Next Article in Journal
Knowledge, Attitudes, and Risk Perception of Broiler Grow-Out Farmers on Antimicrobial Use and Resistance in Oyo State, Nigeria
Next Article in Special Issue
Monensin, an Antibiotic Isolated from Streptomyces Cinnamonensis, Regulates Human Neuroblastoma Cell Proliferation via the PI3K/AKT Signaling Pathway and Acts Synergistically with Rapamycin
Previous Article in Journal
Green Tea (Camellia sinensis) Products as Alternatives to Antibiotics in Poultry Nutrition: A Review
Previous Article in Special Issue
Determination of the Relationships between the Chemical Structure and Antimicrobial Activity of a GAPDH-Related Fish Antimicrobial Peptide and Analogs Thereof
 
 
Font Type:
Arial Georgia Verdana
Font Size:
Aa Aa Aa
Line Spacing:
Column Width:
Background:
Review

Molecular Insights into Coumarin Analogues as Antimicrobial Agents: Recent Developments in Drug Discovery

1
Department of Pharmaceutical Chemistry, Dr. Rajendra Gode College of Pharmacy, Malkapur 443101, India
2
Department of Pharmaceutical Chemistry, R. C. Patel Institute of Pharmaceutical Education and Research, Shirpur 425405, India
3
Department of Pharmaceutical Chemistry, KIET School of Pharmacy, KIET Groups of Institutions, Delhi-NCR, Delhi 201206, India
4
Department of Pharmacology, Shri. R. D. Bhakt College of Pharmacy, Jalna 431213, India
5
Faculty of Science of Sfax, Department of Chemistry, University of Sfax, B.P. 1171, Sfax 3000, Tunisia
6
Department of Pharmaceutical Chemistry, Faculty of Science and Arts in Baljurashi, Albaha University, P.O. Box 1988, Albaha 65527, Saudi Arabia
7
Department of Biology, College of Science, University of Hail, Hail P.O. Box 2440, Saudi Arabia
8
Laboratory of Genetics, Biodiversity and Valorization of Bio-Resources (LR11ES41), University of Monastir, Higher Institute of Biotechnology of Monastir, Avenue Tahar Haddad, BP74, Monastir 5000, Tunisia
9
Department of Pharmaceutical Sciences and Technology, Institute of Chemical Technology, Matunga, Mumbai 400019, India
10
Department of Biomedical Sciences and Therapeutics, Faculty of Medicine & Health Sciences, University Malaysia Sabah, Kota Kinabalu 44800, Malaysia
11
Department of Biochemistry, Faculty of Medicine and Health Sciences, Abdurrab University, Pekanbaru 28291, Indonesia
12
Centre for International Collaboration and Research, Reva University, Rukmini Knowledge Park, Kattigenahalli, Yelahanka, Bangalore, Karnataka 560064, India
13
Department of Pharmaceutics, Dr. Rajendra Gode College of pharmacy, Malkapur 443101, India
*
Authors to whom correspondence should be addressed.
Antibiotics 2022, 11(5), 566; https://doi.org/10.3390/antibiotics11050566
Submission received: 6 December 2021 / Revised: 4 January 2022 / Accepted: 7 January 2022 / Published: 24 April 2022

Abstract

Simple Summary

Coumarins are a large family of benzopyrones, and more than 1300 coumarins have been reported to date. Natural, as well as synthetic, coumarins have demonstrated a diverse activity spectrum. On the other hand, the demands of the current health scenario witnessing morbidity and mortality due to microbial infections and multidrug-resistant bacterial strains, the well-reported phytochemical coumarin can be of interest. Some of the well-reported coumarin analogues as antimicrobial agents include β-lactum derivatives, coumarin-based 1,2,3-triazole compounds, the miconazole analogue, coumarin-substituted pyrazole hybrids, pyranocoumarin, coumarin−sulphonamide hybrids, pyranocoumarins, coumarin−sulphonamide derivatives, chromenylpyrazoles candidates, 3-amidocoumarins analogues, uracil−coumarin hybrids, indolinedione−coumarin hybrids, coumarin−imidazole hybrids, coumarin-fused pyrazolones and methyl thiazole derivatives, coumarin−theophylline hybrids, etc. In the present review, several methods for the synthesis of coumarin derivatives as antimicrobial agents are reported, along with structure−activity relationship (SAR) studies focusing on the developments reported since 2016.

Abstract

A major global health risk has been witnessed with the development of drug-resistant bacteria and multidrug-resistant pathogens linked to significant mortality. Coumarins are heterocyclic compounds belonging to the benzophenone class enriched in different plants. Coumarins and their derivatives have a wide range of biological activity, including antibacterial, anticoagulant, antioxidant, anti-inflammatory, antiviral, antitumour, and enzyme inhibitory effects. In the past few years, attempts have been reported towards the optimization, synthesis, and evaluation of novel coumarin analogues as antimicrobial agents. Several coumarin-based antibiotic hybrids have been developed, and the majority of them were reported to exhibit potential antibacterial effects. In the present work, studies reported from 2016 to 2020 about antimicrobial coumarin analogues are the focus. The diverse biological spectrum of coumarins can be attributed to their free radical scavenging abilities. In addition to various synthetic strategies developed, some of the structural features include a heterocyclic ring with electron-withdrawing/donating groups conjugated with the coumarin nucleus. The suggested structure−activity relationship (SAR) can provide insight into how coumarin hybrids can be rationally improved against multidrug-resistant bacteria. The present work demonstrates molecular insights for coumarin derivatives having antimicrobial properties from the recent past. The detailed SAR outcomes will benefit towards leading optimization during the discovery and development of novel antimicrobial therapeutics.

1. Introduction

Microbial resistance has now become a major health concern and serious challenge for global researchers to address. According to the World Health Organization (WHO), approximately 50,000 men, women and children die of microbial infections around the world every day [1]. A WHO report indicated that some 16 million people died in 1990, which decreased by 1% in 2010 (15 million) and is expected to reach 13 million by 2050. According to the report by the Centers for Disease Control and Prevention (CDCs), more than 2.8 million antibiotic infections occur every year, and more than 35,000 people die in the USA alone because of these infections. One of the CDC’s four recommendations for antibiotic resistance is the development of new antibiotics and diagnostic tests for the treatment of drug-resistant bacteria [2]. Without a question, the number of deaths caused by microbial infections is declining, albeit at a very slow pace, which may be due to the growth in the global population and microbial resistance [3]. The recent focus on the development of antimicrobial agents must address some major issues, like a high risk of toxicity, lack of antimicrobial activity, and development microbial resistance. For a long time, the chemistry of heterocyclic compounds was an interesting field of study to investigate antimicrobial agents [4].
Coumarin belongs to the flavonoid class and is found in both natural and synthetic products [5]. Coumarins (1) belongs to heterocyclic α-benzopyrone systems from Coumarouna odorata auba (Dipteryx odorata) [6]. It occurs naturally in several plants, microorganisms, and essential oils as a secondary metabolite [7]. Their different pharmacological potentials and less harmful effects on normal cells have made them a hot point in medicinal chemistry. Clinical applications of several these heterocycle members have been widely reported. For example, Warfarin (3), Phenprocoumon (2), and Acenocoumarol (4) are well-known as potent anticoagulant agents [8]; Novobiocin and Armillarisin A are antibiotic [9]; Ensaculin (7) is also a well-known for its antidementia effects [10]; and Hymecromone [11] is a choleretic and antispasmodic agent (Figure 1) [12].
This review summarises the current innovations of coumarin-based derivatives with potential antibacterial activity against a range of Gram-negative and Gram-positive bacteria and different aspects of the structure−activity relationship (SAR). The improved SAR gives further insight into the rational improvement of coumarin hybrids, with improved efficacy against multidrug resistance (MDR) bacteria. The guidelines available for antimicrobial susceptibility testing were issued and revised by the Clinical Laboratory Standards Testing (CLSI) and the European Committee on Antimicrobial Susceptibility Testing (EUCAST). Both of them have acceptable levels of agreement, and any of them can be adopted. In the case of a lack of resources, the EUCAST guidelines, being freely available, are preferable [13]. These derivatives can be further categorized as significant/moderate/less active antimicrobials based on their MIC for extracts <100 or 100–625 or >625 μg/mL, respectively for compounds <10 or 10 to 100 or >100 μg/mL, respectively [14]. The edible plant extracts/their MIC ranges are used to distinguish between very active (<100 μg/mL), significantly active (100–512 μg/mL), moderately active (512–2048 μg/mL), and less active (>2048 μg/mL) [15]. Generally, MIC < 100 μg/mL and <10 μg/mL are significantly considerable for extracts and isolated compounds and helpful in categorizing antimicrobial agents [16]. We believe that this review will provide medicinal chemists with a new horizon to look for coumarin-based derivatives that will contribute greatly to drug development.

