Predicting Beta-Lactam Target Non-Attainment in ICU Patients at Treatment Initiation: Development and External Validation of Three Novel (Machine Learning) Models
Abstract
:1. Introduction
Background
2. Results
2.1. Model Building and Internal Validation
2.1.1. Model Development
2.1.2. Internal Validation
2.2. External Validation
2.3. Online Beta-Lactam Target Non-Attainment Predictor
3. Discussion
4. Patients and Methods
4.1. Model Building and Internal Validation
4.1.1. Development Cohort
4.1.2. Pharmacodynamic Target Attainment
4.1.3. Variable Selection
4.1.4. Model Development
4.1.5. Internal Validation
- The AUROC curve was used. AUROC curves were calculated for each cross-validation to evaluate discrimination. The 95% CI for the AUROC curves was calculated using DeLong’s test [32]. In the ICU setting, an adequate threshold probability for many clinical decisions concerning antimicrobial dosing is 0.20 [33,34]. This means that TDM should be applied if there is a 20% or higher chance that the target is not achieved, in which case the clinician should be willing to perform TDM in four patients who do not actually show beta-lactam target non-attainment in the next 12–36 h (false positives) to treat one patient who truly shows beta-lactam target non-attainment in the next 12–36 h (true positive). For more information regarding the threshold probability, see Appendix J. We manually selected the ideal threshold probability for each prediction model, based on optimal sensitivity and specificity, using Youden’s J statistic [35]. We calculated sensitivity, specificity, negative predictive value, positive predictive value, and misclassification for beta-lactam target non-attainment within the next 12–36 h after therapy initiation, both for the 0.20 and ideal threshold probability. For our beta-lactam target non-attainment models, we prioritized sensitivity over specificity, to avoid missing patients with target non-attainment.
4.2. External Validation
4.3. Statistical Analysis
5. Conclusions
Author Contributions
Funding
Institutional Review Board Statement
Informed Consent Statement
Data Availability Statement
Conflicts of Interest
Appendix A. Results: Flowchart

Appendix B. Results: Descriptive Statistics of Included Patients for Model Development and Internal Validation
| Variables | Target Attainment (N = 261) | Target Non-Attainment (N = 115) | Overall (N = 376) |
|---|---|---|---|
| Age (years) | 65.0 [58.0, 72.0] | 61.0 [50.5, 67.0] | 64.0 [56.0, 71.0] |
| Height (cm) | 173 [165, 180] | 176 [170, 183] | 175 [167, 182] |
| Actual body weight (kg) | 80.0 [68.0, 92.0] | 80.0 [70.0, 90.0] | 80.0 [69.9, 90.0] |
| Sex (male) | 155 (59.4) | 77 (67.0) | 232 (61.7) |
| BMI (kg/m2) | 26.0 [23.2, 29.7] | 25.3 [22.4, 29.0] | 25.8 [22.9, 29.3] |
| SOFA Score d0 | 9.00 [5.00, 12.0] (N = 260) | 7.00 [4.00, 9.00] | 8.00 [5.00, 11.0] (N = 375) |
| APACHE IV Score | 59.0 [26.0, 81.5] (N = 260) | 33.0 [21.5, 61.0] | 50.0 [24.0, 78.0] (N = 375) |
| Sepsis (No) | 126 (48.3) | 86 (74.8) | 212 (56.4) |
| Cardiac Surgery (No) | 253 (96.9) (N = 256) | 114 (99.1) (N = 114) | 367 (97.6) (N = 370) |
| Trauma (No) | 243 (93.1) (N = 256) | 101 (87.8) (N = 114) | 344 (91.5) (N = 370) |
