Abstract
Herein, a series of novel hybrid sulfaguanidine moieties, bearing 2-cyanoacrylamide 2a–d, pyridine-2-one 3–10, and 2-imino-2H-chromene-3-carboxamide 11, 12 derivatives, were synthesized, and their structure confirmed by spectral data and elemental analysis. All the synthesized compounds showed moderate to good antimicrobial activity against eight pathogens. The most promising six derivatives, 2a, 2b, 2d, 3a, 8, and 11, revealed to be best in inhibiting bacterial and fungal growth, thus showing bactericidal and fungicidal activity. These derivatives exhibited moderate to potent inhibition against DNA gyrase and DHFR enzymes, with three derivatives 2d, 3a, and 2a demonstrating inhibition of DNA gyrase, with IC50 values of 18.17–23.87 µM, and of DHFR, with IC50 values of 4.33–5.54 µM; their potency is near to that of the positive controls. Further, the six derivatives exhibited immunomodulatory potential and three derivatives, 2d, 8, and 11, were selected for further study and displayed an increase in spleen and thymus weight and enhanced the activation of CD4+ and CD8+ T lymphocytes. Finally, molecular docking and some AMED studies were performed.
1. Introduction
The emergence and outbreak of methicillin-resistant S. aureus (MRSA), vancomycin-resistant Enterococci (VRE), and penicillin-resistant S. pneumoniae (PRSP) made antibiotic-resistant infections a critical healthcare concern worldwide [1]. A report published by the United Kingdom government predicted that antibiotic-resistant infections will result in 10 million deaths worldwide per year by 2050 if new antimicrobial strategies are not discovered [2]. Therefore, antimicrobial resistance is a significant public health threat. Although resistance occurs naturally, the overuse and misuse of broad-spectrum antibiotics has accelerated the increase in resistance [3]. Therefore, to avoid unintentional elicitation of antibiotic resistance or disruption of microbiota, the use of a species-selective antimicrobial agent, which specifically targets and kills the disease-causing strain, has been suggested [4,5,6]. However, no new class of antibiotics has been developed for infections triggered by Gram-negative bacteria, including P. aeruginosa, in the last 40 years; in addition, most of the antibiotics in late-stage clinical development belong to existing classes of drugs against which bacterial resistance has already been observed or could easily develop [7,8]. Thus, it is essential to modify and develop potent and effective antimicrobial agents to overcome the emerging multidrug-resistant strains of bacteria and fungi [9]. Sulfa drugs are the oldest chemically synthesized antimicrobial agents, as they still are widely used today for treatment of various bacterial, protozoal, and fungal infections [10]. Sulfonamides have diverse biological activities, including antibacterial activities (by inhibition of dihydropteroate synthase (DHPS), thus inhibiting the biosynthesis of dihydro folic acid) [11], carbonic anhydrase inhibitors (CA) [12], EGFR inhibitors [13,14], insulin-release inducers [15], as well as antiviral [16], antifungal [17], anticancer [18,19], and anti-inflammatory activities [20].
Guanidines, also called carbamidines, are a significant category of compounds that occur naturally or made artificially using different methodologies, and are important for their presence in some commercially available drugs [21,22]. Guanidine moieties represented as hydrophilic functional groups are also present in the side-chain arginine amino acid, which has been observed in various enzyme active sites and motifs of cell recognition as fumarate reductase, horseradish peroxidase, and creatine kinase [23]. It was reported that molecules that contain a guanidinium scaffold (cyclic or acyclic) are considered an important therapeutic agents due to its numerous pharmacological activities as anti-diabetics (metformin and phenformin) [24,25], antibiotics (chlorhexidine, streptomycin, and trimethoprim) [26,27], antihistamines (cimetidine) [28], and serine protease inhibitors (gabexate) [29] (Figure 1). Pyridine and its fused versions can be present in a broad variety of drugs, such as milrinone [30], which is useful for the treatment of the heart; Acetylcholine [31] enhancement is useful in the treatment of Alzheimer’s disease and 4-aminopyridine derivatives reported to have anti-amnesic activity [32].
Figure 1.
Rational study design, illustrating the structure of the newly designed sulfa guanidine derivatives with representative examples for antimicrobial drugs that contain guanidine, pyridine, and sulfonamide moieties.
Furthermore, 2-pyridones represent a unique class of pharmacophores that are represented in several antibiotics and therapeutic agents [33,34,35]. Additionally, 2-pyridones are a class of recently discovered potent antibacterial agents that are of interest due to their antibacterial potency against the bacterial type II DNA topoisomerases, which contain two homologous enzymes as topoisomerase IV and DNA gyrase [36]; also, 2-oxo-pyridine derivatives are isomeric with a 4-oxopyridine bioactive core that exist in the fluoroquinolone antibiotic class as ciprofloxacin, delafloxacin, and norfloxacin [37,38]. Moreover, cyanoacetamide derivatives are versatile reagents and possess nucleophilic and electrophilic centers [39], and therefore it can be represented as polyfunctional compounds that are used for synthesis of polyfunctionalized three-, five-, and six-membered rings and condensed heterocycles [40]. Many mechanisms were reported to be a significant target for antibacterial agents. One of these targets is the DNA gyrase enzyme found in all bacterial and controls, the topological state of DNA [41,42]. Similarly, the DHFR enzyme catalyzes NADPH reduction to NADP+ by converting dihydrofolate to tetrahydrofolate, which is an essential cofactor for the biosynthesis of purine nucleotides and thymidine, as well as many amino acids, and inhibition of this enzyme disrupts DNA synthesis and cell death [43,44]. The human immune system is a systematic defensive mechanism against various infectious organisms, such as viruses, fungi, bacteria, and parasites, and the immune response from these sources can cause disease [45,46]. The host immune response involves innate immunity and adaptive immunity. Both depend on some immune organs, such as the spleen, thymus, and immune cells (natural killer cells, macrophages, splenocytes, etc.), which represent role significantly in increasing the body’s immunity [47,48]. Immunomodulation, which is very essential for healthy growth, can change and maintain the level of the immune response to a desired level [49]. Activation of T lymphocytes, natural killer, and macrophage cells mainly produce the cytokines that have immunomodulatory potential and plays a vital role in the immune response process by assisting the expulsion of abnormal cells [50]. In view of the above observations and in continuation of our program on the medicinal chemistry that demonstrated biological activity [51,52,53,54,55,56,57,58,59,60]. We report herein the synthesis of the versatile hitherto unknown 2-pyridone and chromeno-[3,4-c] pyridine derivatives containing the sulfaguanidine moiety in a single molecular framework; the rational study design is presented in Figure 1. The newly synthesized guanidine derivatives were evaluated in vitro for their antibacterial and antifungal activities, as well as DNA gyrase and dihydrofolate reductase enzymes with immunomodulatory potential. Finally, molecular docking and some ADME studies were used to explain the obtained biological data.
2. Results and Discussion
2.1. Chemistry
The synthetic strategies adopted for constructing the target molecules are illustrated in Scheme 1, Scheme 2 and Scheme 3. The starting material, N-(4-(N-carbamimidoylsulfamoyl) phenyl)-2-cyano acetamide 1, was prepared by cyanoacetylation of the sulfaguanidine with ethyl cyanoacetate in refluxing DMF. Elemental analysis and spectral data were in favor of the proposed structure. The IR spectrum of 2-cyanoacetamide derivative 1 showed absorption bands at ʋ 3441, 3336, 3232, 2264, and 1693 cm−1 due to the NH2, NH, CN, and CO groups. The 1H NMR spectrum showed a new singlet signal at δ 3.94 ppm corresponding to the methylene group, and a broad signal at δ 6.70 ppm due to four protons of the guanidine moiety. In addition, a singlet signal at δ 10.58 ppm was exchangeable with D2O for an NH proton, and two doublet signals in the region δ 7.65 and 7.72 ppm, with a coupling constant (J = 7.60 and 6.8 Hz) corresponding to the four aromatic protons. 13C NMR spectra showed two specific singlet signals, one at δ 27.38 ppm related to the methylene group and the second signal at δ 112.88 ppm for the cyano group, in addition to the presence of aromatic carbons in the region between δ 116.24 and 141.17 ppm, followed by two characteristic signals at δ 158.52 and 162.06 ppm for the C=N and C=O, respectively.
Scheme 1.
Illustrate synthesis of 2-cyanoacetamide derivative 1 that contains the sulfonyl guanidine moiety and its reaction with a different aldehyde or arylidine to synthesize the acrylamide 2a–d and pyridine-2-one 3a–d derivatives.
Scheme 2.
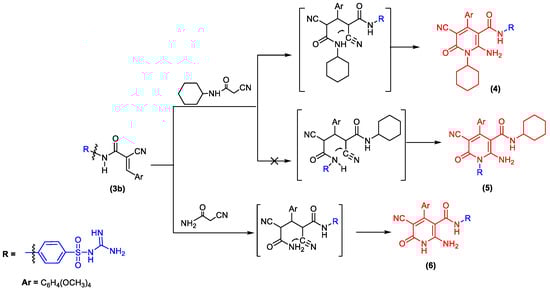
Suggested pathway to produce 6-amino pyridine-2-one derivatives 4, 6 via Michael addition of the 2-cyanoacrylamide 2b derivative.
Scheme 3.
Synthesis of the new pyridine and chromene-3-carboxamide derivatives containing the sulfaguanidine moiety.
Knoevenagel condensation of the 2-cyanoacetamide derivative 1, with aromatic aldehydes in the ethanolic piperidine under reflux conditions, furnished the corresponding acrylamide derivatives 2a–d in good yield. The structure of acrylamide derivatives 2a–d was an assignment based on their elemental and spectral data. The infrared spectrum of compound 2b showed characteristic bands at ʋ 3360, 3309, 3206, 2222, and 1693 cm−1 assigned for the NH2, NH, CN, and C=O groups. The 1H NMR spectrum (DMSO-d6) of these compounds revealed two singlet signals at δ 3.89 and 8.25 ppm attributed to OCH3 and the methylinic proton (CH=). Furthermore, the four guanidine protons that appear as a broad signal at δ 6.74 ppm and four doublet signals between 7.19 and 8.04 ppm are attributed to eight aromatic protons, with a coupling constant (J) from 8.0 to 8.8 Hz. Its 13C NMR spectra afforded a new characteristic signal at δ 56.16 for the methoxy group and signals at δ 115.00, 158.56, and 163.35 ppm due to the CN, C=NH, and C=O carbons, respectively, beside signals between δ 115.42 and 151.36 ppm for the aromatic carbons.
Ternary condensation of cyanoacetamide derivative 1, aromatic aldehyde, and malononitrile in an equimolar molar ratio (1:1:1) in basic ethanol (ethanol containing three drops of piperidine) afforded the 2-pyridone derivatives 3a–d. The structure of the newly designed 2-oxopyridine derivatives 3a–d was elucidated based on its analytical and spectral data. The structure of 2-oxopyridine derivatives 3a–d was chemically confirmed by treating 2-cyanoacrylamide 2a–d with malononitrile under reflux conditions and in the presence of piperidine as a catalyst (Scheme 1). Furthermore, the reaction of acrylamide derivative 2b with 2-cyano-N-cyclohexyl acetamide in ethanolic piperidine afforded creating a product where its structure should be either 4 or 5. The structure of the product was assigned as the pyrid-2-one derivative 4 rather than 2-amino-6-oxo-pyridin-3-carboxamide derivative 5, where the formation of compound 4 is assumed to take place by an initial Michael addition of the active methylene to the double bond followed by cyclization through the addition of an NH of aliphatic acetamide to the cyano group. Finally, proton shifts occur to yield 2-aminopyridin-6-one derivative 4.
Similarly, 2-amino-N-(4-(carbamimidoylsulfamoyl) phenyl)-5-cyano-4-(4-methoxyphenyl)-6-oxo-1,6-dihydropyridine-3-carboxamide 6 was prepared through the reaction of compound 2b with cyanoacetamide in refluxing ethanol containing piperidine as catalyst (Scheme 2). The assignment of the structure of these derivatives was based on analytical and spectroscopic data. Thus, its IR spectrum of compound 6 displayed absorption bands at ʋ 3441, 3336, and 3232 cm−1 assignable to the NH2 and NH groups in addition to two bands at ʋ 2214 and 1689 cm−1 related to CN and carbonyl groups, respectively. Further, the 1H NMR spectrum of 6-aminopyridin-2-one derivative 6 was characterized by the existence of a methoxy group as a singlet signal at δ 3.89 in addition to the guanidine protons (NH2 + 2NH) at 6.71 ppm, as well as eight aromatic protons ranging between δ 7.20 and 8.50 ppm and two NH groups at δ 8.25 and 10.57 ppm. While, the 1H NMR spectrum of pyridine-2-one derivative 4 exhibited a three new singlet signals at δ 1.25, 2.75, and δ 2.90 ppm, attributed for five CH2 groups of the hexyl moiety. In the 13C NMR spectra of 6-aminopyridin-2-one derivative 4, we observed new signals at δ 29.50, 31.25, and 36.28 ppm for the hexyl moiety, besides methoxy, CH-pyridine and two carbonyl groups, at δ 56.17, 62.59, 162.84, and 163.37 ppm, respectively.