2. Antimicrobial Spectrum of Coumarins

Dhawan and co-workers [17] reported the synthesis of hybrid derivatives, i.e., coumarin-clubbed−β-lactam triazole derivatives (10a–o), and tested them for their antimicrobial potential against Gram-positive methicillin-resistant Staphylococcus aureus, as well as four Gram-negative bacteria, such as Pseudomonas aeruginosa, Klebsiella pneumonia, Escherichia coli, and Acinetobacter baumannii, and two fungal strains, like Candida albicans and Cryptococcus neoforman. An outline for the synthesis of these novel analogues is depicted in Scheme 1. The construction of the target hybrids (10a–o) began by the reaction of 7-(ethynyloxy)-4,5-dimethyl-2H-chromen-2-one (9a) and 7-(ethynyloxy)-4-methyl-2H-chromen-2-one (9b) with various synthesized substituted azido lactams (6a–h) in the presence of copper sulphate pentahydrate and sodium ascorbate in a ratio of dichloromethane:water (8:2) at room temperature. The starting materials 8a and 8b were synthesized by a reaction of orcinol 7a and phloroglucinol 7b with ethyl acetoacetate in sulphuric acid via the Pechmann rection. Compound 9a was obtained by the base-promoted reaction of 8a with propargyl bromide in dimethylformamide (DMF). Substitute azido lactams were synthesized by a reaction with acetic acid and imine at 0–5 °C. Substituted key intermediate azidoketene (6a–h) were prepare in situ in the presence of p-toluene sulfonyl chloride and triethylamine to furnish the desired azido lactams. The antibacterial potency of the furnished compounds was detected by the disc diffusion method at a conc. Of 32 µg/mL with ≤ 1% DMSO. From the displayed results, most of compounds were moderately active against all bacterial excerpts and fungal stains. Further studying revealed compounds 10c, 10f, and 10g possess significant activity against Staphylococcus aureus, with maximum percentage inhibitions of 7.75, 7.92, and 8.94%, respectively, while the other analogues were inactive with methicillin-resistant Staphylococcus aureus (MRSA), whereas compounds 10i, 10j, 10k, and 10d emerged as active hybrids against C. albicans with 21.65, 9.42, 6.24, and 14.96 percentage inhibition, respectively. The SAR study revealed analogues bearing methyl and iodo groups showing significant antimicrobial activity.
Dharavath and co-workers [18] reported a set of coumarin-based 1,2,3-triazole hybrids 16(a–l) and tested for their antibacterial activity towards Gram-positive, such as S. aureus and Bacillus subtilis, and Gram-negative bacteria like E. coli, as well as K. pneumonia. The route for the synthesis is outlined in Scheme 2 [14]. The substituted phenyl acetic acid 11 was activated by 1,1-carbonyldiimidazole and potassium carbonate as a base in acetone for 1 h to furnish intermediate 12. Later, compound 14 was prepared by the selective propargylation of 13 using K2CO3 in DMF as a solvent. Prepared alkyne-substituted hydroxy acetophenone 14 was refluxed with intermediate 12 using K2CO3 and acetone to obtain the key intermediate (15a–d). In a last step, the title analogues (16a–l) were afforded a copper (I)-catalyzed Huisgen cycloaddition reaction of intermediate 15a–d with different aryl azides using copper iodide and DMF/H2O (1:1). The antibacterial and antifungal potentials of the furnished analogues detected by the disc diffusion method and percentage zone inhibition were compared to standard drugs Gatifloxacin and Clotrimazole, respectively. Among compounds 16a, 16d, 16g, and 16j possess potent antibacterial action due to methoxy group in the triazole moiety was shown, while compounds,16b, 16c, 16e, 16f, 16h, and 16i showed significant potential against the tested organisms because of electron-withdrawing groups on the coumarin ring when compared to the standard drug.
Antifungal potential of the tested compound measured against Aspergillus niger, Aspergillus flavus, and Fusarium sporum at a concentration of 50 mg mL−1. Among the screened hybrids 16a–c displayed significant potential against all tested fungal strains due to the existence of fluorine on the coumarin ring, while compounds 16j–l showed good potential due to the appearance of -OCH3 in the triazole ring. The docking study clearly showed the interaction profile between the coumarin-based 1,4-disubstituted 1,2,3-triazole moiety with amino acids. Active analogues 16d and 16h formed H-bond interactions with His-88, Val-191, and amino acids with water in the cavity of the selected proteins, i.e., DNA-gyrase B and topoisomerase IV (PDB ID: 4GEE) and cytochrome P450 EryK (PDB ID: 2XFH) (Figure 2). When the results were compared to the well-reported antifungal agent ketoconazole (0.5 μg/mL against A. niger), the above coumarin-based 1,2,3-triazole hybrids were not potentially active [18].
S.M. Sutar et al. [19] performed the synthesis of coumarin and 1-aza-coumarin derivatives of miconazole (21a–e), (22a–e), (23a–e), and (24a–e) and evaluate there in vitro antimicrobial potential. The route for their synthesis is outlined in Scheme 3. Initially,2-bromo-1-(2,4-dichlorophenyl) ethenone 18 was obtained via the bromination of 17. Further, corresponding with 18 in the reaction with imidazole and benzimidazole in THF under reflux furnished N-alkyl analogues 19a and 19b. Key intermediates 20a and 20b were afforded via a reduction of 19a and 19b using NaBH4. Finally, the O-alkylation of 20a and 20b with various substituted 4-bromomethyl coumarins and 4-bromomethyl carbostyrils using K2CO3 and DMF yielded target compounds 21a–e, 22a–e, 23a–e, and 24a–e, respectively.
Among the series, majority of the analogues were found to be moderate-to-significantly active against Gram-positive strains, such as S. aureus and Bacillus cereus, whereas derivatives of miconazole (21a–c) displayed reflective inhibitory activity against both Gram-positive strains, with MIC ranging from 1 to 4 μg/mL. Likewise, the replacement of imidazole with benzimidazole analogues (23a–c) revealed the same potency as compared to 21a–c. The MIC value of the tested analogues explored that presence of electron-donating species like methyl 21a, 21b, 23a, and 23b and methoxy 21c and 23c on coumarin employed excellent potency as compared to an electron-withdrawing group (ex. Chloro and aryl ring). Therefore, analogues 21a and 23c against B. Cereus and analogue 23c against S. aureus displayed 100% potency (1 μg/mL) compared to the control ciprofloxacin (1 μg/mL); however, compounds 21a, 21c, and 23b against S. aureus and compounds 21b, 21c, 23a, and 23b against B. Cereus recorded 50% potency (2 μg/mL) when compared to ciprofloxacin. Two groups of fungal strains, i.e., Yeast (included C. albicans, Candida utilis, and Candida krusei) and Filamentous (including Aspergillus fumigatus, A. niger, and Rhizoctonia bataticola) fungi, were screened against the synthesized analogues and their potential compared with the standard drugs Itraconazole and Miconazole. None of analogues proved better than that of the standard drug against A. niger and R. bataticola, excluding 23e against A. niger and 23c against R. bataticola. However, the compounds bearing benzimidazole (23a–24e) exhibited good-to-moderate potential (4–31.2 μg/mL) against A. fumigatus compared to that of the compounds bearing an imidazole framework (21a–22e). Candidates having an aza-coumarin framework with methyl and chloro substituents (24b–e) showed better potency (4 μg/mL). In conclusion, the majority of candidates were found effective against the inhibition of all fungi species; in particular, 21e–24e were remarkable, while analogue 21e of the 7,8-benzo substitution on coumarin recorded 4 μg/mL of MIC, and the replacement of coumarin with 1-aza-coumarin (22a–e) displayed 200−400% efficiency against all three strains. The molecular docking study revealed that compound 24e displayed the highest binding affinity of 11.2 kcal/mol with protein human lanosterol 14α-demethylase (PDB ID: 3LD6) by forming hydrogen-bonding interactions with amino acids MET 378 and ILE 379 (Figure 3).
Rawan Alnufaie and co-workers [20] reported the synthesis of some coumarin-substituted pyrazole hybrids for antimicrobial evaluation against methicillin-resistant S. aureus. 4-hydrazino benzoic acid 25 refluxed with fluoro 26a, and hydroxy 26b bearing 3-acetylcoumarin furnishes corresponding to hydrazones 27a and 27b, respectively, which was subjected to reflux using POCl3/DMF to yield formyl-substituted pyrazole derivatives 28a–b. Intermediate fluoro-substituted coumarin 28a and hydroxy-substituted coumarin derivative 28b reacted with substituted phenyl hydrazine under reflux to obtain coumarin-substituted pyrazole-derived hydrazones 29a–r and 30a–l outlined in Scheme 4. Antibacterial potency of the synthesized analogues was detected against eight types of Gram-positive and three Gram-negative bacterial strains. Compound 29c with N,N-diphenyl substitution has a proven potential against all Gram-positive bacterial strains. Compound 29c inhibited the growth of methicillin-sensitive S. aureus with the lowest MIC of 3.125 μg/mL, as well as four methicillin-resistant strains also inhibited by this candidate (MIC = 1.56 μg/mL). A compound bearing chloro (29h) and bromo (29i) substitutions displayed moderate activity against Gram-positive strains. This candidate was found to be active against all three A. baumannii strains (MIC = 6.25 μg/mL). The candidate having 3,4-difluro substitution (29k) was found moderately potent against both Gram-positive and Gram-negative bacterial strains with a MIC of 6.25 μg/mL. Candidates with very strong electron-withdrawing groups like trifluoromethyl (29o) were found significantly active against Gram-positive strains with a MIC value of 3.125 μg/mL, while the other two analogues 29p and 29q with very strong electron-withdrawing frameworks were inactive.
Hydroxy-substituted coumarin analogues 30a–l failed to show antibacterial potential against all tested strains. Based on the observed results, the SAR study revealed that compounds bearing a fluoro substitution on coumarin produced potent antimicrobial action, while the hydroxy-substituted coumarin analogues almost eliminated the antimicrobial potential. This may happen due to the different natures of hydroxy and fluoro substituents. Candidates with fluoro and N,N-diphenyl substitutions possessed significant antimicrobial action, but one of the phenyls from the diphenyl substitution when replaced with methyl (29b) or benzyl (29d) species eliminated the potential of the compounds. Hydrophobic mono-substituted analogues were found to possess better potential than that of the disubstituted analogues. A compound with a trifluoromethyl framework (29o) was found the most potent among all the synthesized compounds against the Gram-positive bacterial strains.
Hanan M. Alshibl and colleagues [21] stated the antimicrobial potential of the pyranocoumarin and coumarin−sulphonamide hybrids (Scheme 5a,b). Initially, new pyranocoumarins (32a,b) were furnished via one-pot synthesis by the reaction of substituted aryl aldehyde with malononitrile and 31b in the presence of potassium hydrogen phthalate. The carboxamide analogues 33a and/or 33b were prepared by the acid hydrolysis of 32a and/or 32b, respectively, with sulphuric acid. Similarly, the reactions of 32a and 32b with excess N, N-dimethylformamide-dimethylacetal afforded the corresponding 34a and 34b. Target analogues 35a–f were yielded by the reaction of intermediate 32a,b with various substituted aromatic aldehydes in 1,4-dioxane. Coumarin sulfonyl chloride 37a,b was prepared by reacting 4-hydroxy-6-substituted coumarin 36a and/or 31b with chlorosulfonic acid in DCM. Coumarin−3-sulphonamides (38a–f) were obtained by refluxing 37a or 37b with substituted sulpha analogues. Similarly, 37a or 37b in a reaction with the nucleophilic agent aniline and p-substituted aniline in EtOH under reflux furnished the corresponding coumarin−3-sulphonamides (39a–d and 40e–f, respectively). Coumarin−sulphonamide chalcone analogues 41a–f were prepared via the Claisen–Schmidt condensation of p-acetyl derivatives (40e or 40f) with different p-substituted aromatic aldehydes by the addition of NaOH in absolute ethanol (Scheme 5b). Synthesized analogues were screened for their in vitro antimicrobial potential against Gram-positive bacterial strains, namely, S. aureus, B. subtilis, Bacillus, and Megaterium, and Gram-negative strains such as E. coli and P. aeruginosa. Candidates were also screened against yeast and yeast-like pathogenic fungal strains Saccharomyces cerevisiae and C. albicans, respectively. Screening was accomplished by using agar well diffusion and Sabouraud dextrose agar. Among the synthesized analogues, 32a,b, 35a,c,f, 38a,c,d–f, 39a,c,d, and 41b–f were found to be potent antimicrobial agents with Izs larger than 25 mm against at least one tested microbial strain, while compounds 35e and 39b displayed moderate potential with Izs between 20 and 24 mm. However, 33a,b, 34a,b, 35d, 39e–f, and 41a exhibited marginal activity with Izs 15–19 mm, whereas analogues 38c,d 39c,d, and 41c,d displayed the maximum Izs and revealed potent antimicrobial action towards the tested microorganisms when compared to the reference with a MIC of 125 µg/mL. However, 38d established remarkable broad-spectrum potential towards all the tested microorganisms with a MIC of 125 µg/mL. Analogues bearing sulfadiazine or 4-hydroxyphenyl moieties, 38c–d and 39c–d, revealed fairly excessive antibacterial potential (30 mm) compared to the standard ciprofloxacin (28 mm) against S. aureus with a MIC of 125 µg/mL, while analogues containing sulphanilamide or 4-chlorophenyl substitutions (38a and 41c,d) exhibited equal antibacterial potential against S. aureus than the standard analogue ciprofloxacin (28 mm).
Abrar Bayazeed and co-workers [22] reported the antimicrobial potency of novel coumarin derivatives obtained from 3-(2-oxo-2H-chromen-3-yl)-pyrazole-1-carbothioic acid amide with two diverse hydrazonoyl chlorides and phenacyl bromides when screened against fungal and bacterial strains. The synthesis of the target analogues is outlined in Scheme 6. The key intermediates of carbothioamide (44 and 45) were furnished via condensation and Michel-type addition succeeded by eliminating water and Me2NH by a reaction of enaminone (43) and thiosemicarbazide (42). Key intermediate carbothioamide (44) afforded chromen-3-yl-pyrazole derivatives 47a–e and 49a–e via a substitution reaction with two different types of hydrazonoyl chlorides, 46a–e and 48a–e, respectively. Finally, thiazole derivatives 51a–f were prepared via the nucleophilic substitution reaction of the intermediate carbothioamide (44) with substituted phenacyl bromide under reflux. The synthesized chromenylpyrazoles candidates were examined in vitro for their antimicrobial potential versus two fungal Gram-positive and Gram-negative bacterial strains by using the agar diffusion method.
All test compounds were examined separately against all microbial strains at a concentration of 30 μg/mL. Among the series, four analogues, namely, 49e, 51b, 49b, and 51c, showed an exceeded potential compared to that of the reference/standard ketoconazole against A. fumigatus with percent zone inhibitions of 164%, 158.8%, and 147.1%. Moreover, two analogues, 49b and 51c, showed excellent activity against C. albicans above the reference ketoconazole 1.5-fold, while compounds 47b, 49e, and 51b exhibited good potency as compared to ketoconazole against C. albicans with inhibition zone percentages 75–85%. The SAR studies stated that the presence of two ester groups in the synthesized derivatives is responsible for the improved antifungal potential, as seen in 49e. Moreover, analogues bearing electron-donating groups CH3 and OCH3 at the para position of the aromatic skeleton (51b, 49b, and 51c) had improved potential, and it exceed that of the reference drug. The antibacterial potential compounds 49b and 51c were found highly potent against S. aureus with inhibition percentages 104.2% and 104%, respectively. Two other analogues included in the study, namely, 49e and 51b, exhibited the same excellent potential as compared to the reference Gentamicin with 107.7% and 103.8% inhibition. The Gram-negative bacteria K. pneumoniae was highly affected by analogues 47a and 49e with 71.4% inhibition, while most of the analogues were found less active against E. coli. The SAR analysis also revealed that, for the inhibition of Gram-positive bacteria, the presence of ester and electron-donating substitution at the para position of the aromatic framework showed antimicrobial potency, as observed for analogues 49e, 49b, 51c, and 51b [22].
R K Sharma et al. [23] synthesized a set of 3-amidocoumarins analogues and evaluated their in vitro antimicrobial action against four Gram-negative, two Gram-positive bacterial, and three fungal pathogens. The synthesis of the designed analogues is depicted in Scheme 7. In this study, 3-nitrocoumarin (53) was obtained via the condensation of salicylaldehyde (52) and ethyl nitroacetate in the presence of L-proline as a catalyst. Later, the reduction of 53 to 3-aminocoumarin (54) using SnCl2 subsequently by acylation with different substituted carboxylic acids using PCl3 in acetonitrile under reflux furnished the target analogues of 3-amido coumarins 55a–p. On the other hand, coumarin-3-carboxylic acid 56 synthesized via the Knoevenagel condensation of salicylaldehyde (52) with malonic acid in the presence of L-proline followed by the condensation of synthesized coumarin−3-carboxylic acid (56) with suitable amines using DCC and DMAP in dry DCM gave the corresponding 3-carboxamide coumarins 57a–g. The MIC of amido−coumarins 55a–p and 57a–g detected against Gram-negative Salmonella typhi, P. aeruginosa, K. pneumoniae, and E. coli; two Gram-positive (S. aureus and Bacillus pumilus); and three fungal strains (Candida tropicalis, C. albicans, and Aspergillus fumigatus) were determined by the two-fold serial dilution method using novobiocin and chloramphenicol as the antibacterial and fluconazole and amphotericin B as the antifungal standards. Among the series compounds, 55e–f with hydroxyl, chloro, methyl, and methoxy group substitutions on the phenyl ring demonstrated high MIC in the range of 50 to >200 µg/mL. Some enhancement in the potency was noticed upon the addition of disubstituted phenyl rings in analogues like 55i, 55j, and 55k. Analogue 55i inhibited the growth of S. typhi and P. aeruginosa at concentrations of 12.5 and 25 µg/mL, respectively, while analogue 55j bearing amino and hydroxy groups as substitutions on the phenyl ring exhibited their inhibitory potential against S. typhi and S. aureus with a MIC value of 25 µg/mL. Enhancement in the potency was shown upon the insertion of an electron-withdrawing nitro group in the place of amino group 55k against three bacterial strains with MIC 12.5–25 µg/mL. However, analogue 55l with a diiodo and hydroxyl group at the phenyl ring explored a significant antibacterial potential against S. typhi, S. aureus, E. coli, and B. pumilus at lower MIC (6.25–25 µg/mL). Compounds bearing a long alkyl chain dodecyl group (57b) and oleyl group showed good inhibitory potential against the S. typhi, E. coli, and S. aureus bacterial strains, whereas compound 57f with a piperidinyl ring displayed excellent inhibitory potential against P. aeruginosa, S. typhi, E. coli, and S. aureus bacterial strains with MIC 6.25–25 µg/mL. If we look at the antifungal potential, analogues 55l, 57b, 57c, and 57f displayed significant potency against C. albicans and A. fumigatus, with MICs in the range of 6.25–25 μg/mL as compared to standard drugs, while other analogues from the series exhibited poor activity, with MIC in the range of 50 to >200 μg/mL against the fungal strains. The structure−activity relationship (SAR) has stated that compounds bearing a hydroxy group along with electron-donating methyl group 55i, amino group 55j, and, similarly, electron-withdrawing nitro 55k and diiodo 55l on the phenyl ring exhibited higher antibacterial potential, with MIC ranging from 6.25 to 25 μg/mL as compared to the analogues with a monosubstituted phenyl group (55i–l vs. 55e–h). This may happen due to di- and tri-substituted phenyl frameworks, which possibly make additional intermolecular interactions leading to the improved penetration of the compounds through the bacterial membrane. Among the series compounds, 55l, 57b, and 57f were identified as the most promising analogues and exhibited broad-spectrum antimicrobial activity. For better understanding, molecular docking studies of the synthesized analogues was performed against A. fumigatus chitinase (PDB ID: 1W9U). Compound 55l explored the highest binding affinity toward a protein with a binding energy −8.44 Kcal/mol. It showed van der Waals interactions with hydrophobic, as well as polar, residues in the binding pocket of the selected protein (Figure 4).
Mohit Sanduja et al. [24] designed and synthesized a series of uracil−coumarin-based bifunctional molecular hybrids roped by a 1,2,3-triazole moiety. All the synthesized derivatives were screened for their in vitro antibacterial potency against the E. faecalis and S. aureus (Gram-positive) and P. aeruginosa and E. coli (Gram-negative) bacterial strains using the agar well diffusion and broth microdilution methods. Target hybrids were synthesized by starting with 4-hydroxy coumarin (58) on a treatment with dibromoalkanes in the presence of K2CO3 in DMF to yield the desired alkylated coumarins (59). Obtained intermediate 59 on further treatment with NaN3 in DMF gave azide-substituted coumarins (60). Additionally, 5-substituted uracils (61) on a treatment with propargyl bromide in the presence of K2CO3 furnished propargylated uracil analogue 62. Finally, the alkylated coumarins (60) on a reaction with the propargylated uracil analogue (62) in the presence of copper sulphate and sodium ascorbate afforded target triazole-linked uracil-coumarin hybrids (63a,b), and it is outlined in Scheme 8. Among this series of analogues, 63b and 63c were found to possess promising activity against S. aureus with a zone of inhibition 26 mm and 28 mm. Moreover, both hybrids exhibited equipotent activity against Enterococcus faecalis and P. aeruginosa and were found less active against E. coli. The MIC value of both the potent hybrids was determined by the broth microdilution method against S. aureus and found to be 7.23 lg/mL for 63b and 11.7 lg/mL for 63c, which was compared to the standard drug levofloxacin (3.12 lg/mL). The SAR was defined for the compounds with electronegative species on the uracil skeleton, and it favoured an antimicrobial potency. The analogues with -F (63b) and -Cl (63c) found similar and activity. Moreover, the chain length in between the triazole and coumarin moieties also affected the potency. The analogues with two carbon chain lengths were found potent compared to the candidates with chain lengths with three, four, and five carbons. The docking study demonstrated that compound 63c fit well in the cavity of dihydrofolate reductase (DHFR) (PDB ID: 3SRQ). One of the coumarin rings of 63c formed hydrophobic interactions with residues Leu55, Leu29, and Val32, while a second coumarin moiety formed interactions with residues Gly95, Ile15, and Leu21. The triazole ring nitrogen exhibited hydrogen-bonding interactions with the backbone nitrogen of Ala8, as well as strong pp stacking interactions observed in between the triazole moiety and Phe93, while a second triazole skeleton showed pp stacking interactions with Phe99 (Figure 5).