| Study antibiotic | |||
| Amoxicillin | 7 (2.7) | 8 (7.0) | 15 (4.0) |
| Cefotaxime | 40 (15.3) | 37 (32.2) | 77 (20.5) |
| Ceftazidime | 14 (5.4) | 1 (0.9) | 15 (4.0) |
| Ceftriaxone | 100 (38.3) | 12 (10.4) | 112 (29.8) |
| Cefuroxime | 47 (18.0) | 25 (21.7) | 72 (19.1) |
| Flucloxacillin | 6 (2.3) | 11 (9.6) | 17 (4.5) |
| Meropenem | 40 (15.3) | 14 (12.2) | 54 (14.4) |
| Piperacillin/tazobactam | 7 (2.7) | 7 (6.1) | 14 (3.7) |
| Serum creatinine d0 (mg/dL) | 1.24 [0.769, 1.87] | 0.735 [0.577, 1.07] | 0.995 [0.690, 1.56] |
| Urea d0 (mmol/L) | 10.7 [6.80, 16.8] (N = 253) | 7.20 [4.90, 9.93] (N = 112) | 9.00 [6.40, 14.7] (N = 365) |
| CRP d0 (mg/L) | 151 [51.5, 260] (N = 256) | 119 [28.0, 188] (N = 111) | 136 [44.5, 251] (N = 367) |
| WBC d0 (/L) | 13.1 [8.18, 17.6] (N = 260) | 13.5 [9.60, 18.2] (N = 113) | 13.2 [8.40, 17.9] (N = 373) |
| Albumin (g/L) | 27.0 [21.0, 32.0] (N = 239) | 30.0 [24.5, 35.0] (N = 107) | 28.0 [22.0, 33.0] (N = 346) |
| Number of ICU days before start of the antibiotic | 2.00 [2.00, 4.00] | 2.00 [2.00, 5.00] | 2.00 [2.00, 4.00] |
| Fluid balance d0 | 1390 [111, 3050] (N = 260) | 873 [191, 1960] (N = 112) | 1240 [139, 2780] (N = 372) |
| Defined daily dosage | 1.00 [1.00, 1.50] (N = 260) | 1.00 [1.00, 1.50] | 1.00 [1.00, 1.50] (N = 375) |
| Normalized dosing | 1.00 [1.00, 1.50] | 1.00 [1.00, 1.50] | 1.00 [1.00, 1.50] |
Appendix C. Results: Dose Regimens of the Antibiotics Used for Model Development and Internal Validation
| Study Antibiotic | Median Dosage | Lower 95% CI Median Dosage | Upper 95% CI Median Dosage |
|---|---|---|---|
| Amoxicillin | 1000 mg q6h | 1000 mg q6h | 2000 mg q8h |
| Amoxicillin/clavulanic acid | 1000/200 mg q6h | 1000/200 mg q8h | 1000/200 mg q6h |
| Cefotaxime | 1000 mg q6h | 1000 mg q8h | 1000 mg q6h |
| Ceftazidime | 2000 mg q8h | 2000 mg q12h | 2000 mg q8h |
| Ceftriaxone | 2000 mg q24h | 2000 mg q24h | 2000 mg q24h |
| Cefuroxime | 1500 mg q8h | 1500 mg q8h | 1500 mg q8h |
| Flucloxacillin | 1000 mg q4h | 500 mg q.6.h | 2000 mg q4h |
| Meropenem | 1000 mg q8h | 1000 mg q8h | 1000 mg q8h |
| Piperacillin/tazobactam | 4000/500 mg q8h | 4000/500 mg q8h | 4000/500 mg q6h |
Appendix D. Results: Relative Variable Importance on Beta-Lactam Target Non-Attainment

Appendix E. Results: Metrics of the Three Models
| 5A | |||||||
|---|---|---|---|---|---|---|---|
| Model | AUROC | Sensitivity | Specificity | NPV | PPV | Misclassification | Ideal Threshold |
| RF model | 0.81 [0.75–0.91] | 0.83 [0.73–0.91] | 0.65 [0.49–0.80] | 0.90 [0.83–0.95] | 0.51 [0.40–0.65] | 0.30 [0.18–0.42] | 0.20 |
| LR model | 0.81 [0.76–0.91] | 0.85 [0.73–0.95] | 0.60 [0.51–0.71] | 0.91 [0.84–0.97] | 0.48 [0.42–0.55] | 0.32 [0.25–0.38] | 0.21 |
| NB model | 0.82 [0.74–0.91] | 0.85 [0.77–0.95] | 0.62 [0.43–0.75] | 0.90 [0.83–0.97] | 0.50 [0.39–0.61] | 0.31 [0.21–0.44] | 0.17 |
| 5B | |||||||
| Model | AUROC | Sensitivity | Specificity | NPV | PPV | Misclassification | Threshold |
| RF model | 0.81 [0.75–0.91] | 0.83 [0.73–0.91] | 0.65 [0.49–0.80] | 0.90 [0.83–0.95] | 0.51 [0.40–0.65] | 0.30 [0.18–0.42] | 0.20 |
| LR model | 0.81 [0.76–0.91] | 0.86 [0.73–0.95] | 0.59 [0.49–0.69] | 0.91 [0.84–0.97] | 0.48 [0.42–0.54] | 0.33 [0.26–0.40] | 0.20 |