The reactivity of cyanoacetamide derivative 1 towards some active methylene reagents was investigated. Thus, N-carbamimidoyl-4-(4,6-diamino-3-cyano-2-oxopyridin-1(2H)-yl) benzene-sulfonamide (7) was prepared by treating of cyanoacetamide derivative 1 with malononitrile in a molar ratio of 1:1. The structure of diamino-2-oxopyridine derivative 7 was confirmed based on its elemental analysis and spectral data. The formation of diamino pyridine derivative 7 is assumed to proceed via the Michael addition of cyanoacetamide derivative 1 to the cyano group of malononitrile to form the acyclic Michael adduct, followed by in situ cyclization to the pyridin-2-one skeleton. The IR spectra of pyridine derivative 7 revealed an abroad absorption band at ʋ 3410, 3332, and 3224 cm−1 besides bands at ʋ 2214 and 1651 cm−1 for the amino and imino (NH2 and NH), CN, and carbonyl groups, respectively. At the same time, 1H NMR spectra demonstrated three singlet signals at δ 4.13, 7.36, and 7.53 ppm, related to the CH- of pyridine and two amino groups at position four and six in the pyridine ring as well as both aromatic and guanidine protons. 13C NMR spectra also displayed signals at δ 71.37, 89.32, 114.98, 159.36, 170.80, and 162.02 ppm for CH-pyridine, the carbon of pyridine attached to the nitrile group, cyano, and the carbon-holding amino and carbonyl group, respectively.
Furthermore, cyclo-condensation of cyanoacetamide derivative 1 with acetylacetone furnished N-carbamimidoyl-4-(3-cyano-4,6-dimethyl-2-oxopyridin-1(2H)-yl) benzenesulfonamide 8 via intramolecular hetero cyclization by loss of water molecule. Analytical and spectroscopic data can provide a reaction product. The IR spectrum showed the appearance of absorption bands ʋ 3464, 3425, 3194, 2218, and 1651 cm−1, corresponding to the NH2, NH, CN, and CO groups, respectively. Its 1H NMR spectrum exhibited two additional singlet signals at δ 1.99 and 2.41 ppm, assignable to the protons of two methyl groups in the pyridine ring and a singlet signal at δ 6.51 ppm attributed to pyridine-H5; also, its 13C NMR afforded two additional signals at δ 21.16, 21.98 ppm due to two methyl carbons. Condensation of 4,6-diethyl-2-oxopyridine derivative 8 with aromatic aldehydes, such as p-chlorobenzaldehyde and p-anisaldehyde, afforded the corresponding styryl derivatives 9a, b based on the elemental and spectral analyses. The 1H NMR spectrum of compound 9b revealed the absence of a methyl signal at δ 1.99 ppm and the presence of five significant signals at δ 2.41, 3.84, 7.12, 7.26, and 6.49 ppm due to the methyl and methoxy protons and two singlet signals for the styryl moiety (2 CH=CH), as well as pyridine-H5. Furthermore, its 13C NMR exhibited four signals for the CH3, OCH3, CN, and carbonyl groups at δ 22.25, 55.88, 114.99, and 162.81 ppm, respectively (Scheme 3).
A Gewald reaction of the activated methyl pyridone derivative 8 with elemental sulfur in EtOH/DMF, containing triethylamine as a basic catalyst, led to the formation of a product that was formulated as 4-(3-amino-6-methyl-4-oxothieno[3,4-c] pyridin-5(4H)-yl)-N-carbamimidoylbenzenesulfon-amide 10. The structure of the prepared compound was elucidated based on elemental analysis and spectral data. IR spectrum of thieno[3,4-c] pyridine derivative 10 displayed bands at ʋ 3433, 3286, 3232, and 1668 cm−1, related to the (NH2 + NH) and carbonyl groups, beside the absent band for the cyano group. The 1H NMR spectrum of compound 10 was characterized by the existence of a singlet signal for thiophene-H at δ 7.96 ppm in addition to pyridine-H and a methyl group at δ 6.50 and 2.41 ppm, respectively. Its 13C NMR showed signals at δ 21.15, 160.47, 160.90, and 162.83 ppm due to the methyl, carbon of imino (C=NH), carbonyl, and carbon attached to the amino and sulfur in the thiophene ring.
Furthermore, condensation of cyanoacetanilide derivative 1 with salicylaldehyde using ammonium acetate as a catalyst gave N-(4-(N-carbamimidoylsulfamoyl) phenyl)-2-imino-2H-chromene-3- carboxamide 11 on the bases of elemental analyses and spectral data. The resulting chromene derivative 11 has latent functional constituents, which have the potential for further chemical transformations that give new routes for the preparation of substituted, polycondensed chromene derivatives. The reaction of chromene 11 with malononitrile in refluxing DMF/ethanol containing a catalytic amount of piperidine furnishes the novel chromeno[3,4-c] pyridine derivative 12 in a good yield. The molecular structure of 12 was established through analytical and spectral data. Its infrared spectrum showed absorption bands at ʋ 3441, 3348, 3238, 3182, 2202, and 1662 cm−1 due to the NH2, NH, CN, and C=O functional groups, respectively; also, its 1H NMR and 13C NMR agree with the proposed structure (Scheme 3). The 1H NMR spectra of chromeno[3,4-c] pyridine derivative 12 exhibited the disappearance of two singlet signals for the CH-4 of chromene and the NH of amide, which appears as downfield of the chromene-3-carboxamide derivatives 11. Besides, the appearance of new signals related to the amine group with guanidine protons was confirmed by increasing the integration of protons at δ 6.74 ppm to six instead of four.
2.2. Biological Activity
2.2.1. Antimicrobial Activity with Structure Activity Relationship (SAR) Study
The newly designed and modified sulfaguanidine derivatives 2a–d, 3a–d, 4, 6, 7, 8, 9a, b, 10, 11, and 12 were screened in vitro for their antimicrobial activity against six bacterial strains and two fungal pathogens. The antimicrobial activity results are described in Table 1, which were obtained by measuring the inhibition zone (mm) with the conventional paper disk diffusion method according to reported methods [61,62,63]. Tetracycline and amphotericin B were used as the positive controls, with a significantly sized inhibition zone against all the tested pathogens.
Table 1.
In vitro antimicrobial activity of the synthesized compounds with the mean diameter of the inhibition zone (mm).
As represented in Table 1, there were some interesting SAR study observations, such as where the guanidine derivatives possessed antimicrobial activity varying from 12 ± 0.20 to 33 ± 0.53 mm against all the tested microorganisms. Firstly, the 2-cyanoacrylamide derivatives 2a–d exhibited good to promising activity and the order of activity can be presented as follows: 2d > 2a > 2b > 2c. Additionally, for the antibacterial strains, it was found that 3-(3-hydroxy-4-methoxyphenyl)-acrylamide derivative 2d showed higher activity than 3-(4-methoxyphenyl)acrylamide derivative 2b and 3-(4-chlorophenyl)acrylamide derivative 2a, with the inhibition zone ranging between 27 ± 0.73 to 33 ± 0.53, 23 ± 0.20 to 25 ± 0.87, and 21 ± 0.2 to 27 ± 0.5 mm, respectively. While, replacement of the methoxy group in acrylamide derivative 2b with the hydroxyl group 2c did not enhance the activity within the inhibition zone (IZ) (17 ± 0.24 to 21 ± 0.85 mm) compared to tetracycline (20 ± 0.50 to 25 ± 0.22 mm).
Furthermore, the reaction of acrylamide derivative 2a–d with malononitrile causes cyclization to produce 3,5-dicyano pyridine-2-one derivatives 3a–d. It is interesting to note that the 3,5-dicyano pyridine-2-one with 4-chlorophenyl in position four of pyridine derivatives 3a showed broad and higher activity than 3-(4-chlorophenyl) acrylamide derivative 2a and higher than any 3,5-dicyano pyridine-2-one derivatives 3b–d, with an inhibition zone (IZ) between 18 ± 0.16 and 31 ± 0.40 mm. Similarly, pyridine-3-carboxamide derivatives 4 and 6 showed moderate activity. However, the presence of an N-cyclohexyl group in position one increased the activity from 23 ± 0.22 to 25 ± 0.35 mm for the Gram-positive strains and from 23 ± 0.74 to 27 ± 0.30 mm for the Gram-negative strains. Besides, N-hydropyridine-3-carboxamide derivative 6 demonstrated an IZ from 16 ± 0.54 to 18 ± 0.12 mm and 12 ± 0.61 to 15 ± 0.96 mm respectively. N-cyclohexyl pyridine-3-carboxamide derivative 4 exhibited no activity to the S. typhi strain, while pyridine-3-carboxamide derivative 6 showed no growth against E. faecalis and P. aeruginosa.
Our study extended to study the different substituents’ effect in positions four and six on pyridine-2-one derivatives 7 and 8 as the methyl and amino groups. From the obtained data, it is clear that 4,6-dimethyl pyridine-2-one derivative 8 advertised higher activity than diamino derivative 7, with an inhibition zone (IZ) from 23 ± 0.14 to 27 ± 0.50 mm compared to tetracycline (25 ± 0.22 to 20 ± 0.5 mm). The reaction of the methyl group at position four of 4,6-dimethyl pyridine-2-one derivative 8 to form 4-(arylstyrenyl) pyridine-2-one derivative 9a, b, or the condensed pyridine structure as theino[3,4-c] pyridine derivative 10, did not lead to an improvement in antimicrobial activity but displayed moderate activity and less than the parent structure 8. Replacement of the pyridine nucleus with the pyrane moiety in 2-imino chromen-3-carboamide derivative 11 displayed a significant antibacterial activity with an IZ of 28 ± 0.11, 24 ± 0.29, and 29 ±0.54 mm and 25 ± 0.43, 24 ± 0.13, and 18 ± 0.36 mm for the Gram-positive bacteria. Besides, for the Gram-negative bacterial strains used in this study, introducing the pyridine nucleus into the chromene derivative led to decreased activity, as observed in the activity of the chromeno[3,4-c] pyridine derivative 12.
For the antifungal activity determined against yeast strains C. albicans and F. oxysporum, most of the synthetized compounds showed moderate to good activity, with six derivatives (3b, 3d, 4, 7, 9a, and 12) that had no activity against F. oxysporum. Furthermore, six derivatives (2a, 2d, 3a, 3c, 8, and 11) were the most active compounds and displayed a higher or equipotent inhibition zone that ranged between 22 ± 0.21 and 27 ± 0.5 mm for C. albicans, and exhibited an IZ from 18 ± 0.45 to 22 ± 0.11 mm for F. oxysporum in comparison to the amphotericin B as a positive control (22 ± 0.2 and 18 ± 0.32 mm) against the two fungal strain respectively.
Finally, it is noteworthy to mention that modification of sulfaguanidine with pyridine derivative (3a, 8), acrylamide derivatives (2a, 2b, and 2d), and chromene-3-carboxamide derivative 11 exhibited an improvement in antimicrobial activity, with a significant inhibition zone.
2.2.2. Minimal Inhibitory/Bactericidal Concentrations (MIC) and (MBC)
Depending on the antimicrobial screening, six N-carbamimidoylsulfamoyl derivatives (2a, 2b, 2d, 3a, 8, and 11) were evaluated for their MIC and MBC, as described in Table 2 and expressed in µM. The selected molecules exhibited excellent antibacterial activity against all the tested strains, where the most promising designed compounds displayed MIC values ranging between 4.69 and 156.47 µM and MBC values from 4.66 µM to 219.88 µM against Gram-positive bacteria, in comparison to the tetracycline MIC values (70.31–140.63 µM) and MBC values (91.40–210.9 µM). Additionally, the MBC/MIC ratio values of nearly 2 proved that these compounds showed bactericidal properties, according to the Clinical and Laboratory Standards Institute (CLSI) standards and reported studies [61,64,65].