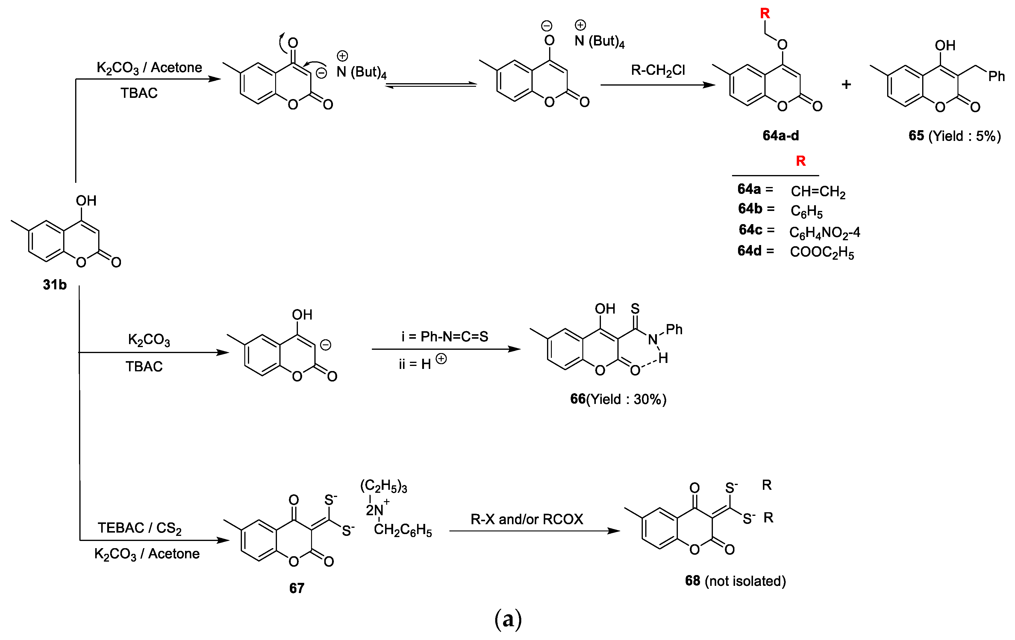
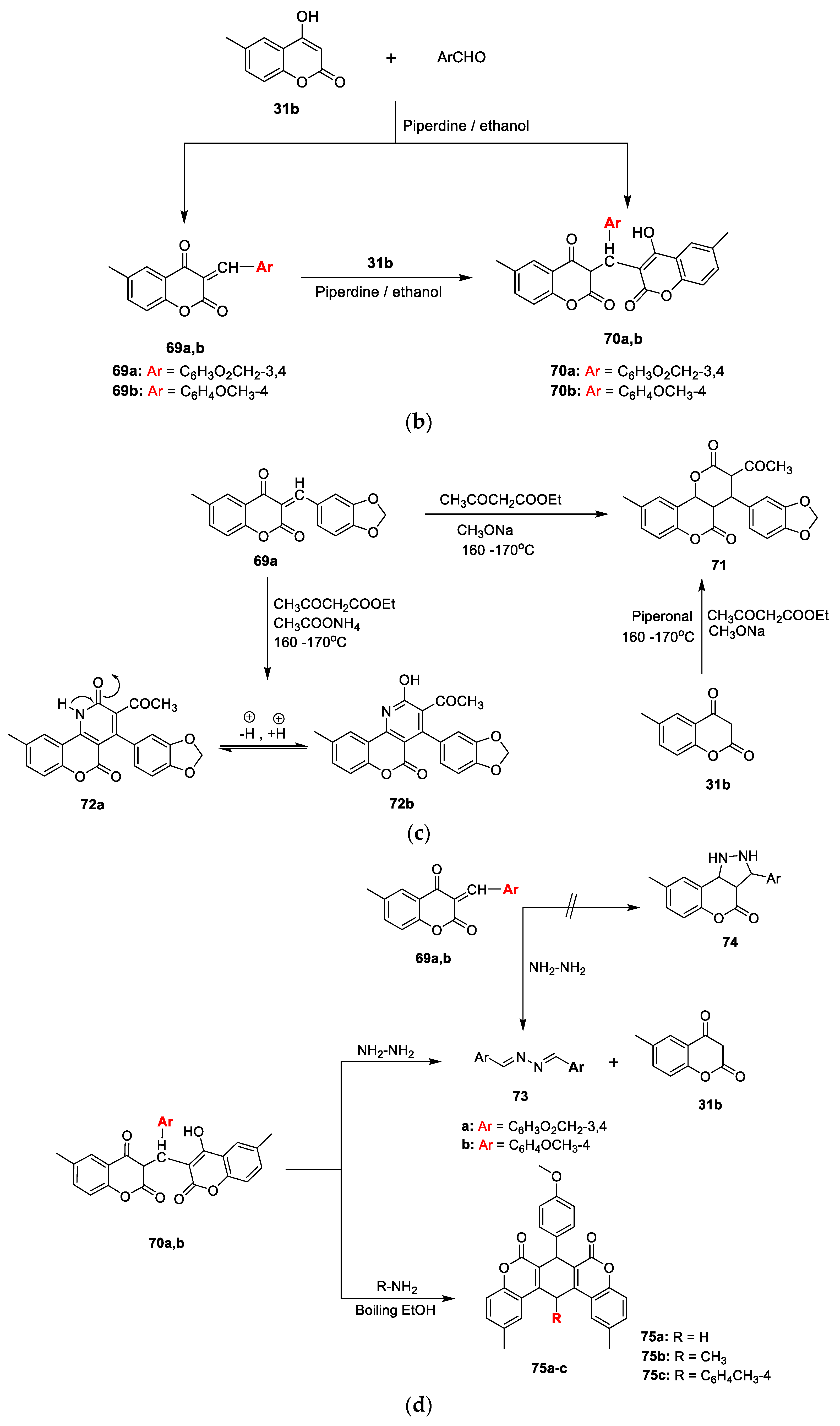
Mohsen K.A. Regal et al. [25] synthesized some new coumarins and dicoumarol derivatives to screen for their in vitro antibacterial potency against Gram-negative E. coli, Gram-positive S. aureus, and antifungal activity detected against C. albicans using the disc diffusion method at a 1 mg/mL concentration. Ampicillin was used as the standard drug for antibacterial and clotrimazole for antifungal action. The reported derivatives were obtained by reacting coumarin 31b with different alkyl halides under phase transfer catalysis conditions using K2CO3 as the base and TBAC as the catalyst. This oxygen alkylation through nucleophilic displacement furnished analogues 64a–d and a smaller amount of compound 65 in the case of benzyl chloride. On the other hand, coumarin 31b on the treatment with phenylisothiocyanate via the C3 addition on the carbon nitrogen double bond of the isothiocyanate yielded 3-(N-phenyl) thiocarbamide coumarin derivative 66. Similarly, coumarin 31b via a one-pot three-component phase transfer catalysis reaction converted into intermediate 67 by a reaction with carbon disulphide and different alkyl halides and/or aroyl halides under K2CO3 as the base and TBAC as the catalyst (Scheme 9a). Coumarin 31b on reaction with aromatic aldehydes such as 3,4-methylene dioxybenzaldehyde and/or 4-methoxy benzaldehyde in an equimolar ratio via condensation gave 3-arylidene-6-methyl-4-oxocomarin 69a,b under base catalyst piperidine. Repeated reactions using an excess of 31b could yielded the dicoumarol analogues 70a,b in good yields (Scheme 9b). Compound 69a underwent Michael-type cycloaddition reactions and afforded cycloaddition products of pyranochromene (71) and pyrano pyridone (72) when reacted with ethyl acetoacetate in the presence of methoxide and/or ammonium acetate as the base under fusion conditions (Scheme 9c). The reaction of 3-arylidenes (69a,b) and/or dicoumarols (70a,b) with hydrazine hydrate in boiling ethanol furnished the corresponding 1,2-dibenzyldene hydrazine derivatives (73a,b), whereas 70b converted to pyridine derivatives 75a–c via a cyclocondensation reaction of two carbonyl groups with nitrogen nucleophiles by treatment with ammonium acetate, methyl amine, and/or p-toluidine under reflux (Scheme 9d). From the set of synthesized analogues, 81% were found to be active against all tested microorganisms. Compounds 64a, 64b, 66, 70a, 70b, 71, and 72 were proven to be promising results against antibacterial and antifungal potential with activity-indexed values ranging between 50% and 87%. The minimum potential was shown by analogues 64c,d with an activity-indexed value of 40%.
Kavita Bhagat et al. [26] synthesized the novel indolinedione−coumarin hybrids (Scheme 10) and screened for their antimicrobial potential against Gram-negative (E. coli and Salmonella enterica); Gram-positive (S. aureus and Mycobacterium smegmatis) bacterial strains; and four fungal strains (C. albicans, Alternaria mali, Penicillium sp., and Fusarium oxysporum) by using the agar gel diffusion method by Different substituted indolinedione (76) on treatment with 1,2-dibromoalkanes by using K2CO3 as a base in dimethylformamide to give 77 which on reaction with NaN3 in DMF at RT furnish 1-(4-azidoalkyl)indoline-2,3-diones (78). Intermediate 4(prop-2-ynyloxy)-2H-chromen-2-one (79) was obtained by reacting 4- hydroxycoumarin (58) and propargyl bromide under basic condition using K2CO3. Finally, the obtained intermediate on reaction with different substituted 1-(4-azidoalkyl) indoline-2,3-diones (78) in the presence of catalytic amount of pentahydrate CuSO4 and sodium ascorbate yields desired indolinedione−coumarin hybrids 80a–u. From this series, analogue 80b exhibited potent antibacterial activity against S. aureus and S. enterica with zone of inhibition 2.5 and 1.3 cm, respectively. Along with most of the hybrids have shown good potential against fungi Penicillium sp. analogue 80a was found to exhibit excellent antifungal potential with zone of inhibition 2.5 cm. Similarly, 80b was found to be the second promising hybrid with zone of inhibition1.3 cm against Penicillium sp. SAR analysis revealed that electron density at the fifth position of indolinedione framework greatly impacted antibacterial potential. The screening clarifies that chain length of two carbon atom which links the triazole moiety to indolinedione framework was the most tolerable linker while the unsubstituted indolindione is the highest crucial for antifungal potential. The docking study of the most active analogues from the series, i.e., 80b, was accomplished on S. aureus DHFR (PDB ID: 3SRQ). Study demonstrates that compound 80b fits well in the cavity of enzyme and gets stabilized by different electrostatic interactions including major van der Waal’s, π−π stacking, and H-bond interactions (Figure 6).
Mohd. Shahnawaz Khan et al. [27] reported an eco-friendly itinerary series of newly substituted chromene-3-carboxamide derivatives. The green synthesis approach involves condensation of substituted salicylaldehyde (82) with N-(substituted) phenyl malonic acid (81) in the presence of a base catalyst, piperidine obtained chromene-3-carboxamide derivatives 83a–j (Scheme 11). The newly furnished derivatives were evaluated for their antimicrobial potential against two bacterial strains, E. coli (Gram-negative) and B. cereus (Gram-positive) and seven fungal strains, namely, A. niger, A. fumigatus, A. flavus, Rhizopus, Mucor, Penicillium, and C. albicans, by the agar well diffusion method using fluconazole as a reference drug. Compounds 83c, 83d, 83e, 83f, and 83j exhibited broad-spectrum antibacterial potential due to the presence of bromo, chloro or nitro substitutions at C6 and C8 position of chromene ring l. The inhibitory potential against E. coli and B. cereus at 1000 μg/mL concentration with a zone of inhibition of 10–16 mm was reported. All the analogues from the series were also evaluated for their antifungal potential against seven fungal strains. Among them 83a has shown moderate antifungal activity with MIC 500 μg/mL against A. flavus, A. niger, and penicillium, while 83b was shown against A. niger and C. albicans with MIC of 500 and 250 μg/mL, respectively. Moreover, compounds 83c and 83f displayed lower MIC value against A. fumigatus, A. flavus, Mucor and Penicillium. Results conclude that compounds 83c–g has displayed good to moderate antifungal potency against all tested fungal strains. Some analogues 83d and 83e exhibited excellent MIC of 125 μg/mL.
Milenko N. Ristić and co-workers [28] carried out synthesis of some novel asymmetric azines containing coumarin analogues. The title hybrids were prepared using the synthetic strategy depicted in (Scheme 12). The coumarin ketone 84 obtained via acylation of 58 with add full form (GAA) in the presence of POCl3. Hydrazone of 4-hydroxy-3-acteyl coumarin 85 can be afforded by reaction of 84 with hydrazine hydrate in a 1:1 ratio using ethanol. The title compounds asymmetric azines (86a–i) were synthesized by reacting 85 with different substituted aromatic aldehydes in absolute ethanol. All the title compounds tested for antimicrobial potential against four Gram-positive, three Gram-negative bacterial strains and two fungal strains. Found results shows that all the compounds were effective inhibitors of microbial growth against all the tested strains except 86i which is active against C. albicans. Compounds 86a and 86f displayed highest antimicrobial potency with MIC value of 1.32 and 1.4 µmol mL−1, respectively. Among the series compound 86c found to be potent antifungal candidate.
Megharaja Holiyachi et al. [29] reported one-pot multi-component synthesis of tri and tetra-substituted coumarin-imidazole hybrids. Synthesized derivatives were tested for their antimicrobial potential against Bacillus flexus (Gram-positive) Pseudomonas spp. (Gram-negative) bacterial and Scopulariopsis spp. and Aspergillus terreus fungi strains using via the well diffusion method using ciprofloxacin and nystatin as reference drugs. Compounds were prepared as described in (Scheme 13). Reaction of mixture of 4-formylcoumarins, substituted anilines and 1, 2-diketone (87) with ammonium citrate under reflux condition in the presence of acid catalyst has yielded title analogues 88a–m. Likewise analogues 90a–f were obtained using the similar above-mentioned reaction conditions. Further corresponding ester 91a–f were furnished by treatment of 90a–f to sulphuric acid in methanol under reflux. Derived results have shown that most of the analogous display promising activity against both bacterial strains. Analogues having N-1-phenyl substation on imidazole and substitutions on coumarin ring 88a–g possess excellent antibacterial potency with MIC values of 0.1 to 0.4 µg/mL except compound 88b, while analogues bearing nitrobenzene substitution on N-1 imidazoles 88h–m displayed higher activity. Compounds 91a–f were also found to be promising inhibitors against both tested strains of bacteria at low concentrations. All synthesized candidates were screened for antifungal potency and found excellent inhibitors of Scopulariopsis spp. and Aspergillus terreus fungi strains. These antifungal results are almost like that of the antibacterial potential. SAR studies revealed from the series 88a–g that compound 88b with (R1-CH3 and R-H) at N-1-phenyl substitution was inactive, however introduction of electron-withdrawing species in 88i (NO2), 90b (COOH), and 91b (COOCH3) on the N-1-phenyl ring exhibited potent antibacterial and antifungal activity. It indicates that for antimicrobial potential C7 substitution at coumarin nucleus and electron-withdrawing groups on N-1-phenyl ring at p-position is necessary.
Farzanabi Shaikh et al. [30] carried out the synthesis and evaluation of substituted coumarin and phenyl-1,2,4-triazolidine-3-thiones for their antitubercular and antimicrobial activity. Title analogues were prepared by two component rection of coumarin, phenyl and thiosemicarbazide using PEG-400. Initially intermediate thiosemicarbazone were obtained via nucleophilic addition of thiosemicarbazide (43) to the carbonyl carbon of substituted 4-formylcoumarine/benzaldehyde, followed by intramolecular nucleophilic attack of –NH2 of thiosemicarbazone to azomethine carbon to furnish title analogues coumarin and phenyl 1,2,4-triazolidine-3-thion 92a–i and 93a–e (Scheme 14). The title compounds were tested for their antibacterial potential against Gram-positive (S. aureus and B. subtilis) and Gram-negative (E. coli and P. aeruginase) and four fungal strains, namely, C. albicans, A. niger, A. flavus, and A. fumigate by using broth dilution method. From the obtained results it clears that all compounds were active against both Gram-positive and Gram-negative bacterial strains, as well as all tested fungi. Amongst the coumarin-fused triazolothiones (92a–i) series compounds 92a, 92b, 92c, 92d, and 92i found to be highly potent against S. aureus and Bacillus spp., as well as E. coli, with MIC values ranging from 0.8 to 1.6 μg/mL while, standard ciprofloxacin exhibited MIC 2 μg/mL, whereas the in vitro antifungal evaluation concludes that all the hybrids displayed outstanding potential against fungal strains with MIC values ranging from 0.4 to 6.25 μg/mL. Molecular docking was performed against the E. coli FabH target protein (PDB ID: 1HNJ) to support given results. Compound 92d makes three hydrogen bonding interactions with amino acids residues THR28, ASP27, ARG151, and compound 92i makes interaction with amino acids THR28, ASP27, and ARG151, while compound 92a against active site of enzyme cytochrome P450 14 alpha-sterol demethylase (CYP51; PDB ID: 1EA1) makes hydrogen bonding interaction with residues ARG96 and HEM460, as shown in (Figure 7).
Mohd Imran [31] synthesized benzimidazole-based coumarins derivative for their antimicrobial and antioxidant activity. A mixture of substituted 2-(propylthio)-1H-benzo[d]imidazole (94a,b) and substituted 3-(2-bromoacetyl)-2H-chromen-2-one (95a–e) was stirred in acetone furnished title analogues 2-butylthio-1H-benzimidazole-based coumarin derivatives (96a–j) outlined in Scheme 15. All the synthesized compounds were screened for their antibacterial potential against S. aureus (ATCC-25923), E. coli (ATCC-25922), E. faecalis (ATCC-29212), K. pneumoniae (ATCC700603), C. albicans (ATCC-2091), and P. citrinum (NCIM-768). Compounds having –F, -Cl, and –Br groups at C-6 of the coumarin moiety together with –OCH3 at C-5 of the benzimidazole found to be potent against tested microorganism.
Chirag G. Naik et al. [32] worked on the synthesis of some novel coumarin fused pyrazolones and methyl thiazole derivatives for their antimicrobial potential. 3-(2-bromoethyl)-4-hydroxy-2H-chromen-2-one (97a,b) were obtained from 4-hydroxy coumarin and dibromo ethane in the presence of base. Synthesis of 99a,b was done by reacting corresponding 97a,b with ethyl-4,5-dihydro-2-(4-hydroxyphenyl)-4-methylthiazole-5-carboxylate (98) in acetone. Analogues 100a and 100b were prepared by reaction of 4-hydroxy coumarin with 3-methyl-1- phenyl-1H-pyrazol-5(4H)-one and 3-methyl-1H-pyrazol-5(4H)-one in the presence of K2CO3 (Scheme 16). Synthesized derivatives were evaluated for antimicrobial potential against S. aureus, Bacillus subtilis (Gram-positive) and E. coli, P. aeruginosa (Gram-negative) by using agar diffusion method and fungi C. albicans (MTCC 227) using Sabouraud dextrose agar medium. Compounds 99a and 99b were found to possess significant inhibitory potential against P. aeruginosa and E. coli, while compounds 99b and 100a displayed good to moderate activity against Bacillus subtilis. All the compounds revealed moderate potency against Candida albicans (fungi).
Asha V. Chate and co-workers [33] reported a series of novel coumarin-linked pyrazoline inhibitors of D-alanine-D-alanine ligase via one-pot four component synthesis and screened for their antimicrobial potential against E. coli DdlB ligase. The outline for synthesis of title analogues is depicted in (Scheme 17). Title hybrids 101a–l and 101s–w and 101m–r were obtained via one-pot four component synthesis between salicylaldehyde, ethyl acetoacetate, hydrazine hydrate, and benzaldehyde in water in the presence of cyclodextrin. Prepared analogues were subjected to in vitro evaluation for antibacterial and antifungal potential against human pathogenic bacterial strains (E. coli, B. subtilis, S. aureus) and fungal strains (C. albicans, Candida glabrata, A. fumigates, A. flavus, A. niger and C. neoformans) using Miconazole as a standard drug. In vitro antibacterial analysis revealed that compound 101f is potent and has displayed excellent potential with MIC values of 14 µg mL−1, 14 µg mL−1 and 32 µg mL−1 against E. coli 1411, E. coli SM1411 and S. aureus NCIM-2901 respectively. The results are comparable to the standard drug D-cycloserine. Compound 101g has proven to be the second best from the series with MIC of 16 µg mL−1, 18 µg mL−1 and 40 µg mL−1 against E. coli 1411, E. coli SM1411 and S. aureus NCIM-2901, respectively. Moreover, compounds 101i and 101h also displayed good potential among the series. Similarly, compound 101j having thiophene moiety displayed excellent antifungal potential than the standard drug miconazole against C. albicans, C. glabrata, F. oxysporum, and A. fumigates with MIC values 20 µg mL−1, 20 µg mL−1, 22 µg mL−1, 34 µg mL−1, 12 µg mL−1, 14 µg mL−1 and 12 µg mL−1 respectively. The SAR analysis revealed that candidates 101m–r with substitution on ‘NH’ group of pyrazole moiety are inactive or displayed less antibacterial potential as compared to the compounds having no substitution on ‘NH’ group of pyrazole moiety (101a–l). Candidates having di-chloro substitution on phenyl ring (101i) was found more active than compound 101h with p-chloro substitution on the phenyl ring. Analogue 101c bearing 3,4,5-tri-methoxy substitution on the phenyl ring exhibited more antifungal potency than compound 101b containing 3,4-dimethoxy substitution on the phenyl ring. Compound 3-(5-(3-methoxynaphthalen-2-yl)-4,5-dihydro-1Hpyrazol-3-yl)-2H-chromen-2-one) (101e) also found to possess good potential against tested fungi.
Coumarin bearing dithiocarbamate derivatives were synthesized and evaluated by their in vitro antimicrobial potential against both Gram-positive, Gram-negative bacterial strains by S.N. Mangasuli et al. [34]. The study includes evaluation against bacterial strains, namely, S. aureus, B. subtilis, E. coli, and P. aeruginosa, and fungal strains, namely, A. flavus, Trichoderma harzianum, and Penicillium chrysogenum, and yeast C. albicans using the macro-dilution broth method. Bromoalkoxy-chromen-2-ones (102) were obtained by treatment of aliphatic dibromo species with 58 in the presence of K2CO3 in DMF. Condensation of 4-(2-bromoethoxy)-2Hchromen-2-one with dithiocarbamate salt in ethanol furnished desired 2-(2-oxo-2H-chromen-4-yloxy) ethyl pyrrolidine1-carbodithioate analogues 103a–l (Scheme 18). Compound 103i was found to be the most potent from the series with MIC of 0.5 mg/mL against S. aureus, 1 mg/mL against B. subtilis, 2 mg/mL against E. coli and P. aeruginosa. Likewise, compound 103h displayed good potential against S. aureus, B. subtilis and P. aeruginosa with MIC of 1 mg/mL and against E. coli with MIC of 1 mg/mL. Further, most of the compounds from the series have shown good to moderate antibacterial activity as compared to the standard. Moreover, prepared candidates were screened for their antifungal potential. Among them compound 103i displayed excellent potential against A. flavus, T. harzianum and C. albicans with MIC 1 mg/mL and C. albicans with 0.5 mg/mL which is very less MIC value as compared to the standard. Similarly, compound 103h exhibited activity against A. flavus, T. harzianum and C. albicans with MIC of 1 mg/mL and 0.5 mg/mL against P. chrysogenum. SAR studies explored that candidate 103i with electron-donating species (-CH3) at p-position of piperidine framework of dithiocarbamate linked via alkyl ether linkage -O(CH2) nS- (n = 4) to coumarin scaffold displayed lower MIC 0.5 mg/mL as compared to the standard analogue. Likewise, the analogue 103i has shown a C-score value of 7.57 which is superior in comparison to the standard fluconazole. SAR also revealed variation in alkyl chain of the respective derivatives (n = 4) with different substituents found excellent in activity in comparison with alkyl chain of n = 2. Docking results have shown that all the docked analogues exhibited good docking score against C. albicans DHFR (PDB ID: 1Al9). Active compounds from series 103h makes hydrogen bonding interactions with amino acid residues ARG56, SER78, ARG79, LYS57 and 103i with ARG79, LYS57 (Figure 8). The study has proposed mechanism of action for coumarin bearing dithiocarbamate analogues by inhibiting the dihydrofolate reductase enzyme.
In another study S. N. Mangasuli and co-workers [35] contributed to synthesis of novel coumarin-theophylline hybrids and screened their antitubercular and antimicrobial potential. The synthesis methodology is outlined in (Scheme 19) were starting from substituted 4-bromomethyl coumarin were obtained via Pechmann cyclization of phenol with 4-bromoethylacetoacetate in sulphuric acid. The furnished substituted 4-bromomethyl coumarins upon condensation with theophylline (104) in the presence of anhydrous K2CO3 in acetone yield 1,3-dimethyl-9-[(substituted-2-oxo-2Hchromen-4-yl) methyl)-1H-purine-2,6(3H,9H]-dione derivatives (105a–j). The prepared derivatives were screened for their in vitro antimicrobial potency against S. aureus (Gram-positive) and E. coli, and S. typhi (Gram-negative) bacteria, as well as fungi C. albicans. Among the series, compound 105a with 6-CH3 substitution was found active against S. aureus, E. coli with MIC of 3.9 µg/mL and against S. typhi with MIC of 7.8 µg/mL. Additionally, compound 105c with 5,6-Benzo, 105f with 6-OCH3, and 105j with 6-tert-butyl substitutions displayed good antibacterial potency against S. aureus and for E. Coli with MIC of 7.8 µg/mL, 7.8 µg/mL, and 3.9 µg/mL, respectively. The antiviral potency was compared with Amphotericin B as the standard drug. From the obtained results, compounds 105a (6-CH3), 105b (7-CH3), and 105f (6-OCH3) were found most active against C. albicans with a MIC value of 31.3 µg/mL. Additionally, 105c, 105d, 105i, and 105j displayed sensible potential against C. albicans with MIC value of 62.5 µg/mL. The SAR studies have shown that presence of electron-donating species substituted to C-6 of coumarin moiety contributes towards the antibacterial potential.
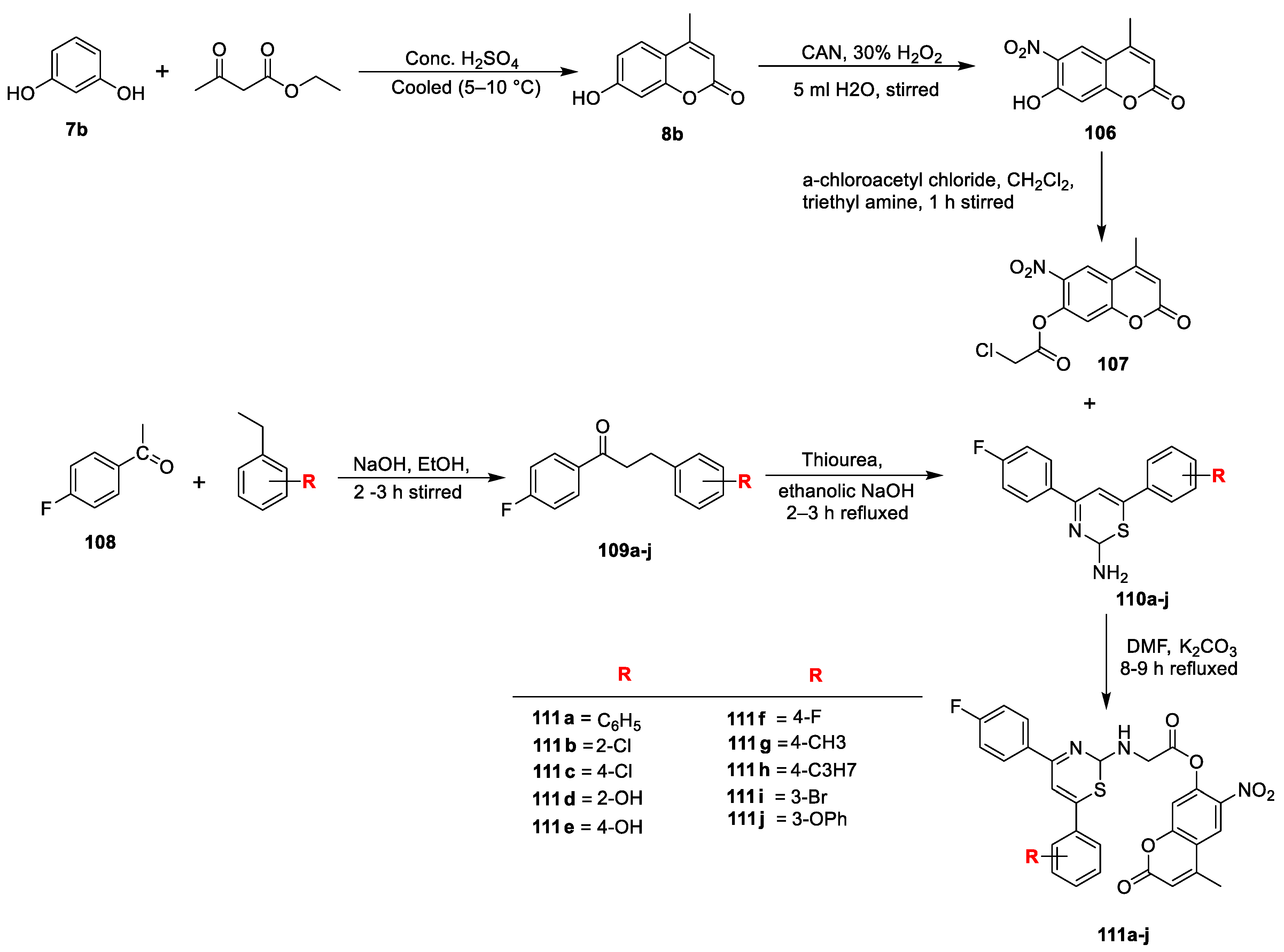
Nilesh B. Chauhan et al. [36] reported a new series of 4-methyl-6-nitro-2-oxo-2H-chroman-7yl-2-(4-(4-fluorophenyl)-6-phenyl-2H-1,3-thiazin-2-yl-amino) acetates (Scheme 20). Compound 8b was synthesized via Pechmann condensation, which, on nitration with nitric acid, obtains 106, followed by a reaction with chloroacetyl chloride, gives 4-methyl-3-nitro-2-oxo2H-chromen-7-yl 2-chloroacetate (107). Title derivatives 111a–j were obtained by condensation of 107 with amino thiazine derivatives (110a–j) via cycloaddition reaction in between substituted chalcones (109a–j) and thiourea. The test compounds were screened for their antimicrobial potential against four bacterial and three fungal strains using broth microdilution method and compared with chloramphenicol, ciprofloxacin, and griseofulvin as a standard. Analogue 111c attached to -Cl and 111h attached to –CH2CH2CH3 at C-4 of benzaldehyde were found to be more active against E. coli with MIC value of 50 µg/mL and the results were compared to standard drugs chloramphenicol and ciprofloxacin, whereas compounds 111a (-H) and 111b (2-Cl) displayed significant antifungal potential against S. pyogenes with MIC value of 250 µg/mL compared with griseofulvin. Other test analogues were found to be less to moderately active.
Synthesis of some coumarin-piperazine derivatives was carried out by Shrinivas Koparde et al. [37]. Outline for synthesis of title compounds is depicted in (Scheme 21). Substituted 4-bromomethyl coumarins were obtained via Pechmann cyclization of phenols with 4-bromoethylacetoacetate. Title coumarin-piperazine derivatives (113a–h) were prepared by condensation of obtained substituted 4-bromomethyl coumarins with 1-(4-(4-hydroxyphenyl) piperazin-1-yl) ethanone (112) in the presence of K2CO3 using DMF as solvent. Label hybrids evaluated for their in vitro antimicrobial activity against both Gram-negative and Gram-negative bacterial strains, as well as four fungi. Among the series compound 113a was exhibited excellent potential against S. aureus and E. faecal (MIC = 0.5 µg/mL) and with E. coli and P. aeruginosa with MIC value 1 µg/mL, whereas 113d and 113f were found as good in action against S. aureus and E. faecal with MIC value 2 µg/mL. Antifungal potential of the test compounds was evaluated against A. flavus, P. chrysogenum, Trichoderma harzianum, and C. albicans. Obtained results have concluded that displayed compound 113a has excellent activity against A. flavus and T. harzianum with MIC of 0.5 µg/mL and against P. chrysogenum and C. albicans with MIC value of 1 µg/mL, which is equivalent to the standard fluconazole. Moreover, compounds 113d, 113f, and 113h exhibited good potency with MIC 2 µg/mL against A. flavus, T. harzianum and P. chrysogenum when compared to the standard. Further, molecular docking studies were encouraged and supported the results of in vitro antimicrobial activities, the compounds 113a, 113e, 113f, and 113h have higher C score values than that of the standard drug ciprofloxacin.