| NB model | 0.82 [0.74–0.91] | 0.83 [0.73–0.91] | 0.67 [0.53–0.78] | 0.90 [0.84–0.95] | 0.53 [0.41–0.64] | 0.28 [0.18–0.40] | 0.20 |
| 5C | |||||||
| Model | AUROC | Sensitivity | Specificity | NPV | PPV | Misclassification | Threshold |
| RF model | 0.79 [0.72–0.86] | 0.90 [0.81–0.96] | 0.50 [0.38–0.62] | 0.85 [0.71–0.94] | 0.62 [0.52–0.72] | 0.31 [0.23–0.39] | 0.20 |
| LR model | 0.80 [0.73–0.87] | 0.90 [0.81–0.96] | 0.50 [0.38–0.62] | 0.85 [0.71–0.94] | 0.62 [0.52–0.72] | 0.31 [0.23–0.39] | 0.21 |
| NB model | 0.75 [0.67–0.82] | 0.89 [0.79–0.95] | 0.47 [0.36–0.59] | 0.82 [0.68–0.92] | 0.61 [0.51–0.70] | 0.33 [0.25–0.41] | 0.17 |
| 5D | |||||||
| Model | AUROC | Sensitivity | Specificity | NPV | PPV | Misclassification | Threshold |
| RF model | 0.79 [0.72–0.86] | 0.90 [0.81–0.96] | 0.50 [0.38–0.62] | 0.85 [0.71–0.94] | 0.62 [0.52–0.72] | 0.31 [0.23–0.39] | 0.20 |
| LR model | 0.80 [0.73–0.87] | 0.92 [0.83–0.97] | 0.49 [0.37–0.60] | 0.86 [0.73–0.95] | 0.62 [0.52–0.71] | 0.31 [0.23–0.39] | 0.20 |
| NB model | 0.75 [0.67–0.82] | 0.79 [0.68–0.88] | 0.56 [0.45–0.68] | 0.75 [0.62–0.85] | 0.63 [0.52–0.73] | 0.31 [0.25–0.41] | 0.20 |
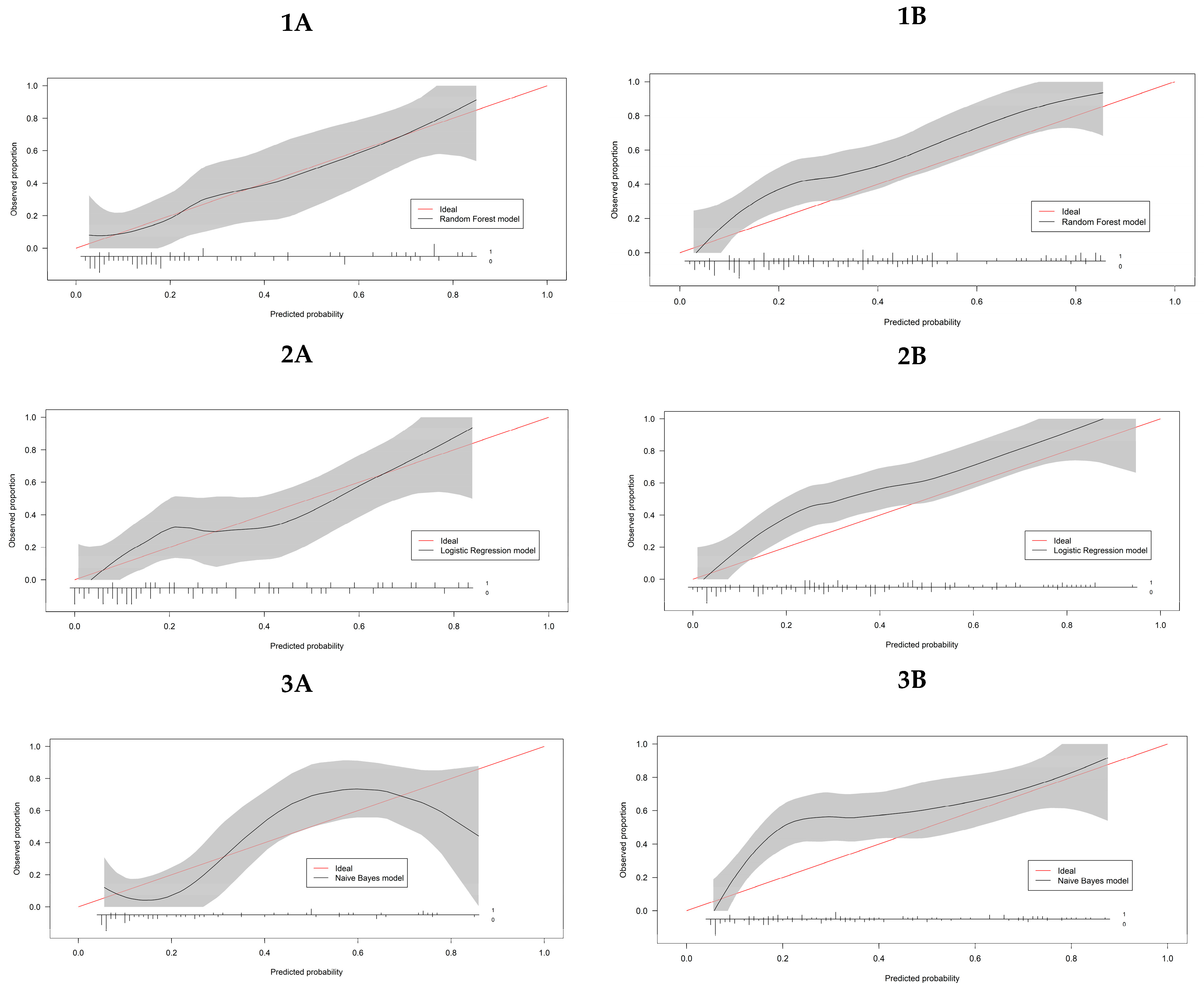
Appendix F. Results: Calibration Plots

Appendix G. Results: Descriptive Statistics of Included Patients for External Validation
| Variables | Target Attained (N = 78) | Target Not Attained (N = 72) | Overall (N = 150) | p-Value |
|---|---|---|---|---|
| Sex (male) | 47 (60.3%) | 50 (69.4%) | 97 (64.7%) | 0.315 |
| Age (years) | 64.0 [56.3, 73.0] | 59.0 [49.8, 68.3] | 62.0 [54.0, 70.0] | 0.013 |
| Study antibiotic | ||||
| Amoxicillin | 0 (0%) | 9 (12.5%) | 9 (6.0%) | 0.001 |
| Ceftazidime | 4 (5.1%) | 2 (2.8%) | 6 (4.0%) | |
| Ceftriaxone | 17 (21.8%) | 4 (5.6%) | 21 (14.0%) | |
| Meropenem | 39 (50.0%) | 38 (52.8%) | 77 (51.3%) | |
| Piperacillin/tazobactam | 18 (23.1%) | 19 (26.4%) | 37 (24.7%) | |
| Serum creatinine d0 (mg/dL) | 0.940 [0.663, 1.26] | 0.680 [0.500, 0.845] | 0.770 [0.570, 1.04] | <0.001 |
Appendix H. Results: Dose Regimens of the Antibiotics Used for External Validation
| Type of Antibiotic | Median Dosage | Lower 95% CI Median Dosage | Upper 95% CI Median Dosage |
|---|---|---|---|
| Amoxicillin/clavulanic acid | 1000/200 mg q6h | 1000/200 mg q6h | 1000/200 mg q4h |
| Ceftazidime | 1000 mg q8h | 1000 mg q8h | 2000 mg q8h |
| Ceftriaxone | 2000 mg q24h | 2000 mg q24h | 2000 mg q24h |
| Meropenem | 1000 mg q8h | 1000 mg q8h | 1000 mg q8h |
| Piperacillin/tazobactam | 4000/500 mg q8h | 4000/500 mg q8h | 4000/500 mg q8h |
Appendix I. Results: Comparison of the Internal and External Data
| Variables | External Data (N = 150) | Internal Data (N = 376) | p-Value |
|---|---|---|---|
| Sex (male) | 97 (64.7%) | 232 (61.7%) | 0.59 |
| Age (years) | 62.0 [54.0, 70.0] | 64.0 [56.0, 71.0] | 0.36 |
| Serum creatinine d0 (mg/dL) | 0.77 [0.57, 1.04] | 0.995 [0.69, 1.56] | <0.001 |
| Type of antibiotic | <0.001 | ||
| Amoxicillin | 9 (6.0%) | 15 (4.0 %) | |
| Cefotaxime | 0 | 77 (20.5 %) | |
| Ceftazidime | 6 (4.0%) | 15 (4.0 %) | |
| Ceftriaxone | 21 (14.0%) | 112 (29.8 %) | |
| Cefuroxime | 0 | 72 (19.1 %) | |