Table 2.
In vitro antibacterial activity (minimal inhibitory/bactericidal concentrations, MIC and MBC), expressed in µM, for the potency derivatives.
Compound 2d, having the 3-(3-hydroxy-4-methoxyphenyl) acrylamide derivative, presented the most active derivatives against B. subtilis and E. coli, with MIC and MBC values of 4.69 and 9.38 µM and 2.33 and 4.66 µM, respectively. Furthermore, 6-amino-4-(4-chlorophenyl)-3,5-dicyanopyridin-2-one derivative 3a exhibited the second most promising derivatives against the B. subtilis and E. coli strains, with MIC values of 9.61 and 16.69 µM and MBC values of 19.60 and 30.02 µM, compared with tetracycline (MIC = 70.31 and 35.14 µM and MBC = 91.40 and 42.16 µM, respectively). Moreover, 4,6-dimethyl pyridine-2-one derivative 8 displayed the most active derivative against S. aureus, with MIC and MBC values of 5.64 and 10.71 µM, respectively. Furthermore, both 2-cyano acrylamide derivative 2d and 3,5-dicyano pyridine-2-one derivative 3a showed MIC values of 13.40 and 16.69 µM and MBC values of 13.40 and 33.38 µM, as well as all the tested derivatives that observed activity MIC values less than the standard positive control; also, 3,5-dicyano pyridine-2-one 3a still had the most active derivative against E. faecalis, with a MIC value of 8.33 µM and MBC value of 15.83 µM, while tetracycline showed values of 140.6 and 210.9 µM for MIC and MBC, respectively, followed by 2-cyanoacrylamide derivative 2d and then dimethyl pyridine-2-one derivative 8.
For Gram-negative bacteria, the most active derivatives were found to be most effective against the three tested strains (E. coli, P. aeruginosa, and S. typhi), with MIC values ranging between 2.33 and 137.43 µM and MBC values between 4.66 and 171.89 µM, compared to those of tetracycline (MIC = 35.14–140.6 µM and MBC = 42.16–196.89 µM). Except for 2-cyano-3-(4-methoxyphenyl) acrylamide 2b and 3-(4-chlorophenyl)-2-cyanoacrylamide 2a, for which we observed higher MIC and/or MBC values against the tested strains.
Finally, regarding the most promising activity, derivatives 2a, 2b, 2d, 3a, 8, and 11 were revealed to be the best in inhibition of the growth of bacteria, with low MIC and MBC values. These values showed that the sulfonamide derivatives exhibited bactericidal activity depending on the MBC/MIC ratio ranging between 1 and 2. Furthermore, it seems that the tested derivatives are the most potent against Gram-positive strains, and the order of antibacterial activity is as follows: 2d > 3a > 8 > 11 > 2b > 2a.
2.2.3. Minimal Inhibitory/Fungicidal Concentrations (MIC) and (MFC)
Similarly, the minimal inhibitory concentration (MIC) and minimal fungicidal concentration (MFC) were determined against a panel of fungal strains in Table 3 and expressed in µM. Among the promising derivatives, only two derivatives, 3-(3-hydroxy-4-methoxyphenyl) acrylamide derivative 2d and 3,5-dicyanopyridin-2-one derivative 3a, appeared to be sensitive against both C. albicans and F. oxysporum, while the other four derivatives, 2a, 2b, 8, and 11, were the most resistant.
Table 3.
In vitro antifungal activity (minimal inhibitory/fungicidal concentration, MIC and MFC), expressed in µM, of the most promising derivatives against two fungal strains.
Compound 3a displayed the most potency with MIC (16.69, 33.38 µM) and MFC (26.69, 56.74 µM) values nearly to the positive control amphotericin B (MIC = 16.81, 33.63 µM and MFC = 37.26, 70.62 µM). While, compound 2d observed a slightly elevated MIC (18.80, 37.60 µM) and MFC (37.60, 66.84 µM) against C. albicans and F. oxysporum, respectively.
Finally, all the promising derivatives indicated moderate to good antifungal activity, especially 2-cyano acrylamide derivative 2d and another 3,5-dicyanopyridin-2-one derivative 3a, which appeared to be the two most active derivatives. Besides, all the newly designed compounds showed MFC/MIC ratios between 1 and 2, proving that these derivatives have fungicidal activity.
2.2.4. Multidrug-Resistant Bacteria (MDRB) Study
The potential of the newly designed N-carbamimidoylsulfamoyl derivatives 2a, 2b, 2d, 3a, 8, and 11 encouraged us to evaluate its activity against MDRB, namely S. aureus ATCC 43300, S. aureus ATCC 33591, E. coli ATCC BAA-196, and P. aeruginosa ATCC BAA-2111). As described in Table 4 and Table 5, the most active compounds exhibited a good inhibition zone (mm) with moderate to potent activity against the MDRB strains, showing MIC values ranging between 4.69 and 40.52 µM and MBC values between 8.19 and 81.08 µM compared to norfloxacin (MIC = 2.44–9.80 µM and MBC = 4.38–16.65 µM).
Table 4.
In vitro antibacterial activity by inhibition zone (IZ) of the most potent compounds against multidrug-resistant bacteria (MDRB).
Table 5.
In vitro antibacterial activity of the most promising sulfonamide derivatives, 2a, 2b, 2d, 3a, 8, and 11, expressed in µM, against the multidrug-resistant strains (MDRS).
Among all the tested compounds, two derivatives, 2d and 3a, demonstrated the strongest inhibition activity, with MIC values of 4.69–9.38 µM and 8.33–16.69 µM, as well as MBC values of 9.38–18.77 µM and 14.23–33.38 µM, respectively. In the same way, compounds 2b, 2d, and 3a were found to be best against P. aeruginosa, with MIC values (9.38, 9.38, and 9.48 µM) and MBC values (18.77, 18.77, and 14.23 µM) that are lower or slightly close to those of norfloxacin (MIC = 9.80 µM and MBC = 16.65 µM). Scientifically, 3-(substituted-aryl) acrylamide derivative 2b and 2d showed broad-spectrum activity against especially E. coli as compared to norfloxacin, with MIC values of 4.69, 4.69, and 4.91 µM and MBC values of 9.38, 9.38, and 8.32 µM), respectively. This activity might due to increasing electron contributing groups (OH, OMe) in the aryl group rather than another derivative from 2-cyanoacrylamide 2a. Alternatively, an electron-withdrawing group, such as the chloro group in the phenyl ring and cyano in 6-amino-3,5-dicyanopyridin-2-one derivative 3a, enhanced the antibacterial activity, which was still less than acrylamide derivative 2d but higher than dimethylpyridine-2-one 8 and chromene-3-carboxamide derivative 11.
Finally, the most promising derivatives exhibited good activity against the MDRB strains used in this study, and according to the Clinical and Laboratory Standards Institute (CLSI) standards [66,67], these derivatives shown bactericidal potential.
2.2.5. In Vitro S. aureus DNA Gyrase and E. coli DHFR Enzymatic Assay
The most promising derivatives containing N-carbamimidoylsulfamoyl derivatives 2a, 2b, 2d, 3a, 8, and 11 were evaluated to explore the antibacterial mechanism of hybrids series for their inhibitory activity against in vitro S. aureus DNA gyrase and E. coli DHFR (dihydrofolate reductase) assays, with ciprofloxacin and trimethoprim as the positive control, respectively.
As described in Table 6 and Figure 2, in vitro S. aureus DNA gyrase inhibitory capacity expressed by (IC50 µM) was firstly assessed for the most promising guanidine derivatives and displayed moderate to potent inhibitory activity, with IC50 values ranging between 18.17± 1.18 and 39.41 ± 1.15 µM as compared to the positive control ciprofloxacin (IC50 = 26.32 ± 1.76 µM). Compound 2d, having an acrylamide derivative containing in position three aryl groups as 3-hydroxy-4-methoxyphenyl, has shown excellent inhibitory activity and found to be the most promising derivative (IC50 = 18.17 ± 1.18 µM), while exchanging this aryl with other aryl groups as 4-chlorophenyl or 4-methoxyphenyl in 2a and 2b showed less activity (IC50 = 23.87± 1.22 and 29.14 ± 1.93 µM). Notably, 6-amino-4-(4-chlorophenyl)-3,5-dicyanopyridin-2-one derivative 3a discovered the second inhibitory potency derivatives (IC50 = 21.97± 1.35 µM), with a nearly 1.19-fold higher value than for ciprofloxacin. Furthermore, 4,6-dimethyl pyridine-2-one (containing a methyl group in position four instead of an aryl as well as a methyl group rather than the amino group in position six) derivative 8 and 2-imino-2H-chromene-3-carboxamide (containing a chromone moiety instead of a pyridine nucleus) derivative 11 exhibited the least inhibition towards S. aureus DNA gyrase in comparison to the other tested derivatives.
Table 6.
Determination of the enzyme assay of the most promising compounds against both S. aureus DNA gyrase and E. coli DHFR inhibitory activity.
Figure 2.
Graphical representation of the in vitro S. aureus DNA gyrase and E. coli DHFR enzymatic assay IC50 (µM) of the most promising derivatives compared to ciprofloxacin and trimethoprim.
To explain the antimicrobial activity and investigate another mechanism, the most active derivatives were assayed against in vitro E. coli DHFR, with the IC50 values expressed in (µM). The target compounds 2a, 2b, 2d, 3a, 8, and 11 displayed IC50 values in lower micromole between 4.33 ± 0.18 and 17.64 ± 0. 54 µM. Notably, both 2-cyanoacrylamide 2d and 3,5-dicyanopyridin-2-one derivative 3a showed the most promising derivatives, with inhibitory concentrations (IC50 µM) of 4.33 ± 0.18 and 5.44 ± 0.95 µM (1.19- and 0.94-fold increases), respectively. Trimethoprim was used as a standard DHFR inhibitor (IC50 values of 5.16 ± 0.12 µM). Further, the sensitivity of the most promising activity to S. aureus DNA gyrase and E. coli DHFR have an order 2d > 3a > 2a >2b > 8 > 11.
Finally, it can conclude that sulfaguanidine’s hybridization enhances the antimicrobial activity (MICs and MBCs values), with a lower micromole, especially in hybrids with some acrylamide or pyridin-2-one derivatives and those having a specific substituent, as shown in both 2d and 3a. Moreover, the most promising derivatives with the guanidine-sulfonyl moiety as a sidechain core indicated that they could inhibit bacterial growth through different mechanisms. Significantly, the antimicrobial activity depended on the nature of the design and the hybrid’s core, and the aromatic moiety.
2.2.6. Immunomodulatory Activity
In Vitro Intracellular Killing Activities
One of the broad methods used for determining immune disorders for patients in hospitals is the NBT test to measure their immune responses. The reduction in NBT dye provides information about the phagocytic and intracellular killing functions of neutrophils, which are important for microbiocidal activity [68]. The most promising derivatives (2a, 2b, 2d, 3a, 8, and 11) were evaluated against in vitro intracellular killing activities using a nitro blue tetrazolium (NBT) reduction assay and the obtained results expressed in percentage (%): increasing the percentage led to an improvement in the killing ability of the neutrophils used as innate immunity.
As represented in Table 7, intracellular killing activities displayed potency as an immunomodulatory agent with a percentage of 82.8 ± 0.37 to 142.4 ± 0.98. Remarkably, 3-(3-hydroxy-4-methoxyphenyl) acrylamide derivative 2d showed the highest and most promising immunomodulatory action by killing activities (142.4 ± 0.98%), and the activity dramatically decrease in order of 8 > 11 > 3a > 2b > 2a.
Table 7.
Intracellular killing activities of the most promising derivatives.
In Vivo Immunomodulatory Investigation
Depending on NBT assay, our work extended to study the effect of the most active three derivatives (2d, 8, and 11) on the in vivo immunomodulatory investigations and determining their effect on the immune organs, the thymus and spleen. Both the spleen and thymus have important antibacterial and fungal immune organ responses, and any change in weight, and indexes can reflect the level of immune regulation [47,69]. Additionally, the relative spleen and thymus indexes are important indices for nonspecific immunity and potential immunomodulatory compounds that increase the spleen and thymus weight. This increase is due to immune cells’ stimulation in the spleen and thymus [70,71,72].