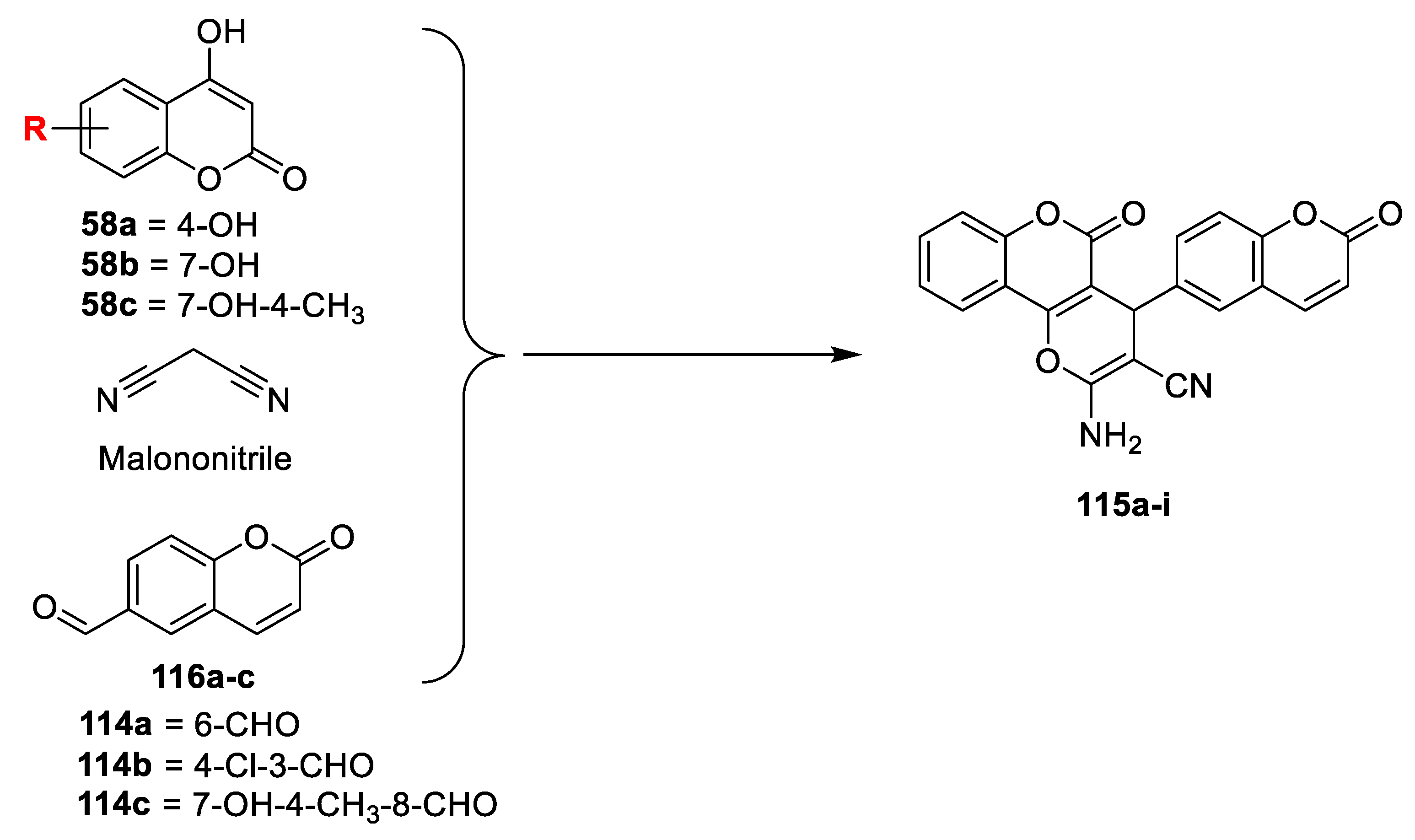
V.K.A. Kalalbandi et al. [38] have illustrated in vitro antimicrobial potency of some dihydropyran-bis coumarins. 6-formylcoumarins (114a) were synthesized via the Reimer−Tiemann reaction in the presence of chloroform and KOH. 3-formyl-4-cholorocoumarin (114b) furnished through the Vilsmeier−Haack reaction of 4-hydroxy coumarin in POCl3-DMF and 8-formyl-7-hydroxy-4-methylcoumarin (114c) prepared via Duff reaction of 7-hydroxy-4-methylcoumarin. Title compounds dihydropyran-bis coumarins (115a–i) were synthesized via one pot multicomponent reaction of different substituted hydroxycoumarins, formyl coumarins (114a–c) and malononitrile in the presence of catalytic amount of triethylamine in methanol (Scheme 22). The in vitro antimicrobial activity was carried out against bacterial strains, namely, E. faecalis, S. aureus, P. aeruginosa, and E. coli, and fungi C. albicans and A. Niger using broth micro dilution method. Biological study exposes most of the derivative active against Gram-positive bacterial strains and compounds 115a and 115b have emerged as a most potent form the synthesized hybrids by exhibiting MIC of 0.4 and 0.8 mg mL−1, respectively, against S. aureus as compared to the standard ciprofloxacin. Additionally, 115a was found active against Gram-negative strain P. Aeruginosa, while the rest of the test compounds were moderately active against remaining microorganisms. On the other hand, compounds 115a and 115b also found significantly active against C. albicans with MIC values 0.8 and 0.4 mg mL−1, respectively. The SAR study concluded that core biscoumarin attached dihydropyran moiety with no substitution found better in potency against Gram-positive strains as compared to the substitution on core biscoumarin attached dihydropyran framework.
Jyoti M. Madar and co-workers [39] developed a new series of structurally identical coumarin triazoles and evaluated for their cytotoxic and antimicrobial action. Initially, substituted 4-bromomethyl coumarins obtained via Pechmann cyclization which is converted into substituted dipolar coumarin azides by reaction with sodium azide in acetone. 1,4,5-trisubstituted-1,2,3- triazoles (116a–f) were prepared via base catalysed cycloaddition reaction of substituted dipolar coumarin azides with malononitrile (active methylene compounds). In the same way, coumarin triazole carboxylate (117a–f) were obtained by the reaction of substituted coumarin azide with ethylacetoacetate in the presence of NaH in THF via reflux. The yielded compounds 117a–f were converted to coumarin triazole carboxylic acid (118a–f) using NaOH under reflux (Scheme 23). The newly furnished analogues 116a–f, 117a–f and 118a–f were screened for their in vitro antimicrobial activity against different bacterial and fungal strains. Out of the tested hybrids from the series of coumarin triazole amino carbonitriles (116a–f), compounds 116a, 116b, 116d, and 116e were proved as excellent inhibitors against S. aureus with MIC values 0.4, 0.8, 0.4, and 0.4 μg/mL, respectively, when compared to the standard Ciprofloxacin with MIC value 2 μg/mL. In addition, 116a, 116c and 116e displayed good potential against E. coli with MIC value 3.12, 12.5 and 1.6μg/mL, respectively. From the series of coumarin triazole carboxylate (117a–f), compounds 117d, 117e, and 117f exhibited excellent potency against S. aureus with MIC values 0.8, 0.8 and 0.4 μg/mL, respectively, when compound 117b and 117e displayed good potential against E. coli with MIC 3.12 and 12.5 μg/mL when compared to the standard. Furthermore, from the series 118a–f, three analogues 118d, 118e, and 118f found excellent activity against S. aureus with MIC values 0.2, 0.8 and 0.4μg/mL, respectively. Wherein candidate 118d has proven to be good in activity against E. coli. The antifungal screening has revealed that among the 18 furnished candidates,116a, 116b, 116d, 116e, 117f, and 118e emerging as excellent candidate with MIC values 0.4, 12.5, 3.12, 1.6, 6.25, and 6.25 μg/mL, respectively, against A. niger compared to the standard fluconazole. SAR study revealed that electron-releasing groups (CH3 and OCH3) at C5, C6 and C7 of coumarin moiety contributes to the antibacterial potency of the title compounds.
Priscila López-Rojas et al. [40] analysed in vitro antimicrobial activity of novel series of 4-substituted 1,2,3-triazole-coumarin derivatives. The synthesis of title analogues is depicted in (Scheme 24). When 4-hydroxy-coumarin (58) reacted with 3-bromoprop-1-yne in the presence K2CO3 in anhydrous acetone it gives O-propargylated coumarin (79). Similarly, 4-bromo-coumarin (120) on reaction with prop-2-yn-1-amine via nucleophilic substitution reaction in DMF afforded N-propargylated coumarin (121). The title 4-substituted 1,2,3-triazole-coumarin derivatives (119a–m and 122a–m) prepared via copper(I)-catalyzed Huisgen 1,3-dipolar cycloaddition reaction of corresponding O-propargylated coumarin (79) and N-propargylated coumarin (121) with different substituted alkyl or aryl azides, respectively. The synthesized analogous were tested against S. aureus (ATCC 6538), E. faecalis (PCM 2673), E. coli (ATCC 8739), K. pneumoniae and yeast C. albicans (ATCC 10231) and were compared with the standard chloramphenicol and ketoconazole. Among the screened series, compounds 119a, 119b, 119f, 122h and 122k have exhibited promising activity with MIC ranging from 12.5 to 50.0 µg/mL against E. faecalis. Compound 119b with 2-OMe–Ph group attached at the triazole moiety and an –OCH2– linker remained the finest candidate of the series. In the nitrogenated series candidate 122h with 3-NO2–Ph and 122k with an undecyl chain has proven to possess the best potential.
Antibacterial, antitubercular, and antiviral activity of a new thiazolyl-coumarin hybrids was executed by Hasnah Osman and co-workers [41]. Initially, the substituted 3-acetylcoumarins on bromination with ethanol free chloroform afford key intermediates substituted-3-(2-bromoacetyl)-2H-chrome-2-ones (123a,b). Subsequently thiazolyl-coumarin analogues (124a–o) were obtained via Hantzsch cyclization of the corresponding intermediate 123a,b with N-substituted and N,N-disubstituted thiourea (Scheme 25). Analogues were tested by in vitro antibacterial activity against two bacteria S. pneumonia and S. aureus (Gram-positive) and E. coli, E. aerogenes and S. typhi (Gram-negative) by using broth microdilution method. The obtained results were compared with the standard drugs streptomycin, kanamycin, and vancomycin. Out of the tested hybrids, compounds 124d, 124h, 124k, and 124m have exhibited promising antibacterial action. The bromophenol analogues 124d (MIC 79 µM) and 124h (MIC 73 µM) displayed highly significant inhibition against all the tested microorganisms with MIC values fairly less than that of vancomycin (MIC 86–176 µM). The disubstituted N,N-diphenyl candidate 124l exhibited very low potency (MIC 158–316 µM). However, replacement with bulky alkyl groups led to compounds retaining their antibacterial potency such as 124k (MIC 115–230 µM) and 124m (MIC 49–98 µM). From the obtained results, the SAR analysis revealed that mono-substituted thiazoles remained more effective as compared to the di-substituted thiazoles. Candidates having lipophilic electron-withdrawing bromo group at the phenyl ring displayed promising potential while substitution of electron releasing (-OCH3) group at coumarin moiety is contributing towards increased potency.
A new series of coumarin−carbonodithionate hybrids were contributed by Sumitra N. Mangasuli and co-workers [42] to evaluate their in vitro antimicrobial potential. The preparation strategy is as depicted in (Scheme 26). The mixture of 4-hydroxy (58a) and 7-hydroxy coumarins (58c) treated with various dibromoalkanes and anhydrous K2CO3 in DMF gives bromoalkoxy coumarins (125a–d). The obtained intermediates 125a–d when condensed with potassium O-ethyl/methyl carbonodithioate in absolute ethanol furnished 4- and 7-substituted coumarin-carbonodithioate hybrids (126a–d and 127a–d) via microwave irradiation technique. Prepared candidates were tested for their in vitro antimicrobial potential against S. aureus, B. subtilis, E. coli and P. aeruginosa and fungi A. flavus, T. harzianum, and P. chrysogenum, as well as yeast C. albicans.
Among the synthesized compounds, 126c and 126a have displayed excellent antibacterial potency against S. aureus and B. subtilis with MIC value 0.5 µg/mL and 2 µg/mL, respectively, and against E. coli and P. aeruginosa with MIC 1 µg/mL and 4 µg/mL, respectively. Moreover, analogues 126b and 126d have displayed good to moderate potential against tested pathogens. Compound 126c also demonstrated potential against A. flavus, T. harzianum, and P. chrysogenum (MIC 0.25 µg/mL) and against C. albicans with (MIC 1 µg/mL), while candidate 126b was found to possess significant activity against A. flavus, T. harzianum, and P. chrysogenum (MIC 0.5 µg/mL) and C. albicans with (MIC 1 µg/mL) as compared to the standard fluconazole, while the rest of the test compounds were found good to moderately active against tested fungal strains.
Megharaja Holiyachi and co-workers [43] designed and synthesized by one pot multicomponent method some coumarin–imidazole analogues and phenyl imidazoloacrylates for both antimicrobial and anti-inflammatory potential. Initially, coumarin–imidazole hybrids (128a–g) were prepared by reacting 4-formycoumarin and 1,2-diketone (87) in the presence of the ammonium citrate as catalyst via conventional method. The next step obtained 128a–g on treatment with p-toluenesulfonyl chloride under triethylamine and yields coumarin– imidazole sulphonamides (129a–f). On the other hand, analogues 128a–g on treatment with sodium hydroxide via ring opening mechanism produced analogues 130a–f which is isolated in the form of sodium salts (Scheme 27). The assay was performed against Bacillus flexus (Gram-positive) and Pseudomonas spp. (Gram-negative) bacterial strains, as well as fungi Scopulariopsis spp. and Aspergillus terreus via the agar well diffusion method using ciprofloxacin and nystatin as the reference candidates. The derived results conclude that all the screened analogues are active against both the tested bacterial strains compared to the standard drug. Compounds 128c with –OCH3 and 128e having –Cl at C-6 of coumarin displayed excellent potential with MIC value 0.3 μg/cm3. N-sulfonyl bearing imidazole derivatives (129a–f) has shown slight increase in the potential compared to compounds 128a–g. Compound 129d with bromo substitution at C6 position of coumarin and 129f having 7,8-benzo substitution on the coumarin with MIC value 0.2 μg/cm3. The newly formed modified coumarin–imidazole hybrids to sodium salt of phenyl acrylate of imidazole 130a–f, were found highly active against both tested bacterial strains compared to the standard and the other series of analogues 128a–g and 129a–f.
Among this series compound 130c having –OCH3 and –OH on benzene, 130e with chloro substitution and –OH on benzene ring and 130f emerged as highly potent with MIC 0.1 μg/cm3. From the above evidence, analogues 130a–f displayed excellent potential against both bacterial strains, and it might be the ionic nature of molecules which are completely soluble in water, while, against the tested fungal strains, analogues 128a, 128b, 128e, and 128g found active with MIC ranges from 1 to 4 μg/cm3. In case of series 129a–f, all the complexes exhibited promising activity against both fungi except 129d having bromo substitution at C6 position of coumarin, whereas improved activity was observed in case of series 130a–f with MIC value ranging from 1 to 2 μg/cm3. Further, to explore antimicrobial potential of the synthesized analogues molecular docking study was perform against C. albicans dihydrofolate reductase (PDB IDs: 1AI9) and A. fumigatus N-myristoyl transferase (PDB ID: 4CAW; A Chain). Among the series compounds 130a–f exhibited very good interaction with the selected enzyme target. Compound 130a shows six hydrogen bonding interactions with cavity of enzyme 1AI9 involved amino acids residues LYS57 and ARG79 and three others with ARG56, while compound 130c displayed hydrogen-bonding interactions with amino acids, namely, LYS57, ARG79, and GLU116, in the active pocket of the enzyme. Moreover, compound 130e has shown interaction at the active site of N-myristoyl transferase (PDB: 4CAW; A-Chain with amino acids GLY25 and GLY251) (Figure 9). All the three analogues displayed better C score values against the enzyme (PDB ID: 1AI9).
Several dimers of coumarin-1,2,3-triazole hybrids bearing alkyl spacer were synthesized and evaluated for their antimycobacterial and antimicrobial potency by A. Dongamanti et al. [44]. An outline for the synthesis of new dimers is presented in (Scheme 28). 6-substituted-7-hydroxycoumarins (131a,b) were prepared via Pechmann condensation of resorcinols with ethyl acetoacetate. 6-substituted-4-methyl-7-(prop-2-yn-1-yloxy)-2H-chromen-2-ones (132a,b) were obtained by the reaction of the corresponding 131a,b with propargyl bromide in the presence of potassium carbonate in acetone under reflux. Coumarin–1,2,3-triazole hybrids (133a–j) were afforded via nucleophilic substitution reaction of dibromoalkanes with sodium azides to produce in situ diazidoalkanes, which is coupled with 132a,b by copper-catalyzed azide-alkyne 1,3-dipolar cycloaddition reaction. The in vitro antimicrobial screening was performed against B. subtilis, S. aureus, E. coli and Proteus vulgaris bacterial strains and A. niger and C. albicans fungal strains via Agar well-diffusion method using gentamicin and fluconazole as reference drugs.
Among the series compound 133j was found to be highly active antibacterial candidate against B. subtilis, S. aureus and E. coli (MIC 3.125 µg/mL) with zone of inhibition 19, 16 and 14 mm, respectively. Additionally, compounds 133e and 133i were found as promising inhibitors against tested organism with MIC value of 6.25 µg/mL, while analogues 133d and 133j displayed good antifungal potential (MIC 12.5 µg/mL) with a zone of inhibition 12 and 14 mm against A. niger and 14 and 10 mm in contrast to C. albicans, respectively. Along with that, hybrids 133e and 133i exhibited good to moderate potential (MIC 12.5–25 µg/mL) with inhibitory zone of 12 mm, 16 mm and 10 mm, 11 mm, respectively. The SAR study proposed that compounds having lipophilic n-octyl and n-hexyl spacer and chloro substitution on the coumarin moiety were found to be promising for antimicrobial potential.
LR Singh et al. [45] analysed in vitro antibacterial activity of coumarin-benzimidazole conjugates. The reported compounds were synthesized by a procedure depicted in (Scheme 29). The salicylaldehyde and ethyl acetoacetate in the presence of piperidine was converted into intermediate 134 via Knoevenagel condensation, which on bromination in dry chloroform yields compound 135. The obtained intermediate 135 was reacted with benzimidazole in acetonitrile gave 136 via nucleophilic substitution reaction. Later condensation of 136 with hydroxyl amine hydrogen chloride under refluxed furnish key intermediate 137. Finally, the title analogues 138a–k were achieved by the reaction of 137 with different substituted benzyl halides under potassium tert-butoxide in DMSO via etherification. The synthesized derivatives were screened against B. subtilis, S. aureus (Gram-positive) and P. aeruginosa, Proteus vulgaris, E. coli (Gram-negative) bacterial strains. MIC values were established by using ampicillin, kanamycin, tetracycline, and ciprofloxacin as standard drugs. The derived biological data represents, compounds 138a and 138c have efficiently inhibited growth against the B. subtilis with MIC values 0.95 and 6.25 μg ml−1, respectively, while compounds 138c, 138f, 138j and 138k exhibited better potential against P. vulgaris with MIC values 1.56, 3.12, 1.56 and 1.56 μg mL−1, respectively, along with compound 138a active against P. aeruginosa (MIC 3.12 μg mL−1) as compared to the standard ampicillin. Compound 138a was found active against Gram-negative strains (S. aureus, and E. coli with MIC 1.56 and 3.12 μg mL−1, respectively). The SAR of the synthesized compounds revealed molecules with halogen species could display antibacterial potential. Compound 138a having chlorine species at para position of coumarin–benzimidazole framework found to have highest broad spectrum antimicrobial potential.
Synthesis of novel 3-((dicyclohexylamino)-(substituted phenyl/heteryl)-methyl)-4-hydroxy-2H-chromen-2-onederivatives (140a–o) was carried out under solvent-free condition and there in vitro antimicrobial potential was evaluated by Shailee V. Tiwari et al. [46]. The title analogues were prepared via three component reactions of appropriate aldehydes, 4-hydroxy coumarin (58) and dicyclohexylamino (139) in the presences of [Et3NH] [HSO4] acting as a catalyst and a solvent (Scheme 30). The synthesized coumarin analogues were assessed for their antimicrobial potential against bacterial strains, namely, E. coli, B. subtilis, and S. aureus, and fungal strains C. albicans, C. glabrata, F. oxysporum, A. fumigates, A. flavus, A. niger, and C. neoformans via standard agar method using ampicillin and miconazole as reference drugs. Out of the test compounds, analogues 140e having 2,4-difluoro group on the phenyl ring was found to be most active against E. coli (MIC 48 µg/mL), B. subtilis (MIC 50 µg/mL) and S. aureus (MIC 52 µg/mL). Furthermore, compound 140c with 2,6-dichloro group on the phenyl ring has displayed excellent potency against E. coli, B. subtilis and S. aureus with MIC values 50, 48 and 50 µg/mL, respectively. The archived results revealed that analogues bearing electron-withdrawing substitutions such as 140e (2,4-difluro), 140d (4-fluro), 140c (2,6-dichloro) and 140b with 4-chloro on the phenyl ring with coumarin, dicyclohexylamine, and β-aminocarbonyl framework build up the antibacterial potential. Similarly, the obtained hybrids 140b, 140c, 140d and 140e with electron-withdrawing groups displayed significant in vitro antifungal potential against A. fumigates, A. flavus and A. niger. Interestingly, compound 140l having 4-hydroxy-3-ethoxy on the phenyl ring has proven to be the most active antifungal agent from the series against C. albicans, C. glabrata, Fusarium oxysporum, A. fumigates, A. flavus, A. niger, and C. neoformans with MIC values 25, 28, 28, 36, 15, 12, and 12 µg/mL, respectively, while analogue 140e seemed to be equally active against A. fumigates, A. flavus, A. niger, and C. neoformans when compared with the standard miconazole.
Renuka et al. [47] reported antimicrobial and antioxidant activity of coumarin appended pyrazolyl-1,3,4-oxadiazoles and pyrazolyl-1,3,4-thiadiazoles. Initially, 1-aryl-3-(7-hydroxy-4-methyl-2- oxo-2H-chromen-8-yl)-1H-pyrazole-4-carboxaldehydes (141a–e) was treated with semicarbazide hydrochloride (142) in the presence of sodium acetate in ethanol under reflux to furnish the corresponding semicarbazones (143a–e), which is via oxidative cyclization using bromine in acetic acid gives 1,3,4-oxadiazoles (144a–e) (Scheme 31a). In the similar manner, precursors 141a–e when reacted with thiosemicarbazide hydrochloride (145) in the presence of sodium acetate gives thiosemicarbazones (146a–e), which was converted into 1,3,4-thiaoxadiazoles (147a–e) on reaction with 146a–e via oxidative cyclization using bromine in acetic acid (Scheme 31b). Among the series, chloro-substituted thiosemicarbazone was found to be excellent against all the tested pathogens, while methyl substituted thiosemicarbazone displayed good potential against E. coli.
Samina Khan Yusufzai and co-workers [48] investigated in vitro antibacterial and antitubercular potential of some new hydrazinyl thiazolyl coumarin hybrids. Various 3-acetyl coumarins (149a–g) were prepared by the condensation of selective salicyladehydes (148a–g) with ethylacetoacetate in catalytic amount of piperidine, which on treatment with thiosemicarbazide furnishes coumarin thiosemicarbazone analogues (150a–g). The second precursor 3-(2-bromoacetyl)-2H-chromen-2-one (151a,b) was produced via bromination of 3-acetyl coumarins (149a and f). The title analogues 152a–k were synthesized via Hantzsch cyclization of coumarin thiosemicarbazones (150a–g) and α-bromo-3-acetyl coumarins (151a,b) by cyclocondensation in CHCl3/EtOH followed by treatment with NH4OH (Scheme 32). In vitro antibacterial evaluation was carried out against S. pneumoniae, S. aureus (Gram-positive) and E. coli, E. aerogenes, S. typhi (Gram-negative) bacterial strains by employing colorimetric microdilution method. Among the newly furnished hybrids, Compound 152c has displayed highest antibacterial potential against S. typhi, S. pneumoniae, and S. aureus with MIC values in the range of 31.25–62.5 μg/mL and are comparable to the standard kanamycin. Along with that compounds 152i, 152j, and 152k has also exhibited good to moderate potential against all the tested pathogens with MIC in the range of 62.5–125 μg/mL. The SAR analysis has revealed that introduction of hydroxyl and halogens especially bromine on coumarin ring (152c and 152b) could improve the antibacterial potential against all the pathogens compared to other substitutions. It was concluded that lipophilicity or hydrophobicity might be concerned with their mechanism of action. Halogens are highly reactive species due to their electronegativity thus, sufficient halogens (Cl, Br, and I) can be fatal to microorganisms.
