Cyclic Tetrapeptides with Synergistic Antifungal Activity from the Fungus Aspergillus westerdijkiae Using LC-MS/MS-Based Molecular Networking
Abstract
1. Introduction
2. Results
3. Discussion
4. Materials and Methods
4.1. General
4.2. Fungal Material
4.3. Fermentation and Extraction
4.4. LC-MS/MS and Molecular Networking Analysis
4.5. Isolation and Characterization Data
4.6. Absolute Configuration of Amino Acids
4.7. Evaluation of Biological Activities
4.7.1. Antifungal and Synergistic Antifungal Assay
4.7.2. Cytotoxicity Assay
4.7.3. HDAC Activity Assay
5. Conclusions
Supplementary Materials
Author Contributions
Funding
Institutional Review Board Statement
Informed Consent Statement
Data Availability Statement
Acknowledgments
Conflicts of Interest
References
- Al-Fakih, A.A.; Almaqtri, W.Q.A. Overview on antibacterial metabolites from terrestrial Aspergillus spp. Mycology 2019, 10, 191–209. [Google Scholar] [CrossRef]
- Chin, J.M.W.; Puchooa, D.; Bahorun, T.; Jeewon, R. Antimicrobial properties of marine fungi from sponges and brown algae of Mauritius. Mycology 2021, 12, 231–244. [Google Scholar] [CrossRef]
- Fazal, A.; Webb, M.E.; Seipke, R.F. The Desotamide Family of Antibiotics. Antibiotics 2020, 9, 452. [Google Scholar] [CrossRef]
- Chakraborty, S.; Tai, D.F.; Lin, Y.C.; Chiou, T.W. Antitumor and antimicrobial activity of some cyclic tetrapeptides and tripeptides derived from marine bacteria. Mar. Drugs 2015, 13, 3029–3045. [Google Scholar] [CrossRef]
- He, F.; Bao, J.; Zhang, X.Y.; Tu, Z.C.; Shi, Y.M.; Qi, S.H. Asperterrestide A, a cytotoxic cyclic tetrapeptide from the marine-derived fungus Aspergillus terreus SCSGAF0162. J. Nat. Prod. 2013, 76, 1182–1186. [Google Scholar] [CrossRef]
- Sun, Y.; Tian, L.; Huang, Y.F.; Sha, Y.; Pei, Y.H. A new cyclotetrapeptide from marine fungus Trichoderma reesei. Pharmazie 2006, 61, 809–810. [Google Scholar]
- Gao, C.H.; Chen, Y.N.; Pan, L.X.; Lei, F.; Long, B.; Hu, L.Q.; Zhang, R.C.; Ke, K.; Huang, R.M. Two new cyclic tetrapeptides from deep-sea bacterium Bacillus amyloliquefaciens GAS 00152. J. Antibiot. 2014, 67, 541–543. [Google Scholar] [CrossRef]
- Abdalla, M.A. Medicinal significance of naturally occurring cyclotetrapeptides. J. Nat. Med. 2016, 70, 708–720. [Google Scholar] [CrossRef]
- Walton, J.D. HC-toxin. Phytochemistry 2006, 67, 1406–1413. [Google Scholar] [CrossRef]
- von Bargen, K.W.; Niehaus, E.M.; Bergander, K.; Brun, R.; Tudzynski, B.; Humpf, H.U. Structure Elucidation and Antimalarial Activity of Apicidin F: An Apicidin-like Compound Produced by Fusarium fujikuroi. J. Nat. Prod. 2013, 76, 2136–2140. [Google Scholar] [CrossRef]