The effect of 3-(3-hydroxy-4-methoxyphenyl) acrylamide derivative 2d, 4,6-dimethyl pyridine-2-one derivative 8, and 2-imino-2H-chromene-3-carboxamide derivative 11 on spleen and thymus weight and other indices are presented in Table 8, compared to the normal values and vitamin C as the positive control. Our study displayed that the promising three derivatives (2d, 8, and 11) exhibited a significant increase in spleen and thymus weight (p ≤ 0.05) compared to the normal control and nearly positive control. The 2-cyano-acrylamide derivative 2d demonstrated an increase in spleen and thymus weights (250 ± 0.03, 15.56 ± 0.54 mg) compared to the normal (90 ± 0.02, 19.63 ± 0.35 mg) and nearly to vitamin C, with 260 ± 0.028 and 17.2 ± 0.31 mg, as well as slightly decreased spleen and thymus indices (0.018 ± 0.00 and 0.532 ± 0.06 mg/g) in comparison to the positive control (0.019 ± 0.00 and 0.633 ± 0.06 mg/g). Although, pyridine-2-one derivative 8 and 2-imino-2H-chromene-3-carboxamide derivative 11 showed good indexed results compared to the normal and positive control. Moreover, acrylamide derivative 2d showed the highest spleen and thymus indexed values among the tested compounds. Finally, it can be concluded that the three derivatives have immunomodulatory potential.
Table 8.
Effect of the most promising three derivatives, 2d, 8, and 11, on immune organ indices.
Activation of immune cells as CD4+ and CD8+ T cells is one possible mechanism of a drug’s immune stimulus activity. An increase in these cells is thought to be a good indicator of an active immune response to infections [73]. So, our work extended to study the effect of the most promising derivatives (2d, 8, and 11) on T lymphocyte subsets (CD4+ and CD8+) from peripheral blood, and determined the relative level in model mice that analyzed by flow cytometry after the period of treating.
As represented in Table 9, there is diversity in the percentage of CD4+ and CD8+. 2-Cyano acrylamide derivative 2d, having an aryl group with electron-rich hydroxy and methoxy groups, showed the highest percentage, 79.61 ± 0.3. While, 2-imino-2H-chromene-3-carboxamide derivative 11 exhibited the lowest values, 75. 20 ± 0.97%, compared to the positive control, with a 76.74 ± 0.7% ratio for the T lymphocyte subsets CD4+.
Table 9.
Effect of the most promising three derivatives (2d, 8, and 11) on the T lymphocyte population.
Similarly, the percentage of CD8+ T lymphocytes for the tested derivative ranged between 18.44 ± 0.2 and 27.05 ± 0.5. The acrylamide derivative 2d displayed the highest percentage, 27.05 ± 0.5, and pyridine-2-one derivative 8 had the lowest value, 18.44 ± 0.2%, compared to the positive control (19.62 ± 0.21%). Finally, this increase and decrease in the percentage of the two T lymphocyte subsets suggested that the newly designed compounds 2d, 8, and 11 could enhance the stimulation and activation of CD4+ and CD8+ T lymphocytes, suggesting the T lymphocytes as a possible mechanism.
2.3. In Silico Studies
2.3.1. Prediction of Some Physicochemical, Pharmacokinetic, and Toxicity Properties
Physicochemical properties are a widely recognized tool for designing bioavailable drugs and many efforts to assess drug "developability’’ depend on the calculated and measured physicochemical parameters [74]. As described in Table 10, some of the molecular properties for the most promising derivatives, 2a, 2b, 2d, 3a, 8, and 11, were calculated using the Swiss ADME tool (http://swissadme.ch/index.php (accessed on 21 October 2020)), as described in previously reported methods [59], to evaluate the drug-likeness properties. All the most active derivatives were found to have a number of rotatable bonds, a hydrogen bond acceptor and donor, as well as molecular weight and lipophilicity properties (MLogP), with the criteria limitation of Lipinski’s rule without any violation. These derivatives are suggested to have oral bioavailability properties. Similarly, three pharmacokinetic items were selected to be determined in our study, which are known as the blood–brain barrier (BBB) permeation, gastrointestinal absorption (GI), and permeability glycoprotein (P-gp). The designed compounds exhibited lower gastrointestinal absorption (GI) without blood–brain barrier (BBB) permeation and a non-substrate of the permeability glycoprotein (P-gp).
Table 10.
In silico physicochemical properties of the newly designed sulfaguanidine derivatives as well as standard drugs.
Furthermore, toxicity prediction is very important in the drug design process, because it makes it safer, more timely, cost less money, and reduces the number of animals for experimental purposes [75]. In our study, the most active six derivatives, 2a, 2b, 2d, 3a, 8, and 11, were evaluated against some toxicity items, such as the AMES toxicity, carcinogens, and acute oral toxicity category, using the admetSAR online program (http://lmmd.ecust.edu.cn/admetsar1/predict/ (accessed on 21 October 2020)). As represented in Table 11, the toxicity web tool admetSAR-predicted results, the promising derivatives revealed non-carcinogens and non-AMES toxicity, and all derivatives belonging to category III in acute oral toxicity observed LD50 values greater than 500 mg/kg but less than 5000 mg/kg; also, trimethoprim showed an acute oral toxicity category IV that displayed LD50 values greater than 5000 mg/kg. This web tool classified acute oral toxicity, depending on the LD50 values, into four categories based on the criterion of the US EPA. Further, ciprofloxacin demonstrated AMES toxicity, and both the standard drugs exhibited non-carcinogenic chemicals.
Table 11.
In silico some pharmacokinetic properties and toxicity prediction of the most promising sulfaguanidine derivatives as well as standard drugs.
2.3.2. Molecular Docking Studies
According to the antimicrobial results, the most active compounds (2a, 2b, 2d, 3a, 8, and 11) were selected for molecular modeling simulation into DNA gyrase (PDB: 2XCT) and DHFR (PDB: IDLS) to investigate and understand the binding mode. As shown in Table 12, all docked compounds fitted well in the binding cavity of both the DNA gyrase and DHFR active sites and exhibited interaction, especially hydrogen bonding, arene–arene interactions, and arene–cation interactions. The molecular docking study was performed using Molecular Operating Environment software 10.2008 (MOE), Chemical Computing Group Inc., Montreal, Quebec, Canada.
Table 12.
Molecular modeling study of the most promising derivatives 2a, 2b, 2d, 3a, 8, and 11 against DNA gyrase (PDB: 2XCT) and DHFR (PDB: IDLS).
As described in Table 12, the docking results observed a binding energy nearly or equal to the standard drugs. Firstly, analysis of the docking score energy (S) of the promising compounds inside the active site of DNA gyrase (PDB: 2XCT) exhibited that these derivatives had a comparable docking score energy, ranging between −15.98 and 21.67 Kcal/mol compared with ciprofloxacin (−9.87 Kcal/mol). The ciprofloxacin formed one hydrogen bond donor between the Thr580 and NH of the piperazine addition to the hydrogen bond acceptor between His1081 and oxygen of the carboxylate, with a bond length and strength of 2.6 °A (46%) and 2.3 °A (37%), respectively. The docking score of the most promising derivatives can be arranged in order 2d > 3a > 2a > 8 > 2b > 11 (see all figures of the docking study in the Supplementary Material).
For the guanidine derivative that has 3-(3-hydroxy-4-methoxyphenyl) acrylamide derivative 2d, the lowest docking score energy was observed (S = −21.67 Kcal/mol), and considered the best compound in the active binding site of S. aureus DNA gyrase. This compound can form four side-chain hydrogen bond acceptors, or between His1079, Lys1043, Ser1173, and Gln1267 with the oxygen of sulfonyl, oxygen of acetamide, the phenolic hydroxy group of aldehyde and oxygen of methoxy group, respectively, with a bond length ranging between 2.5 and 2.8 °A and a strength varying from 24 to 66%; also, the phenyl of the aldehyde derivative formed an arene–cation with Arg1092 (Figure 3a).


Figure 3.
(a) 2D and 3D structure of compound 2d inside the active site DNA gyrase (2XCT). (b) 2D and 3D structure of compound 3a inside the active site DNA gyrase (2XCT). (c) 2D and 3D structure of compound 2a inside the active site DHFR (1DLS). (d) 2D and 3D structure of compound 2d inside the active site DHFR (1DLS). (e) 2D and 3D structure of compound 3a inside the active site DHFR (1DLS).
Furthermore, 3,5-dicyano pyridine-2-one derivative 3a revealed a binding energy (S = −20.78 Kcal/mol) with two critical hydrogen bond acceptors from side-chain between two oxygen of sulfonyl group and Arg1033 and His1079, with a bond length of 2.7 and 3.0 ˚A. Moreover, the amino of the guanidine interacted with Ser1085 through a hydrogen bond donor, with a bond length of 3.1 °A and a strength of 50%. Furthermore, the Arg1092 formed one hydrogen bond acceptor from side chain and one arene–cation with the cyano group in position three of the pyridine, with a bond length of 2.7 °A (50%) and phenyl group at position four of the pyridine, respectively (Figure 3b).
Similarly, the NH (imino) of the guanidine moiety at 2-cyanoacrylamide derivative 2a formed two hydrogen bond acceptors with two NH of the residue Arg1092, with a bond length of 3.2 °A (12%) and 2.8 °A (12%) and binding energy of S = −20.27 Kcal/mol. Besides, two side-chain acceptors formed between the oxygen of sulfonyl and cyano of acrylamide, with His1046 and Arg1033 residues with bond lengths of 2.8 °A and 3.0 °A, respectively.
On the other hand, to explain the activity of the most active six derivatives on the DHFR enzyme, the docking simulation inside the active site of DHFR (PDB: IDLS) showed that the binding energy (S) ranged between −18.38 and −24.70 Kcal/mol compared with methotrexate (MTX, S = −24.44 Kcal/mol). The original ligand methotrexate (MTX) displayed nine hydrogen bonds, with different interactions as the hydrogen bond acceptor or donor, arene–arene, and hydrophobic interactions. Visual inspection of the docking poses of compounds 2a and 3a showed the same binding interaction by one hydrogen acceptor and another side-chain acceptor between residues Ser118 and Thr146 with two oxygens of the sulfonyl group with a slightly changed binding energy. The 2-cyanoacrylamide derivative 2a displayed a binding energy of S = −20.26 Kcal/mol (Figure 3c). Furthermore, pyridine-2-one derivative 3a revealed a docking score of S = −19.54 Kcal/mol, and the interaction is represented in (Figure 3d). Compound 2d demonstrated the lowest binding energy, S = −24.70 Kcal/mol, with only one hydrogen bond acceptor between the Thr56 and NH of acetamide (Figure 3e). Similarly, 2-imino-2H-chromene-3-carboxamide derivative 11 exhibited one hydrogen bond acceptor between the oxygen of the sulfonyl and the residue Ser119, with a bond length of 2.7 °A and strength of 88%. Further, 4,6-dimethyl pyridine-2-one derivative 8 advertised two hydrogen bond donors between the residue Glu30 and two NH of hydrophilic functional groups with an equal bond length of 2.5 °A.
Finally, the docking results displayed that these new hybrid derivatives 2a, 2b, 2d, 3a, 8, and 11 fitted well and interacted with the residues inside the active cavities in both DNA gyrase (PDB: 2XCT) and DHFR (PDB: IDLS), suggesting that they could potential be one of the antimicrobial agents (all the figures are in the Supplementary Material).
3. Materials and Methods
3.1. Chemistry
Uncorrected melting points (MPs) of all the newly designed compounds were determined and recorded on a digital Gallen Kamp MFB-595 instrument using open capillaries and the recorded MPs were reported as such. A SHIMAZDU IR AFFINITY-I FTIR spectrophotometer was used for recording the IR spectra within the range of 400–4000 cm−1. A Bruker 400 MHz spectrometer was used to assessment of the 1H and 13C signals in the NMR spectra relative to (Me)4Si as an internal standard. Chemical shift values were reported in ppm units. The data were presented as follows: chemical shift, multiplicity (s = singlet, d = doublet, t = triplet, q = quartet, m = multiplet, br = broad, and app = apparent), coupling constant(s) in Hertz (Hz), and integration. Mass spectra were recorded on a Thermo Scientific ISQLT mass spectrometer at the Regional Center for Mycology and Biotechnology, Al-Azhar University. Elemental analyses were carried out at Micro Analytical Unit, Cairo University, Cairo, Egypt. The progress of the reaction was monitored by TLC using UV detection. The information of the chemical used in this study was listed and provided in a Supplementary Material file.
N-(4-(N-Carbamimidoylsulfamoyl) phenyl)-2-cyanoacetamide (1)
A mixture of sulfaguanidine (2.14 g, 0.01 mol) and ethyl cyanoacetate (5 mL) in DMF (5 mL) was heated under reflux for 5 h. The obtained solid was collected by filtration, dried, and recrystallized from ethanol.