| Flucloxacillin | 0 | 17 (4.5 %) | |
| Meropenem | 77 (51.3%) | 54 (14.4 %) | |
| Piperacillin/tazobactam | 37 (24.7%) | 14 (3.7 %) |
Appendix J. Choosing a Threshold Probability (Illustration)
Appendix K. Methods: EUCAST MICECOFF
| Study antibiotic | MICECOFF17 (mg/L) | Presumed Micro-Organism (s) |
|---|---|---|
| Cefotaxime | 4 | Staphylococcus aureus |
| Ceftazidime | 8 | Pseudomonas aeruginosa |
| Ceftriaxone | 1 | Enterobacteriaceae |
| Cefuroxime | 8 | Escherichia coli |
| Amoxicillin | 8 | Enterobacteriaceae |
| Amoxicillin/clavulanic acid | 8 | Enterobacteriaceae |
| Flucloxacillin | 1 | Staphylococcus aureus |
| Piperacillin/tazobactam | 16 | Pseudomonas aeruginosa |
| Meropenem | 2 | Pseudomonas aeruginosa |
Appendix L. Methods: Detailed Description of Variables Used for the Models
| Variables | |
|---|---|
| Age | On admission; in years |
| Height | On admission; in cm |
| Body weight | On admission; in kg |
| Sex | Male or female |
| BMI | On admission; weight/height2 in kg/cm2 |
| Cardiac surgery | Cardiac surgery related diagnosis on admission; yes or no |
| Trauma | Surgery related diagnosis on admission; yes or no |
| Type of antibiotic | ceftriaxone was used as reference drug in comparison with the other beta-lactam antibiotics for target attainment because this was the most used antibiotic drug |
| The number of days in the ICU before start of the antibiotic | The number of days in the ICU from admission to d0 |
| Fluid balance | The amount of volume administered to the patient minus the excreted volume on d0 |
| Creatinine | Serum creatinine on d0; in mg/dL |
| Urea | Serum urea on d0; in mmol/L |
| CRP | Serum CRP on d0; in mg/L |
| WBC | Blood WBC on d0; in 109/L |
| Albumin | Serum albumin on d0; in mg/dL |
References
- Vincent, J.L.; Sakr, Y.; Singer, M.; Martin-Loeches, I.; Machado, F.R.; Marshall, J.C.; Finfer, S.; Pelosi, P.; Brazzi, L.; Aditianingsih, D.; et al. Prevalence and Outcomes of Infection Among Patients in Intensive Care Units in 2017. JAMA 2022, 323, 1478–1487. [Google Scholar] [CrossRef] [PubMed]
- Abdul-Aziz, M.H.; Alffenaar, J.C.; Bassetti, M.; Bracht, H.; Dimopoulos, G.; Marriott, D.; Neely, M.N.; Paiva, J.A.; Pea, F.; Sjovall, F.; et al. Antimicrobial therapeutic drug monitoring in critically ill adult patients: A Position Paper. Intensive Care Med. 2022, 46, 1127–1153. [Google Scholar] [CrossRef] [PubMed]
- Ewoldt, T.M.J.; Abdulla, A.; Rietdijk, W.J.R.; Muller, A.E.; de Winter, B.C.M.; Hunfeld, N.G.M.; Purmer, I.M.; van Vliet, P.; Wils, E.J.; Haringman, J.; et al. Model-informed precision dosing of beta-lactam antibiotics and ciprofloxacin in critically ill patients: A multicentre randomised clinical trial. Intensive Care Med. 2022, 48, 1760–1771. [Google Scholar] [CrossRef]
- Blot, S.I.; Pea, F.; Lipman, J. The effect of pathophysiology on pharmacokinetics in the critically ill patient--concepts appraised by the example of antimicrobial agents. Adv. Drug Deliv. Rev. 2014, 77, 3–11. [Google Scholar] [CrossRef]
- Roberts, J.A.; Lipman, J. Pharmacokinetic issues for antibiotics in the critically ill patient. Crit. Care Med. 2009, 37, 840–851. [Google Scholar] [CrossRef]
