 (7.2) | 194 (6.5) | 182 (6.1) | 0.838 |
| 18–30 years (N, %) | 147 (24.6) | 742 (24.8) | 751 (25.1) | 732 (24.5) | 738 (24.7) | |
| 31–45 years (N, %) | 170 (28.4) | 852 (28.5) | 810 (27.1) | 838 (28.0) | 849 (28.4) | |
| 46–65 years (N, %) | 186 (31.1) | 938 (31.4) | 904 (30.2) | 915 (30.6) | 925 (30.9) | |
| >65 years (N, %) | 58 (9.7) | 295 (9.9) | 311 (10.4) | 311 (10.4) | 296 (9.9) | |
| Sex: female (N, %) | 354 (59.2) | 1765 (59.0) | 1775 (59.4) | 1743 (58.3) | 1787 (59.8) | 0.836 |
| Private health insurance coverage (N, %) | 62 (10.4) | 295 (9.9) | 291 (9.7) | 275 (9.2) | 300 (10.0) | 0.806 |
| CCI (median, interquartile range) | 0 (1) | 0 (1) | 0 (1) | 0 (1) | 0 (1) | 0.504 |
| Asthma/COPD (N, %) | 36 (6.0) | 148 (5.0) | 168 (5.6) | 171 (5.7) | 182 (6.1) | 0.406 |
| Cox Regression | Logistic Regression | |||
|---|---|---|---|---|
| Hazard Ratio (95% CI) | p-Value | Odds Ratio (95% CI) | p-Value | |
| Angocin® vs. essential oils | 0.61 (0.46–0.80) | <0.001 | 0.62 (0.46–0.82) | <0.001 |
| Angocin® vs. thyme products | 0.70 (0.53–0.91) | 0.009 | 0.70 (0.53–0.94) | 0.015 |
| Angocin® vs. mucolytics | 0.65 (0.49–0.85) | 0.002 | 0.66 (0.50–0.88) | 0.004 |
| Angocin® vs. antibiotics | 0.64 (0.49–0.84) | 0.001 | 0.65 (0.49–0.86) | 0.003 |
| Cox Regression | Logistic Regression | |||
|---|---|---|---|---|
| Hazard Ratio (95% CI) | p-Value | Odds Ratio (95% CI) | p-Value | |
| Angocin® vs. essential oils | 0.82 (0.60–1.12) | 0.216 | 0.85 (0.62–1.19) | 0.349 |
| Angocin® vs. thyme products | 0.84 (0.61–1.16) | 0.286 | 0.86 (0.62–1.19) | 0.362 |
| Angocin® vs. mucolytics | 0.73 (0.53–0.99) | 0.049 | 0.76 (0.55–1.05) | 0.096 |
| Angocin® vs. antibiotics | 0.53 (0.39–0.72) | <0.001 | 0.52 (0.38–0.72) | <0.001 |
| Hazard Ratio (95% CI) | p-Value | |
|---|---|---|
| Angocin® vs. essential oils | 0.60 (0.46–0.78) | <0.001 |
| Angocin® vs. thyme products | 0.53 (0.41–0.69) | <0.001 |
| Angocin® vs. mucolytics | 0.49 (0.38–0.63) | <0.001 |
| Angocin® vs. antibiotics | 0.59 (0.45–0.76) | <0.001 |
| >3 Days | ≥7 Days | ≥14 Days | ||||
|---|---|---|---|---|---|---|
| Sick Leave Duration | Odds Ratio (95% CI) | p-Value | Odds Ratio (95% CI) | p-Value | Odds Ratio (95% CI) | p-Value |
| Angocin® vs. essential oils | 1.03 (0.77–1.38) | 0.846 | 1.08 (0.79–1.49) | 0.616 | 1.36 (0.75–2.48) | 0.314 |
| Angocin® vs. thyme products | 1.07 (0.79–1.45) | 0.669 | 1.52 (1.08–2.13) | 0.015 | 1.52 (0.81–2.87) | 0.196 |
| Angocin® vs. mucolytics | 1.04 (0.77–1.41) | 0.805 | 1.10 (0.79–1.53) | 0.570 | 1.37 (0.73–2.55) | 0.329 |
| Angocin® vs. antibiotics | 0.88 (0.64–1.20) | 0.412 | 0.72 (0.52–0.99) | 0.044 | 0.67 (0.38–1.18) | 0.164 |
Disclaimer/Publisher’s Note: The statements, opinions and data contained in all publications are solely those of the individual author(s) and contributor(s) and not of MDPI and/or the editor(s). MDPI and/or the editor(s) disclaim responsibility for any injury to people or property resulting from any ideas, methods, instructions or products referred to in the content. |
© 2024 by the authors. Licensee MDPI, Basel, Switzerland. This article is an open access article distributed under the terms and conditions of the Creative Commons Attribution (CC BY) license (https://creativecommons.org/licenses/by/4.0/).
Share and Cite
Kassner, N.; Wonnemann, M.; Ziegler, Y.; Stange, R.; Kostev, K. Investigation into the Effectiveness of an Herbal Combination (Angocin®Anti-Infekt N) in the Therapy of Acute Bronchitis: A Retrospective Real-World Cohort Study. Antibiotics 2024, 13, 982. https://doi.org/10.3390/antibiotics13100982
Kassner N, Wonnemann M, Ziegler Y, Stange R, Kostev K. Investigation into the Effectiveness of an Herbal Combination (Angocin®Anti-Infekt N) in the Therapy of Acute Bronchitis: A Retrospective Real-World Cohort Study. Antibiotics. 2024; 13(10):982. https://doi.org/10.3390/antibiotics13100982
Chicago/Turabian StyleKassner, Nina, Meinolf Wonnemann, Yvonne Ziegler, Rainer Stange, and Karel Kostev. 2024. "Investigation into the Effectiveness of an Herbal Combination (Angocin®Anti-Infekt N) in the Therapy of Acute Bronchitis: A Retrospective Real-World Cohort Study" Antibiotics 13, no. 10: 982. https://doi.org/10.3390/antibiotics13100982
APA StyleKassner, N., Wonnemann, M., Ziegler, Y., Stange, R., & Kostev, K. (2024). Investigation into the Effectiveness of an Herbal Combination (Angocin®Anti-Infekt N) in the Therapy of Acute Bronchitis: A Retrospective Real-World Cohort Study. Antibiotics, 13(10), 982. https://doi.org/10.3390/antibiotics13100982

