Comparative Study of Ocular Pharmacokinetics of Topical 0.3% Gatifloxacin Eye Gel and Solution in Rabbits
Abstract
1. Introduction
2. Results
2.1. Method Development
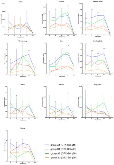
2.2. Pharmacokinetic and Ocular Tissue Distribution Study
3. Discussion
4. Materials and Methods
4.1. Materials
4.2. Preparation of Calibration Standards and Quality Control Samples
4.3. Sample Processing Methods
4.4. Pharmacokinetic and Statistical Analysis
5. Conclusions
Author Contributions
Funding
Institutional Review Board Statement
Informed Consent Statement
Data Availability Statement
Conflicts of Interest
References
- Baranowski, P.; Karolewicz, B.; Gajda, M.; Pluta, J. Ophthalmic drug dosage forms: Characterisation and research methods. Sci. World J. 2014, 2014, 861904. [Google Scholar] [CrossRef] [PubMed]
- Pawar, P.; Katara, R.; Mishra, S.; Majumdar, D.K. Topical ocular delivery of fluoroquinolones. Expert Opin. Drug Deliv. 2013, 10, 691–711. [Google Scholar] [CrossRef] [PubMed]
- Velpandian, T. Intraocular penetration of antimicrobial agents in ophthalmic infections and drug delivery strategies. Expert Opin. Drug Deliv. 2009, 6, 255–270. [Google Scholar] [CrossRef] [PubMed]
- Christopher, K.L.; Hood, C.T.; Mian, S.I.; Ayres, B. Endophthalmitis in Advanced Microbial Keratitis: Risk Factors and Examination Findings. Cornea 2020, 39, 1096–1101. [Google Scholar] [CrossRef]
- Zafar, S.; Wang, P.; Woreta, F.A.; Aziz, K.; Makary, M.; Ghous, Z.; Srikumaran, D. Postoperative Complications in Medicare Beneficiaries Following Endothelial Keratoplasty Surgery. Am. J. Ophthalmol. 2020, 219, 1–11. [Google Scholar] [CrossRef]
- Ting, D.; Mckenna, M.; Sadiq, S.N.; Martin, J.; Mudhar, H.S.; Meeney, A.; Patel, T. Arthrographis kalrae Keratitis Complicated by Endophthalmitis: A Case Report with Literature Review. Eye Contact. Lens. 2020, 46, e59–e65. [Google Scholar] [CrossRef]
- Gower, E.W.; Lindsley, K.; Tulenko, S.E.; Nanji, A.A.; Leyngold, I.; McDonnell, P.J. Perioperative antibiotics for prevention of acute endophthalmitis after cataract surgery. Cochrane Database Syst. Rev. 2017, 2, D6364. [Google Scholar] [CrossRef]
- McCulley, J.P.; Caudle, D.; Aronowicz, J.D.; Shine, W.E. Fourth-generation fluoroquinolone penetration into the aqueous humor in humans. Ophthalmology 2006, 113, 955–959. [Google Scholar] [CrossRef]
- Pahuja, P.; Arora, S.; Pawar, P. Ocular drug delivery system: A reference to natural polymers. Expert Opin. Drug Deliv. 2012, 9, 837–861. [Google Scholar] [CrossRef]
- McClellan, K.A. Mucosal defense of the outer eye. Surv. Ophthalmol. 1997, 42, 233–246. [Google Scholar] [CrossRef]
- Sieg, J.W.; Robinson, J.R. Mechanistic studies on transcorneal permeation of pilocarpine. J. Pharm. Sci. 1976, 65, 1816–1822. [Google Scholar] [CrossRef] [PubMed]
- Terreni, E.; Chetoni, P.; Burgalassi, S.; Tampucci, S.; Zucchetti, E.; Chipala, E.; Alany, R.G.; Al-Kinani, A.A.; Monti, D. A hybrid ocular delivery system of cyclosporine-A comprising nanomicelle-laden polymeric inserts with improved efficacy and tolerability. Biomater. Sci. 2021, 9, 8235–8248. [Google Scholar] [CrossRef] [PubMed]
- Dubashynskaya, N.; Poshina, D.; Raik, S.; Urtti, A.; Skorik, Y.A. Polysaccharides in Ocular Drug Delivery. Pharmaceutics 2019, 12, 22. [Google Scholar] [CrossRef] [PubMed]