Pale yellow crystals; Yield 85%; mp 172–174 °C; IR (KBr): ν/cm−1: 3441, 3336, 3232 (2NH, NH2), 2264 (CN), 1693(CO); 1H NMR (400 MHz, DMSO-d6) δ/ppm 3.94 (s, 2H, CH2), 6.70 (s, 4H, 2NH+NH2, exchangeable by D2O), 7.65 (d, J = 7.6 Hz, 2H, Ar-H), 7.72 (d, J = 6.8 Hz, 2H, Ar-H), 10.58 (s, 1H, NH, exchangeable by D2O); 13C NMR (101 MHz, DMSO-d6) δ 27.38 (-CH2-), 112.88 (-CN), 116.24, 119.22, 127.23, 127.77, 139.90, 141.17 (Ar-Cs), 158.52 (C=NH), 162.06 (C=O); MS (EI, 70 eV): m/z (%) = 281 [M+] (17.94%), 267 (100%); Anal. Calcd for C10H11N5O3S (281.29): calcd.: C, 42.70; H, 3.94; N, 24.90%; found: C, 42.50; H, 3.99; N, 24.80%.
N-(4-(N-Carbamimidoylsulfamoyl) phenyl)-3-(aryl)-2-cyano acrylamide (2a–d)
A mixture of 2-cyanoacetanilide derivative 1 (2.81g, 0.01 mol) and substituted aldehyde, namely, p-chlorobenzaldehyde, p-anisaldehyde, p-hydroxybenzaldehyde, and vanillin, respectively (0.01 mol), in DMF/ethanol (1:1) in the presence of three drops of piperidine was refluxed for 6 h. The precipitate formed on hot was filtered and recrystallized from ethanol.
N-(4-(N-Carbamimidoylsulfamoyl) phenyl)-3-(4-chlorophenyl)-2-cyanoacrylamide (2a)
Orange crystals; Yield 65%; mp 250–252 °C; IR (KBr): ν/cm−1: 3447, 3340, 3232 (NH, NH2), 2202 (CN), 1687 (C=O); 1H NMR (400MHz, DMSO-d6) δ/ppm: 6.96 (s, 4H, 2NH+NH2, exchangeable by D2O), 7.19 (d, J = 8.0 Hz, 4H, Ar-H), 7.38 (d, J = 8.0 Hz, 4H, Ar-H), 7.41(s,1H, CH = methylinic), 10.16 (s, 1H, NH, exchangeable by D2O); 13C NMR (100 MHz, DMSO-d6): 79.38(-C-CN), 118.71 (-CN), 112.01, 116.59, 120.98, 121.14, 125.08, 129.09, 129.15, 129.39, 133.93, 134.29, 135.66, 143.79, 153.14 (Ar-Cs), 158.37(C=NH), 161.62 (C=O); MS (EI, 70 eV): m/z (%) = 403 [M+] (15.66%), 41 (100%); Anal. Calcd for C17H14ClN5O3S (403.84): calcd.: C, 50.56; H, 3.49; N, 17.34%; found: C, 50.30; H, 3.20; N, 17.55.
N-(4-(N-Carbamimidoylsulfamoyl) phenyl)-2-cyano-3-(4-methoxyphenyl) acrylamide (2b)
Yellowish orange crystals; Yield 65%; mp 244–246; IR (KBr): ν/cm−1: 3360, 3309, 3206 (2NH, NH2), 2222 (CN), 1693 (C=O); 1H NMR (400 MHz, DMSO-d6) δ/ppm 3.89 (s, 3H, OCH3), 6.74 (s, 4H, 2NH+NH2, exchangeable by D2O), 7.19 (d, J = 8.8 Hz, 2H, Ar-H), 7.76 (d, J = 8.0 Hz, 2H, Ar-H), 7.79 (d, J = 8.8 Hz, 2H, Ar-H), 8.04 (d, J = 8.8 Hz, 2H, Ar-H), 8.25 (s, 1H, CH-methylinic), 10.55 (s, 1H, NH, exchangeable by D2O); 13C NMR (100 MHz, DMSO-d6): 56.16 (OCH3), 79.64 (-C-CN), 115.00 (-CN), 115.42, 117.22, 120.45, 124.77, 126.97, 132.32, 133.19, (Ar-Cs), 140.20 (C-NH), 151.36 (C=C), 158.56, (C=NH), 161.82 (C-OMe), 163.35 (C=O); Anal. Calcd for C18H17N5O4S (399.43): calcd.: C,54.13; H, 4.29; N, 17.53; found: C, 54.30; H, 4.17; N, 17.75%.
N-(4-(N-Carbamimidoylsulfamoyl) phenyl)-2-cyano-3-(4-hydroxyphenyl) acrylamide (2c)
Reddish brown crystals; Yield 72%; mp 256–258 °C; IR (KBr): ν/cm−1: 3406, 3352, 3298, 3271 (OH, NH, NH2), 2202 (CN), 1681 (C=O); 1H NMR (400 MHz, DMSO-d6) δ/ppm 5.54 (br, 4H, 2NH + NH2, exchangeable by D2O), 6.71 (d, J = 8.0 Hz, 2H, Ar-H), 6.94 (d, J = 8.0 Hz, 1H, Ar-H), 7.39 (d, J = 8.0 Hz, 1H, Ar-H), 7.39 (d, J = 8.4 Hz, 1H, Ar-H), 7.62 (m, 1H, Ar-H), 7.70 (d, J = 8.0 Hz, 1H, Ar-H), 7.78 (d, J = 8.4 Hz, 1H, Ar-H), 7.92 (s, 1H, -CH=C methylinic), 9.36, 9.97 (2s, 2H, OH+NH exchangeable by D2O); 13C NMR (101 MHz, DMSO-d6) δ 98.42 (-C-CN), 117.32 (-CN), 118.95, 120.28, 124.19, 125.44, 126.80, 130.03, 132.03, 135.93, 139.49 (C-NH), 147.99 (C=C), 151.91 (C-OH), 158.41 (C=NH), 163.97 (C=O); Anal. Calcd for C17H15N5O4S (385.40): calcd.: C, 52.98; H,3.92; N, 18.17; found: C, 52.71; H, 3.72; N, 18.03%.
N-(4-(N-Carbamimidoylsulfamoyl) phenyl)-2-cyano-3-(3-hydroxy-4-methoxyphenyl) acryl- amide (2d)
Orange crystals; Yield 80%, mp 234–236 °C; IR (KBr): ν/cm−1: 3419, 3388, 3216 (OH, 2NH, NH2), 2219 (CN), 1675 (C=O); 1H NMR (400 MHz, DMSO-d6) δ/ppm 3.46 (s, 3H, OCH3), 4.91 (s, br, 4H, 2NH+NH2, exchangeable by D2O), 6.72 (s, 1H, Ar-H), 6.81 (d, J = 8.4 Hz, 2H, Ar-H), 7.72 (d, J = 8.4 Hz, 2H, Ar-H), 7.78 (s, 1H, NH exchangeable by D2O), 7.88 (d, J = 8.4 Hz, 2H, Ar-H), 8.10 (s, 1H, CH=C methylinic), 9.74 (s, 1H, OH exchangeable by D2O); 13C NMR (101 MHz, DMSO-d6) δ 56.52 (OCH3), 98.90 (C-CN), 117.86 (-CN), 118.13, 120.33, 121.00, 126.91, 127.22, 132.70, 134.10, 139.88, 141.59 (Ar-Cs), 151.59 (C-OH), 158.54 (C-OCH3), 162.51 (C=NH), 166.82 (C=O); Anal. Calcd for C18H17N5O5S (415.42): calcd.: C, 52.04; H, 4.12; N, 16.86; found: C, 52.21; H, 4.02; N, 16.53%.
4-(6-Amino-4-(aryl)-3,5-dicyano-2-oxopyridin-1(2H)-yl)-N-carbamimidoylbenzenesulfonamides (3a–d)
Method A: A mixture of 2-cyanoacrylamide derivatives 2a–d (0.01 mol) and malononitrile (0.01 mol) in DMF/ethanol (1:1) and three drops of piperidine was heated under reflux for 5 h, cooled, and poured onto ice. The solid product obtained was collected by filtration, dried, and recrystallized from ethanol.
Method B: A mixture of 2-cyanoacetamide derivatives 1 (2.81 g, 0.01 mol); and arylidene malononitrile derivatives (0.01 mol) in DMF/ethanol (1:1) in the presence of three drops of piperidine refluxed for 5 h, cooled, and poured onto ice. The solid product obtained was collected by filtration, dried, and recrystallized.
4-(6-Amino-4-(4-chlorophenyl)-3,5-dicyano-2-oxopyridin-1(2H)-yl)-N-carbamimidoylbenzenesulfonamide(3a)
Brown crystals; Yield 72%, mp 272–274 °C; IR (KBr): ν/cm−1: 3448, 3344, 3205 (2NH+NH2), 2202 (CN), 1670 (C=O); 1H NMR (400 MHz, DMSO-d6) δ/ppm 6.80 (br, 4H, 4H, NH2+2NH, exchangeable by D2O), 7.39 (br, 2H, NH2 exchangeable by D2O), 7.53 (d, J = 8.0 Hz, 2H, Ar-H), 7.59 (d, J = 8.4 Hz, 2H, Ar-H), 7.69 (d, J = 8.4 Hz, 2H, Ar-H), 7.95 (d, J = 8.8 Hz, 2H, Ar-H); 13C NMR (101 MHz, DMSO-d6) δ 76.11 (C-CN), 116.35 (-2CN), 128.19, 128.77, 128.87, 129.37, 129.68, 130.40, 131.41, 131.67, 134.04, 135.66, 136.72, 146.30, 157.50, 158.64 (Ar-Cs), 159.99 (C=NH), 160.72 (N-C-NH2), 162.83 (C=O); Anal. Calcd for C20H14ClN7O3S (467.89): calcd.: C, 51.34; H, 3.02; N, 20.96; found: C, 51.23; H, 2.87; N, 20.74%.
4-(6-Amino-3,5-dicyano-4-(4-methoxyphenyl)-2-oxopyridin-1(2H)-yl)-N-carbamimidoylbenzenesulfonamide (3b)
Brown crystals; Yield 65%, mp 256–258 °C; IR (KBr): ν/cm−1: 3140, 3194, 3352, 3452 (2NH + 2NH2), 2218 (CN), 1678 (C=O); 1H NMR (400 MHz, DMSO-d6) δ/ppm 3.87 (s, 3H, OCH3), 6.78–6.97 (br, 4H, NH2+2NH, exchangeable by D2O), 7.15 (d, J = 7.2 Hz, 2H, Ar-H), 7.48–7.59 (m, 4H, Ar-H), 7.94 (d, J = 7.2 Hz, 2H, Ar-H), 8.05 (br, 2H, NH2, exchangeable by D2O); 13C NMR (101 MHz, DMSO-d6) δ 55.83 (OCH3), 75.88, 88.36 (2C-CN), 114.51, 114.64 (2CN), 116.41, 117.07, 126.99, 128.17, 129.71, 130.29, 131.05, 136.74, 146.31, 157.47, 158.64 (Ar-Cs), 160.12 (C=NH), 161.32 (C-NH2), 161.65 (C=O); MS (EI, 70 eV): m/z (%)= 463 [M+] (15.26%), 302 (100%); Anal. Calcd for C21H17N7O4S (463.47): calcd. C, 54.42; H, 3.70; N, 21.16; found: C, 54.27; H, 3.44; N, 21.02%.
4-(6-Amino-3,5-dicyano-4-(4-hydroxyphenyl)-2-oxopyridin-1(2H)-yl)-N-carbamimidoylbenzenesulfonamide (3c)
Reddish brown crystals; Yield 65%, mp 265–268 °C; IR (KBr): ν/cm−1 3464, 3425, 3352, 3194, (OH+NH+NH2), 2218 (CN), 1651 (C=O); 1H NMR (400 MHz, DMSO-d6) δ/ppm 5.13 (s, 2H, NH2, exchangeable by D2O). 6.81 (br, 4H, NH2 + 2NH, exchangeable by D2O), 6.95 (s, 2H, Ar-H), 7.41 (s, 2H, Ar-H), 7.54 (d, 2H, Ar-H), 7.94 (s, 2H, Ar-H), 10.09 (s, 1H, OH, exchangeable by D2O); 13C NMR (101 MHz, DMSO-d6) δ 75.77, 88.05 (C-CN), 115.59, 115.80 (-CN), 116.51, 117.18, 125.32, 128.15, 129.74, 130.39, 130.64, 136.77, 146.27, 157.45 (Ar-Cs), 158.62 (C=NH), 159.94 (C-OH), 160.17 (C-NH2), 161.95 (C=O); Anal. Calcd for C20H15N7O4S (449.45): calcd. C, 53.45; H, 3.36; N, 21.82; found: C, 53.30; H, 3.20; N, 21.72%.