- Gu, W.; Cueto, M.; Jensen, P.R.; Fenical, W.; Silverman, R.B. Microsporins A and B: New histone deacetylase inhibitors from the marine-derived fungus Microsporum cf. gypseum and the solid-phase synthesis of microsporin A. Tetrahedron 2007, 63, 6535–6541. [Google Scholar] [CrossRef]
- Davies, E.R.; Haitchi, H.M.; Thatcher, T.H.; Sime, P.J.; Kottmann, R.M.; Ganesan, A.; Packham, G.; O’Reilly, K.M.; Davies, D.E. Spiruchostatin A inhibits proliferation and differentiation of fibroblasts from patients with pulmonary fibrosis. Am. J. Respir. Cell Mol. Biol. 2012, 46, 687–694. [Google Scholar] [CrossRef]
- Leoni, F.; Zaliani, A.; Bertolini, G.; Porro, G.; Pagani, P.; Pozzi, P.; Dona, G.; Fossati, G.; Sozzani, S.; Azam, T.; et al. The antitumor histone deacetylase inhibitor suberoylanilide hydroxamic acid exhibits anti-inflammatory properties via suppression of cytokines. Proc. Natl. Acad. Sci. USA 2002, 99, 2995–3000. [Google Scholar] [CrossRef]
- Roger, T.; Lugrin, J.; Le Roy, D.; Goy, G.; Mombelli, M.; Koessler, T.; Ding, X.C.; Chanson, A.-L.; Reymond, M.K.; Miconnet, I.; et al. Histone deacetylase inhibitors impair innate immune responses to Toll-like receptor agonists and to infection. Blood 2011, 117, 1205–1217. [Google Scholar] [CrossRef]
- Lenoir, O.; Flosseau, K.; Ma, F.X.; Blondeau, B.; Mai, A.; Bassel-Duby, R.; Ravassard, P.; Olson, E.N.; Haumaitre, C.; Scharfmann, R. Specific control of pancreatic endocrine β- and δ-cell mass by class IIa histone deacetylases HDAC4, HDAC5, and HDAC9. Diabetes 2011, 60, 2861–2871. [Google Scholar] [CrossRef]
- Lin, X.; Chai, L.; Zhu, H.R.; Zhou, Y.; Lin., H.W. Applying molecular networking for targeted isolation of depsipeptides. RSC Adv. 2021, 11, 2774. [Google Scholar] [CrossRef]
- Sala, G.D.; Mangoni, A.; Costantino, V.; Teta, R. Identification of the biosynthetic gene cluster of thermoactinoamides and discovery of new congeners by integrated genome mining and MS-Based molecular networking. Front. Chem. 2020, 8, 397. [Google Scholar] [CrossRef]
- Han, X.L.; Chakrabortti, A.; Zhu, J.D.; Liang, Z.X.; Li, J.M. Sequencing and functional annotation of the whole genome of the filamentous fungus Aspergillus westerdijkiae. BMC Genom. 2016, 17, 633. [Google Scholar] [CrossRef]
- Hou, X.M.; Li, Y.Y.; Shi, Y.W.; Fang, Y.W.; Chao, R.; Gu, Y.C.; Wang, C.Y.; Shao, C.L. Integrating molecular networking and H NMR to target the isolation of chrysogeamides from a library of marine-derived Penicillium fungi. J. Org. Chem. 2019, 84, 1228–1237. [Google Scholar] [CrossRef]
- Liu, J.T.; Gu, B.B.; Yang, L.J.; Yang, F.; Lin, H.W. New Anti-inflammatory cyclopeptides from a sponge-derived fungus Aspergillus violaceofuscus. Front. Chem. 2018, 6, 226. [Google Scholar] [CrossRef]
