PK-PD Modeling and Optimal Dosing Regimen of Acetylkitasamycin against Streptococcus suis in Piglets
Abstract
:1. Introduction
2. Materials and Methods
2.1. Drug and Reagents
2.2. Animals
2.3. PD Study of Acetylkitasamycin against S. suis
2.3.1. Isolation and Identification of S. suis
2.3.2. Determination of MIC, MBC, MPC and PAE
2.3.3. In Vitro and Ex Vivo Bacterial Killing Curves
2.4. PK Study of Acetylkitasamycin in Piglets
2.4.1. Animal Experiment and Sample Collection for PK Study
2.4.2. Assay of Acetylkitasamycin and Kitasamycin Every Component in Plasma and PELF
2.5. PK-PD Integration and Modeling
2.6. Dosage Designation
3. Results
3.1. PD Study of Acetylkitasamycin on S. suis
3.1.1. MIC of Acetylkitasamycin against S. suis Isolates
3.1.2. MIC, MBC, MPC and PAE of Acetylkitasamycin against S. suis HB1607
3.1.3. In Vitro and Ex Vivo Antimicrobial Activity
3.2. PK Study of Acetylkitasamycin in Piglets
3.3. PK-PD Model Integration
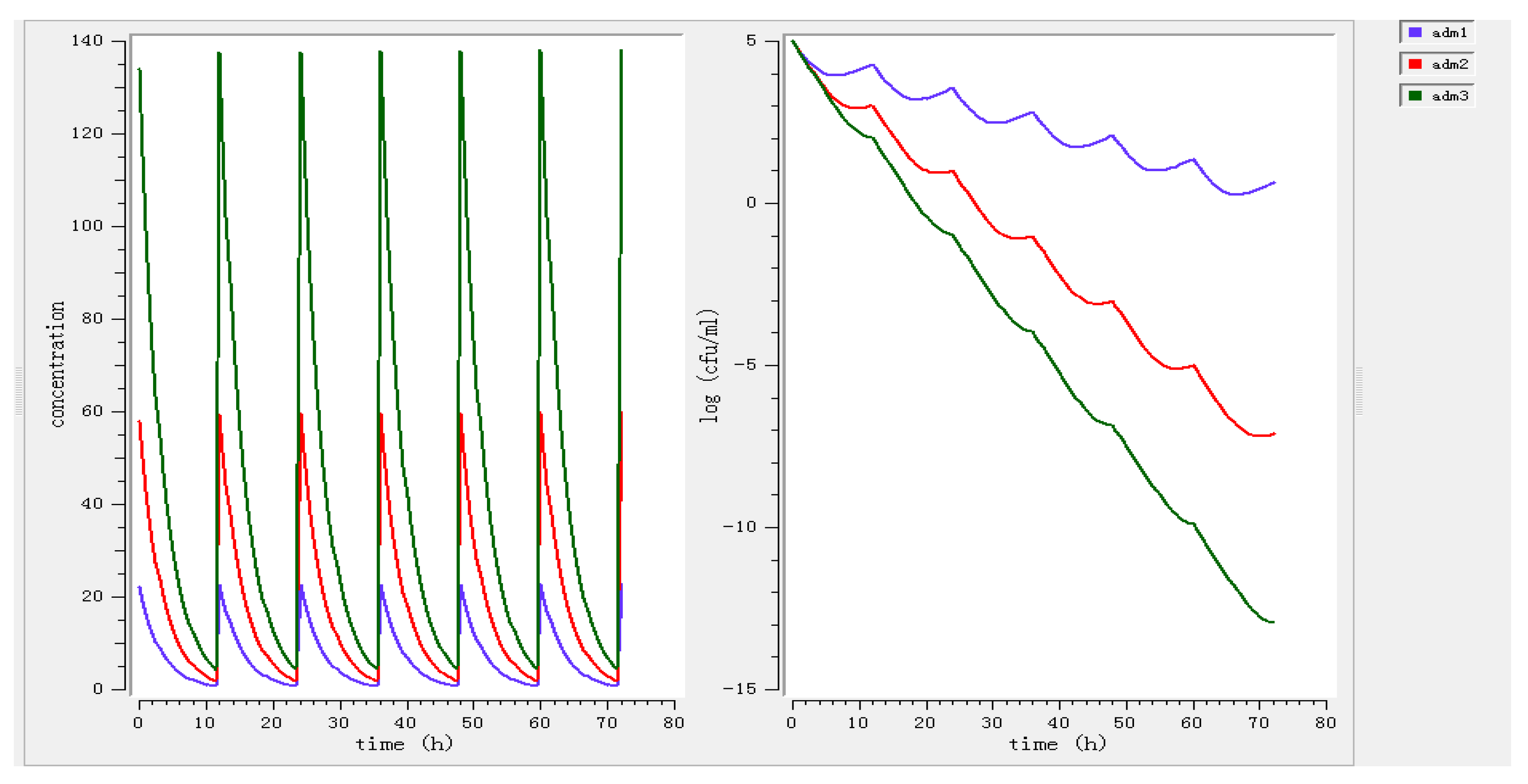
3.4. Estimation and Assessment of Dose
4. Discussion
5. Limitations
6. Conclusions
Author Contributions
Funding
Institutional Review Board Statement
Informed Consent Statement
Data Availability Statement
Conflicts of Interest
References
- Feng, L.; Zhu, J.; Chang, H.; Gao, X.; Gao, C.; Wei, X.; Yuan, F.; Bei, W. The CodY regulator is essential for virulence in Streptococcus suis serotype 2. Sci. Rep. 2016, 6, 21241. [Google Scholar] [CrossRef] [PubMed]
- Lun, Z.R.; Wang, Q.P.; Chen, X.G.; Li, A.X.; Zhu, X.Q. Streptococcus suis: An emerging zoonotic pathogen. Lancet Infect. Dis. 2007, 7, 201–209. [Google Scholar] [CrossRef]
- Petrocchi-Rilo, M.; Martínez-Martínez, S.; Aguarón-Turrientes, l.; Roca-Martínez, E.; Gutiérrez-Martín, C.-B. Anatomical Site, Typing, Virulence Gene Profiling, Antimicrobial Susceptibility and Resistance Genes of Streptococcus suis Isolates Recovered from Pigs in Spain. Antibiotics 2021, 10, 707. [Google Scholar] [CrossRef] [PubMed]
- Amsden, G.W. Advanced-generation macrolides: Tissue-directed antibiotics. Int. J. Antimicrob. Agents 2001, 18, 11–15. [Google Scholar] [CrossRef]
- Omura, S. Microbial metabolites: 45 years of wandering, wondering and discovering. Tetrahedron 2011, 67, 6420–6459. [Google Scholar] [CrossRef]