4-(6-Amino-3,5-dicyano-4-(3-hydroxy-4-methoxyphenyl)-2-oxopyridin-1(2H)-yl)-N-carbamimidoylbenzenesulfonamide (3d)
Orange crystals; Yield 75%, mp 250–252 °C; IR (KBr): ν/cm−1 3441, 3344, 3213 (OH+NH+NH2); 2206 (CN), 1661 (C=O); 1H NMR (400 MHz, DMSO-d6) δ/ppm 3.84 (s, 3H, OCH3), 6.78 (br, 4H, NH2 + 2NH, exchangeable by D2O), 6.96 (d, J = 8.4 Hz, 2H, Ar-H), 7.02 (d, 2H, Ar-H), 7.14 (s, 2H, NH2, exchangeable by D2O), 7.52 (s, 1H, Ar-H), 7.94 (d, J = 6.1 Hz, 2H, Ar-H), 9.72 (s, 1H, OH, exchangeable by D2O); 13C NMR (101 MHz, DMSO-d6) δ 56.23(OCH3), 75.81, 88.11(C-CN), 112.94, 115.89 (2CN), 117.21, 121.94, 125.50, 128.18, 129.72, 136.75, 146.30, 147.67, 149.23 (C=NH), 157.45 (C-NH2), 158.63 (C-OH), 160.16 (C=O); Anal. Calcd for C21H17N7O5S (479.47): calcd.: C, 52.61; H, 3.57; N, 20.45; found: C, 52.42; H, 3.42; N, 20.15%.
2-Amino-N-(4-(N-carbamimidoylsulfamoyl) phenyl)-5-cyano-1-cyclohexyl-4-(4-methoxyphenyl)-6-oxo-1,6-dihydropyridine-3-carboxamide (4)
A mixture of 2-cyanoacrylamide derivative 2b (3.9 g, 0.01 mol) and 2-cyano-N-cyclohexyl acetamide (1.6 g, 0.01mol) in DMF/ethanol (1:1) in the presence of three drops of piperidine was heated under reflux for 3 h, cooled, and poured onto ice. The solid product obtained was collected by filtration, dried, and recrystallized from ethanol.
Pale yellow crystals; Yield 75%, mp 272–274 °C; IR (KBr): ν/cm−1 3441, 3336, 3213 (NH+NH2), 2218 (CN), 2843, 2931 (CH, Aliph.), 1689, 1651 (2C=O); 1H NMR (400 MHz, DMSO-d6) δ/ppm 1.25 (s, 2H, CH2- cycohexyl), 2.75 (s, 4H, 2 CH2- cycohexyl), 2.90 (s, 4H, 2 CH2- cycohexyl), 3.74 (s, 3H, OCH3), 3.89 (s, 1H, -CH-cycohexyl), 6.74 (s, 4H, NH2+2NH, exchangeable by D2O), 6.95 (s, 2H, NH2, exchangeable by D2O), 7.20 (d, J = 6.8 Hz, 2H, Ar-H), 7.41 (d, J = 7.6 Hz, 1H, Ar-H), 7.62–7.69 (m, 2H, Ar-H), 7.79 (d, J = 6.0 Hz, 2H, Ar-H), 8.06 (d, J = 7.6 Hz, 1H, Ar-H), 10.60 (s, 1H, NH exchangeable by D2O); 13C NMR (101 MHz, DMSO-d6) δ 29.50, 31.25, 36.28 (-CH2), 56.17 (-OCH3), 62.59 (-CH), 103.77 (-C-CN), 112.82 (-CN), 114.38, 115.42, 117.19, 119.52, 120.45, 124.75, 126.74, 126.99, 127.75, 131.22, 133.21, 134.02, 140.21, 141.30, 151.39 (C-OCH3), 158.56 (C=NH), 161.81 (C-NH2), 162.84, 163.37 (2C=O); MS (EI, 70 eV): m/z (%) = 563 [M+] (8.99%), 108 (100%); Anal. Calcd for: C27H29N7O5S (563.63) calcd: C, 57.54; H, 5.19; N, 17.40; found C, 57.30; H, 5.02; N, 17.14.
2-Amino-N-(4-(carbamimidoylsulfamoyl) phenyl)-5-cyano-4-(4-methoxyphenyl)-6-oxo-1,6-dihydropyridine-3-carboxamide (6)
A mixture of 2-cyanoacrylamide derivative 2b (3.9 g, 0.01 mol) and cyanoacetamide (0.84 g, 0.01 mol) in DMF/ethanol (1:1), including three drops of piperidine, was refluxed for 5 h, then cooled and poured onto ice. The solid product formed was collected by filtration, dried, and recrystallized from ethanol.
Yellow crystals; Yield 75%, mp 265–268 °C; IR (KBr): ν/cm−1 3441, 3336, 3232 (NH, NH2), 2214 (CN), 1689 (C=O); 1H NMR (400 MHz, DMSO-d6) δ/ppm3.89 (s, 3H, OCH3), 6.71 (br, 6H, 6H, 2NH2 + 2NH, exchangeable by D2O), 7.20 (d, J = 6.4 Hz, 2H, Ar-H), 7.78 (m, 4H, Ar-H), 8.05 (d, J = 6.8 Hz, 2H, Ar-H), 8.25, 10.57 (2s, 2H, 2NH exchangeable by D2O); 13C NMR (101 MHz, DMSO-d6) δ 56.17 (-OCH3), 103.75 (C-CN), 115.43 (-CN), 120.43, 124.74, 126.99, 133.20, 140.19, 141.28 (Ar-Cs), 151.39 (C=NH), 158.53 (C-OMe), 161.66 (C-NH2), 163.29 (2C=O); Anal. Calcd. for: C21H19N7O5S (481.49) calcd: C, 52.39; H, 3.98; N, 20.36; found C, 52.11; H, 3.71; N, 20.05.
N-Carbamimidoyl-4-(4,6-diamino-3-cyano-2-oxopyridin-1(2H)-yl) benzenesulfonamide (7)
A mixture of 2-cyanoacetamide derivative 1 (2.81 g, 0.01 mol) and malononitrile (0.66 g, 0.01 mol) in DMF/ethanol (1:1) in the presence of three drops of piperidine was refluxed for 6 h, cooled, and poured onto ice. The solid product obtained was collected by filtration, dried and recrystallized from DMF.
Dark brown crystals; Yield 60%; mp 260 °C; IR (KBr): ν max/cm−1: 3410, 3332, 3224 (NH + NH2), 2214 (CN), 1651 (C=O); 1H NMR (400 MHz, DMSO-d6) δ/ppm 4.13 (s, 1H, CH-pyridine), 6.67 (br, 4H, NH2 + 2NH exchangeable by D2O), 7.36, 7.53 (2s, 4H, 2NH2 exchangeable by D2O), 7.68 (d, J = 6.8 Hz, 2H, Ar-H), 7.75 (d, J = 8.0 Hz, 2H, Ar-H), 13C NMR (101 MHz, DMSO d6) δ 71.37 (CH-pyridine), 89.32 (C-CN), 114.98 (CN), 116.93, 119.17, 125.69, 127.21, 131.88, 137.99 (Ar-Cs), 158.62 (C=NH), 159.36 (C-NH2), 162.02 (C=O), 170.80 (C-NH2); Anal. Calcd for C13H13N7O3S (347.35): calcd.: C, 44.95; H, 3.77; N, 28.23; found: C, 44.72; H, 3.90; N, 28.35.
N-Carbamimidoyl-4-(3-cyano-4,6-dimethyl-2-oxopyridin-1(2H)-yl) benzenesulfonamide (8)
To a solution of 2-cyanoacetamide derivative 1 (2.81 g, 0.01 mol) and acetylacetone (0.01 mol) in DMF/ethanol (1:1), three drops from piperidine was added. The solution was heated under reflux for 3 h, then left to cool. The solid product obtained was collected by filtration, dried and recrystallized from ethanol.
Pale yellow crystals; Yield 70%; mp 270 °C; IR (KBr): ν max/cm−1: 3464, 3425, 3352, 3194 (NH + NH2), 2218 (CN), 1651 (C=O); 1H NMR (400 MHz, DMSO-d6) δ/ppm 1.99, 2.41 (2s, 6H, 2CH3), 6.51 (s, 1H, CH-pyridine), 6.83 (s, 4H, NH2 + 2NH exchangeable by D2O), 7.51 (d, J = 8.4 Hz, 2H, Ar-H), 7.93 (d, J = 8.0 Hz, 2H, Ar-H); 13C NMR (101 MHz, DMSO-d6) δ 21.16, 21.98 (2CH3), 100.46 (-CH), 109.59 (C-CN), 116.24 (-CN), 127.44, 129.04, 139.98, 145.64 (Ar-Cs), 152.30 (C-CH3), 158.67 (-C=NH), 160.46 (C=O); MS (EI, 70 eV): m/z (%) = 345 [M+] (58.61%), 116 (100%); Anal. Calcd for C15H15N5O3S (345.38): calcd.: C, 52.16; H, 4.38; N, 20.28; found: C, 52.02; H, 4.12; N, 20.45%.
N-Carbamimidoyl-4-(3-cyano-4-(4-substitutedstyryl)-6-methyl-2-oxopyridin-1(2H)-yl) benzenesulfonamide (9a,b).
A mixture of 4,6-diamino-3-cyano-2-oxo-pyridine derivative 8 (3.45 g, 0.01 mol), p-chloro-benzaldehyde or p-anisaldehyde (0.01mol) in DMF/Ethanol (1:1) in the presence of three drops of piperidine was heated under reflux for 3 h, cooled, and poured onto ice. The solid product obtained was collected by filtration, dried and recrystallized from ethanol.
N-Carbamimidoyl-4-(4-(4-chlorostyryl)-3-cyano-6-methyl-2-oxopyridin-1(2H)-yl) benzene-sulfonamide (9a)
Orange crystals; Yield 66%; mp up 300 °C; IR (KBr): ν max/cm−1: 3429, 3348, 3205 (NH+NH2), 2984, 2864 (CH-Alip.), 2218 (CN), 1681 (C=O); 1H NMR (400 MHz, DMSO-d6) δ/ppm 2.41 (s, 3H, CH3), 6.51 (s, 1H, CH-pyridine), 6.84 (s, 4H, NH2 + 2NH exchangeable by D2O), 7.07 (s, 1H, -CH=C), 7.34 (s, 1H, -CH=C), 7.50 (d, J = 8.0 Hz, 2H, Ar-H), 7.58 (d, J = 8.4 Hz, 2H, Ar-H),7.74–7.85 (m, 2H, Ar-H), 7.92 (d, J = 7.6 Hz, 2H, Ar-H); 13C NMR (101 MHz, DMSO-d6) δ 21.98 (CH3), 100.45 (-C-CN), 109.59 (-CH), 116.37 (CN), 127.44, 129.04, 129.48, 129.67, 130.12, 134.33, 136.89, 139.98, 145.63, 152.29 (N-C-CH3), 158.67 (-C=NH), 160.46 (C-C=C), 160.90 (C=O); MS (EI, 70 eV): m/z (%) = 467 [M+] (12.61%), 43 (100%); Anal. Calcd for C22H18ClN5O3S (467.93): calcd.: C, 56.47; H, 3.88; N, 14.97; found: C, 56.30; H, 3.73; N, 15.07.