- Yang, X.; Yang, Y.; Peng, T.; Yang, F.; Zhou, H.; Zhao, L.; Xu, L.; Ding, Z. A New cyclopeptide from endophytic Streptomyces Sp. Yim 64018. Nat. Prod. Commun. 2013, 8, 1753–1754. [Google Scholar] [CrossRef]
- Jesus, A.D.; Steyn, P.S.; Vleggaar, R.; Wessels, P.L. Carbon-13 nuclear magnetic resonance assignments and biosynthesis of the mycotoxin ochratoxin A. J. Chem. Soc. Perk. Trans. 1980, 52–54. [Google Scholar] [CrossRef]
- Xu, X.y.; He, F.; Zhang, X.Y.; Bao, J.; Qi, S.H. New mycotoxins from marine-derived fungus Aspergillus sp. SCSGAF0093. Food Chem. Toxicol. 2013, 53, 46–51. [Google Scholar] [CrossRef]
- Joshi, B.K.; Gloer, J.B.; Wicklow, D.T.; Dowd, P.F. Sclerotigenin: A new antiinsectan benzodiazepine from the sclerotia of Penicillium sclerotigenum. J. Nat. Prod. 1999, 62, 650–652. [Google Scholar] [CrossRef]
- Dai, J.R.; Carté, B.K.; Sidebottom, P.J.; Sek Yew, A.L.; Ng, S.B.; Huang, Y.C.; Butler, M.S. Circumdatin G, a New alkaloid from the fungus Aspergillus ochraceus. J. Nat. Prod. 2001, 64, 125–126. [Google Scholar] [CrossRef]
- Almeida, C.; Part, N.; Bouhired, S.; Kehraus, S.; König, G.M. Stachylines AD from the sponge-derived fungus Stachylidium sp. J. Nat. Prod. 2011, 74, 21–25. [Google Scholar] [CrossRef]
- Fredimoses, M.; Zhou, X.F.; Ai, W.; Tian, X.P.; Yang, B.; Lin, X.P.; Xian, J.Y.; Liu, Y.H. Westerdijkin A, a new hydroxyphenylacetic acid derivative from deep sea fungus Aspergillus westerdijkiae SCSIO 05233. Nat. Prod. Res. 2015, 29, 158–162. [Google Scholar] [CrossRef]
- Djoukeng, J.D.; Polli, S.; Larignon, P.; Abou-Mansour, E. Identification of phytotoxins from Botryosphaeria obtusa, a pathogen of black dead arm disease of grapevine. Eur. J. Plant Pathol. 2009, 124, 303–308. [Google Scholar] [CrossRef]
- Wu, W.; Dai, H.Q.; Bao, L.; Ren, B.; Lu, J.C.; Luo, Y.M.; Guo, L.D.; Zhang, L.X.; Liu, H.W. Isolation and structural elucidation of proline-containing cyclopentapeptides from an endolichenic Xylaria sp. J. Nat. Prod. 2011, 74, 1303–1308. [Google Scholar] [CrossRef]
- Tong, Y.; Zhang, J.; Wang, L.; Wang, Q.; Huang, H.; Chen, X.; Zhang, Q.; Li, H.; Sun, N.; Liu, G.; et al. Hyper-synergistic antifungal activity of rapamycin and peptide-like compounds against Candida albicans orthogonally via tor1 kinase. ACS Infect Dis. 2021, 7, 2826–2835. [Google Scholar] [CrossRef]
- Sarojini, V.; Cameron, A.J.; Varnava, K.G.; Denny, W.A.; Sanjayan, G. Cyclic Tetrapeptides from nature and design: A review of synthetic methodologies, structure, and function. Chem. Rev. 2019, 119, 10318–10359. [Google Scholar] [CrossRef]