- Woodley, J. Bioadhesion: New possibilities for drug administration? Clin. Pharmacokinet. 2001, 40, 77–84. [Google Scholar] [CrossRef]
- Schenker, H.; Maloney, S.; Liss, C.; Gormley, G.; Hartenbaum, D. Patient preference, efficacy, and compliance with timolol maleate ophthalmic gel-forming solution versus timolol maleate ophthalmic solution in patients with ocular hypertension or open-angle glaucoma. Clin. Ther. 1999, 21, 138–147. [Google Scholar] [CrossRef]
- Liu, X.; Wang, N.L.; Wang, Y.L.; Ma, C.; Ma, L.; Gao, L.X.; Huang, Y.X.; Xiong, S.H.; Wang, K. Determination of drug concentration in aqueous humor of cataract patients administered gatifloxacin ophthalmic gel. Chin. Med. J. 2010, 123, 2105–2110. [Google Scholar]
- Scoper, S.V. Review of third-and fourth-generation fluoroquinolones in ophthalmology: In-vitro and in-vivo efficacy. Adv. Ther. 2008, 25, 979–994. [Google Scholar] [CrossRef]
- Duxfield, L.; Sultana, R.; Wang, R.; Englebretsen, V.; Deo, S.; Swift, S.; Rupenthal, I.; Al-Kassas, R. Development of gatifloxacin-loaded cationic polymeric nanoparticles for ocular drug delivery. Pharm. Dev. Technol. 2016, 21, 172–179. [Google Scholar] [CrossRef]
- Mustaev, A.; Malik, M.; Zhao, X.; Kurepina, N.; Luan, G.; Oppegard, L.M.; Hiasa, H.; Marks, K.R.; Kerns, R.J.; Berger, J.M.; et al. Fluoroquinolone-gyrase-DNA complexes: Two modes of drug binding. J. Biol. Chem. 2014, 289, 12300–12312. [Google Scholar] [CrossRef]
- Hariprasad, S.M.; Mieler, W.F.; Holz, E.R. Vitreous and aqueous penetration of orally administered gatifloxacin in humans. Arch. Ophthalmol. 2003, 121, 345–350. [Google Scholar] [CrossRef][Green Version]
- Inoue, Y.; Usui, M.; Ohashi, Y.; Shiota, H.; Yamazaki, T. Preoperative disinfection of the conjunctival sac with antibiotics and iodine compounds: A prospective randomized multicenter study. Jpn. J. Ophthalmol. 2008, 52, 151–161. [Google Scholar] [CrossRef] [PubMed]
- Ding, W.; Ni, W.; Chen, H.; Yuan, J.; Huang, X.; Zhang, Z.; Wang, Y.; Yu, Y.; Yao, K. Comparison of Drug Concentrations in Human Aqueous Humor after the Administration of 0.3% Gatifloxacin Ophthalmic Gel, 0.3% Gatifloxacin and 0.5% Levofloxacin Ophthalmic Solutions. Int. J. Med. Sci. 2015, 12, 517–523. [Google Scholar] [CrossRef]
- Benitez-Del-Castillo, J.; Verboven, Y.; Stroman, D.; Kodjikian, L. The role of topical moxifloxacin, a new antibacterial in Europe, in the treatment of bacterial conjunctivitis. Clin. Drug Investig. 2011, 31, 543–557. [Google Scholar] [CrossRef] [PubMed]
- Hesje, C.K.; Borsos, S.D.; Blondeau, J.M. Benzalkonium chloride enhances antibacterial activity of gatifloxacin and reduces its propensity to select for fluoroquinolone-resistant strains. J. Ocul. Pharmacol. Ther. 2009, 25, 329–334. [Google Scholar] [CrossRef]
- Hosaka, M.; Yasue, T.; Fukuda, H.; Tomizawa, H.; Aoyama, H.; Hirai, K. In vitro and in vivo antibacterial activities of AM-1155, a new 6-fluoro-8-methoxy quinolone. Antimicrob. Agents Chemother. 1992, 36, 2108–2117. [Google Scholar] [CrossRef] [PubMed][Green Version]
- Mah, F.S.; Romanowski, E.G.; Kowalski, R.P.; Yates, K.A.; Gordon, Y.J. Zymar (Gatifloxacin 0.3%) shows excellent Gram-negative activity against Serratia marcescens and Pseudomonas aeruginosa in a New Zealand White rabbit keratitis model. Cornea 2007, 26, 585–588. [Google Scholar] [CrossRef]