- Cerdá, R.; Giacoboni, G.I.; Xavier, J.A.; Landoni, P.L.S.F. In vitro antibiotic susceptibility of field isolates of Mycoplasma synoviae in Argentina. Avian Dis. 2002, 46, 215–218. [Google Scholar] [CrossRef]
- Hardy, D.J.; Hensey, D.M.; Beyer, J.M.; Vojtko, C.; Mcdonald, E.J.; Fernandes, P.B. Comparative in vitro activities of new 14-, 15-, and 16-membered macrolides. Antimicrob. Agents Chemother. 1988, 32, 1710–1719. [Google Scholar] [CrossRef] [Green Version]
- Suarez-Mier, G.; Giguère, S.; Lee, E.A. Pulmonary disposition of erythromycin, azithromycin, and clarithromycin in foals. J. Vet. Pharmacol. Ther. 2010, 30, 109–115. [Google Scholar] [CrossRef]
- Mattoes, H.M.; Nightingale, C.H. Pharmacokinetics/Pharmacodynamics of Macrolides. In Macrolide Antibiotics; Birkhäuser: Basel, Switzerland, 2002. [Google Scholar]
- Nan, J.; Hao, H.; Xie, S.; Pan, Y.; Yuan, Z. Pharmacokinetic and pharmacodynamic integration and modeling of acetylkitasamycin in swine for Clostridium perfringens. J. Vet. Pharmacol. Ther. 2017, 40, 641. [Google Scholar] [CrossRef]
- Yoshii, K.; Iikura, M.; Hirayama, M.; Toda, R.; Kawabata, Y. Physiologically-Based Pharmacokinetic and Pharmacodynamic Modeling for the Inhibition of Acetylcholinesterase by Acotiamide, A Novel Gastroprokinetic Agent for the Treatment of Functional Dyspepsia, in Rat Stomach. Pharm. Res. 2016, 33, 292–300. [Google Scholar] [CrossRef] [Green Version]
- Rodriguez-Gascon, A.; Solinis, M.A.; Isla, A. The Role of PK/PD Analysis in the Development and Evaluation of Antimicrobials. Pharmaceutics 2021, 13, 833. [Google Scholar] [CrossRef] [PubMed]
- Asin-Prieto, E.; Rodriguez-Gascon, A.; Isla, A. Applications of the pharmacokinetic/pharmacodynamic (PK/PD) analysis of antimicrobial agents. J. Infect. Chemother. 2015, 21, 319–329. [Google Scholar] [CrossRef] [PubMed]
- Murthy, D.B.; Schmitt-Hoffmann, A. Pharmacokinetics and Pharmacodynamics of Ceftobiprole, an Anti-MRSA Cephalosporin with Broad-Spectrum Activity. Clin. Pharmacokinet. 2008, 47, 21–33. [Google Scholar] [CrossRef]
- Jr, R.C.O.; Shorr, A.F. Rational dosing of antimicrobial agents: Pharmacokinetic and pharmacodynamic strategies. Am. J. Health Syst. Pharm. 2009, 66, 23–30. [Google Scholar]
- Nielsen, E.I.; Cars, O.; Friberg, L.E. Pharmacokinetic/Pharmacodynamic (PK/PD) Indices of Antibiotics Predicted by a Semimechanistic PKPD Model: A Step toward Model-Based Dose Optimization. Antimicrob. Agents Chemother. 2011, 55, 4619–4630. [Google Scholar] [CrossRef] [PubMed] [Green Version]