- Campas-Moya, C. Romidepsin for the treatment of cutaneous T-cell lymphoma. Drugs Today 2009, 45, 787–795. [Google Scholar] [CrossRef]
- Marks, P.A.; Breslow, R. Dimethyl sulfoxide to vorinostat: Development of this histone deacetylase inhibitor as an anticancer drug. Nat. Biotech. 2007, 25, 84–90. [Google Scholar] [CrossRef]
- Baltz, R.H. Gifted microbes for genome mining and natural product discovery. J. Ind. Microbiol. Biotechnol. 2017, 44, 573–588. [Google Scholar] [CrossRef]
- Rutledge, P.J.; Challis, G.L. Discovery of microbial natural products by activation of silent biosynthetic gene clusters. Nat. Rev. Microbiol. 2015, 13, 509–523. [Google Scholar] [CrossRef]
- Paulo, B.S.; Sigrist, R.; Angolini, C.F.F.; De Oliveira, L.G. New cyclodepsipeptide derivatives revealed by genome mining and molecular networking. ChemistrySelect 2019, 4, 7785–7790. [Google Scholar] [CrossRef]
- Yang, J.Y.; Sanchez, L.M.; Rath, M.; Liu, X.T.; Boudreau, P.D.; Bruns, N.; Glukhov, E.; Wodtke, A.; de Felicio, R.; Fenner, A.; et al. Molecular Networking as a Dereplication Strategy. J. Nat. Prod. 2013, 76, 1686–1699. [Google Scholar] [CrossRef]
- Romano, S.; Jackson, S.; Patry, S.; Dobson, A. Extending the “One Strain Many Compounds” (OSMAC) Principle to Marine Microorganisms. Mar. Drugs 2018, 16, 244. [Google Scholar] [CrossRef]
- Malek, Z.; Gregory, L.C. Strategies for the discovery of new natural products by genome mining. ChemBioChem 2009, 10, 625–633. [Google Scholar]
- Denning, D.W.; Bromley, M.J. How to bolster the antifungal pipeline. Science 2015, 347, 1414–1416. [Google Scholar] [CrossRef]
- Brown, G.D.; Denning, D.W.; Gow, N.A.R.; Levitz, S.M.; Netea, M.G.; White, T.C. Hidden killers: Human fungal infections. Sci. Transl. Med. 2012, 4, 165rv13. [Google Scholar] [CrossRef]
- Kumaria, A.; Tripathia, A.H.; Gautamb, P.; Gahtoria, R.; Pandec, A.; Singhd, Y.; Madane, T.; Upadhyay, S.K. Adhesins in the virulence of opportunistic fungal pathogens of human. Mycology 2021, 12, 296–324. [Google Scholar] [CrossRef]
- Pfaller, M.A.; Diekema, D.J. Epidemiology of invasive candidiasis: A persistent public health problem. Clin. Microbiol. Rev. 2007, 20, 133–163. [Google Scholar] [CrossRef]
- Singh, K.; Sun, S.; Vezina, C. Rapamycin (AY-22,989), a new antifungal antibiotic. IV. Mechanism of action. J. Antibiot. 1979, 32, 630–645. [Google Scholar] [CrossRef]
- Cruz, M.C.; Cavallo, L.M.; Görlach, J.M.; Cox, G.; Perfect, J.R.; Cardenas, M.E.; Heitman, J. Rapamycin antifungal action is mediated via conserved complexes with FKBP12 and TOR kinase homologs in Cryptococcus neoformans. Mol. Cell. Biol. 1999, 19, 4101–4112. [Google Scholar] [CrossRef]