N-Carbamimidoyl-4-(3-cyano-4-(4-methoxystyryl)-6-methyl-2-oxopyridin-1(2H)-yl) benzene sulfonamide (9b)
Yellow crystals; Yield 75%; mp up 300 °C; IR (KBr): ν max/cm−1: 3429, 3332, 3213 (NH+NH2), 2931, 2839 (CH-Alip.), 2214 (CN), 1691 (C=O); 1H NMR (400 MHz, DMSO-d6) δ/ppm 2.41 (s, 3H, CH3), 3.84 (s, 3H, -OCH3), 6.49 (s, 1H, CH-pyridine), 6.84 (s, 4H, NH2 + 2NH exchangeable by D2O), 6.95 (d, J = 6.4 Hz, 2H, Ar-H), 7.06–7.08 (m, 2H, Ar-H), 7.12 (s, 1H, -CH=C), 7.26 (s, 1H, -CH=C), 7.51–7.54 (m, 2H, Ar-H), 7.95 (d, J = 7.2 Hz, 2H, Ar-H), 13C NMR (101 MHz, DMSO-d6) δ 22.25 (CH3), 55.88 (-OCH3), 103.20 (-C-CN), 109.59 (-CH), 114.99 (CN), 115.11, 115.20, 119.51, 127.38, 128.00, 129.03, 129.16, 129.55, 130.24, 132.31, 140.56, 145.57, 151.46 (N-C-CH3), 154.81 (-C=NH), 158.70 (C-C=C), 161.56 (C-OCH3), 162.81 (C=O); Anal. Calcd for C23H21N5O4S (463.51): calcd.: C, 59.60; H, 4.57; N, 15.11; found: C, 59.75; H, 4.42; N, 15.23.
4-(3-Amino-6-methyl-4-oxothieno[3,4-c] pyridin-5(4H)-yl)-N-carbamimidoylbenzenesulfon-amide (10)
A solution of 4,6-diamino-3-cyano-pyridin-2-one derivative 8 (2.75 g, 0.01 mol) and elemental sulfur (0.32 g, 0.01 mol) in DMF/ethanol (1:1) in the presence of three drops of triethylamine was refluxed for 8 h. The obtained solid was crystallized from dioxane.
Grey powder; Yield 60%; Mp: ˃ 300 °C; IR (KBr): ν max/cm−1: 3433, 3286, 3232 (NH+NH2), 1668 (CO); 1H NMR (400 MHz, DMSO-d6) δ/ppm 2.41 (s, 3H, CH3), 6.50 (s, 1H, CH-pyridine), 6.82 (s, 6H, 2NH2 + 2NH exchangeable by D2O), 7.50 (d, J = 8.0 Hz, 2H, Ar-H), 7.92 (d, J = 8.0 Hz, 2H, Ar-H), 7.96 (s, 1H, CH-thieno); 13C NMR (101 MHz, DMSO-d6) δ/ppm 21.15 (CH3), 109.60 (-CH), 116.24, 127.44, 129.03, 139.98, 145.62, 152.29, 158.67, 160.47 (-C=NH), 160.90 (C=O), 162.83 (S-C-NH2); MS (EI, 70 eV): m/z (%) = 377 [M+] (20.20%), 61 (100%); Anal. Calcd for C15H15N5O3S2 (377.44): Calcd.: C, 47.73; H, 4.01; N, 18.56; found: C, 47.87; H, 4.21; N, 18.41.
N-(4-(N-Carbamimidoylsulfamoyl) phenyl)-2-imino-2H-chromene-3-carboxamide (11)
A mixture of 2-cyanoacetamide derivative 1 (2.81 g, 0.01 mol) and salicylaldehyde (0.01 mol) in DMF/ethanol (1:1) in the presence of ammonium acetate (0.2 g) was heated under reflux for 3 h and cooled. The solid product obtained was collected by filtration, dried, and recrystallized from ethanol.
Yellow crystals; Yield 90%; Mp: 218–220 °C; IR (KBr): ν max/cm−1: 3479, 3429, 3356, 3224, (NH+NH2), 1670 (CO); 1H NMR (400 MHz, DMSO-d6) δ/ppm 6.56 (d, J = 8.4 Hz, 1H, Ar-H), 6.75 (s, 4H, NH2 + 2NH exchangeable by D2O), 7.00 (d, J = 8.4 Hz, 1H, Ar-H), 7.26 – 7.33 (m, 1H, Ar-H), 7.41 (d, J = 8.8 Hz, 1H, Ar-H), 7.51 (d, J = 8.4 Hz, 1H, Ar-H), 7.65 – 7.72 (m, 1H, Ar-H), 7.79 (m, 1H, Ar-H), 7.84 (d, J = 7.2 Hz, 1H, Ar-H), 8.59 (s, 1H, CH-chromone), 9.32, 10.89 (2s, 2H, NH exchangeable by D2O), 13C NMR (101 MHz, DMSO-d6) δ 112.81, 117.17, 122.04, 124.79, 127.38, 127.74, 129.68, 131.24, 133.08, 136.91, 140.98, 142.94, 148.16, 158.54 (C-O), 160.73, 165.33 (C=NH), 172.66 (C=O); MS (EI, 70 eV): m/z (%) = 385 [M+] (25.61%), 90 (100%); Anal. Calcd for C17H15N5O4S (385.40): calcd.: C, 52.98; H, 3.92; N, 18.17%; found: C, 53.09; H, 3.71; N, 18.25%.
4-(2-Amino-1-cyano-5-imino-4-oxo-4H-chromeno[3,4-c] pyridin-3(5H)-yl)-N-cabamimidoylbenzenesulfonamide (12)
A mixture of compound 11 (3.8 g, 0.01 mol) and malononitrile (0.66 g, 0.01 mol) in DMF/ethanol (1:1) in the presence of three drops of piperidine was refluxed for 5 h, cooled, and poured onto ice. The solid product obtained was collected by filtration, dried, and recrystallized from DMF.
Brown crystals; Yield 60%; Mp: 266–268 °C, IR (KBr): ν/cm−1: 3441, 3348, 3238, 3182 (NH+NH2); 2202 (CN), 1662 (C=O); 1H NMR (400 MHz, DMSO- d6) δ/ppm 6.74 (s, 6H, 2NH2 + 2NH exchangeable by D2O), 7.00 (d, J = 7.4 Hz, 1H, Ar-H), 7.17 (d, J = 8.4 Hz, 1H, Ar-H), 7.30 (d, J = 7.5 Hz, 1H, Ar-H), 7.38 (d, J = 8.0 Hz, 1H, Ar-H), 7.47−7.62 (m, 2H, Ar-H), 7.64 -7.77 (m, 2H, Ar-H), 10.42 (s, 1H, NH exchangeable by D2O); MS (EI, 70 eV): m/z (%) = 449 [M+] (30.28%), 415 (100%); Anal. Calcd for: C20H15N7O4S (449.45) calcd.: C, 53.45; H, 3.36; N, 21.82; found C, 53.23; H, 3.25; N, 21.63.
3.2. In Vitro Antimicrobial Activity (See Supplementary Material)
3.2.1. Bacterial and Fungal Strains Used in the Study
The preliminary antimicrobial activity of the newly modified sulfaguanidine derivatives 2a–d, 3a–d, 4, 6, 7, 8, 9a–b, 10, 11, and 12, as well as tetracycline and amphotericin B (a positive control), were evaluated against eight microbial pathogens. These pathogens were divided as three Gram-positive stains (B. subtilis ATCC 6633, S. aureus ATCC 29213 and E. faecalis ATCC 29212), three Gram-negative strains (P. aeruginosa ATCC 27853, E. coli ATCC 25922 and S. typhi ATCC 6539), and two fungal strains F. oxysporum (RCMB 008002) and C. albicans (ATCC 10231). The multidrug-resistant Gram-positive strains were S. aureus ATCC 43300, and S. aureus ATCC 33591. The multidrug-resistant Gram-negative strains were E. coli ATCC BAA-196 and P. aeruginosa ATCC BAA-2111. Norfloxacin was used as a positive control for the multidrug resistance study.
3.2.2. Determination of Inhibition Zones (mm)
The antimicrobial activity performed at the bacteriology laboratory, Botany and Microbiology Department, Faculty of Science, Al-Azhar University, Cairo, Egypt. The inhibition zone (IZ) of the tested derivatives expressed as the diameter (mm) according to the agar plate diffusion method [36,40,61,76].
3.2.3. Determination the Minimal Inhibition Concentration (MIC) and Minimum Bactericidal Concentration (MBC)
According to Clinical and Laboratory Standards Institute (CLSI) guidelines, the minimal inhibition concentration (MIC) of the most promising derivatives, depending on preliminary screening of 2a, 2b, 2d, 3a, 8, and 11, were dissolved and loaded on paper disks with different concentrations according to reported methods [61,67]. The experiment was repeating for three-times. The MBC assay was determined by plating 10 μL of culture volume from the MIC assay onto TSB agar plates and colony formation was examined after 24 h at 37 °C and according to the reported method [65]. MBC is defined as the lowest compound concentration resulting in a ≥ 3-log reduction in the number of colony-forming units (CFU) [77].
3.2.4. Determination DNA Gyrase and DHFR Inhibitory Assay
The in-vitro enzymic assay for both S. aureus DNA gyrase and E.coli dihydrofolate reductase (DHFR) enzymes for the most promising derivatives with ciprofloxacin and trimethoprim as positive control was carried out in the confirmatory diagnostic unit, Vacsera, Egypt, according to the previously reported procedures and represented as IC50 values [62,78,79].
3.2.5. Determination Immunomodulatory Activity
In vitro intracellular killing activities for the most promising six derivatives 2a, 2b, 2d, 3a, 8, and 11 were performed according to reported methods [65,68,80]. While in vivo, the immunomodulatory aspects involved (relative immune organs weight and indexes as well as determining the T lymphocytes subsets (CD4+ and CD8+)) for the most active three derivatives, 2d, 8, and 11, were evaluated according to reported methods [47,69].
3.2.6. Molecular Docking Study
Docking simulations were performed using Molecular Operating Environment (MOE) software version 2008.10. The most active compounds, 2a, 2b, 2d, 3a, 8, and 11, were drawn by chem draw 2014, and then exported to MOE. Energy minimization using the MMFF94x force field was calculated for each molecule. The crystal structure of both dihydrofolate reductase enzyme (DHFR), which co-crystallized with methotrexate (MTX) and S. aureus DNA gyrase in complex with ciprofloxacin, were downloaded from the protein data bank (PDB ID: 1DLS, 2XCT) [81,82]. For DNA gyrase, the protein structure prepared by selecting the G chain only for molecular docking and other repeated chain was deleted as well as the water molecules and the trigonal matcher placement used for this study. Further, DHFR (1DLS) that contains only one chain and the alpha trigonal matcher placement methods were selected for the previous protein and the London dG scoring function was used in the docking protocol. The docking process methodology was first validated by redocking the original ligand that co-crystalized inside the active site, with deviation (RMSD) values of 1.12 and 2.6 Å for DNA gyrase and DHFR, respectively. The docking of new compounds was performed according to standard protocols and previously reported works [62,65].
3.2.7. Ethics Statement for Both Animal Models and for Using Volunteer Blood Cells
All experimental protocols were approved and performed in compliance with the guide for the care and use of laboratory animals, published by the National Institutes of Health (USA), and performed according to Institutional guidelines. In addition, all volunteers gave their consent by signing a consent form before they participated.
4. Conclusions
In this study, eighteen compounds based on a sulfaguanidine moiety hybrid with acetamide, acrylamide, 2-oxopyridine, and chromene-3-carboxamide derivatives were synthetized and evaluated against several bacterial and fungal strains. The most promising compounds were 2a, 2b, 2d, 3a, 8, and 11, displaying low micromolar antibacterial activity with MIC values ranging between 2.33 and 156.47 µM and MBC values between 4.66 and 219.88 µM against the bacterial strains in comparison to the tetracycline MIC values (70.31–140.63 µM) and MBC values (91.40–210.9 µM). The promising derivatives indicated moderate to good antifungal activity against C. albicans and F. oxysporum, and thus have fungicidal properties. Furthermore, these derivatives showed moderate to potent activity against MDRB strains, with observed MIC values ranging between 4.69 and 40.52 µM and MBC values between 8.19 and 81.08 µM compared to norfloxacin (MIC = 2.44–9.80 µM) and (MB= 4.38–16.65 µM); therefore, these derivatives exhibited bactericidal potential. Additionally, the most promising 2a, 2b, 2d, 3a, 8, and 11 derivatives showed good interaction with DNA gyrase and DHFR enzymes with IC50 values ranging between 18.17 and 39.41 µM and 4.33 and 17.64 µM, respectively, as compared to ciprofloxacin (26.32 ± 1.76 µM) and trimethoprim (5.16 ± 0.12 µM). Among them, three derivatives, 2d, 3a and 2a, demonstrated IC50 values as potent, or nearly so, as the positive controls for both enzymes. The in vitro intracellular killing activities represented potency as an immunomodulatory agent with a percentage from 82.8 ± 0.37 to 142.4 ± 0.98. Similarly, the most active three derivative, 2d, 8, and 11, exhibited a significant increase in spleen and thymus weight (p ≤ 0.05) and enhance the stimulation of the CD4+ and CD8+ T lymphocytes. Finally, it is interesting to mention that the molecular docking study matches with the experimental results. Besides, these derivatives obey Lipinski’s rule and revealed non-carcinogens, non-AMES toxicity, and all derivatives belong to category III regarding acute oral toxicity.