Mei-Hang Chen et al. [49] synthesized and screened several novel coumarin substituted amide derivatives (Scheme 33) as potential antibacterial agents against Xanthomonas oryzaepv. Oryzae (Xoo) and Xanthomonas citri subsp. Citri (Xcc). 4-hydroxycoumarin (58) was refluxed with POCl3 using Et3N reagent to yield 4-chlorocoumarin (153) via chlorination. Esterification of 153 with 4-aminoophenol in the presence of K2CO3 in CH3CN afforded 4-(4-aminophenoxy) coumarin (154). Finally, the compound 154 was treated with aromatic acid and 4-dimethylaminopyridin via condensation in CH2Cl2 gives amide derivatives containing coumarin (155a–q). The tested compounds 155f, 155h, 155k, 155l, 155m, 155n, 155o, and 155q found excellent antibacterial potency against Xanthomonas oryzaepv. oryzae at 200 μg mL−1 with percent zone of inhibition 92.7, 90.5, 97.3, 98.6, 94.1, 95.2, 92.4, and 96.0%, respectively, and were compared to the activity profile of the standard bactericide thiodiazole−copper (63.1%). Meanwhile, the same analogues displayed potential against Xoo at 100 μg mL−1 with percent inhibition of 55.1, 52.3, 55.7, 57.8, 52.1, 55.0, 52.6, and 56.3%, respectively, which is more than that of thiodiazole−copper (30.2%). Likewise, analogues 155f, 155h, 155k, 155l, 155m, 155n, 155o, and 155q has displayed acceptable antibacterial action against Xcc, with the inhibition rates of 93.8, 93.7, 98.1, 99.2, 96.1, 97.3, 93.2, and 97.0%, respectively, which is closer to the standard thiodiazole−copper (86.2%) at 200 μg mL−1. Based on the preliminary evaluation, the obtained EC50 value indicated that compounds 155f, 155g, 155h, 155i, 155j, 155k, 155l, 155m, 155n, 155o, and 155q could display outstanding potency against Xoo (EC50: 135.8, 156.0, 145.7, 178.5, 160.2, 103.6, 96.4, 126.8, 119.0, 127.3, and 117.5 in all μg mL−1 respectively), while the same analogues exhibited significant potency against Xcc with EC50 of 115.0, 138.1, 101.2, 142.4, 136.8, 79.4, 73.2, 119.0, 112.4, 107.4, and 83, respectively, which is better than that of thiodiazole−copper (138.3 μg mL−1). The SAR study revealed that the electron-withdrawing groups F, Cl, Br, NO2, CF3, and OCF3 could display excellent potency against both tested pathogens (Xoo and Xcc) when compared to the electron-donating substitutions (Me, OMe) at the R position. From the above evidence, most of the amide bearing compounds with coumarin have shown improved potency against Xoo and Xcc than that of imine with the same coumarin moiety.
Mohd. Imran Ansari et al. [50] has reported a series of novel 3-(2-(5-(2-chloroquinolin-3-yl)-3-substituted phenyl-4,5-dihydro-1H-pyrazol-1-yl)-thiazol4-yl)-6-H/halo-2H chromen-2-ones and assessed for their in vitro antimicrobial activity. Compounds 156a–e were prepared by reacting suitable substituted hydroxy benzaldehyde with ethylacetoacetate in catalytic amount of piperidine, which is via bromination to get converted into key intermediate 3-(2-bromoacetyl)-6-H/halo-2H-chromen-2-ones (157a–e). Meanwhile, 2-chloroquinoline-3-carbaldehyde on treatment with substituted acetophenone in ethanol obtained 159a–e, which on treatment with hydrazine carbothioamide under reflux yields 5-(2-chloroquinolin-3-yl)-3-substituted phenyl-4,5-dihydro-1Hpyrazole-1-carbothiamide (160a–e). Finally, the title analogues 161a–y were prepared via condensation of 157a–e and 160a–e in ethanol (Scheme 34). The prepared compounds screened for their in vitro antimicrobial action against S. aureus, E. faecalis, Staphylococcus epidermidis, B. subtilis, and B. cereus (Gram-positive), E. coli, P. aeruginosa, K. pneumoniae, Bordetella bronchiseptica, and P. vulgaris (Gram-negative) bacterial strain and five fungal strains, namely, C. albicans, A. niger, A. flavus, Monascus purpureous, and Penicillium citrinum, by using the serial plate dilution method. Some analogues 161q, 161r, and 161s having fluoro-substituted coumarin on the phenyl ring has proven potential against tested bacteria as compared to the corresponding H/chloro/iodo/bromo-substituted compounds. Moreover, compounds 161q and 161r were found to possess excellent antifungal potential than that of the standard ofloxacin, and ketoconazole.
In another study Renuka Nagamallu et al. [51] developed a series of coumarin appended 1,3-oxazines for their antimicrobial and antioxidant potential. The outline for the synthesis of title compounds is described in (Scheme 35). The corresponding hydrazones (164a–g) were synthesized via condensation of 162 with substituted phenylhydrazines (163a–g) in catalytic amount of AcOH under reflux. The title coumarins appended 1,3-benzoxazine analogues (165a–g) were prepared by treatment of corresponding hydrazones with triphosgene in the presence of Net3 and CH2Cl2 via cyclization. The obtained oxazine derivatives 165a–g were evaluated for in vitro antimicrobial potential against S. aureus, S. pyogenes, E. coli, and P. aeruginosa bacterial strains and C. neoformans, A. niger, A. flavus, and C. albicans fungal strains. Compound 165b having methoxy group exhibited potent activity against all the tested bacterial strains. After that compounds 165d (chloro) and 165f (dimethyl) have displayed greater extent of inhibition against Streptococcus pyogenes and E. coli. Compounds 165c and 165g with CH3 group have shown significant inhibitory potential against S. pyogenes and E. coli, whereas compounds 165b (methoxy) and 165d (chloro) had proved inhibitory potential against the tested fungi by inhibiting spore germination, while analogues 165c and 165f with a methyl group displayed good-to-moderate activity against A. niger and A. flavus.
Uzma Salar et al. [52] synthesized and examined a series of coumarin-3-carboxamide derivatives for antimicrobial activity. The title analogues, coumarin-3-carboxamide (166a–ab) were synthesized form coumarin-3-carboxylic acid (56) with different substituted anilines in the presence of 1,1′-carbonyldiimidazole as a coupling agent (Scheme 36). In vitro antimicrobial activity was assessed against B. subtilis, C. xerosis, S. aureus, S. faecalis, and MRSA (Gram-positive) and K. pneumoniae, P. aeruginosa, E. aerogene, and S. dysenteria (Gram-negative) bacterial strains along with A. niger, A. terrus, C. tropicalis, C. sacromyces, C. neoformen, C. albicans, Rhizopus, Microsporumcanis, and Absidia fungal strains by using disc diffusion method. Compound 166ab has exhibited highest antibacterial potential against B. subtilis, C. xerosis, S. aureus, S. faecalis, MRSA, K. pneumoniae, P. aeruginosa, E. aerogene, and S. dysenteria, along with 166b and 166o, while none of the derivatives were found active against the tested fungal strains.
Jyotirmaya Sahoo et al. [53] has produced new transitional metal complexes derived form 3-aryl-azo-4-hydroxy coumarin analogues for their antimicrobial action. The metal complexes 169a–h were yielded via condensation of different hydro alcoholic solutions of metal chlorides with 3-(4-chloro phenyl/4-methoxy phenyl)-azo-4-hydroxy coumarin derivatives (168a,b) (Scheme 37). The prepared complexes were assessed for antimicrobial potential against E. coli, K. pneumonia, S. aureus, C. albicans and C. neoformans and compared the derived results with standard ampicillin and fluconazole. Among all the synthesized complexes, only 169a and 169e exhibited better antimicrobial potential against E. coli, K. pneumonia, S. aureus, C. albicans and C. neoformans in comparison to the standard drugs (p < 0.05).
A series of 2-(1-(2-oxo-2Hchromen-3-yl) ethylidene) hydrazinecarbothioamide derivatives were contributed by R H. Vekariya et al. [54] in order to assess their antimicrobial activity (Scheme 38). Salicylaldehyde on reaction with ethyl acetoacetate in the presence of starch sulfuric acid or cellulose sulfuric acid gives 3-acetyl coumarin under solvent free conditions. The obtained 3-acetyl coumarin was treated with isothiocyanatobenzene and hydrazine hydrate in the presence GAA under reflux to furnish title coumarin-clubbed thiosemicarbazone derivatives (170a–s). The prepared hybrids were screened for their in vitro antimicrobial activity against bacterial strains (S. aureus, S. pyogenes, E. coli, P. aeruginosa) and fungal strains (A. clavatus, C. albicans, and A. niger) by employing agar dilution method using ampicillin, ciprofloxacin, chloramphenicol, nystatin and griseofulvin as standard control drugs. Biological studies have revealed that compound 170o with electron deactivating fluoro group on phenyl (2 and 4 positions) has excellent potential against S. aureus with MIC 50 lg/mL. Analogues 170b, 170e, 170j, and 170m bearing chloro group at phenyl ring were found excellent inhibitors next to 170o against S. aureus with MIC 125 lg/mL. Moreover, candidates 170b, 170e, 170h, 170j, 170m, 170n, and 170s were found as potent inhibitors against E. coli at MIC of 62.5 lg/mL. On the other hand, compound 170o bearing fluoro substitution at phenyl was found active against fungi C. albicans with MIC value 100 lg/mL which is equal to the standard nystatin and greater than that of griseofulvin, while analogues 170b, 170e, 170j, 170m, and 170n having a chloro group at phenyl displayed potency against C. albicans with MIC 250 lg/mL. Moreover, analogue 170i with an iodo group at the para position of the phenyl ring had proven better activity against C. albicans (MIC 250 lg/mL) compared to the standard drugs.
In continuing efforts to find potent antimicrobial candidates R. Nagamallu and co-workers [55] reported novel coumarin appended bis (formyl pyrazole) derivatives for their antimicrobial and antioxidant potential. The outline of synthesis is displayed in (Scheme 39). Initially, 6-acetyl-7-hydroxy-4-methyl-2H-chromen-2-one (172) was furnished via Pechmann reaction of 1-(2, 4-dihydroxyphenyl) ethanone (171), and ethyl acetoacetate. The obtained 172 was treated with acetic anhydride to yield 6-acetyl-4-methyl-2-oxo2H-chromen-7-yl acetate (173) which was subjected to Fries rearrangement using AlCl3 to give 1,1′-(7-hydroxy-4-methyl-2-oxo-2H-chromene-6,8-diyl) diethanone (174). The prepared 174 was reacted with substituted phenylhydrazines, semicarbazine, and thiosemicarbazine in ethanol and catalytic amount of glacial acetic acid (GAA) was refluxed to yield corresponding bis-hydrazones 175a–h followed by conversion to label coumarin appended bis (formyl pyrazole) (176a–h) under Vilsmeier-Haack conditions. The biological assays were performed against E. coli, P. aeruginosa and S. aureus bacterial strains, as well as A. niger, A. flavus, and C. albicans via the broth dilution method using ciprofloxacin and fluconazole as the standard drugs. Most of the analogues from the series were found moderately active against tested bacterial strains with MIC values ranging from 6.25–75 µg/mL. Analogues 175g and 175h with CONH2 and CSNH2 exhibited excellent antibacterial activity against selected bacteria and compounds 176a and 176h with same group at pyrazole ring were found potent as compared to the standard. Compounds 175d and 175b bearings methoxy and methyl group have displayed good to moderate activity. All the test compounds were further tested for antifungal potential and compounds 175g and 175h with CONH2 and CSNH2 revealed excellent potential, while 176g with CONH2 has shown potency similar to standards and the hybrid 176h having CSNH2 was found potent against A. niger.
Megharaja Holiyachi et al. [56] in another study demonstrated the antibacterial and anticancer activity of coumarin benzimidazole hybrids. The basic skeleton of coumarin-benzimidazole (177a–f) were obtained by rection of 4-formylcoumarins with ortho-phenylenediamine in the presence of p-toluene sulphonic acid in DMF under reflux. Further the resulting intermediate was converted to coumarin-benzimidazole sulphonamide analogues (178a–f) by treatment of p-toluenesulfonyl chloride with 177a–f via N-sulphonation. On the other hand, obtained 177a–f on reaction with methyl iodide in the presence of anhydrous potassium carbonate yield 179a–f (Scheme 40). All the furnished derivatives were screened against Bacillus flexus (Gram-positive) and Pseudomonas spp. (Gram-negative) bacteria. Compounds substituted with 177c (OCH3), 177d (Br) and 177e (Cl) at C-6 of coumarin moiety were found to be highly active against both the bacterial strains as compared to the standard ciprofloxacin. Among the series 178a–f and 179a–f, analogues 178c, 178d and 178e have displayed excellent potency against both the tested pathogens, whereas N-methylated analogues were found less active except 179e having chloro substitution. For antifungal potency, compound 117e with chloro substitution at C-6 of coumarin was found active against Scopulariopsis spp., while different substitutions at C6 of the coumarin moiety in compounds 178c (OCH3), 178d (Br), and 178e (Cl) had proven promising results against both Scopulariopsis spp. and Aspergillus tereus. Thus, the obtained results revealed that presence of larger group such as OCH3, Cl and Br at C-6 of coumarin framework are responsible to show potent antibacterial and antifungal potential, whereas, for series 177a–f, N-sulphonation did not reveal any improvement in the potency; however, N-methylation reduced the potential.
Kinga Ostrowska et al. [57] investigated antitumor and antimicrobial potential of 5-[4-(4-aryl-1- piperazinyl)butoxy]coumarins against M. luteus, B. subtilis, B. cereus, S. aureus, and E. hirae (Gram-positive) and E. coli and P. aeruginosa (Gram-negative) bacterial strains, as well as C. albicans and C. parapsilosis fungal strains via the modified cylinder-plate method. The intermediate 1-(4,7-dimethylcoumarin-5-yloxy)-4-bromobutane (181) and 1-(5-acetyl-4,7-dimethylcoumarin-5-yloxy)-4-bromobutane (181b) were prepared by reaction of 5-hydroxy-4,7-dimethylcoumarin (180a) or 6-acetyl-5-hydroxy-4,7-dimethylcoumarin (180b) with sodium hydroxide in toluene by using 1,4-dibromobutane, tetrabutylammonium bromide alkylating agents via microwave. The obtained bromoalkyls (181a and 181b) with N-substituted piperazine derivatives in the presence of potassium carbonate in acetonitrile yield title analogues (182a–I and 183a–h, respectively) (Scheme 41). The two analogues 182f and 183f displayed good antibacterial potency. It was observed that 4,7 dimethyl-5-[4-[4-(1-(4-pyridyl)) piperazin-1-yl] butoxy] coumarin (182f) was active against M. luteus with MIC 15 µg/cm3. Another 5-acetyl-4,7- dimethyl-5-[4-[4-(1-(4-pyridyl)) piperazin-1-yl] butoxy] coumarin (183f) with acetyl substitution was found less active, while other compounds were found inactive. Overall, all the analogues bearing methoxy substituents on aromatic ring or 4-pyridyl substituent were found active against tested organisms. Similarly, Compounds 182f and 183f were found active against tested fungi.
Tatjana Gazivoda Kraljević and co-workers [58] reported anticancer and antibacterial activity of some 4-substituted 1,2,3-triazole–coumarin hybrids. In vitro antibacterial evaluation was done against bacterial strains, namely, S. aureus, E. faecalis, and E. faecium (Gram-positive) and P. aeurigonsa, E. coli, A. baumannii, and K. pneumoniae (Gram-negative), and the obtained results were compared to the standard ceftazidime and ciprofloxacin. The title compounds 1,2,3-triazole–coumarin hybrids (187–218) were furnished via Huisgen 1,3-dipolar cycloaddition reaction of a terminal alkyne with an azide using copper(I) as the catalyst (Scheme 42). The synthesized analogues failed to display considerable antibacterial potential against both tested bacterial species, with the exclusion of some selective activity against Enterococcus species. The obtained results have shown that coumarin–1,2,3-triazole analogues bearing substituted phenyl rings (196–202), hybrids having p-alkyl phenyl (199–201), and (p-alkylcyclohexyl) phenyl (202) at 4-substituted 1,2,3-triazole nucleus exhibited promising potency against Enterococcus faecalis with MICs values ranging from 8–64 µg/mL. Among the 4-(benzene sulphonamide) methyl-1,2,3-triazole–coumarin series, compounds having p-methyl (203) and p-fluorobenzene sulphonamide subunits (205 and 206) have proven their potential against E. faecalis with MICs 64 and 32 µg/mL. In addition to that, compounds 208 (morpholine) and 210 (piperazine) displayed significant potential with MICs 32 µg/mL and 16 µg/mL, respectively.
A series of 2-piperidinomethylamino-4-(7-H/substituted coumarin-3-yl)-6- chloro substituted phenyl pyrimidines was prepared and screened for antimicrobial potential by Mohd Imran et al. [59]. Title analogues 121–238 were furnished by reactions of 2-amino-4-(7-H/substitutedcoumarin-3-yl)-6-(chlorosubstitutedphenyl) pyrimidines (220) with piperidine and formaldehyde (Scheme 43). Among the synthesized series, compound 226 was found to be highly potent against S. aureus, E. faecalis, S. epidermidis, B. subtilis, and B. cereus with MIC 50 μg/mL (p < 0.05 or less). Compound 226 has exhibited significant activity against tested Gram-negative bacterial strains (E. coli, P. aeruginosa, K. pneumonia, B. bronchiseptica, and P. vulgaris) with MIC value 25 μg/mL (p < 0.05 or less). Moreover, compounds 226 and 237 have proven excellent inhibitors against tested fungi (C. albicans, A. niger, A. flavus, M. purpureous, and P. citrinum) with MIC 25 μg/mL (p < 0.0001) and 25 μg/mL (p < 0.0001), respectively. The derived SAR concludes that the presence of bromo substitution at 7-position of coumarin ring along with 4-chlorophenyl at 6-position of the pyrimidine ring has played a critical role for inhibition of tested bacterial and fungal strains.
M.H. Shaikh et al. [60] developed a series of coumarin incorporated triazoles analogues and assessed for their antitubercular, antioxidant and in vitro antimicrobial activity. The title analogues were synthesized by procedure depicted in (Scheme 44). Initially the starting material required for synthesis of label analogues was benzyl azides and 239a–f were furnished by reaction of corresponding benzaldehydes with sodium azide via NaBH4 reduction, bromination, and nucleophilic substitution reaction. The 7-hydroxy-4-methyl coumarin (8b) obtained via Pechmann condensation, reaction of 8b and 58 with propargyl bromide in the presence of K2CO3 in DMF afforded 4-Methyl-7- (prop-2-yn-1-yloxy)-2H-chromen-2-one (9b), and 4-(Prop-2-yn-1-yloxy)-2H-chromen-2-one (79), respectively. In the final step, prepared benzyl azides (239a–f) and coumarin-based alkynes (9b and 79) via 1,3-dipolar cycloaddition reaction in the presence of t-BuOH-H2O (1:1) afforded corresponding 1,4-disubstituted-1,2,3-triazolebased coumarin derivatives (240a–f and 240g–k, respectively). The test compounds were subjected to in vitro antimicrobial evaluation against S. aureus, M. luteus, and B. cereus (Gram-positive) E. coli, P. fluorescens, and F. devorans (Gram-negative) bacterial strains, as well as A. niger, P. chrysogenum, and C. lunata fungal species via serial dilution method using kanamycin, ampicillin, chloramphenicol, miconazole, fluconazole, and amphotericin B as the standard drugs. Among the series, most the analogues were good inhibitors against all the tested bacterial and fungal strains. Among the series, compounds 240g and 240d revealed excellent antimicrobial potential against all the tested pathogens as compared to the standard analogues.
Mert Olgun Karatas et al. [61] evaluated antimicrobial activity of novel silver (I) complexes with coumarin substituted N-heterocyclic carbene ligands. Novel eight coumarin substituted silver(I) N-heterocyclic carbene (NHC) complexes were produced via the interaction of the corresponding imidazolium or benzimidazolium chlorides and Ag2O in dichloromethane (Scheme 45). All the synthesized complexes were screened for their antimicrobial potency against E. faecalis, S. aureus, E. coli, and P. aeruginosa bacterial strains and C. albicans and C. tropicalis fungal stains. The obtained results demonstrated that about all the complexes had the potential to inhibit the growth of all the tested pathogens, while some of them displayed good action against different microorganism as compared to the standard analogues. From the tested complexes, the most lipophilic compound 245e (bis [1-(4-methylene-6,8-dimethyl-2H-chromen-2-one)-3-(naphthalene-2-ylmethyl) enzimidazole-2-ylidene] silver(I) dichloroargentate) was found to be most active as compared to the standard next to 245d.
Xin-Mei Peng and co-workers [62] reported antimicrobial activity of some new coumarin-derived azolyl ethanols including imidazolyl, triazolyl, tetrazolyl, benzotriazolyl, thiol-imidazolyl, and thiol-triazolyl. The synthetic strategies to prepare title compounds coumarin-derived azolyl ethanols is depicted in (Scheme 46a,b). Key intermediates 246 and 255 were synthesized via O-alkylation of 2-(chloromethyl) oxirane with hydroxyl coumarins (8b and 254, respectively). The open ring compounds with suitable azoles using K2CO3 as base in ethanol gives corresponding mono-azolyl ethanols (247–252) and bis-azolyl ethanols (256–260). The resultant analogues evaluated for in vitro antimicrobial potential against Methicillin-resistant S. aureus, B. subtilis, M. luteus (Gram-positive) and E. coli, P. aeruginosa, and S. dysenteriae (Gram-negative) bacterial strains, as well as fungi (C. albicans, B. yeast, C. utilis, C. mycoderma, and A. flavus) via the two-fold serial dilution method. Antibacterial screening has revealed that some of the analogues could display good to moderate potential against the selected bacterial strains as compared to the standard chloramphenicol and norfloxacin. Among the series, compound 257 bearing bis-triazolyl ethanol has displayed low MCI value of 8 mg/mL against MRSA, which was equivalent or better than that of standard drug norfloxacin MIC 8 mg/mL and chloramphenicol MIC 16 mg/mL. Compound 257 also found promising to inhibit growth of all tested fungi as compared to standard fluconazole.
R.R. Zhang et al. [63] performed microwave assisted synthesis of some coumarin fused pyrano [3,2-c] chromene-2,5-diones (Scheme 47) and the results of antifungal action against Botrytis cinerea, Colletotrichum copsica, Alternaria solani, Gibberella zeae, and Rhizoctorzia solani were compared to a marketed broad-spectrum fungicide azoxystrobin. The prepared 3-(trifluoro) methyl 364a–e, 8-alkoxy 265a–d, 8-allyloxy 266a–c, pyrano[3,2-c] chromene-2,5-diones 267a–c and 3,4-cyclohexane pyrano[3,2-c] chromene-2,5-diones 268a–d evaluated for their fungicidal potential. Among the series, some of the analogues found to be potent inhibitors of Botrytis cinerea and Collecterichum capsica at conc < 50 ppm. Compounds 264d, 265c, and 266b were found to be highly active against Botrytis cinerea with EC50 values 0.141, 0.082, and 0.091 µM, respectively, which is much better than the standard drug azoxystrobin. Additionally, compound 264d (EC50 = 0.115 µM) also found to be an excellent inhibitor against Collecterichum capsica as compared to reference (EC50 = 0.222 µM). Therefore, from above biological results it can be concluded that 264d is highly active and most promising compound for further studies.
In another study R.R. Zhang and co-workers [64] investigated antifungal properties of some coumarin[8,7-e] [1,3] oxazine derivatives. Initially coumarins (269a–e) were synthesized via Pechmann condensation using ZnCl4 as the catalyst, which, on reactions with different and catalytic amounts of 4-N, N, dimethylaminopyridine under microwave, afforded target analogues 270a–t (Scheme 48). The antifungal potency of these analogues was evaluated at concentration 50 ppm using reference drug osthole. Experimental studies revealed that compounds 270e, 270m, and 270s possess inhibitory potency against Botrytis cinerea with zone of inhibition 88.2, 98.7, and 78.6, respectively, and are comparable to the control analogues and osthole (86.8%), while compounds 270g and 270m showed growth in their inhibition against Colletotrichum capsica with 66.7 and 79.6%, respectively. However, analogues 270e, 270m, and 270o revealed 73.3, 88.2, and 81.5% inhibition, respectively, against Rhizoctonia solani.