- Wong, G.K.; Griffith, S.; Kojima, I.; Demain, A.L. Antifungal activities of rapamycin and its derivatives, prolylrapamycin, 32-desmethylrapamycin, and 32-desmethoxyrapamycin. J. Antibiot. 1998, 51, 487–491. [Google Scholar] [CrossRef][Green Version]
- Eng, C.P.; Sehgal, S.N.; Vezina, C. Activity of rapamycin (AY-22,989) against transplanted tumors. J. Antibiot. 1984, 37, 1231–1237. [Google Scholar] [CrossRef]
- Frisvad, J.C.; Frank, J.M.; Houbraken, J.A.M.P.; Kuijpers, A.F.A.; Samson, R.A. New ochratoxin A producing species of Aspergillus section Circumdati. Study Mycol. 2004, 50, 23–43. [Google Scholar]
- Han, J.J.; Bao, L.; Tao, Q.Q.; Yao, Y.J.; Liu, X.Z.; Yin, W.B.; Liu, H.W. Gloeophyllins A−J, cytotoxic ergosteroids with various skeletons from a chinese tibet fungus Gloeophyllum abietinum. Org. Lett. 2015, 17, 2538–2541. [Google Scholar] [CrossRef]





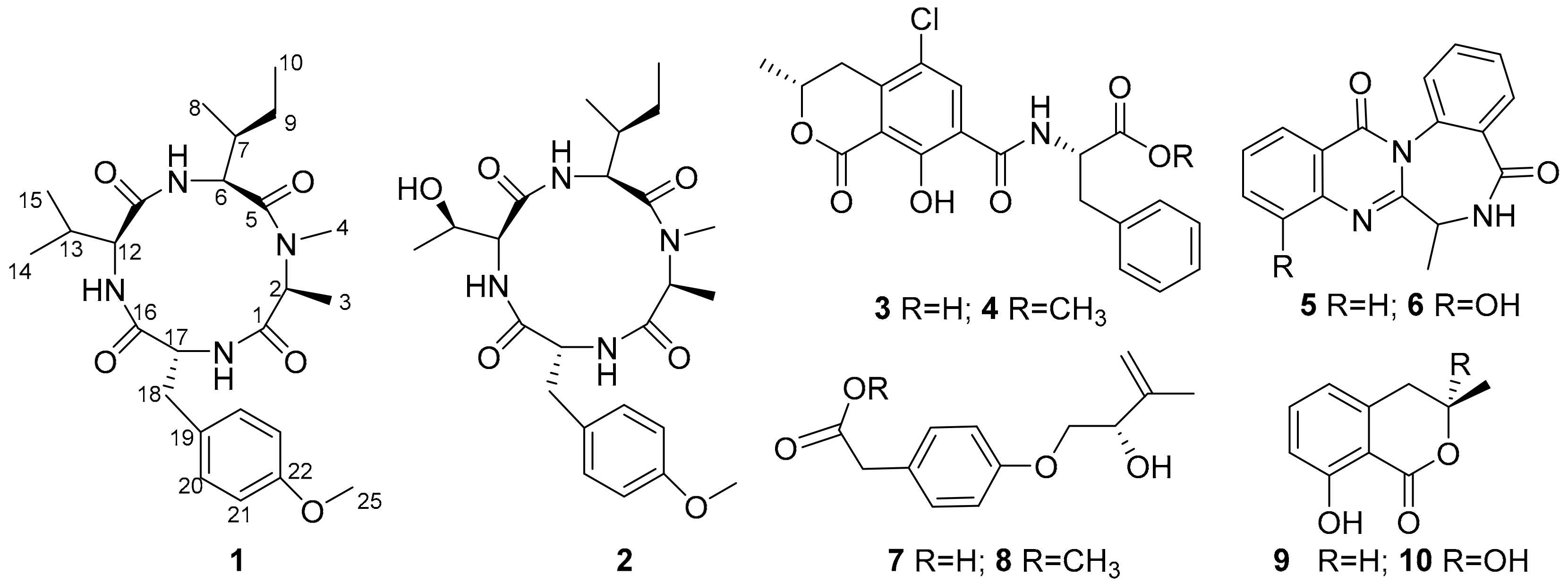
| Pos. | 1 | |||
|---|---|---|---|---|
| δC | δH (J in Hz) | HMBC | COSY | |
| N-Me-Ala | ||||
| 1 | 174.0 C | |||
| 2 | 54.7 CH | 4.69 (m) | - | |
| 3 | 17.1 CH3 | 1.43 (d, 4.3) | C1, C2 | H-2 |
| 4 | 30.9 CH3 | 3.32 (s) | C2, C5 | |
| Ile | ||||
| 5 | 171.2 C | |||
| 6 | 55.3 CH | 5.17(dd, 10.0, 7.0) | C5, C7, C11 | H-7, 6-NH |
| 7 | 37.7 CH | 2.34 (m) | C6, C8, C9 | H-6, H-8, H-9 |
| 8 | 17.6 CH3 | 1.14 overlapped | C6, C7, C9 | H-7 |
| 9 | 25.8 CH2 | 1.82 (m), 1.32 (m) | C6, C7, C10 | H-7, H-10 |
| 10 | 12.6 CH3 | 0.98 (t, 5.5) | C7, C9 | H-9 |
| 6-NH | 8.83 (d, 10.0) | H-6 | ||
| Val | ||||
| 11 | 173.0 C | |||
| 12 | 65.3 CH | 4.29 (d, 5.8) | C11, C13, C14, C15, C16 | H-13, 12-NH |
| 13 | 32.6 CH | 2.41 (m) | - | H-12, H-14, H-15, |
| 14 | 20.3 CH3 | 1.18 (d, 4.3) | C12, C13 | H-13 |
| 15 | 19.2 CH3 | 1.14 overlapped | C13 | H-13 |
| 12-NH | 7.38 (brs) | H-12 | ||
| O-Me-Tyr | ||||
| 16 | 174.1 C | |||
| 17 | 55.8 CH | 4.41 (m) | - | H-18 |
| 18 | 35.6 CH2 | 3.66 (m), 3.91 (m) | C17, C19, C20 | H-17 |
| 19 | 132.8 C | |||
| 20/24 | 132.0 CH | 7.29 (d, 6.9) | C19, C21/23, C22 | H-21/23 |
| 21/23 | 114.8 CH | 7.05 (d, 6.9) | C19, C20/24, C22 | H-20/24 |
| 22 | 159.5 C | |||
| 25 | 55.8 CH3 | 3.78 (s) | C22 | |
| 17-NH | 9.88 (brs) | |||
| Pos. | 2 | |||
|---|---|---|---|---|
| δC | δH (J in Hz) | HMBC | COSY | |
| N-Me-Ala | ||||
| 1 | 173.7 | |||
| 2 | 54.8 | 4.75 (m) | C3, C4 | |
| 3 | 17.2 | 1.46 (d, 7.3) | C1, C2 | H-2 |
| 4 | 30.9 | 3.38 (s) | C2, C5 | |
| Ile | ||||
| 5 | 171.3 | |||
| 6 | 55.7 | 5.18 (m) | C5, C7, C11 | H-7 |
| 7 | 37.6 | 2.40 (m) | C6, C8, C9 | H-6, H-8, H-9 |
| 8 | 17.8 | 1.18 (d, 6.5) | C6, C7, C9 | H-7 |
| 9 | 25.2 | 2.10 (m), 1.42 (m) | C6, C7, C10 | H-7, H-10 |