- Hariprasad, S.M.; Shah, G.K.; Chi, J.; Prince, R.A. Determination of aqueous and vitreous concentration of moxifloxacin 0.5% after delivery via a dissolvable corneal collagen shield device. J. Cataract. Refract. Surg. 2005, 31, 2142–2146. [Google Scholar] [CrossRef]
- Uda, T.; Suzuki, T.; Mitani, A.; Tasaka, Y.; Kawasaki, S.; Mito, T.; Ohashi, Y. Ocular penetration and efficacy of levofloxacin using different drug-delivery techniques for the prevention of endophthalmitis in rabbit eyes with posterior capsule rupture. J. Ocul. Pharmacol. Ther. 2014, 30, 333–339. [Google Scholar] [CrossRef]
- Burgalassi, S.; Monti, D.; Tampucci, S.; Chetoni, P. In vitro evaluation of some parameters involved in mucoadhesion of aqueous polymeric dispersions. Pharm. Dev. Technol. 2015, 20, 927–934. [Google Scholar] [CrossRef]
- Nair, A.B.; Shah, J.; Jacob, S.; Al-Dhubiab, B.E.; Sreeharsha, N.; Morsy, M.A.; Gupta, S.; Attimarad, M.; Shinu, P.; Venugopala, K.N. Experimental design, formulation and in vivo evaluation of a novel topical in situ gel system to treat ocular infections. PLoS ONE 2021, 16, e248857. [Google Scholar] [CrossRef]
- Hosny, K.M. Optimization of gatifloxacin liposomal hydrogel for enhanced transcorneal permeation. J. Liposome Res. 2010, 20, 31–37. [Google Scholar] [CrossRef] [PubMed]
- Caretti, L.; La Gloria, V.A.; Piermarocchi, R.; Badin, G.; Verzola, G.; Masara, F.; Scalora, T.; Monterosso, C. Efficacy of carbomer sodium hyaluronate trehalose vs hyaluronic acid to improve tear film instability and ocular surface discomfort after cataract surgery. Clin. Ophthalmol. 2019, 13, 1157–1163. [Google Scholar] [CrossRef] [PubMed]
- Liu, J.; Yang, Y.; Tang, H. Gatifloxacin-Containing Ophthalmic Gel and Preparation Method Thereof. U.S. Patent 8,901,131, 2 December 2014. [Google Scholar]
- Nedelman, J.R.; Gibiansky, E.; Lau, D.T. Applying Bailer’s method for AUC confidence intervals to sparse sampling. Pharm. Res. 1995, 12, 124–128. [Google Scholar] [CrossRef] [PubMed]


| Biological Specimens | Slope | Intercept | Correlation Coefficient | Regression Equation |
|---|---|---|---|---|
| Sclera | 0.0053 | 0.004000 | 0.992 | y = 0.00529x + 0.004 |
| Cornea | 0.00632 | 0.018600 | 0.991 | y = 0.00632x + 0.0186 |
| Aqueous humor | 0.00524 | 0.004550 | 0.994 | y = 0.00524x + 0.00455 |
| Vitreous body | 0.00418 | 0.004470 | 0.994 | y = 0.00418x + 0.00447 |
| Lens | 0.00743 | 0.011800 | 0.994 | y = 0.00743x + 0.0118 |
| Iris-ciliary body | 0.00414 | 0.006240 | 0.991 | y = 0.00414x + 0.00624 |
| Retina | 0.00515 | 0.016800 | 0.992 | y = 0.00515x + 0.0168 |
| Choroid | 0.00428 | 0.008830 | 0.991 | y = 0.00428x + 0.00883 |
| Conjunctiva | 0.00768 | 0.002330 | 0.991 | y = 0.00768x + 0.00233 |
| Plasma | 0.00415 | 0.007870 | 0.989 | y = 0.00415x + 0.00787 |
| Biological Specimen | Nominal Concentration (ng/mL) | Measured Concentration (ng/mL) | Intraday (RSD %) | Interday (RSD %) | RE (%) | Recovery (%) | Matrix Effect (%) |
|---|---|---|---|---|---|---|---|
| cornea | 40 | 37.6 | 5.8 | 6.9 | −5.9 | 96.3 ±3.6 | 89.9 ± 3.2 |
| 500 | 462.3 | 2.9 | 4.7 | −7.5 | 94.5 ± 5.2 | 95.6± 6.3 | |
| 1600 | 1530.6 | 7.1 | 6.4 | −4.3 | 101.5 ± 1.9 | 93.8 ± 9.6 | |
| IS | 97.8 ± 14.4 | 89.6 ± 7.9 |
| Nominal Concentration (ng/mL) | Postpreparative Stability | Freeze-Thaw Stability | Long-Term Stability | Short-Term Stability | ||||