- Mukker, J.K.; Singh, R.; Derendorf, H. Pharmacokinetic and pharmacodynamic implications in inhalable antimicrobial therapy. Adv. Drug Deliv. Rev. 2015, 85, 57–64. [Google Scholar] [CrossRef]
- Ko, Y.H.; Song, P.H. Current Updates in Pharmacokinetics and Pharmacodynamics of Fluoroquinolones. Korean J. Urogenit. Tract Infect. Inflamm. 2015, 10, 1–6. [Google Scholar] [CrossRef] [Green Version]
- Derksen, F.J.; Brown, C.M.; Sonea, I.; Darien, B.J.; Robinson, N.E. Comparison of transtracheal aspirate and bronchoalveolar lavage cytology in 50 horses with chronic lung disease. Equine Vet. J. 2010, 21, 23–26. [Google Scholar] [CrossRef]
- Xu, Z.; Huang, A.; Luo, X.; Zhang, P.; Huang, L.; Wang, X.; Mi, K.; Fang, S.; Huang, X.; Li, J.; et al. Exploration of Clinical Breakpoint of Danofloxacin for Glaesserella parasuis in Plasma and in PELF. Antibiotics 2021, 10, 808. [Google Scholar] [CrossRef]
- Mouton, J.W.; Theuretzbacher, U.; Craig, W.A.; Tulkens, P.M.; Derendorf, H.; Cars, O. Tissue concentrations: Do we ever learn? J. Antimicrob. Chemother. 2008, 61, 235–237. [Google Scholar] [CrossRef] [Green Version]
- Winther, L.; Baptiste, K.E.; Friis, C. Pharmacokinetics in pulmonary epithelial lining fluid and plasma of ampicillin and pivampicillin administered to horses. Res. Vet. Sci. 2012, 92, 111–115. [Google Scholar] [CrossRef] [PubMed]
- Nourian, A.R.; Mills, P.C.; Pollitt, C.C. Development of an intra-lamellar microdialysis method for laminitis investigations in horses. Vet. J. 2010, 183, 22–26. [Google Scholar] [CrossRef] [PubMed]
- Brunner, M.; Langer, O. Microdialysis versus other techniques for the clinical assessment of in vivo tissue drug distribution. AAPS J. 2006, 8, E263–E271. [Google Scholar] [CrossRef] [PubMed]
- Kerdsin, A.; Dejsirilert, S.; Akeda, Y.; Sekizaki, T.; Hamada, S.; Gottschalk, M.; Oishi, K. Fifteen Streptococcus suis serotypes identified by multiplex PCR. J. Med. Microbiol. 2012, 61, 1669–1672. [Google Scholar] [CrossRef] [Green Version]
- CLSI. Development of In vitro Susceptibility Testing Criteria and Quality Control Parameters for Veterinary Antimicrobial Agents; Approved Guideline. In CLSI Document M37-A3, 3rd ed.; Clinical and Laboratory Standards Institute: Philadelphia, PA, USA, 2007. [Google Scholar]