| 10 | 12.6 | 0.93 (t, 7.4) | C7, C9 | H-9 |
| 6-NH | 9.42 (br s) a | |||
| Thr | ||||
| 11 | 173.5 | |||
| 12 | 65.4 | 4.42 overlapped | C11, C13, C14, C16 | H-13, 12-NH |
| 13 | 68.1 | 4.81 (m) | - | H-12, H-14, H-15, |
| 14 | 22.3 | 1.38 (d, 6.4) | C12, C13 | H-13 |
| 12-NH | 7.38 (br s) | H-12 | ||
| O-Me-Tyr | ||||
| 16 | 174.0 | |||
| 17 | 55.8 | 4.42 overlapped | C16 | H-18 |
| 18 | 35.6 | 3.65 (m), 3.95 (m) | C17, C19, C20 | H-17 |
| 19 | 132.8 | |||
| 20/24 | 132.1 | 7.29 (d, 8.1) | C19, C21/23, C22 | H-21/23 |
| 21/23 | 114.8 | 7.06 (d, 8.1) | C19, C20/24, C22 | H-20/24 |
| 22 | 159.5 | |||
| 25 | 55.8 | 3.79 (s) | C22 | |
| 17-NH | 9.91 (br s) a | |||
| Drugs | Anti-Fungal MICs (μM) | Synergistic Anti-Fungal MICs (μM) | FICI a | Definition b |
|---|---|---|---|---|
| Rapamycin | 0.5 | - | - | - |
| 1 | >100 | 6.25 | <0.094 | S |
| 2 | >100 | 6.25 | <0.094 | S |
| Amphotericin B | 0.5 | 0.125 | 1.25 | NS |
Publisher’s Note: MDPI stays neutral with regard to jurisdictional claims in published maps and institutional affiliations. |
© 2022 by the authors. Licensee MDPI, Basel, Switzerland. This article is an open access article distributed under the terms and conditions of the Creative Commons Attribution (CC BY) license (https://creativecommons.org/licenses/by/4.0/).
Share and Cite
Han, J.; Wang, H.; Zhang, R.; Dai, H.; Chen, B.; Wang, T.; Sun, J.; Wang, W.; Song, F.; Li, E.; et al. Cyclic Tetrapeptides with Synergistic Antifungal Activity from the Fungus Aspergillus westerdijkiae Using LC-MS/MS-Based Molecular Networking. Antibiotics 2022, 11, 166. https://doi.org/10.3390/antibiotics11020166
Han J, Wang H, Zhang R, Dai H, Chen B, Wang T, Sun J, Wang W, Song F, Li E, et al. Cyclic Tetrapeptides with Synergistic Antifungal Activity from the Fungus Aspergillus westerdijkiae Using LC-MS/MS-Based Molecular Networking. Antibiotics. 2022; 11(2):166. https://doi.org/10.3390/antibiotics11020166
Chicago/Turabian StyleHan, Junjie, Hanying Wang, Rui Zhang, Huanqin Dai, Baosong Chen, Tao Wang, Jingzu Sun, Wenzhao Wang, Fuhang Song, Erwei Li, and et al. 2022. "Cyclic Tetrapeptides with Synergistic Antifungal Activity from the Fungus Aspergillus westerdijkiae Using LC-MS/MS-Based Molecular Networking" Antibiotics 11, no. 2: 166. https://doi.org/10.3390/antibiotics11020166
APA StyleHan, J., Wang, H., Zhang, R., Dai, H., Chen, B., Wang, T., Sun, J., Wang, W., Song, F., Li, E., Lyu, Z., & Liu, H. (2022). Cyclic Tetrapeptides with Synergistic Antifungal Activity from the Fungus Aspergillus westerdijkiae Using LC-MS/MS-Based Molecular Networking. Antibiotics, 11(2), 166. https://doi.org/10.3390/antibiotics11020166