3. Coumarin-Based Natural Products as Antimicrobial Agents

Plant species is one of the rich sources of novel biologically active analogues [65]. Plant-based compounds have benefited traditional medicines in the management of diseases. Worldwide population of around 60% rely on use of medicinal plants as primary healthcare regimen. Nowadays various medicinal herbs are being evaluated for their pharmacological potential. Coumarins were originally derived from plants isolated by Vogel in 1820 from tonka bean Dipteryx odorata (Aubl.) Willd. Coumarins derivatives occurs in every part of the plant species from roots to flowers and fruits. These are widely distributed in several plant families including Leguminosae, Orchidaceue, Umbelliferae, Rutaceae, Apiaceae, Clusiace, Caprifoliaceae, Oleaceae, Guttiferae, Nyctaginaceae, and grasses [6,66]. The isolated coumarins have displayed broad spectrum pharmacological potential. In this section, we discuss research outcomes reported in the duration 2016–2021 including coumarins analogues isolated from plant sources having antimicrobial potential.
Dara Dastan et al. [67] evaluated antibacterial potential of disesquiterpene and sesquiterpene coumarin analogues isolated from Ferula pseudalliacea roots. Antibacterial studies were performed using seven bacterial strains, namely, S. aureus, Enterococcus faecium, Bacillus cereus, E. coli, Pseudomonas aeruginosa, K. pneumoniae, and Helicobacter pylori, through the broth micro-dilution method, as per the standard CLSI protocol. Among the isolated analogues, sanandajin (271) and ethyl galbanate (273) were found active against H. pylori and S. aureus at a concentration of 64 μg/mL. Similarly, methyl galbanate (272) have exhibited significant potential against vancomycin resistant strain of E. faecium at a concentration of 64 μg/mL (Figure 10).
Tuğçe Dikpınar and co-workers [68] isolated four known coumarins, crenulatin (277), suberosin (278), marmesin seneociate (279), and Ulopterol (280) (Figure 11), from Ferula gotrachycarpa Boiss and screened them for antimicrobial activity against bacterial strains (S. aureus, S. epidermidis, E. coli, K. pneumoniae, P. aeruginosa, P. mirabilis, and E. feacalis) and fungal strains (C. albicans, C. tropicalis, and C. parapsilosis) by microdilution method as per CLSI guidelines (CLSI 2000, 2006). All the four isolated extract were found active against tested pathogens. Crenulatin (6-formyl-7-methoxycoumarin) (277), suberosin (7-methoxy-6-prenylcoumarin), and marmesin senecioate ((-)-prantschimgin) (278) demonstrated antifungal potential against C. albicans with MIC value of 625 mg/L, and antibacterial activity with MIC 1250 mg/L against S. aureus (MRSA). If compared to the generalized categorization of active/less active based on MIC [16] these identified compounds (MIC > 100 μg/mL) cannot be considered as potential antimicrobial agents.
Six coumarin derivatives, 6′,7′-dihydroxybergamottin (281), officinalin (282), stenocarpin isobutyrate (283), officinalin isobutyrate (284), 8-methoxypeucedanin (285), and peucedanin (286) were isolated from the fruits of Peucedanum luxurians tamamsch (Figure 12). Antimicrobial activities of extracts and isolated coumarins was assessed against S. aureus and S. epidermidis (Gram-positive) and P. aeruginosa, E. coli, E. cloacae, and K. pneumoniae (Gram-negative) using diffusion and dilution methods. All the isolated extracts have displayed extensive ranges concerning to inhibitory activity against tested microorganism with 6′,7′-dihydroxybergamottin (281) was found to be most active against all tested bacteria with zone of inhibition ranging between 16 and 17 mm with MIC values between 1.20 and 2.10 mg/mL. Similar potential was expressed by peucedanin (286) and officinalin isobutyrate (284) against tested bacterial stains with zone of inhibition ranging between 16 to 13 mm and MIC values between 1.40 and 4.80 mg/mL, whereas the other extracted coumarins revealed good to moderate potential with zone of inhibition between 12 to 14 mm with MIC values ranging from 3.90 to 5.75 mg/mL [69].
Nineteen secondary metabolites isolated from the stem, bark and leaves of Monotes kerstingii by Ghislain Wabo Fotso et al. [70]. Isolated extract was screened for in vitro antimicrobial potential against bacteria (Bacillus subtilis) and fungi (Septoria tritici) using erythromycin, epoconazole, and tabernafine as positive controls. Antibacterial results demonstrated that, compounds 1-{2-hydroxy-6-[(1E)-2-(4-hydroxyphenyl) ethenyl]-4,7-dimethoxy2H-1-benzopyran-2-one (287), 5-[(1E)-2-(4-hydroxy phenyl) ethenyl]-4,7- dimethoxy-3-methyl-2H-1-benzopyran-2-one (288), and 3,3′-di-O-methylellagic acid-4′-O-β-D-xylopyranoside (289) (Figure 13) exhibit significant potential against B. subtilis at concentration 100 μM with zone of inhibition 99, 79, 71, and 100%, respectively, when compared to the reference erythromycin.
The antimicrobial potential of daphnoretin (290), wikstrol A (291), and wikstrol B (292) isolated from Gymnocarpos decandrus Forssk roots (Figure 14) was screened against Bacillus subtilis and Staphylococcus aureus (Gram-positive) and E. coli and Pseudomonas aeruginosa (Gram-negative) bacterial strains, as well as the fungi Candida albicans. The test extracts were found to possess significant inhibitory potential against Bacillus subtilis [71]. Thus, the above collection suggests that coumarin analogues isolated from their natural origins form a significant yet new class of antimicrobial compounds. The modification in their structures could lead to more effective antimicrobial agents.

4. Patents

The coumarin hybrid and its derivatives have potential antimicrobial activity, and research is ongoing in the coumarin motif, signifying it is a privileged scaffold for the design and development of new potent antimicrobial agents. This section deals with some important patents granted to coumarin motifs for their antimicrobial potential (Table 1).

5. Conclusions

A wide range of biological activities have been reported for coumarin-based derivatives, and some coumarin-based hybrids have been used to treat various infections. In the last few decades, various coumarin analogues were developed and screened for Gram-negative, Gram-positive, and MDR microorganisms (in vivo and in vitro). In this context, the current developments in coumarin derivatives were covered. The structural characteristics related to the antimicrobial properties of synthetic coumarins were intensely explored for modifications/substitutions at the C-3, C-4, C-6, and C-7 positions. A review of the structural characteristics highlighted the important role of the incorporation/presence of a heterocyclic ring (e.g., imidazole, piperazine, fluoro-isoquinoline, azole, and thiazole) on coumarin pharmacophore for antibacterial activity. The resulting coumarin derivatives had major activities—in particular, against the Gram-positive microorganisms. In addition, earlier researchers indicated the that free hydroxyl group at C-7 is crucial for antibacterial activity. The SAR study indicated that the choice of a suitable substitution containing electron-donating/withdrawing groups with certain heterocyclic derivatives in conjunction with a parent coumarin skeleton played a key role in the transformation of the antibacterial spectrum of synthesized derivatives. These compounds could be used as lead compounds for the development of future potent compounds. In addition, new coumarin conjugates were noted as dimers or in conjugation with other scaffolds with strong biological activity. Despite the new important findings, no new coumarins for such or other applications have been advanced to the clinical trial stage. The cellular mechanisms of coumarin derivatives are still unexplored, and there is a need for finding the molecular mechanism. It is also evident that their specificity is rather limited in the sense that some analogues possess wide activity profiles, often unpredictable and within similar concentration ranges. Further consideration towards the safety and toxicology studies of coumarin derivatives that are not yet completely available needs to be addressed. From this perspective, coumarins are not ready enough for the pharmaceutical industry, and further developments offer the chance to identify more novel therapeutics.

Author Contributions

Conceptualization, R.S.C., V.R.P., and P.S.K.; methodology, R.S.C., V.M.P., H.M.P., M.A., and S.D.S.; validation, R.S.C., V.M.P., H.M.P., J.P.A., A.K., and I.A.A.; formal analysis, V.R.P., M.S., R.S.C., H.M.P., and I.A.A.; resources, R.S.C., P.K.D., A.K., M.S., and M.A.; writing—original draft preparation, R.S.C.; writing—review and editing, R.S.C., P.S.K., V.M.P., J.P.A., V.R.P., M.A., and H.M.P.; and supervision, R.S.C., P.K.D., P.S.K., M.S., and H.M.P. All authors have read and agreed to the published version of the manuscript.

Funding

This research received no external funding.

Institutional Review Board Statement

Not applicable.

Informed Consent Statement

Not applicable.

Data Availability Statement

All data generated or analyzed during this study are included in this article.

Conflicts of Interest

The authors declare no conflict of interest. The funders had no role in the design of the study; in the collection, analyses, or interpretation of the data; in the writing of the manuscript; or in the decision to publish the results.

Abbreviations

CDCs, Centers for Disease Control and Prevention; DMSO, Dimethyl sulfoxide; DMF, Dimethylformamide; DCM, Dichloromethane; EtOH, Ethyl Alcohol; GAA, Glacial Acetic Acid; MDR, Multidrug Resistance; MRSA, Methicillin-resistant Staphylococcus aureus; MIC, Minimum Inhibitory Concentration; POCl3, Phosphoryl Chloride; SAR, Structural Activity Relationship; THF, Tetrahydrofuran; WHO, World Health Organization.