- CLSI. Performance Standards for Antimicrobial Susceptibility Testing: Twenty-Four Informational Supplement. In CLSI Document M100-S24; Clinical and Laboratory Standards Institute: Philadelphia, PA, USA, 2014. [Google Scholar]
- Lei, Z.X.; Liu, Q.Y.; Yang, S.K.; Yang, B.; Khaliq, H.; Li, K.; Ahmed, S.; Sajid, A.; Zhang, B.Z.; Chen, P.; et al. PK-PD Integration Modeling and Cutoff Value of Florfenicol against Streptococcus suis in Pigs. Front. Pharmacol. 2018, 9, 2. [Google Scholar] [CrossRef] [Green Version]
- Wang, L.P.; Zhang, Y.S. Postantibiotic effects and postantibiotic sub-mic effects of tilmicosin, erythromycin and tiamulin on erythromycin-resistant Streptococcus suis. Braz. J. Microbiol. 2009, 40, 980–987. [Google Scholar] [CrossRef] [Green Version]
- Zhou, Y.F.; Peng, H.M.; Bu, M.X.; Liu, Y.H.; Sun, J.; Liao, X.P. Pharmacodynamic Evaluation and PK/PD-Based Dose Prediction of Tulathromycin: A Potential New Indication for Streptococcus suis Infection. Front. Pharmacol. 2017, 8, 684. [Google Scholar] [CrossRef]
- Zhang, L.; Li, Y.; Dai, K.; Wen, X.; Wu, R.; Huang, X.; Jin, J.; Xu, K.; Yan, Q.; Huang, Y.; et al. Establishment of a Successive Markerless Mutation System in Haemophilus parasuis through Natural Transformation. PLoS ONE 2015, 10, e0127393. [Google Scholar] [CrossRef]
- Giguère, S.; Huang, R.; Malinski, T.J.; Dorr, P.M.; Tessman, R.K.; Somerville, B.A. Disposition of gamithromycin in plasma, pulmonary epithelial lining fluid, bronchoalveolar cells, and lung tissue in cattle. Am. J. Vet. Res. 2011, 72, 326–330. [Google Scholar] [CrossRef]
- Kiem, S.; Schentag, J.J. Interpretation of antibiotic concentration ratios measured in epithelial lining fluid. Antimicrob. Agents Chemother. 2008, 52, 24–36. [Google Scholar] [CrossRef] [Green Version]
- Pan, Y.H.; Zhang, H.Y.; Xi, C.L.; Huang, L.L.; Xie, S.Y.; Chen, D.M.; Tao, Y.F.; Liu, Z.L.; Yuan, Z.H. Simultaneous determination of multicomponent of acetylkitasamycin and kitasamycin by LC-MS/MS in swine plasma and its application in a pharmacokinetic study. Biomed. Chromatogr. 2018, 32, e4268. [Google Scholar] [CrossRef] [PubMed]
- Wang, J.; Hao, H.; Huang, L.; Liu, Z.; Chen, D.; Yuan, Z. Pharmacokinetic and Pharmacodynamic Integration and Modeling of Enrofloxacin in Swine for Escherichia coli. Front. Microbiol. 2016, 7, 36. [Google Scholar] [CrossRef] [PubMed]