- Roberts, J.A.; Paul, S.K.; Akova, M.; Bassetti, M.; De Waele, J.J.; Dimopoulos, G.; Kaukonen, K.M.; Koulenti, D.; Martin, C.; Montravers, P.; et al. DALI: Defining antibiotic levels in intensive care unit patients: Are current β-lactam antibiotic doses sufficient for critically ill patients? Clin. Infect. Dis. 2014, 58, 1072–1083. [Google Scholar] [CrossRef] [PubMed]
- McKinnon, P.S.; Paladino, J.A.; Schentag, J.J. Evaluation of area under the inhibitory curve (AUIC) and time above the minimum inhibitory concentration (T > MIC) as predictors of outcome for cefepime and ceftazidime in serious bacterial infections. Int. J. Antimicrob. Agents. 2008, 31, 345–351. [Google Scholar] [CrossRef] [PubMed]
- Li, C.; Du, X.; Kuti, J.L.; Nicolau, D.P. Clinical pharmacodynamics of meropenem in patients with lower respiratory tract infections. Antimicrob. Agents Chemother. 2007, 51, 1725–1730. [Google Scholar] [CrossRef]
- Tam, V.H.; McKinnon, P.S.; Akins, R.L.; Rybak, M.J.; Drusano, G.L. Pharmacodynamics of cefepime in patients with Gram-negative infections. J. Antimicrob Chemother. 2002, 50, 425–428. [Google Scholar] [CrossRef]
- Abdulla, A.; Dijkstra, A.; Hunfeld, N.G.M.; Endeman, H.; Bahmany, S.; Ewoldt, T.M.J.; Muller, A.E.; van Gelder, T.; Gommers, D.; Koch, B.C.P. Failure of target attainment of beta-lactam antibiotics in critically ill patients and associated risk factors: A two-center prospective study (EXPAT). Crit. Care. 2020, 15, 558. [Google Scholar] [CrossRef]
- Pai Mangalore, R.; Ashok, A.; Lee, S.J.; Romero, L.; Peel, T.N.; Udy, A.A.; Peleg, A.Y. Beta-Lactam Antibiotic Therapeutic Drug Monitoring in Critically Ill Patients: A Systematic Review and Meta-Analysis. Clin. Infect. Dis. 2022, 75, 1848–1860. [Google Scholar] [CrossRef] [PubMed]
- Abdulla, A.; Ewoldt, T.M.J.; Purmer, I.M.; Muller, A.E.; Gommers, D.; Endeman, H.; Koch, B.C.P. A narrative review of predictors for β-lactam antibiotic exposure during empirical treatment in critically ill patients. Expert Opin. Drug Metab. Toxicol. 2021, 17, 359–368. [Google Scholar] [CrossRef] [PubMed]
- Van Calster, B.; Vickers, A.J. Calibration of Risk Prediction Models: Impact on Decision-Analytic Performance. Med. Decis. Making. 2015, 35, 162–169. [Google Scholar] [CrossRef] [PubMed]
- Alobaid, A.S.; Hites, M.; Lipman, J.; Taccone, F.S.; Roberts, J.A. Effect of obesity on the pharmacokinetics of antimicrobials in critically ill patients: A structured review. Int. J. Antimicrob. Agents. 2016, 47, 259–268. [Google Scholar] [CrossRef] [PubMed]
- Block, D.R.; Cotten, S.W.; Franke, D.; Mbughuni, M.M. Corrigendum to: Comparison of Five Common Analyzers in the Measurement of Chemistry Analytes in an Authentic Cohort of Body Fluid Specimens. Am. J. Clin. Pathol. 2022, 158, 157. [Google Scholar] [CrossRef] [PubMed]
- Zhang, Z. Naïve Bayes classification in R. Ann. Transl. Med. 2016, 4, 241. [Google Scholar] [CrossRef] [PubMed]
- Christadoulou, E.; Ma, J.; Collins, G.S.; Steyerberg, E.W.; Verbakel, J.Y.; Van Calster, B. A systematic review shows no performance benefit of machine learning over logistic regression for clinical prediction models. J. Clin. Epidemiol. 2019, 110, 12–22. [Google Scholar] [CrossRef]