References

  1. Doherty, T.M.; Hausdorff, W.P.; Kristinsson, K.G. Effect of vaccination on the use of antimicrobial agents: A systematic literature review. Ann. Med. 2020, 52, 283–299. [Google Scholar] [CrossRef] [PubMed]
  2. Górniak, I.; Bartoszewski, R.; Króliczewski, J. Comprehensive review of antimicrobial activities of plant flavonoids. Phytochem. Rev. 2019, 18, 241–272. [Google Scholar] [CrossRef]
  3. Dye, C. After 2015: Infectious diseases in a new era of health and development. Philos. Trans. R. Soc. B Biol. Sci. 2014, 369, 20130426. [Google Scholar] [CrossRef] [PubMed]
  4. Sandhu, S.; Bansal, Y.; Silakari, O.; Bansal, G. Coumarin hybrids as novel therapeutic agents. Bioorganic Med. Chem. 2014, 22, 3806–3814. [Google Scholar] [CrossRef]
  5. Vilar, S.; Quezada, E.; Santana, L.; Uriarte, E.; Yánez, M.; Fraiz, N.; Alcaide, C.; Cano, E.; Orallo, F. Design, synthesis, and vasorelaxant and platelet antiaggregatory activities of coumarin–resveratrol hybrids. Bioorganic Med. Chem. Lett. 2006, 16, 257–261. [Google Scholar] [CrossRef]
  6. Venugopala, K.N.; Rashmi, V.; Odhav, B. Review on Natural Coumarin Lead Compounds for Their Pharmacological Activity. BioMed Res. Int. 2013, 2013, 963248. [Google Scholar] [CrossRef]
  7. Hussain, M.I.; Qamar Abbas, S.; Reigosa, M.J. Activities and Novel Applications of Secondary Metabolite Coumarins. Planta Daninha 2018, 36, e017174040. [Google Scholar] [CrossRef]
  8. Wu, L.; Wang, X.; Xu, W.; Farzaneh, F.; Xu, R. The structure and pharmacological functions of coumarins and their derivatives. Curr. Med. Chem. 2009, 16, 4236–4260. [Google Scholar] [CrossRef]
  9. Kashman, Y.; Gustafson, K.R.; Fuller, R.W.; Cardellina, J.H., 2nd; McMahon, J.B.; Currens, M.J.; Buckheit, R.W., Jr.; Hughes, S.H.; Cragg, G.M.; Boyd, M.R. The calanolides, a novel HIV-inhibitory class of coumarin derivatives from the tropical rainforest tree, Calophyllum lanigerum. J. Med. Chem. 1992, 35, 2735–2743. [Google Scholar] [CrossRef]
  10. Heide, L. The aminocoumarins: Biosynthesis and biology. Nat. Prod. Rep. 2009, 26, 1241–1250. [Google Scholar] [CrossRef]
  11. Shikishima, Y.; Takaishi, Y.; Honda, G.; Ito, M.; Takeda, Y.; Kodzhimatov, O.K.; Ashurmetov, O.; Lee, K.-H. Chemical Constituents of Prangos tschimganica; Structure Elucidation and Absolute Configuration of Coumarin and Furanocoumarin Derivatives with Anti-HIV Activity. Chem. Pharm. Bull. 2001, 49, 877–880. [Google Scholar] [CrossRef] [PubMed]
  12. Kulkarni, M.V.; Kulkarni, G.M.; Lin, C.-H.; Sun, C.-M. Recent Advances in Coumarins and 1-Azacoumarins as Versatile Biodynamic Agents. Curr. Med. Chem. 2006, 13, 2795–2818. [Google Scholar] [CrossRef] [PubMed]
  13. Kassim, A.; Omuse, G.; Premji, Z.; Revathi, G. Comparison of Clinical Laboratory Standards Institute and European Committee on Antimicrobial Susceptibility Testing guidelines for the interpretation of antibiotic susceptibility at a University teaching hospital in Nairobi, Kenya: A cross-sectional study. Ann. Clin. Microbiol. Antimicrob. 2016, 15, 21. [Google Scholar] [CrossRef] [PubMed]
  14. Kuete, V.; Efferth, T. Cameroonian Medicinal Plants: Pharmacology and Derived Natural Products. Front. Pharmacol. 2010, 1, 123. [Google Scholar] [CrossRef]
  15. Tamokou, J.D.D.; Mbaveng, A.T.; Kuete, V. Chapter 8—Antimicrobial Activities of African Medicinal Spices and Vegetables. In Medicinal Spices and Vegetables from Africa; Kuete, V., Ed.; Academic Press: Cambridge, MA, USA, 2017; pp. 207–237. ISBN 978-012-809-286-6. [Google Scholar]
  16. Ríos, J.L.; Recio, M.C. Medicinal plants and antimicrobial activity. J. Ethnopharmacol. 2005, 100, 80–84. [Google Scholar] [CrossRef]
  17. Dhawan, S.; Awolade, P.; Kisten, P.; Cele, N.M.; Pillay, A.-S.; Saha, S.T.; Kaur, M.; Jonnalagadda, S.B.; Singh, P. Synthesis, Cytotoxicity and Antimicrobial Evaluation of New Coumarin-Taggedβ-Lactam Triazole Hybrid. Chem. Biodivers. 2020, 17, e1900462. [Google Scholar] [CrossRef]
  18. Dharavath, R.; Nagaraju, N.; Reddy, M.R.; Ashok, D.; Sarasija, M.; Vijjulatha, M.; Vani, T.; Jyothi, K.; Prashanthi, G. Microwave-assisted synthesis, biological evaluation and molecular docking studies of new coumarin-based 1,2,3-triazoles. RSC Adv. 2020, 10, 11615–11623. [Google Scholar] [CrossRef]
  19. Sutar, S.M.; Savanur, H.M.; Malunavar, S.S.; Pawashe, G.M.; Aridoss, G.; Kim, K.M.; Lee, J.Y.; Kalkhambkar, R.G. Synthesis and Molecular Modelling Studies of Coumarin and 1-Aza-Coumarin Linked Miconazole Analogues and Their Antimicrobial Properties. ChemistrySelect 2020, 5, 1322–1330. [Google Scholar] [CrossRef]
  20. Alnufaie, R.; Raj Kc, H.; Alsup, N.; Whitt, J.; Andrew Chambers, S.; Gilmore, D.; Alam, M.A. Synthesis and Antimicrobial Studies of Coumarin-Substituted Pyrazole Derivatives as Potent Anti-Staphylococcus aureus Agents. Molecules 2020, 25, 2758. [Google Scholar] [CrossRef]
  21. Alshibl, H.M.; Al-Abdullah, E.S.; Haiba, M.E.; Alkahtani, H.M.; Awad, G.E.A.; Mahmoud, A.H.; Ibrahim, B.M.M.; Bari, A.; Villinger, A. Synthesis and Evaluation of New Coumarin Derivatives as Antioxidant, Antimicrobial, and Anti-Inflammatory Agents. Molecules 2020, 25, 3251. [Google Scholar] [CrossRef]
  22. Bayazeed, A.; Alshehrei, F.; Muhammad, Z.A.; Al-Fahemi, J.; El-Metwaly, N.; Farghaly, T.A. Synthesis of Coumarin-Analogues: Analytical, Spectral, Conformational, MOE-Docking and Antimicrobial Studies. ChemistrySelect 2020, 5, 1. [Google Scholar] [CrossRef]
  23. Sharma, R.K.; Singh, V.; Tiwari, N.; Butcher, R.J.; Katiyar, D. Synthesis, antimicrobial and chitinase inhibitory activities of 3-amidocoumarins. Bioorganic Chem. 2020, 98, 103700. [Google Scholar] [CrossRef] [PubMed]
  24. Sanduja, M.; Gupta, J.; Singh, H.; Pagare, P.P.; Rana, A. Uracil-coumarin based hybrid molecules as potent anti-cancer and anti-bacterial agents. J. Saudi Chem. Soc. 2020, 24, 251–266. [Google Scholar] [CrossRef]
  25. Regal, M.K.A.; Shaban, S.S.; El-Metwally, S.A. Synthesis and Antimicrobial Activity of Some New Coumarin and Dicoumarol Derivatives. Russ. J. Bioorganic Chem. 2020, 46, 438–447. [Google Scholar] [CrossRef]
  26. Bhagat, K.; Bhagat, J.; Gupta, M.K.; Singh, J.V.; Gulati, H.K.; Singh, A.; Kaur, K.; Kaur, G.; Sharma, S.; Rana, A.; et al. Design, Synthesis, Antimicrobial Evaluation, and Molecular Modeling Studies of Novel Indolinedione–Coumarin Molecular Hybrids. ACS Omega 2019, 4, 8720–8730. [Google Scholar] [CrossRef]
  27. Khan, M.S.; Agrawal, R.; Ubaidullah, M.; Hassan, M.I.; Tarannum, N. Design, synthesis and validation of anti-microbial coumarin derivatives: An efficient green approach. Heliyon 2019, 5, e02615. [Google Scholar] [CrossRef]
  28. Ristić, M.N.; Radulović, N.S.; Dekić, B.R.; Dekić, V.S.; Ristić, N.R.; Stojanović-Radić, Z. Synthesis and Spectral Characterization of Asymmetric Azines Containing a Coumarin Moiety: The Discovery of New Antimicrobial and Antioxidant Agents. Chem. Biodivers. 2019, 16, e1800486. [Google Scholar] [CrossRef]
  29. Holiyachi, M.; Samundeeswari, S.; Chougala, B.M.; Naik, N.S.; Madar, J.M.; Shaikh, F.; Shastri, L.A.; Joshi, S.D.; Dixit, S.R.; Sunagar, V.A.; et al. Synthesis and molecular docking studies of coumarin-imidazole conjugates as potential antimicrobial agents. Indian J. Chem. 2020, 59B, 110–125. [Google Scholar]
  30. Shaikh, F.; Shastri, S.L.; Naik, N.S.; Kulkarni, R.; Madar, J.M.; Shastri, L.A.; Joshi, S.D.; Sunagar, V. Synthesis, Antitubercular and Antimicrobial Activity of 1,2,4-Triazolidine-3-thione Functionalized Coumarin and Phenyl Derivatives and Molecular Docking Studies. ChemistrySelect 2019, 4, 105–115. [Google Scholar] [CrossRef]
  31. Imran, M. Preparation of Benzimidazole Based Coumarin Derivatives as Antimicrobial and Antioxidant Agents. Orient. J. Chem. 2019, 35, 1392–1397. [Google Scholar] [CrossRef]
  32. Naik, C.G.; Malik, G.M.; Parekh, H.M. Novel Coumarin Derivatives: Synthesis, Characterization and Antimicrobial Activity. S. Afr. J. Chem. 2019, 72, 248–252. [Google Scholar] [CrossRef]
  33. Chate, A.V.; Redlawar, A.A.; Bondle, G.M.; Sarkate, A.P.; Tiwari, S.V.; Lokwani, D.K. A new efficient domino approach for the synthesis of coumarin-pyrazolines as antimicrobial agents targeting bacteriald-alanine-d-alanine ligase. New J. Chem. 2019, 43, 9002–9011. [Google Scholar] [CrossRef]
  34. Mangasuli, S.N.; Hosamani, K.M.; Managutti, P.B. Synthesis of novel coumarin derivatives bearing dithiocarbamate moiety: An approach to microwave, molecular docking, Hirshfeld surface analysis, DFT studies and potent anti-microbial agents. J. Mol. Struct. 2019, 1195, 58–72. [Google Scholar] [CrossRef]
  35. Mangasuli, S.N.; Hosamani, K.M.; Devarajegowda, H.C.; Kurjogi, M.M.; Joshi, S.D. Synthesis of coumarin-theophylline hybrids as a new class of anti-tubercular and anti-microbial agents. Eur. J. Med. Chem. 2018, 146, 747–756. [Google Scholar] [CrossRef] [PubMed]
  36. Chauhan, N.B.; Patel, N.B.; Patel, V.M.; Mistry, B.M. Synthesis and biological evaluation of coumarin clubbed thiazines scaffolds as antimicrobial and antioxidant. Med. Chem. Res. 2018, 27, 2141–2149. [Google Scholar] [CrossRef]
  37. Koparde, S.; Hosamani, K.M.; Kulkarni, V.; Joshi, S.D. Synthesis of coumarin-piperazine derivatives as potent anti-microbial and anti-inflammatory agents, and molecular docking studies. Chem. Data Collect. 2018, 15–16, 197–206. [Google Scholar] [CrossRef]
  38. Kalalbandi, V.K.A.; Bijjaragi, S.C.; Seetharamappa, J. Multicomponent Synthesis and Antimicrobial Activity of Dihydropyran-bis Coumarins. ChemistrySelect 2018, 3, 3925–3929. [Google Scholar] [CrossRef]
  39. Madar, J.M.; Shastri, L.A.; Shastri, S.L.; Guda, R.; Holiyachi, M.; Naik, N.S.; Dodamani, S.; Jalapure, S.; Sungar, V.A. Design and synthesis of structurally identical coumarinotriazoles as cytotoxic and antimicrobial agents. Chem. Data Collect. 2018, 17–18, 219–235. [Google Scholar] [CrossRef]
  40. López-Rojas, P.; Janeczko, M.; Kubiński, K.; Amesty, Á.; Masłyk, M.; Estévez-Braun, A. Synthesis and Antimicrobial Activity of 4-Substituted 1,2,3-Triazole-Coumarin Derivatives. Molecules 2018, 23, 199. [Google Scholar] [CrossRef]
  41. Osman, H.; Yusufzai, S.K.; Khan, M.S.; Abd Razik, B.M.; Sulaiman, O.; Mohamad, S.; Gansau, J.A.; Ezzat, M.O.; Parumasivam, T.; Hassan, M.Z. New thiazolyl-coumarin hybrids: Design, synthesis, characterization, X-ray crystal structure, antibacterial and antiviral evaluation. J. Mol. Struct. 2018, 1166, 147–154. [Google Scholar] [CrossRef]
  42. Mangasuli, S.N.; Hosamani, K.M.; Satapute, P.; Joshi, S.D. Synthesis, molecular docking studies and biological evaluation of potent coumarin–carbonodithioate hybrids via microwave irradiation. Chem. Data Collect. 2018, 15–16, 115–125. [Google Scholar] [CrossRef]
  43. Holiyachi, M.; Samundeeswari, S.; Chougala, B.M.; Naik, N.S.; Madar, J.; Shastri, L.A.; Joshi, S.D.; Dixit, S.R.; Dodamani, S.; Jalalpure, S.; et al. Design and synthesis of coumarin–imidazole hybrid and phenyl-imidazoloacrylates as potent antimicrobial and antiinflammatory agents. Mon. Für Chem.-Chem. Mon. 2018, 149, 595–609. [Google Scholar] [CrossRef]
  44. Ashok, D.; Gundu, S.; Aamate, V.K.; Devulapally, M.G.; Bathini, R.; Manga, V. Dimers of coumarin-1,2,3-triazole hybrids bearing alkyl spacer: Design, microwave-assisted synthesis, molecular docking and evaluation as antimycobacterial and antimicrobial agents. J. Mol. Struct. 2018, 1157, 312–321. [Google Scholar] [CrossRef]
  45. Singh, L.R.; Avula, S.R.; Raj, S.; Srivastava, A.; Palnati, G.R.; Tripathi, C.K.M.; Pasupuleti, M.; Sashidhara, K.V. Coumarin–benzimidazole hybrids as a potent antimicrobial agent: Synthesis and biological elevation. J. Antibiot. 2017, 70, 954–961. [Google Scholar] [CrossRef] [PubMed]
  46. Tiwari, S.V.; Seijas, J.A.; Vazquez-Tato, M.P.; Sarkate, A.P.; Karnik, K.S.; Nikalje, A.P.G. Facile Synthesis of Novel Coumarin Derivatives, Antimicrobial Analysis, Enzyme Assay, Docking Study, ADMET Prediction and Toxicity Study. Molecules 2017, 22, 1172. [Google Scholar] [CrossRef] [PubMed]
  47. Renuka, N.; Vivek, H.K.; Pavithra, G.; Ajay Kumar, K. Synthesis of coumarin appended pyrazolyl-1,3,4-oxadiazoles and pyrazolyl-1,3,4-thiadiazoles: Evaluation of their in vitro antimicrobial and antioxidant activities and molecular docking studies. Russ. J. Bioorganic Chem. 2017, 43, 197–210. [Google Scholar] [CrossRef]
  48. KhanYusufzai, S.; Osman, H.; Khan, M.S.; Mohamad, S.; Sulaiman, O.; Parumasivam, T.; Gansau, J.A.; Johansah, N. Noviany Design, characterization, in vitro antibacterial, antitubercular evaluation and structure–activity relationships of new hydrazinyl thiazolyl coumarin derivatives. Med. Chem. Res. 2017, 26, 1139–1148. [Google Scholar] [CrossRef]
  49. Chen, M.-H.; Lu, D.-W.; Zhang, X.; Zhou, Z.-Y.; Wang, X.-B.; Shu, H. Synthesis of novel coumarin substituted amide derivatives and their antibacterial activities. Chem. Pap. 2017, 71, 1579–1586. [Google Scholar] [CrossRef]
  50. Ansari, M.I.; Khan, S.A. Synthesis and antimicrobial activity of some novel quinoline-pyrazoline-based coumarinyl thiazole derivatives. Med. Chem. Res. 2017, 26, 1481–1496. [Google Scholar] [CrossRef]
  51. Nagamallu, R.; Gurunanjappa, P.; Kariyappa, A.K. Synthesis of Coumarin Appended 1,3-Oxazines as Potent Antimicrobial and Antioxidant Agents. Pharm. Chem. J. 2017, 51, 582–589. [Google Scholar] [CrossRef]
  52. Salar, U.; Khan, K.M.; Fakhri, M.I.; Hussain, S.; Tauseef, S.; Ameer, S.; Wadood, A.; Khan, H.; Perveen, S. 1,1′-Carbonyldiimidazole (CDI) Mediated Facile Synthesis, Structural Characterization, Antimicrobial Activity, and in-silico Studies of Coumarin- 3-carboxamide Derivatives. Med. Chem. 2018, 14, 86–101. [Google Scholar] [CrossRef] [PubMed]
  53. Sahoo, J.; Paidesetty, S.K. Antimicrobial activity of novel synthesized coumarin based transitional metal complexes. J. Taibah Univ. Med. Sci. 2017, 12, 115–124. [Google Scholar] [CrossRef] [PubMed]
  54. Vekariya, R.H.; Patel, K.D.; Rajani, D.P.; Rajani, S.D.; Patel, H.D. A one pot, three component synthesis of coumarin hybrid thiosemicarbazone derivatives and their antimicrobial evolution. J. Assoc. Arab. Univ. Basic Appl. Sci. 2017, 23, 10–19. [Google Scholar] [CrossRef]
  55. Nagamallu, R.; Srinivasan, B.; Ningappa, M.B.; Kariyappa, A.K. Synthesis of novel coumarin appended bis(formylpyrazole) derivatives: Studies on their antimicrobial and antioxidant activities. Bioorganic Med. Chem. Lett. 2016, 26, 690–694. [Google Scholar] [CrossRef]
  56. Holiyachi, M.; Shastri, S.L.; Chougala, B.M.; Shastri, L.A.; Joshi, S.D.; Dixit, S.R.; Nagarajaiah, H.; Sunagar, V.A. Design, Synthesis and Structure-Activity Relationship Study of Coumarin Benzimidazole Hybrid as Potent Antibacterial and Anticancer Agents. ChemistrySelect 2016, 1, 4638–4644. [Google Scholar] [CrossRef]
  57. Ostrowska, K.; Grzeszczuk, D.; Maciejewska, D.; Młynarczuk-Biały, I.; Czajkowska, A.; Sztokfisz, A.; Dobrzycki, Ł.; Kruszewska, H. Synthesis and biological screening of a new series of 5-[4-(4-aryl-1-piperazinyl)butoxy]coumarins. Mon. Für Chem.-Chem. Mon. 2016, 147, 1615–1627. [Google Scholar] [CrossRef]
  58. Kraljević, T.G.; Harej, A.; Sedić, M.; Pavelić, S.K.; Stepanić, V.; Drenjančević, D.; Talapko, J.; Raić-Malić, S. Synthesis, in vitro anticancer and antibacterial activities and in silico studies of new 4-substituted 1,2,3-triazole–coumarin hybrids. Eur. J. Med. Chem. 2016, 124, 794–808. [Google Scholar] [CrossRef]
  59. Imran, M.; Alam, O.; Abida, A. Synthesis and antimicrobial activity of some 2-Piperidinomethylamino-4-(7-H/substituted coumarin-3-yl)-6-chlorosubstitutedphenyl pyrimidines. Trop. J. Pharm. Res. 2016, 15, 1955–1965. [Google Scholar] [CrossRef][Green Version]
  60. Shaikh, M.H.; Subhedar, D.D.; Shingate, B.B.; Kalam Khan, F.A.; Sangshetti, J.N.; Khedkar, V.M.; Nawale, L.; Sarkar, D.; Navale, G.R.; Shinde, S.S. Synthesis, biological evaluation and molecular docking of novel coumarin incorporated triazoles as antitubercular, antioxidant and antimicrobial agents. Med. Chem. Res. 2016, 25, 790–804. [Google Scholar] [CrossRef]
  61. Karataş, M.O.; Olgundeniz, B.; Günal, S.; Özdemir, İ.; Alıcı, B.; Çetinkaya, E. Synthesis, characterization and antimicrobial activities of novel silver(I) complexes with coumarin substituted N-heterocyclic carbene ligands. Bioorganic Med. Chem. 2016, 24, 643–650. [Google Scholar] [CrossRef]
  62. Peng, X.-M.; Kumar, K.V.; Damu, G.L.V.; Zhou, C.-H. Coumarin-derived azolyl ethanols: Synthesis, antimicrobial evaluation and preliminary action mechanism. Sci. China Ser. B Chem. 2016, 59, 878–894. [Google Scholar] [CrossRef]
  63. Zhang, R.-R.; Liu, J.; Zhang, Y.; Hou, M.-Q.; Zhang, M.-Z.; Zhou, F.; Zhang, W.-H. Microwave-assisted synthesis and antifungal activity of novel coumarin derivatives: Pyrano[3,2-c]chromene-2,5-diones. Eur. J. Med. Chem. 2016, 116, 76–83. [Google Scholar] [CrossRef] [PubMed]
  64. Zhang, M.-Z.; Zhang, R.-R.; Yin, W.-Z.; Yu, X.; Zhang, Y.-L.; Liu, P.; Gu, Y.-C.; Zhang, W.-H. Microwave-assisted Synthesis and antifungal activity of coumarin[8,7-e][1,3]oxazine derivatives. Mol. Divers. 2016, 20, 611–618. [Google Scholar] [CrossRef] [PubMed]
  65. Heinrich, M.; Gibbons, S. Ethnopharmacology in drug discovery: An analysis of its role and potential contribution. J. Pharm. Pharmacol. 2001, 53, 425–432. [Google Scholar] [CrossRef] [PubMed]
  66. Soine, T.O. Naturally Occurring Coumarins and Related Physiological Activities. J. Pharm. Sci. 1964, 53, 231–264. [Google Scholar] [CrossRef] [PubMed]
  67. Dastan, D.; Salehi, P.; Aliahmadi, A.; Gohari, A.R.; Maroofi, H.; Ardalan, A. New coumarin derivatives from Ferula pseudalliacea with antibacterial activity. Nat. Prod. Res. 2016, 30, 2747–2753. [Google Scholar] [CrossRef]
  68. Dikpinar, T.; Süzgeç-Selçuk, S.; Çelik, B.; Uruşak, E.A. Antimicrobial activity of rhizomes of Ferulago trachycarpa Boiss. and bioguided isolation of active coumarin constituents. Ind. Crops Prod. 2018, 123, 762–767. [Google Scholar] [CrossRef]
  69. Widelski, J.; Luca, S.V.; Skiba, A.; Chinou, I.; Marcourt, L.; Wolfender, J.-L.; Skalicka-Wozniak, K. Isolation and Antimicrobial Activity of Coumarin Derivatives from Fruits of Peucedanum luxurians Tamamsch. Molecules 2018, 23, 1222. [Google Scholar] [CrossRef]
  70. Fotso, G.W.; Mogue Kamdem, L.; Dube, M.; Fobofou, S.A.; Ndjie Ebene, A.; Arnold, N.; Tchaleu Ngadjui, B. Antimicrobial secondary metabolites from the stem barks and leaves of Monotes kerstingii Gilg (Dipterocarpaceae). Fitoterapia 2019, 137, 104239. [Google Scholar] [CrossRef]
  71. Fathy, H. Polyphenolics from Gymnocarpos decandrus Forssk roots and their biological activities. Nat. Prod. Res. 2021, 35, 858–862. [Google Scholar] [CrossRef]
  72. Liu, T.; Mu, Q.; Jibens, S.; Xie, H. Coumarin-Series Natural Product, and Its Preparation Method and Application. China Patent CN103387582A, 13 November 2013. [Google Scholar]
  73. Damu, G.L.V.; Wen, Q.; Cui, S. Method for Preparation of Coumarin Triazole and Its Application. China Patent CN102796085A, 15 April 2015. [Google Scholar]
  74. Gandhi, N.R.; Nunn, P.; Dheda, K.; Schaaf, H.S.; Zignol, M.; van Soolingen, D.; Jensen, P.; Bayona, J. Multidrug-resistant and extensively drug-resistant tuberculosis: A threat to global control of tuberculosis. Lancet 2010, 375, 1830–1843. [Google Scholar] [CrossRef]
  75. Heide, L.; Alt, S. New Antibiotics Consisting of a Gyrase Inhibitor with a Catechin Structural unit for Improved Up-Take by Siderophore Transporters into the Cell, and a Process for Their Production and Use as Drugs. Germany Patent DE102010055566A1, 21 June 2012. [Google Scholar]
  76. Wang, G.; Liu, G.; Ling, F.; Zhu, B. Coumarin Compound Containing Imidazolium-Based Functional Groups and Preparation Method and Application Thereof. China Patent CN 105732601B, 21 August 2018. [Google Scholar]
  77. Ombrato, R.; Garofalo, B.; Magaro, G. Preparation of Heterocyclic Compounds as Antibacterial. Agents. Patent WO 2016096631A1, 23 June 2016. [Google Scholar]
  78. Zhu, H.; Wang, S.; Yin, Y. Piperazine Ring-Containing Coumarin Derivatives and Preparation Method and Application Thereof in Antibacterial Drugs. China Patent CN 105218501A, 15 July 2015. [Google Scholar]
  79. Zhu, H.; Sun, S.; Li, H. Bacterial Quorum-Sensing Inhibitor and Antibacterial Application Thereof. China Patent CN 106117232B, 23 October 2018. [Google Scholar]
  80. Wang, G.; Peng, Z.; Liu, W. Preparation of Coumarinthiazole-Indolone Type Compound Used for Antibacterial Drugs. China Patent CN 104829608B, 30 June 2017. [Google Scholar]
  81. Zhou, C.; Kumar, K.V.; Peng, S. Coumarin Azole Compounds and Preparation Method and Application Thereof. China Patent CN 104910176A, 10 May 2017. [Google Scholar]
  82. Wang, G.; Peng, Z.; He, D. Preparation of (E)-N′-arylmethylene-4-(coumarin-3-yl)thiazole-2-hydrazide Compounds as Antimicrobial Agents. China Patent CN 104817552A, 27 June 2017. [Google Scholar]
Figure 1. Pharmacological spectrum of coumarins.
Figure 1. Pharmacological spectrum of coumarins.
Antibiotics 11 00566 g001
Scheme 1. Synthetic route for azido β-lactum derivatives 6(a–h) and coumarin β-lactum derivatives 10(a–o). Reproduced and adapted with permission from Ref. [17]. Copyright 2019, John Wiley and Sons.
Scheme 1. Synthetic route for azido β-lactum derivatives 6(a–h) and coumarin β-lactum derivatives 10(a–o). Reproduced and adapted with permission from Ref. [17]. Copyright 2019, John Wiley and Sons.
Antibiotics 11 00566 sch001
Scheme 2. Synthetic route for coumarin—based 1,2,3—triazole compounds 16(a–l). Reproduced and adapted with permission from Ref. [18]. Under Creative Commons CC BY NC 3.0. Copyright 2020, Royal Society of Chemistry.
Scheme 2. Synthetic route for coumarin—based 1,2,3—triazole compounds 16(a–l). Reproduced and adapted with permission from Ref. [18]. Under Creative Commons CC BY NC 3.0. Copyright 2020, Royal Society of Chemistry.
Antibiotics 11 00566 sch002
Figure 2. Docking images of compounds 16d and 16h showing H-bond interactions with 2VCX protein.
Figure 2. Docking images of compounds 16d and 16h showing H-bond interactions with 2VCX protein.
Antibiotics 11 00566 g002
Scheme 3. Synthetic route for coumarin and 1–aza–coumarin–linked miconazole analogues. Reproduced and adapted with permission from Ref. [19]. Copyright 2020, John Wiley and Sons.
Scheme 3. Synthetic route for coumarin and 1–aza–coumarin–linked miconazole analogues. Reproduced and adapted with permission from Ref. [19]. Copyright 2020, John Wiley and Sons.
Antibiotics 11 00566 sch003
Figure 3. Two-dimensional representation of the interactions of 24e in the active site 3LD6 complex.
Figure 3. Two-dimensional representation of the interactions of 24e in the active site 3LD6 complex.
Antibiotics 11 00566 g003
Scheme 4. Synthesis of coumarin—substituted pyrazole—derived aldehyde (29a–r) and hydrazones (30a–l). Reproduced and adapted with permission from Ref. [20]. Under Creative Commons CC BY 4.0. Copyright 2020, MDPI.
Scheme 4. Synthesis of coumarin—substituted pyrazole—derived aldehyde (29a–r) and hydrazones (30a–l). Reproduced and adapted with permission from Ref. [20]. Under Creative Commons CC BY 4.0. Copyright 2020, MDPI.
Antibiotics 11 00566 sch004
Scheme 5. (a) Synthetic routes of pyranocoumarins. (b) Synthetic routes of coumarin—sulphonamide derivatives. Reproduced and adapted with permission from Ref. [21]. under Creative Commons CC BY 4.0. Copyright 2020, MDPI.
Scheme 5. (a) Synthetic routes of pyranocoumarins. (b) Synthetic routes of coumarin—sulphonamide derivatives. Reproduced and adapted with permission from Ref. [21]. under Creative Commons CC BY 4.0. Copyright 2020, MDPI.
Antibiotics 11 00566 sch005aAntibiotics 11 00566 sch005b
Scheme 6. Outline for the synthesis of the chromenyl—pyrazoles candidates. Reproduced and adapted with permission from Ref. [22]. Copyright 2020, John Wiley and Sons.
Scheme 6. Outline for the synthesis of the chromenyl—pyrazoles candidates. Reproduced and adapted with permission from Ref. [22]. Copyright 2020, John Wiley and Sons.
Antibiotics 11 00566 sch006
Scheme 7. Route for the synthesis of 3—amidocoumarins. Reproduced and adapted with permission from Ref. [23]. Copyright 2020, Elsevier.
Scheme 7. Route for the synthesis of 3—amidocoumarins. Reproduced and adapted with permission from Ref. [23]. Copyright 2020, Elsevier.
Antibiotics 11 00566 sch007
Figure 4. Compound 55l docked within the active site of 1W9U.
Figure 4. Compound 55l docked within the active site of 1W9U.
Antibiotics 11 00566 g004
Figure 5. Two-dimensional representation of compound 63c with a binding site of S. Aureus dihydrofolate reductase (PDB ID: 3SRQ).
Figure 5. Two-dimensional representation of compound 63c with a binding site of S. Aureus dihydrofolate reductase (PDB ID: 3SRQ).
Antibiotics 11 00566 g005
Scheme 8. Synthesis of uracil—coumarin hybrids. Reproduced and adapted with permission from Ref. [24]. under Creative Commons CC BY-NC-ND 4.0. Copyright 2019, Elsevier.
Scheme 8. Synthesis of uracil—coumarin hybrids. Reproduced and adapted with permission from Ref. [24]. under Creative Commons CC BY-NC-ND 4.0. Copyright 2019, Elsevier.
Antibiotics 11 00566 sch008
Scheme 9. (a) PTC reaction of coumarin derivative 31b with alkyl halides, phenyl isothiocyanate, and CS2. (b) Reaction of coumarin derivative 31b with aromatic aldehydes. (c) Michael cycloaddition reactions of coumarin derivative 31b with ethyl acetoacetate. (d) Reaction of 3-arylidenes 69a,b and/or dicoumarols 70a,b with nitrogen nucleophiles. Reproduced and adapted with permission from Ref. [25]. Copyright 2020, John Wiley and Sons.
Scheme 9. (a) PTC reaction of coumarin derivative 31b with alkyl halides, phenyl isothiocyanate, and CS2. (b) Reaction of coumarin derivative 31b with aromatic aldehydes. (c) Michael cycloaddition reactions of coumarin derivative 31b with ethyl acetoacetate. (d) Reaction of 3-arylidenes 69a,b and/or dicoumarols 70a,b with nitrogen nucleophiles. Reproduced and adapted with permission from Ref. [25]. Copyright 2020, John Wiley and Sons.
Antibiotics 11 00566 sch009aAntibiotics 11 00566 sch009b
Scheme 10. Synthesis of the novel indolinedione—coumarin hybrids 80a–u. Reproduced and adapted with permission from Ref. [26]. under Creative Commons CC BY-NC-ND 4.0. Copyright 2019, American Chemical Society.
Scheme 10. Synthesis of the novel indolinedione—coumarin hybrids 80a–u. Reproduced and adapted with permission from Ref. [26]. under Creative Commons CC BY-NC-ND 4.0. Copyright 2019, American Chemical Society.
Antibiotics 11 00566 sch010
Figure 6. Docking conformation of 80b at the active site of DHFR.
Figure 6. Docking conformation of 80b at the active site of DHFR.
Antibiotics 11 00566 g006
Scheme 11. Synthetic scheme for coumarin analogues (83a–j). Reproduced and adapted with permission from Ref. [27]. under Creative Commons CC BY-NC-ND 4.0. Copyright 2019, Elsevier.
Scheme 11. Synthetic scheme for coumarin analogues (83a–j). Reproduced and adapted with permission from Ref. [27]. under Creative Commons CC BY-NC-ND 4.0. Copyright 2019, Elsevier.
Antibiotics 11 00566 sch011
Scheme 12. Synthesis of unsymmetrical azines (86a–i). Reproduced and adapted with permission from Ref. [28]. Copyright 2019, John Wiley and Sons.
Scheme 12. Synthesis of unsymmetrical azines (86a–i). Reproduced and adapted with permission from Ref. [28]. Copyright 2019, John Wiley and Sons.
Antibiotics 11 00566 sch012
Scheme 13. Outline for coumarin—imidazole conjugates 88a–m, 90a–f and 91a–f. Adapted from Ref. [29].
Scheme 13. Outline for coumarin—imidazole conjugates 88a–m, 90a–f and 91a–f. Adapted from Ref. [29].
Antibiotics 11 00566 sch013
Scheme 14. Outline for synthesis of substituted coumarin and phenyl-1,2,4-triazolidine-3-thiones (92a–i) and (93a–e). Adapted from Ref. [30]. Copyright 2019, John Wiley and Sons.
Scheme 14. Outline for synthesis of substituted coumarin and phenyl-1,2,4-triazolidine-3-thiones (92a–i) and (93a–e). Adapted from Ref. [30]. Copyright 2019, John Wiley and Sons.
Antibiotics 11 00566 sch014
Figure 7. HB Interactions of compounds 92d and 92i with FabH target protein (PDB ID: 1HNJ) and 92a with CYP51 (PDB ID: 1EA1).
Figure 7. HB Interactions of compounds 92d and 92i with FabH target protein (PDB ID: 1HNJ) and 92a with CYP51 (PDB ID: 1EA1).
Antibiotics 11 00566 g007
Scheme 15. Development of butylthio—1H—benzimidazole-based coumarin derivatives 96a–j. Adapted from Ref. [31]. under Creative Commons CC BY-NC-ND 4.0. Copyright 2019.
Scheme 15. Development of butylthio—1H—benzimidazole-based coumarin derivatives 96a–j. Adapted from Ref. [31]. under Creative Commons CC BY-NC-ND 4.0. Copyright 2019.
Antibiotics 11 00566 sch015
Scheme 16. Synthesis of coumarin fused pyrazolones and methyl thiazole derivatives. Adapted from Ref. [32]. under Creative Commons CC BY-NC 4.0. Copyright 2019.
Scheme 16. Synthesis of coumarin fused pyrazolones and methyl thiazole derivatives. Adapted from Ref. [32]. under Creative Commons CC BY-NC 4.0. Copyright 2019.
Antibiotics 11 00566 sch016
Scheme 17. General scheme for the synthesis of 101a–w. Adapted from Ref. [33].
Scheme 17. General scheme for the synthesis of 101a–w. Adapted from Ref. [33].
Antibiotics 11 00566 sch017
Scheme 18. Design of coumarin bearing dithiocarbamate 103a–l. Reproduced and adapted with permission from Ref. [34]. Copyright 2018, Elsevier.
Scheme 18. Design of coumarin bearing dithiocarbamate 103a–l. Reproduced and adapted with permission from Ref. [34]. Copyright 2018, Elsevier.
Antibiotics 11 00566 sch018
Figure 8. Hydrogen bonding interactions of compounds 103h and 103i with C. albicans DHFR (PDB ID: 1Al9).
Figure 8. Hydrogen bonding interactions of compounds 103h and 103i with C. albicans DHFR (PDB ID: 1Al9).
Antibiotics 11 00566 g008
Scheme 19. Development of coumarin—theophylline hybrids 105a–j. Reproduced and adapted with permission from Ref. [35]. Copyright 2018, Elsevier.
Scheme 19. Development of coumarin—theophylline hybrids 105a–j. Reproduced and adapted with permission from Ref. [35]. Copyright 2018, Elsevier.
Antibiotics 11 00566 sch019
Scheme 20. Scheme for coumarin clubbed thiazine scaffolds 111a–j. Reproduced and adapted with permission from Ref. [36]. Copyright 2018, Springer Nature.
Scheme 20. Scheme for coumarin clubbed thiazine scaffolds 111a–j. Reproduced and adapted with permission from Ref. [36]. Copyright 2018, Springer Nature.
Antibiotics 11 00566 sch020
Scheme 21. Schematic representation of coumarin-piperazine derivatives. Reproduced and adapted with permission from Ref. [37]. Copyright 2018, Elsevier.
Scheme 21. Schematic representation of coumarin-piperazine derivatives. Reproduced and adapted with permission from Ref. [37]. Copyright 2018, Elsevier.
Antibiotics 11 00566 sch021
Scheme 22. Schematic representation of biscoumarin derivatives fused with dihydropyran ring. Reproduced and adapted with permission from Ref. [38]. Copyright 2018, John Wiley and Sons.
Scheme 22. Schematic representation of biscoumarin derivatives fused with dihydropyran ring. Reproduced and adapted with permission from Ref. [38]. Copyright 2018, John Wiley and Sons.
Antibiotics 11 00566 sch022
Scheme 23. Schematic representation of 4–substituted coumarino-1,2,3-triazole. Reproduced and adapted with permission from Ref. [39]. Copyright 2018, Elsevier.
Scheme 23. Schematic representation of 4–substituted coumarino-1,2,3-triazole. Reproduced and adapted with permission from Ref. [39]. Copyright 2018, Elsevier.
Antibiotics 11 00566 sch023
Scheme 24. Outline for the synthesis of 4–substituted 1,2,3—triazole—coumarin. Adapted from Ref. [40]. under Creative Commons CC BY 4.0. Copyright 2018, MDPI.
Scheme 24. Outline for the synthesis of 4–substituted 1,2,3—triazole—coumarin. Adapted from Ref. [40]. under Creative Commons CC BY 4.0. Copyright 2018, MDPI.
Antibiotics 11 00566 sch024
Scheme 25. Scheme for the preparation of thiazolyl coumarin 124a–o. Reproduced and adapted with permission from Ref. [41]. Copyright 2018, Elsevier.
Scheme 25. Scheme for the preparation of thiazolyl coumarin 124a–o. Reproduced and adapted with permission from Ref. [41]. Copyright 2018, Elsevier.
Antibiotics 11 00566 sch025
Scheme 26. Development of coumarin—carbonodithioate hybrids. Reproduced and adapted with permission from Ref. [42]. Copyright 2018, Elsevier.
Scheme 26. Development of coumarin—carbonodithioate hybrids. Reproduced and adapted with permission from Ref. [42]. Copyright 2018, Elsevier.
Antibiotics 11 00566 sch026
Scheme 27. Synthesis of the coumarin–imidazole hybrid and phenyl imidazole acrylates. Reproduced and adapted with permission from Ref. [43]. Copyright 2018, Springer Nature.
Scheme 27. Synthesis of the coumarin–imidazole hybrid and phenyl imidazole acrylates. Reproduced and adapted with permission from Ref. [43]. Copyright 2018, Springer Nature.
Antibiotics 11 00566 sch027
Figure 9. Hydrogen bonding interactions of compounds 130a and 130c with 1AI9 and 130c with N-myristoyl transferase (PDB ID: 4CAW).
Figure 9. Hydrogen bonding interactions of compounds 130a and 130c with 1AI9 and 130c with N-myristoyl transferase (PDB ID: 4CAW).
Antibiotics 11 00566 g009
Scheme 28. Synthetic route for the dimers of coumarin—tethered 1,2,3—triazole hybrids. Reproduced and adapted with permission from Ref. [44]. Copyright 2017, Elsevier.
Scheme 28. Synthetic route for the dimers of coumarin—tethered 1,2,3—triazole hybrids. Reproduced and adapted with permission from Ref. [44]. Copyright 2017, Elsevier.
Antibiotics 11 00566 sch028
Scheme 29. Synthesis of coumarin—benzimidazole conjugates. Reproduced and adapted with permission from Ref. [45]. Copyright 2017, Springer Nature.
Scheme 29. Synthesis of coumarin—benzimidazole conjugates. Reproduced and adapted with permission from Ref. [45]. Copyright 2017, Springer Nature.
Antibiotics 11 00566 sch029
Scheme 30. One—pot three—component synthesis routes for analogues 140a–o. Adapted from Ref. [46]. under Creative Commons CC BY 4.0. Copyright 2017, MDPI.
Scheme 30. One—pot three—component synthesis routes for analogues 140a–o. Adapted from Ref. [46]. under Creative Commons CC BY 4.0. Copyright 2017, MDPI.
Antibiotics 11 00566 sch030
Scheme 31. (a) Synthesis of coumarin–appended pyrazolyl-1,3,4-oxadiazoles 143a–e and 144a–e. (b) Route for the synthesis of coumarin–appended pyrazolyl-1,3,4-thiadiazoles analogues 146a–e and 147a–e. Reproduced and adapted with permission from Ref. [47]. Copyright 2017, Springer Nature.
Scheme 31. (a) Synthesis of coumarin–appended pyrazolyl-1,3,4-oxadiazoles 143a–e and 144a–e. (b) Route for the synthesis of coumarin–appended pyrazolyl-1,3,4-thiadiazoles analogues 146a–e and 147a–e. Reproduced and adapted with permission from Ref. [47]. Copyright 2017, Springer Nature.
Antibiotics 11 00566 sch031
Scheme 32. Synthesis of coumarin thiosemicarbazones 150a–g, 3-bromocoumarin 151a, b, and 152a–k. Reproduced and adapted with permission from Ref. [48]. Copyright 2017, Springer Nature.
Scheme 32. Synthesis of coumarin thiosemicarbazones 150a–g, 3-bromocoumarin 151a, b, and 152a–k. Reproduced and adapted with permission from Ref. [48]. Copyright 2017, Springer Nature.
Antibiotics 11 00566 sch032
Scheme 33. Synthetic route of the title compounds 155a–q. Reproduced and adapted with permission from Ref. [49]. Copyright 2017, Springer Nature.
Scheme 33. Synthetic route of the title compounds 155a–q. Reproduced and adapted with permission from Ref. [49]. Copyright 2017, Springer Nature.
Antibiotics 11 00566 sch033
Scheme 34. Systematic representation for synthesis of derivatives 161a–y. Reproduced and adapted with permission from Ref. [50]. Copyright 2017, Springer Nature.
Scheme 34. Systematic representation for synthesis of derivatives 161a–y. Reproduced and adapted with permission from Ref. [50]. Copyright 2017, Springer Nature.
Antibiotics 11 00566 sch034
Scheme 35. Scheme of the synthesis of oxazines 165a–g. Reproduced and adapted with permission from Ref. [51]. Copyright 2017, Springer Nature.
Scheme 35. Scheme of the synthesis of oxazines 165a–g. Reproduced and adapted with permission from Ref. [51]. Copyright 2017, Springer Nature.
Antibiotics 11 00566 sch035
Scheme 36. Development of coumarin-3-carboxamide derivatives 166a–ab. Adapted from Ref. [52].
Scheme 36. Development of coumarin-3-carboxamide derivatives 166a–ab. Adapted from Ref. [52].
Antibiotics 11 00566 sch036
Scheme 37. Coumarin-based transitional metal complexes 169a–h. Adapted from Ref. [53]. under Creative Commons CC BY-NC-ND 4.0. Copyright 2016, Elsevier.
Scheme 37. Coumarin-based transitional metal complexes 169a–h. Adapted from Ref. [53]. under Creative Commons CC BY-NC-ND 4.0. Copyright 2016, Elsevier.
Antibiotics 11 00566 sch037
Scheme 38. Novel coumarin-thiosemicarbazone derivatives 170a–s. Adapted from Ref. [54]. under Creative Commons CC BY-NC-ND 4.0. Copyright 2016, Elsevier.
Scheme 38. Novel coumarin-thiosemicarbazone derivatives 170a–s. Adapted from Ref. [54]. under Creative Commons CC BY-NC-ND 4.0. Copyright 2016, Elsevier.
Antibiotics 11 00566 sch038
Scheme 39. Design of coumarin—appended bis—(formyl pyrazoles). Reproduced and adapted with permission from Ref. [55]. Copyright 2017, Elsevier.
Scheme 39. Design of coumarin—appended bis—(formyl pyrazoles). Reproduced and adapted with permission from Ref. [55]. Copyright 2017, Elsevier.
Antibiotics 11 00566 sch039
Scheme 40. Synthetic route for the coumarin—benzimidazole hybrids. Reproduced and adapted with permission from Ref. [56]. Copyright 2016, John Wiley and Sons.
Scheme 40. Synthetic route for the coumarin—benzimidazole hybrids. Reproduced and adapted with permission from Ref. [56]. Copyright 2016, John Wiley and Sons.
Antibiotics 11 00566 sch040
Scheme 41. Route for the development of 5-[4-(4-aryl-1-piperazinyl) butoxy] coumarins. Reproduced and adapted with permission from Ref. [57]. Copyright 2016, Springer Nature.
Scheme 41. Route for the development of 5-[4-(4-aryl-1-piperazinyl) butoxy] coumarins. Reproduced and adapted with permission from Ref. [57]. Copyright 2016, Springer Nature.
Antibiotics 11 00566 sch041
Scheme 42. Synthesis of the 1,2,3-triazole-coumarin hybrids. Reproduced and adapted with permission from Ref. [58]. Copyright 2016, Elsevier.
Scheme 42. Synthesis of the 1,2,3-triazole-coumarin hybrids. Reproduced and adapted with permission from Ref. [58]. Copyright 2016, Elsevier.
Antibiotics 11 00566 sch042
Scheme 43. Designing of coumarin derivatives 221–238. Adapted from Ref. [59].
Scheme 43. Designing of coumarin derivatives 221–238. Adapted from Ref. [59].
Antibiotics 11 00566 sch043
Scheme 44. Synthesis of 1,4-disubstituted-1,2,3-triazole-based coumarin derivatives 240a–k. Reproduced and adapted with permission from Ref. [60]. Copyright 2016, Springer Nature.
Scheme 44. Synthesis of 1,4-disubstituted-1,2,3-triazole-based coumarin derivatives 240a–k. Reproduced and adapted with permission from Ref. [60]. Copyright 2016, Springer Nature.
Antibiotics 11 00566 sch044
Scheme 45. Development of imidazolium 242a,b benzimidazolium 243a–f chlorides and silver–NHC complexes 244a,b and 245a–f. Reproduced and adapted with permission from Ref. [61]. Copyright 2015, Elsevier.
Scheme 45. Development of imidazolium 242a,b benzimidazolium 243a–f chlorides and silver–NHC complexes 244a,b and 245a–f. Reproduced and adapted with permission from Ref. [61]. Copyright 2015, Elsevier.
Antibiotics 11 00566 sch045
Scheme 46. (a) Coumarin-clubbed mono-azolyl ethanols. (b) Coumarin-clubbed bis-azolyl ethanols. Reproduced and adapted with permission from Ref. [62]. Copyright 2016, Springer Nature.
Scheme 46. (a) Coumarin-clubbed mono-azolyl ethanols. (b) Coumarin-clubbed bis-azolyl ethanols. Reproduced and adapted with permission from Ref. [62]. Copyright 2016, Springer Nature.
Antibiotics 11 00566 sch046
Scheme 47. Synthetic route for target compounds 264a268d. Reproduced and adapted with permission from Ref. [63]. Copyright 2016, Elsevier.
Scheme 47. Synthetic route for target compounds 264a268d. Reproduced and adapted with permission from Ref. [63]. Copyright 2016, Elsevier.
Antibiotics 11 00566 sch047
Scheme 48. Synthetic route for 270a–t. Reproduced and adapted with permission from Ref. [64]. Copyright 2016, Springer Nature.
Scheme 48. Synthetic route for 270a–t. Reproduced and adapted with permission from Ref. [64]. Copyright 2016, Springer Nature.
Antibiotics 11 00566 sch048
Figure 10. Isolated coumarins from F. pseudalliacea roots 271 sanandajin, 272 methyl galbanate, 273 ethyl galbanate, 274 fekrynol acetate, 275 farnesiferol B, and 276 kamonolol acetate.
Figure 10. Isolated coumarins from F. pseudalliacea roots 271 sanandajin, 272 methyl galbanate, 273 ethyl galbanate, 274 fekrynol acetate, 275 farnesiferol B, and 276 kamonolol acetate.
Antibiotics 11 00566 g010
Figure 11. Chemical structures of the isolated coumarins from rhizomes of Ferula gotrachycarpa Boiss (277–280).
Figure 11. Chemical structures of the isolated coumarins from rhizomes of Ferula gotrachycarpa Boiss (277–280).
Antibiotics 11 00566 g011
Figure 12. Coumarins moieties where isolated from P. luxurians 6′,7′-dihydroxybergamottin 281, officinalin 282, stenocarpin isobutyrate 283, officinalin isobutyrate 284, 8-methoxypeucedanin 285, and peucedanin 286.
Figure 12. Coumarins moieties where isolated from P. luxurians 6′,7′-dihydroxybergamottin 281, officinalin 282, stenocarpin isobutyrate 283, officinalin isobutyrate 284, 8-methoxypeucedanin 285, and peucedanin 286.
Antibiotics 11 00566 g012
Figure 13. Chemical structures of coumarins isolated from the stem barks and leaves of Monotes kerstingii Gilg (287–289).
Figure 13. Chemical structures of coumarins isolated from the stem barks and leaves of Monotes kerstingii Gilg (287–289).
Antibiotics 11 00566 g013
Figure 14. Chemical structures of coumarins isolated from Gymnocarpos decandrus Forssk roots (290–292).
Figure 14. Chemical structures of coumarins isolated from Gymnocarpos decandrus Forssk roots (290–292).
Antibiotics 11 00566 g014
Table 1. Patents on coumarin analogues as antimicrobial agents.
Table 1. Patents on coumarin analogues as antimicrobial agents.
Patent NumberPatent DateDescriptionReferences
CN103387582A13 November 2013Coumarin natural product, and preparation method and application thereof[72]
CN102796085A28 November 2013Coumarin triazole, and preparation method and application thereof[73]
WO2012137224A111 October 2012Coumarin Compounds for The Treatment of Mycobacterial Infections[74]
DE102010055566A121 June 2012New compounds conjugating gyrase-inhibiting substances with catechol structural units, are gyrase inhibitors, useful as biologically active substances, and for treating bacterial infection[75]
CN 105732601B21 August 2018Coumarin compound containing imidazolium-based functional groups and preparation method and application thereof[76]
WO 2016096631A123 June 2016Preparation of heterocyclic compounds as antibacterial agents[77]
CN 105218501A6 January 2016Piperazine ring-containing coumarin derivatives and preparation method and application thereof in antibacterial drugs.[78]
CN 106117232B23 October 2018Bacterial quorum-sensing inhibitor and antibacterial application thereof[79]
CN 104829608B30 June 2017Preparation of coumarin thiazole-indolone type compound used for antibacterial drugs[80]
CN 104910176A10 May 2017Coumarin azole compounds and preparation method and application thereof[81]
CN 104817552A27 June 2017Preparation of (E)-N′- arylmethylene-4-(coumarin-3-yl) thiazole-2-hydrazide compounds as antimicrobial agents[82]
Publisher’s Note: MDPI stays neutral with regard to jurisdictional claims in published maps and institutional affiliations.