- Toutain, P.L.; Del Castillo, J.R.E.; Bousquet-Melou, A. The pharmacokinetic-pharmacodynamic approach to a rational dosage regimen for antibiotics. Res. Vet. Sci. 2002, 73, 105–114. [Google Scholar] [CrossRef]
- Womble, A.; Giguère, S.; Lee, E.A. Pharmacokinetics of oral doxycycline and concentrations in body fluids and bronchoalveolar cells of foals. J. Vet. Pharmacol. Ther. 2007, 30, 187–193. [Google Scholar] [CrossRef] [PubMed]
- Gardner, S.Y.; Davis, J.L.; Jones, S.L.; Lafevers, D.H.; Hoskins, M.S.; Mcarver, E.M.; Papich, M.G. Moxifloxacin pharmacokinetics in horses and disposition into phagocytes after oral dosing. J. Vet. Pharmacol. Ther. 2004, 27, 57–60. [Google Scholar] [CrossRef]
- Conte, J.E.; Golden, J.A.; Kipps, J.; Zurlinden, E. Intrapulmonary pharmacokinetics of linezolid. Antimicrob. Agents Chemother. 2002, 46, 1475–1480. [Google Scholar] [CrossRef] [Green Version]
- Shi, X.; Zhong, D.; Su, N. Pharmacokinetics of a novel antibiotic bitespiramycin in rats. Asian J. Drug Metab. Pharmacokinet. 2003, 3, 134–137. [Google Scholar]
- Liu, H.; Yang, J.; Du, F.; Gao, X.; Ma, X.; Huang, Y.; Xu, F.; Niu, W.; Wang, F.; Mao, Y. Absorption and Disposition of Ginsenosides after Oral Administration of Panax notoginseng Extract to Rats. Drug Metab. Dispos. 2009, 37, 2290–2298. [Google Scholar] [CrossRef] [Green Version]
- Sang, K.; Hao, H.; Huang, L.; Wang, X.; Yuan, Z. Pharmacokinetic–Pharmacodynamic Modeling of Enrofloxacin Against Escherichia coli in Broilers. Front. Vet. Sci. 2015, 2, 80. [Google Scholar] [CrossRef] [Green Version]
- Schwarz, S.; Böttner, A.; Goosens, L.; Hafez, H.M.; Hartmann, K.; Kaske, M.; Kehrenberg, C.; Kietzmann, M.; Klarmann, D.; Klein, G. A proposal of clinical breakpoints for amoxicillin applicable to porcine respiratory tract pathogens. Vet. Microbiol. 2008, 126, 178–188. [Google Scholar] [CrossRef] [Green Version]
- Zafar, A.; Hasan, R.; Nizamuddin, S.; Mahmood, N.; Mukhtar, S.; Ali, F.; Morrissey, I.; Barker, K.; Torumkuney, D. Antibiotic susceptibility in Streptococcus pneumoniae, Haemophilus influenzae and Streptococcus pyogenes in Pakistan: A review of results from the Survey of Antibiotic Resistance (SOAR) 2002–15. J. Antimicrob. Chemother. 2016, 71, i103–i109. [Google Scholar] [CrossRef] [PubMed]