- Mitchell, T. Machine Learning, 2nd ed.; McGraw-Hill Higher Education: Chicago, IL, USA, 1997. [Google Scholar]
- Gijsen, M.; Elkayal, O.; Annaert, P.; Van Daele, R.; Meersseman, P.; Debaveye, Y.; Wauters, J.; Dreesen, E.; Spriet, I. Meropenem Target Attainment and Population Pharmacokinetics in Critically Ill Septic Patients with Preserved or Increased Renal Function. Infect. Drug. Resist. 2022, 8, 53–62. [Google Scholar] [CrossRef]
- Bergan, T. Pharmacokinetics of beta-lactam antibiotics. Scand. J. Inf. Dis. Suppl. 1984, 42, 83–98. [Google Scholar]
- Moons, K.G.; Altman, D.G.; Reitsma, J.B.; Ioannidis, J.P.; Macaskill, P.; Steyerberg, E.W.; Vickers, A.J.; Ransohoff, D.F.; Collins, G.S. Transparent Reporting of a multivariable prediction model for Individual Prognosis or Diagnosis (TRIPOD): Explanation and elaboration. Ann. Intern. Med. 2015, 162, W1–W73. [Google Scholar] [CrossRef]
- EUCAST. Clinical Breakpoints and Dosing of Antibiotics: EUCAST. Available online: http://www.eucast.org/clinical_breakpoints/ (accessed on 29 September 2022).
- Abdulla, A.; Bahmany, S.; Wijma, R.A.; van der Nagel, B.C.H.; Koch, B.C.P. Simultaneous determination of nine β-lactam antibiotics in human plasma by an ultrafast hydrophilic-interaction chromatography-tandem mass spectrometry. J. Chromatogr. B Analyt. Technol. Biomed. Life Sci. 2017, 1060, 138–143. [Google Scholar] [CrossRef]
- Gijsen, M.; Dreesen, E.; Van Daele, R.; Annaert, P.; Debaveye, Y.; Wauters, J.; Spriet, I. Pharmacokinetic/Pharmacodynamic Target Attainment Based on Measured versus Predicted Unbound Ceftriaxone Concentrations in Critically Ill Patients with Pneumonia: An Observational Cohort Study. Antibiotics 2021, 11, 557. [Google Scholar] [CrossRef] [PubMed]
- Gijsen, M.; Dreesen, E.; Annaert, P.; Nicolai, J.; Debaveye, Y.; Wauters, J.; Spriet, I. Meropenem Pharmacokinetics and Target Attainment in Critically Ill Patients Are Not Affected by Extracorporeal Membrane Oxygenation: A Matched Cohort Analysis. Microorganisms. 2021, 16, 1310. [Google Scholar] [CrossRef] [PubMed]
- Werumeus Buning, A.; Hodiamont, C.J.; Lechner, N.M.; Schokkin, M.; Elbers, P.W.G.; Juffermans, N.P.; Mathôt, R.A.A.; de Jong, M.D.; van Hest, R.M. Population Pharmacokinetics and Probability of Target Attainment of Different Dosing Regimens of Ceftazidime in Critically Ill Patients with a Proven or Suspected Pseudomonas aeruginosa Infection. Antibiotics 2021, 10, 612. [Google Scholar] [CrossRef] [PubMed]
- Kursa, M.B.; Rudnicki, W.R. Feature selection with the Boruta package. J. Stat. Soft. 2010, 36, 11. [Google Scholar] [CrossRef]
- Wang, B.; Liu, F.; Deveaux, L.; Ash, A.; Gerber, B.; Allison, J.; Herbert, C.; Poitier, M.; MacDonell, K.; Li, X.; et al. Predicting Adolescent Intervention Non-responsiveness for Precision HIV Prevention Using Machine Learning. AIDS Behav. 2023, 27, 1392–1402. [Google Scholar] [CrossRef] [PubMed]
- Rudnicki, W.R.; Wrzesień, M.; Paja, W. All Relevant Feature Selection Methods and Applications. Studies in Computational Intelligence 2015, 584, 11–28. [Google Scholar]