Share and Cite

MDPI and ACS Style

Cheke, R.S.; Patel, H.M.; Patil, V.M.; Ansari, I.A.; Ambhore, J.P.; Shinde, S.D.; Kadri, A.; Snoussi, M.; Adnan, M.; Kharkar, P.S.; et al. Molecular Insights into Coumarin Analogues as Antimicrobial Agents: Recent Developments in Drug Discovery. Antibiotics 2022, 11, 566. https://doi.org/10.3390/antibiotics11050566

AMA Style

Cheke RS, Patel HM, Patil VM, Ansari IA, Ambhore JP, Shinde SD, Kadri A, Snoussi M, Adnan M, Kharkar PS, et al. Molecular Insights into Coumarin Analogues as Antimicrobial Agents: Recent Developments in Drug Discovery. Antibiotics. 2022; 11(5):566. https://doi.org/10.3390/antibiotics11050566

Chicago/Turabian Style

Cheke, Rameshwar S., Harun M. Patel, Vaishali M. Patil, Iqrar Ahmad Ansari, Jaya P. Ambhore, Sachin D. Shinde, Adel Kadri, Mejdi Snoussi, Mohd Adnan, Prashant S. Kharkar, and et al. 2022. "Molecular Insights into Coumarin Analogues as Antimicrobial Agents: Recent Developments in Drug Discovery" Antibiotics 11, no. 5: 566. https://doi.org/10.3390/antibiotics11050566

APA Style

Cheke, R. S., Patel, H. M., Patil, V. M., Ansari, I. A., Ambhore, J. P., Shinde, S. D., Kadri, A., Snoussi, M., Adnan, M., Kharkar, P. S., Pasupuleti, V. R., & Deshmukh, P. K. (2022). Molecular Insights into Coumarin Analogues as Antimicrobial Agents: Recent Developments in Drug Discovery. Antibiotics, 11(5), 566. https://doi.org/10.3390/antibiotics11050566

Note that from the first issue of 2016, this journal uses article numbers instead of page numbers. See further details here.

Article Metrics

Back to TopTop