- Brentnall, C.; Cheng, Z.; McKellar, Q.; Lees, P. Pharmacodynamics of oxytetracycline administered alone and in combination with carprofen in calves. Vet. Rec. J. Br. Vet. Assoc. 2012, 171, 273. [Google Scholar] [CrossRef] [PubMed]
- Hennig-Pauka, I.; Ganter, M.; Gerlach, G.F.; Rothkötter, H.J. Enzyme Activities, Protein Content and Cellular Variables in the Pulmonary Epithelial Lining Fluid in Selected Healthy Pigs. J. Vet. Med. A Physiol. Pathol. Clin. Med. 2001, 48, 631–639. [Google Scholar] [CrossRef] [PubMed]
- Andes, D.; Anon, J.; Jacobs, M.R.; Craig, W.A. Application of pharmacokinetics and pharmacodynamics to antimicrobial therapy of respiratory tract infections. Clin. Lab. Med. 2004, 24, 477–502. [Google Scholar] [CrossRef]
- Zhanel, G.G.; DeCorby, M.; Noreddin, A.; Mendoza, C.; Cumming, A.; Nichol, K.; Wierzbowski, A.; Hoban, D.J. Pharmacodynamic activity of azithromycin against macrolide-susceptible and-resistant Streptococcus pneumoniae simulating clinically achievable free serum, epithelial lining fluid and middle ear fluid concentrations. J. Antimicrob. Chemother. 2003, 52, 83–88. [Google Scholar] [CrossRef]
- Schentag, J.J.; Klugman, K.P.; Yu, V.L.; Adelman, M.H.; Wilton, G.J.; Chiou, C.C.; Patel, M.; Lavin, B.; Paladino, J.A. Streptococcus pneumoniae bacteraemia: Pharmacodynamic correlations with outcome and macrolide resistance—A controlled study. Int. J. Antimicrob. Agents 2007, 30, 264–269. [Google Scholar] [CrossRef]
- Carral, N.; Lukas, J.C.; Oteo, I.; Suarez, E. Impact of poor compliance with levofloxacin and moxifloxacin on respiratory tract infection antimicrobial efficacy: A pharmacokinetic/pharmacodynamic simulation study. Int. J. Antimicrob. Agents 2015, 45, 79–83. [Google Scholar] [CrossRef]





| Parameter | Distribution Log2MICs | |||||||||
|---|---|---|---|---|---|---|---|---|---|---|
| −2 | −1 | 0 | 1 | 2 | 3 | 4 | 5 | 6 | 7 | |
| Counts | 7 | 4 | 18 | 6 | 6 | 7 | 6 | 1 | 38 | 17 |
| Cumulative | 7 | 11 | 29 | 35 | 41 | 48 | 54 | 55 | 93 | 110 |
| Subset Fitted | Number of Isolates | Mean MIC (Log2) | Standard Deviation (Log2) | |||||||||||
|---|---|---|---|---|---|---|---|---|---|---|---|---|---|---|
| True | Est | Diff | ASE | Est/ASE | 95% CI | Est | ASE | Est/ASE | 95% CI | Est | ASE | Est/ASE | 95% CI | |
| ≤2 | 35 | 39 | 4 | 11.88 | 3.2 | −118, 8190 | −0.569 | 0.634 | −0.9 | −8.635, 7.495 | 1.171 | 0.668 | 2.6 | 0.0, 9.659 |