- Oshiro, T.M.; Perez, P.S.; Baranauskas, J.A. How Many Trees in a Random Forest? In Lecture Notes in Computer Science; Perner, P., Ed.; Machine Learning and Data Mining in Pattern Recognition. MLDM 2012; Springer: Berlin/Heidelberg, Germany, 2012; Volume 7376. [Google Scholar]
- Hastie, T.; Tibshirani, R.; Friedman, J.H. The Elements of Statistical Learning: Data Mining, Inference, and Prediction, 2nd ed.; Springer Series in Statistics; Springer: New York, NY, USA, 2017. [Google Scholar]
- DeLong, E.R.; DeLong, D.M.; Clarke-Pearson, D.L. Comparing the areas under two or more correlated receiver operating characteristic curves: A nonparametric approach. Biometrics 1988, 44, 837–845. [Google Scholar] [CrossRef]
- Gijsen, M.; Huang, C.Y.; Flechet, M.; Van Daele, R.; Declercq, P.; Debaveye, Y.; Meersseman, P.; Meyfroidt, G.; Wauters, J.; Spriet, I. Development and External Validation of an Online Clinical Prediction Model for Augmented Renal Clearance in Adult Mixed Critically Ill Patients: The Augmented Renal Clearance Predictor. Crit. Care Med. 2020, 48, 1260–1268. [Google Scholar] [CrossRef]
- Van Calster, B.; McLernon, D.J.; van Smeden, M.; Wynants, L.; Steyerberg, E.W. Calibration: The Achilles heel of predictive analytics. BMC Med. 2019, 16, 230. [Google Scholar] [CrossRef]
- Fluss, R.; Faraggi, D.; Reiser, B. Estimation of the youden index and its associated cutoff point. Biom. J. 2005, 47, 458–472. [Google Scholar] [CrossRef] [PubMed]
- Van Calster, B.; Wynants, L.; Verbeek, J.F.M.; Verbakel, J.Y.; Christodoulou, E.; Vickers, A.J.; Roobol, M.J.; Steyerberg, E.W. Reporting and interpreting decision curve analysis: A guide for investigators. Eur. Urol. 2018, 74, 796–804. [Google Scholar] [CrossRef] [PubMed]
- Zhang, Z.; Rousson, V.; Lee, W.C.; Ferdynus, C.; Chen, M.; Qian, X.; Guo, Y. Decision curve analysis: A technical note. Ann. Transl. Med. 2018, 6, 308. [Google Scholar] [CrossRef] [PubMed]
- Vickers, A.J.; Van Calster, B.; Steyerberg, E.W. Net benefit approaches to the evaluation of prediction models, molecular markers, and diagnostic tests. BMJ 2016, 352, 6. [Google Scholar] [CrossRef]
- Niculescu-Mizil, A.; Caruana, R. Predicting good probabilities with supervised learning. In Proceedings of the 22nd International Conference on Machine Learning—ICML, Bonn, Germany, 7–11 August 2005. [Google Scholar]
- R Core Team. R: A Language and Environment for Statistical Computing; R Foundation for Statistical Computing: Vienna, Austria, 2020. [Google Scholar]


| Variables | Overall (N = 376) |
|---|---|
| Age (years) | 64.0 [56.0, 71.0] |
| Height (cm) | 175 [167, 182] |
| Actual body weight (kg) | 80.0 [69.9, 90.0] |
| Sex (male) | 232 (61.7) |
| BMI (kg/m2) | 25.8 [22.9, 29.3] |
| SOFA score d0 | 8.00 [5.00, 11.0] (N = 375) |
| APACHE IV score | 50.0 [24.0, 78.0] (N = 375) |
| Cardiac surgery (No) | 367 (97.6) (N = 370) |
| Trauma (No) | 344 (91.5) (N = 370) |
| Study antibiotic | |
| Amoxicillin | 15 (4.0) |
| Cefotaxime | 77 (20.5) |
| Ceftazidime | 15 (4.0) |
| Ceftriaxone | 112 (29.8) |
| Cefuroxime | 72 (19.1) |
| Flucloxacillin | 17 (4.5) |
| Meropenem | 54 (14.4) |
| Piperacillin–tazobactam | 14 (3.7) |
| Serum creatinine d0 (mg/dL) | 0.995 [0.690, 1.56] |
| Urea d0 (mmol/L) | 9.00 [6.40, 14.7] (N = 365) |
| CRP d0 (mg/L) | 136 [44.5, 251] (N = 367) |