|---|---|---|---|---|---|---|---|---|
| RE % | RSD % | RE % | RSD % | RE % | RSD % | RE % | RSD % | |
| 40 | −8.2 | 1.9 | −5.7 | 6.9 | −8.2 | 1.9 | −0.8 | 5.2 |
| 1600 | −2.1 | 4.5 | −6.0 | 2.3 | −2.1 | 4.5 | 2.7 | 3.1 |
| Biological Specimens | AUC0–24 (μg·h/g or μg·h/mL) | |||
|---|---|---|---|---|
| Group A1 | Group A2 | Group B1 | Group B2 | |
| Sclera | 118.63 | 142.36 | 99.64 | 94.06 |
| Cornea | 450.36 | 471.62 | 253.87 | 205.69 |
| Aqueous humor | 98.38 | 75.93 | 42.59 | 28.68 |
| Vitreous body | 0.50 | 0.30 | 0.24 | 0.10 |
| Lens | 6.45 | 8.56 | 2.44 | 2.69 |
| Iris-ciliary body | 53.29 | 33.34 | 31.42 | 9.21 |
| Retina | 2.87 | 3.04 | 1.27 | 1.38 |
| Choroid | 16.98 | 16.59 | 8.31 | 5.96 |
| Conjunctiva | 111.60 | 226.50 | 75.09 | 98.28 |
| Plasma | 0.28 | 0.16 | 0.23 | 0.16 |
| Biological Specimens | Group A1 | Group A2 | Group B1 | Group B2 |
|---|---|---|---|---|
| Sclera (μg/g) | 8.52 | 6.36 | 6.96 | 6.34 |
| Cornea (μg/g) | 27.93 | 32.08 | 16.82 | 15.40 |
| Aqueous humor (μg/mL) | 6.00 | 5.07 | 2.74 | 2.02 |
| Vitreous body (μg/mL) | 0.03 | 0.03 | 0.01 | 0.01 |
| Lens (μg/g) | 0.38 | 0.43 | 0.16 | 0.15 |
| Iris-ciliary body (μg/g) | 3.38 | 2.15 | 2.06 | 0.77 |
| Retina (μg/g) | 0.21 | 0.23 | 0.14 | 0.13 |
| Choroid (μg/g) | 1.18 | 0.97 | 0.65 | 0.48 |
| Conjunctiva (μg/g) | 12.18 | 14.51 | 6.36 | 8.05 |
| Organism (No. of Isolates) | MIC (µg/mL) | |
|---|---|---|
| Range | 90% | |
| Staphylococcus aureus (34) | 0.05–0.20 | 0.1 |
| Methicillin-resistant Staphylococcus aureus (30) | 0.05–0.20 | 0.2 |
| Staphylococcus epidermidis (26) | 0.05–0.39 | 0.2 |
| Staphylococcus haemolyticus (25) | 0.01–6.25 | 3.13 |
| Staphylococcus pneumoniae (15) | 0.20–0.39 | 0.39 |
| Escherichia coli (26) | 0.0125–0.05 | 0.05 |
| Pseudomonas aeruginosa (35) | 0.78–12.5 | 3.13 |
Publisher’s Note: MDPI stays neutral with regard to jurisdictional claims in published maps and institutional affiliations. |
© 2022 by the authors. Licensee MDPI, Basel, Switzerland. This article is an open access article distributed under the terms and conditions of the Creative Commons Attribution (CC BY) license (https://creativecommons.org/licenses/by/4.0/).
Share and Cite
Liu, M.; Zhao, X.; Yang, Y.; Yang, Q.; Zeng, J.; Li, Y.; Lin, X.; Duan, F. Comparative Study of Ocular Pharmacokinetics of Topical 0.3% Gatifloxacin Eye Gel and Solution in Rabbits. Antibiotics 2022, 11, 502. https://doi.org/10.3390/antibiotics11040502
Liu M, Zhao X, Yang Y, Yang Q, Zeng J, Li Y, Lin X, Duan F. Comparative Study of Ocular Pharmacokinetics of Topical 0.3% Gatifloxacin Eye Gel and Solution in Rabbits. Antibiotics. 2022; 11(4):502. https://doi.org/10.3390/antibiotics11040502
Chicago/Turabian StyleLiu, Manli, Xin Zhao, Yao Yang, Qiang Yang, Jieting Zeng, Yujie Li, Xiaofeng Lin, and Fang Duan. 2022. "Comparative Study of Ocular Pharmacokinetics of Topical 0.3% Gatifloxacin Eye Gel and Solution in Rabbits" Antibiotics 11, no. 4: 502. https://doi.org/10.3390/antibiotics11040502
APA StyleLiu, M., Zhao, X., Yang, Y., Yang, Q., Zeng, J., Li, Y., Lin, X., & Duan, F. (2022). Comparative Study of Ocular Pharmacokinetics of Topical 0.3% Gatifloxacin Eye Gel and Solution in Rabbits. Antibiotics, 11(4), 502. https://doi.org/10.3390/antibiotics11040502