| ≤4 | 41 | 42 | 1 | 4.678 | 8.9 | 21.77, 62.03 | −0.443 | 0.300 | −1.5 | −1.736, 0.8502 | 1.297 | 0.371 | 3.4 | 0.0, 2.896 |
| ≤8 | 48 | 47 | −1 | 4.492 | 10.4 | 33.65, 62.24 | −0.113 | 0.314 | −0.4 | −1.104, 0.8778 | 1.656 | 0.389 | 4.2 | −1.104, 0.87 |
| ≤16 a | 54 | 54 | 0 | 4.549 | 11.8 | 41.35, 66.61 | 0.252 | 0.332 | 0.7 | −0.671, 1.176 | 2.037 | 0.417 | 4.8 | 0.878, 3.195 |
| ≤32 | 55 | 56 | 1 | 2.964 | 18.8 | 47.54, 62.78 | 0.328 | 0.245 | 1.3 | −0.303, 0.960 | 2.118 | 0.245 | 8.6 | −0.303, 0.96 |
| Antibiotic | S. suis (110 strains) b | S. suis (55 strains) c | ||||
|---|---|---|---|---|---|---|
| Acetylkitasamycin (μg/mL) | MIC50 | MIC90 | Range | MIC50 | MIC90 | Range |
| 9.10 | 100.23 | 0.25–128 | 1.21 | 6.94 | 0.25–16 | |
| Concentration (µg/mL) | Post-Antibiotic Effect (PAE) | |
|---|---|---|
| Expose 1 h | Expose 2 h | |
| 1MIC | 0.92 | 1.72 |
| 2MIC | 1.59 | 2.33 |
| 4MIC | 1.88 | 2.96 |
| Parameter | Acetylkitasamycin (Plasma) | Acetylkitasamycin (PELF) | ||||||
|---|---|---|---|---|---|---|---|---|
| A5′ | A4A5 | A6A7 | A5′ | A4A5 | A1A3 | A13 | Total | |
| α (1/h) | 0.56 ±0.04 | 0.46 ±0.02 | 0.25 ±0.01 | 0.3 ±0.01 | 0.28 ±0.02 | 0.25 ±0.02 | 0.3 ±0.02 | 0.27 ±0.03 |
| β (1/h) | 0.09 ±0.01 | 0.19 ±0.02 | 0.018 ±0.04 | 0.022 ±0.02 | 0.012 ±0.01 | 0.017 ±0.01 | 0.018 ±0.02 | 0.016 ±0.03 |
| T1/201 (h) | 1.2 ±0.08 | 1.49 ±0.13 | 2.72 ±0.09 | 2.29 ±0.12 | 2.42 ±0.28 | 2.75 ±0.22 | 2.26 ±0.16 | 2.54 ±0.09 |
| T1/210 (h) | 1.4 ±0.21 | 1.5 ±0.16 | 8.19 ±0.63 | 6.57 ±0.47 | 9.4 ±2.9 | 34.93 ±56.77 | 6.66 ±1.49 | 7.25 ±0.78 |
| T1/2α (h) | 1.25 ±0.13 | 1.5 ±0.16 | 2.75 ±0.11 | 2.31 ±0.13 | 2.42 ±0.25 | 2.75 ±0.23 | 2.28 ±0.17 | 2.62 ±0.27 |
| T1/2β (h) | 7.47 ±0.54 | 3.56 ±0.25 | 39.52 ±3.27 | 32.16 ±3.17 | 63.89 ±5.58 | 42.7 ±4.32 | 53.12 ±4.83 | 46 ±4.28 |
| AUC (h·μg/mL) | 0.57 ±0.15 | 0.49 ±0.11 | 20.55 ±2.25 | 80.39 ±3.76 | 118.41 ±24.71 | 23.95 ±3.26 | 18.88 ±3.05 | 248.58 ±21.17 |
| Tmax (h) | 1.8 ±0.08 | 2.15 ±0.11 | 4.54 ±0.07 | 3.81 ±0.14 | 3.9 ±0.33 | 4.34 ±0.35 | 3.74 ±0.36 | 4.27 ±0.19 |
| Cmax (μg/mL) | 0.11 ±0.01 | 0.08 ±0.01 | 0.71 ±0.05 | 3.47 ±0.32 | 3.55 ±0.25 | 0.98 ±0.02 | 0.8 ±0.04 | 9.84 ±0.39 |
| CL/F (mL/h/kg) | 87.33 ±7.32 | 101.57 10.08± | 2461.14 ±258.80 | 623.26 ±28.32 | 437.35 ±72.92 | 2123.08 ±266.31 | 2709.83 ±384.11 | 202.49 ±15.69 |
| Vd/F (mL/kg) | 82.49 ±3.22 | 0.37 ±0.04 | 73,189 ±7332 | 14,745 ±2561 | 23,567 ±2142 | 52,619 ±6252 | 111,655 ±5254 | 22,895 ±4637 |