| /L) | 13.2 [8.40, 17.9] (N = 373) |
| Albumin (g/L) | 28.0 [22.0, 33.0] (N = 346) |
| The number of ICU days before start of the antibiotic | 2.00 [2.00, 4.00] |
| Fluid balance d0 | 1240 [139, 2780] (N = 372) |
| Defined daily dosage | 1.00 [1.00, 1.50] (N = 375) |
| Normalized dosing | 1.00 [1.00, 1.50] |
| Variables | Odds Ratios | CI | p Value |
|---|---|---|---|
| (Intercept) | 3.16 | 0.78–12.95 | 0.106 |
| Serum creatinine | 0.24 | 0.12–0.42 | <0.001 |
| Age | 0.96 | 0.94–0.98 | <0.001 |
| Sex (male) | 2.21 | 1.18–4.23 | 0.015 |
| Amoxicillin | 12.58 | 2.44–74.70 | 0.003 |
| Cefotaxime | 13.84 | 5.49–38.35 | <0.001 |
| Ceftazidime | 0.47 | 0.02–3.22 | 0.510 |
| Cefuroxime | 6.25 | 2.47–16.97 | <0.001 |
| Flucloxacillin | 10.86 | 2.84–46.90 | 0.001 |
| Meropenem | 2.64 | 0.92–7.69 | 0.072 |
| Piperacillin–tazobactam | 13.20 | 3.04–60.38 | 0.001 |
Disclaimer/Publisher’s Note: The statements, opinions and data contained in all publications are solely those of the individual author(s) and contributor(s) and not of MDPI and/or the editor(s). MDPI and/or the editor(s) disclaim responsibility for any injury to people or property resulting from any ideas, methods, instructions or products referred to in the content. |
© 2023 by the authors. Licensee MDPI, Basel, Switzerland. This article is an open access article distributed under the terms and conditions of the Creative Commons Attribution (CC BY) license (https://creativecommons.org/licenses/by/4.0/).
Share and Cite
Wieringa, A.; Ewoldt, T.M.J.; Gangapersad, R.N.; Gijsen, M.; Parolya, N.; Kats, C.J.A.R.; Spriet, I.; Endeman, H.; Haringman, J.J.; van Hest, R.M.; et al. Predicting Beta-Lactam Target Non-Attainment in ICU Patients at Treatment Initiation: Development and External Validation of Three Novel (Machine Learning) Models. Antibiotics 2023, 12, 1674. https://doi.org/10.3390/antibiotics12121674
Wieringa A, Ewoldt TMJ, Gangapersad RN, Gijsen M, Parolya N, Kats CJAR, Spriet I, Endeman H, Haringman JJ, van Hest RM, et al. Predicting Beta-Lactam Target Non-Attainment in ICU Patients at Treatment Initiation: Development and External Validation of Three Novel (Machine Learning) Models. Antibiotics. 2023; 12(12):1674. https://doi.org/10.3390/antibiotics12121674
Chicago/Turabian StyleWieringa, André, Tim M. J. Ewoldt, Ravish N. Gangapersad, Matthias Gijsen, Nestor Parolya, Chantal J. A. R. Kats, Isabel Spriet, Henrik Endeman, Jasper J. Haringman, Reinier M. van Hest, and et al. 2023. "Predicting Beta-Lactam Target Non-Attainment in ICU Patients at Treatment Initiation: Development and External Validation of Three Novel (Machine Learning) Models" Antibiotics 12, no. 12: 1674. https://doi.org/10.3390/antibiotics12121674
APA StyleWieringa, A., Ewoldt, T. M. J., Gangapersad, R. N., Gijsen, M., Parolya, N., Kats, C. J. A. R., Spriet, I., Endeman, H., Haringman, J. J., van Hest, R. M., Koch, B. C. P., & Abdulla, A., on behalf of the DOLPHIN Investigators. (2023). Predicting Beta-Lactam Target Non-Attainment in ICU Patients at Treatment Initiation: Development and External Validation of Three Novel (Machine Learning) Models. Antibiotics, 12(12), 1674. https://doi.org/10.3390/antibiotics12121674