| Time (h) | Cvivo | (AUIC)ex | E (logCFU/mL) | Calculated PD Target |
|---|---|---|---|---|
| 0 | 0 | 0 | 3.28 | E0 = 3.28 PDmax = 7.58 N = 1.77 ± 0.34 EC50 = 67.18 ± 8.32 AUC24h/MIC (E = 0) = 57.65 AUC24h/MIC (E = −3) = 163.56 AUC24h/MIC (E = −4) = 407.12 |
| 0.5 | 0.22 ± 0.05 | 5.37 ± 1.25 | 0.31 | |
| 1 | 0.37 ± 0.08 | 8.96 ± 2.06 | −2.31 | |
| 2 | 0.71 ± 0.02 | 16.83 ± 0.63 | −3.63 | |
| 4 | 0.88 ± 0.04 | 20.28 ± 2.07 | −4.30 | |
| 6 | 0.73 ± 0.04 | 17.93 ± 1.22 | −4.30 | |
| 8 | 0.51 ± 0.08 | 12.18 ± 2.1 | −2.93 | |
| 12 | 0.34 ± 0.12 | 8.12 ± 3.05 | −2.21 | |
| 24 | 0.22 ± 0.08 | 5.27 ± 1.92 | −1.47 | |
| 36 | 0.12 ± 0.05 | 2.77 ± 1.15 | 1.37 | |
| 48 | 0.07 ± 0.02 | 1.62 ± 0.49 | 2.31 | |
| 72 | 0.02 ± 0.009 | 0.55 ± 0.24 | 2.82 |
Publisher’s Note: MDPI stays neutral with regard to jurisdictional claims in published maps and institutional affiliations. |
© 2022 by the authors. Licensee MDPI, Basel, Switzerland. This article is an open access article distributed under the terms and conditions of the Creative Commons Attribution (CC BY) license (https://creativecommons.org/licenses/by/4.0/).
Share and Cite
Huang, A.; Mao, F.; Huang, L.; Xie, S.; Pan, Y.; Qu, W.; Cheng, G.; Liu, Z.; Yuan, Z.; Peng, D.; et al. PK-PD Modeling and Optimal Dosing Regimen of Acetylkitasamycin against Streptococcus suis in Piglets. Antibiotics 2022, 11, 283. https://doi.org/10.3390/antibiotics11020283
Huang A, Mao F, Huang L, Xie S, Pan Y, Qu W, Cheng G, Liu Z, Yuan Z, Peng D, et al. PK-PD Modeling and Optimal Dosing Regimen of Acetylkitasamycin against Streptococcus suis in Piglets. Antibiotics. 2022; 11(2):283. https://doi.org/10.3390/antibiotics11020283
Chicago/Turabian StyleHuang, Anxiong, Feng Mao, Lingli Huang, Shuyu Xie, Yuanhu Pan, Wei Qu, Guyue Cheng, Zhenli Liu, Zonghui Yuan, Dapeng Peng, and et al. 2022. "PK-PD Modeling and Optimal Dosing Regimen of Acetylkitasamycin against Streptococcus suis in Piglets" Antibiotics 11, no. 2: 283. https://doi.org/10.3390/antibiotics11020283
APA StyleHuang, A., Mao, F., Huang, L., Xie, S., Pan, Y., Qu, W., Cheng, G., Liu, Z., Yuan, Z., Peng, D., & Hao, H. (2022). PK-PD Modeling and Optimal Dosing Regimen of Acetylkitasamycin against Streptococcus suis in Piglets. Antibiotics, 11(2), 283. https://doi.org/10.3390/antibiotics11020283