Supplementary Materials
The following are available online at https://www.mdpi.com/2079-6382/10/2/162/s1. Supplementary data involving the IR, 1H and 13C NMR data of all the synthetized compounds, and the biological evaluation and all figures of the molecular docking study.
Author Contributions
Conceptualization, A.R., S.A.F. and A.M.A.; methodology A.R., S.A.F., E.M.A., A.M.A., O.A.A.A. and A.A.A.; software, A.R.; validation, A.R., S.A.F., E.M.A., A.M.A. and O.A.A.A.; formal analysis, A.R., E.M.A. and S.A.F.; investigation, A.R., A.M.A. and O.A.A.A.; data curation, A.R., S.A.F., E.M.A., A.M.A., O.A.A.A. and Y.A.A.; writing—original draft preparation, A.R., S.A.F. and Y.A.A.; writing—review and editing, A.R., S.A.F. and Y.A.A. All authors have read and agreed to the published version of the manuscript.
Funding
This research received no external funding.
Institutional Review Board Statement
This study was approved by the Institutional Review Board (IRB) of Al-Azhar University, Faculty of Science, and the protocols used in the study were approved by the Committee of Intellectual property Protection.(protocol code CHEM.1/2021; date of approval: 6 February 2021)
Informed Consent Statement
All volunteers gave their consent by signing a consent form before they participated.
Data Availability Statement
Data are avilable as supplementry material.
Acknowledgments
Taif University Researchers Supporting Project number (TURSP-2020/220), Taif University, Taif, Saudi Arabia.
Conflicts of Interest
The authors declare no conflict of interest.
References
- Service, R.F. Antibiotics That Resist Resistance. Science 1995, 270, 724–727. [Google Scholar] [CrossRef]
- Fukuda, Y. New approaches to overcoming bacterial resistance. Drugs Future 2009, 34, 127–136. [Google Scholar] [CrossRef]
- O’Neill, J. Antimicrobial Resistance: Tackling a Crisis for the Health and Wealth of Nations. 2014. Available online: https://www.who.int/antimicrobial-resistance/news/amr-newsletter-no13-july2016.pdf (accessed on 21 October 2020).
- Boucher, H.W.; Ambrose, P.G.; Chambers, H.F.; Ebright, R.H.; Jezek, A.; Murray, B.E.; Newland, J.G.; Ostrowsky, B.; Rex, J.H.; Infectious Diseases Society of America. White Paper: Developing Antimicrobial Drugs for Resistant Pathogens, Narrow-Spectrum Indications, and Unmet Needs. J. Infect. Dis. 2017, 216, 228–236. [Google Scholar] [CrossRef]
- Maxson, T.; Mitchell, D.A. Targeted Treatment for Bacterial Infections: Prospects for Pathogen-Specific Antibiotics Coupled with Rapid Diagnostics. Tetrahedron 2016, 72, 3609–3624. [Google Scholar] [CrossRef] [PubMed]
- Kim, H.; Jang, J.H.; Kim, S.C.; Cho, J.H. Development of a novel hybrid antimicrobial peptide for targeted killing of Pseudomonas aeruginosa. Eur. J. Med. Chem. 2020, 185, 111814. [Google Scholar] [CrossRef] [PubMed]
- Fernandes, P.; Martens, E. Antibiotics in late clinical development. Biochem. Pharmacol. 2017, 133, 152–163. [Google Scholar] [CrossRef]
- McCarthy, K.A.; Kelly, M.A.; Li, K.; Cambray, S.; Hosseini, A.S.; van Opijnen, T.; Gao, J. Phage Display of Dynamic Covalent Binding Motifs Enables Facile Development of Targeted Antibiotics. J. Am. Chem. Soc. 2018, 140, 6137–6145. [Google Scholar] [CrossRef] [PubMed]
- Ammar, Y.A.; Farag, A.A.; Ali, A.M.; Hessein, S.A.; Askar, A.A.; Fayed, E.A.; Elsisi, D.M.; Ragab, A. Antimicrobial evaluation of thiadiazino and thiazolo quinoxaline hybrids as potential DNA gyrase inhibitors; design, synthesis, characterization and morphological studies. Bioorg. Chem. 2020, 99, 103841. [Google Scholar] [CrossRef]
- Ibrahim, H.S.; Eldehna, W.M.; Abdel-Aziz, H.A.; Elaasser, M.M.; Abdel-Aziz, M.M. Improvement of antibacterial activity of some sulfa drugs through linkage to certain phthalazin-1(2H)-one scaffolds. Eur. J. Med. Chem. 2014, 85, 480–486. [Google Scholar] [CrossRef] [PubMed]
- Xu, Z.-Q.; Flavin, M.T.; Flavin, J. Combating multidrug-resistant Gram-negative bacterial infections. Expert Opin. Investig. Drugs 2014, 23, 163–182. [Google Scholar] [CrossRef] [PubMed]
- Zakšauskas, A.; Čapkauskaitė, E.; Jezepčikas, L.; Linkuvienė, V.; Paketurytė, V.; Smirnov, A.; Leitans, J.; Kazaks, A.; Dvinskis, E.; Manakova, E.; et al. Halogenated and di-substituted benzenesulfonamides as selective inhibitors of carbonic anhydrase isoforms. Eur. J. Med. Chem. 2020, 185, 111825. [Google Scholar] [CrossRef] [PubMed]
- Ammar, Y.A.; Sh El-Sharief, A.M.; Belal, A.; Abbas, S.Y.; Mohamed, Y.A.; Mehany, A.B.M.; Ragab, A. Design, synthesis, antiproliferative activity, molecular docking and cell cycle analysis of some novel (morpholinosulfonyl) isatins with potential EGFR inhibitory activity. Eur. J. Med. Chem. 2018, 156, 918–932. [Google Scholar] [CrossRef] [PubMed]
- El-sharief, A.M.S.; Ammar, Y.A.; Belal, A.; El-sharief, M.A.M.S.; Mohamed, Y.A.; Mehany, A.B.M.; Elhag, G.A.M.; Ragab, A. Design, synthesis, molecular docking and biological activity evaluation of some novel indole derivatives as potent anticancer active agents and apoptosis inducers. Bioorg. Chem. 2019, 85, 399–412. [Google Scholar] [CrossRef]
- Isik, S.; Kockar, F.; Aydin, M.; Arslan, O.; Guler, O.O.; Innocenti, A.; Scozzafava, A.; Supuran, C.T. Carbonic anhydrase inhibitors: Inhibition of the β-class enzyme from the yeast Saccharomyces cerevisiae with sulfonamides and sulfamates. Bioorg. Med. Chem. 2009, 17, 1158–1163. [Google Scholar] [CrossRef]
- Bouissane, L.; El Kazzouli, S.; Léonce, S.; Pfeiffer, B.; Rakib, E.M.; Khouili, M.; Guillaumet, G. Synthesis and biological evaluation of N-(7- indazolyl) benzenesulfonamide derivatives as potent cell cycle inhibitors. Bioorg. Med. Chem. 2006, 14, 1078–1088. [Google Scholar] [CrossRef]
- Camoutsis, C.; Geronikaki, A.; Ciric, A.; Soković, M.; Zoumpoulakis, P.; Zervou, M. Sulfonamide-1,2,4-thiadiazole Derivatives as Antifungal and Antibacterial Agents: Synthesis, Biological Evaluation, Lipophilicity, and Conformational Studies. Chem. Pharm. Bull. 2010, 58, 160–167. [Google Scholar] [CrossRef] [PubMed]
- Weber, A.; Casini, A.; Heine, A.; Kuhn, D.; Supuran, C.T.; Scozzafava, A.; Klebe, G. Unexpected Nanomolar Inhibition of Carbonic Anhydrase by COX-2-Selective Celecoxib: New Pharmacological Opportunities Due to Related Binding Site Recognition. J. Med. Chem. 2004, 47, 550–557. [Google Scholar] [CrossRef] [PubMed]
- Ammar, Y.A.; El-Sharief, A.M.; Mohamed, Y.A.; Mehany, A.B.; Ragab, A. Synthesis, spectral characterization and pharmacological evaluation of novel thiazole-oxoindole hybrid compounds as potential anticancer agents. Al-Azhar Bull. Sci. 2018, 29, 25–37. [Google Scholar]
- Penning, T.D.; Talley, J.J.; Bertenshaw, S.R.; Carter, J.S.; Collins, P.W.; Docter, S.; Graneto, M.J.; Lee, L.F.; Malecha, J.W.; Miyashiro, J.M.; et al. Synthesis and Biological Evaluation of the 1,5-Diarylpyrazole Class of Cyclooxygenase-2 Inhibitors: Identification of 4-[5-(4-Methylphenyl)-3- (trifluoromethyl)-1H-pyrazol-1-yl] benzenesulfonamide (SC-58635, Celecoxib). J. Med. Chem. 1997, 40, 1347–1365. [Google Scholar] [CrossRef]
- Rahimifard, M.; Ziarani, G.M.; Lashkariani, B.M. Application of guanidine and its salts in multicomponent reactions. Turkish J. Chem. 2014, 38, 345–371. [Google Scholar] [CrossRef]
- Khalaf, M.; Zageer, D.; Hussain, Z.; Adil, H.; Mohammed, S.; Yousif, E. Guanidine Group: Definition and Pharmaceutical Applications. Res. J. Pharm. Biol. Chem. Sci. 2016, 7, 1026–1031. [Google Scholar]
- Wang, P.-F.; McLeish, M.J.; Kneen, M.M.; Lee, G.; Kenyon, G.L. An Unusually Low pKa for Cys282 in the Active Site of Human Muscle Creatine Kinase. Biochemistry 2001, 40, 11698–11705. [Google Scholar] [CrossRef]
- Duo, J.; Ma, Y.; Wang, G.; Han, X.; Zhang, C. Metformin Synergistically Enhances Antitumor Activity of Histone Deacetylase Inhibitor Trichostatin a against Osteosarcoma Cell Line. DNA Cell Biol. 2013, 32, 156–164. [Google Scholar] [CrossRef] [PubMed]
- Bahekar, R.H.; Jain, M.R.; Jadav, P.A.; Prajapati, V.M.; Patel, D.N.; Gupta, A.A.; Sharma, A.; Tom, R.; Bandyopadhya, D.; Modi, H.; et al. Synthesis and antidiabetic activity of 2,5-disubstituted-3-imidazol-2-yl-pyrrolo[2,3-b] pyridines and thieno[2,3-b] pyridines. Bioorg. Med. Chem. 2007, 15, 6782–6795. [Google Scholar] [CrossRef]
- Kratzer, C.; Tobudic, S.; Graninger, W.; Buxbaum, A.; Georgopoulos, A. In vitro antimicrobial activity of the novel polymeric guanidine Akacid plus. J. Hosp. Infect. 2006, 63, 316–322. [Google Scholar] [CrossRef] [PubMed]
- Hensler, M.E.; Bernstein, G.; Nizet, V.; Nefzi, A. Pyrrolidine bis-cyclic guanidines with antimicrobial activity against drug-resistant Gram-positive pathogens identified from a mixture-based combinatorial library. Bioorg. Med. Chem. Lett. 2006, 16, 5073–5079. [Google Scholar] [CrossRef] [PubMed]
- Georgopoulos, S.; Mastorakos, D.; Kondi-Pafiti, A.; Katsenis, K.; Arkadopoulos, N.; Kannas, D.; Archontaki, M.; Vestarchis, N.; Kokkalis, G. Hydroxyzine, cimetidine and vitamin C in reducing skin flap necrosis in ischemia-reperfusion injury in rats. A comparative study. J. BU ON. Off. J. Balk. Union Oncol. 2012, 17, 377–382. [Google Scholar]
- Ozeki, T.; Natori, T. The specific inhibition of HepG2 cells proliferation by apoptosis induced by gabexate mesilate. Int. J. Clin. Exp. Pathol. 2010, 3, 710. [Google Scholar] [PubMed]
- Thomas, G.; Gro, R.; Schramm, M. Calcium channel modulation: Ability to inhibit or promote calcium influx resides in the same dihydropyridine molecule. J. Cardiovasc. Pharmacol. 1984, 6, 1170–1176. [Google Scholar] [CrossRef]
- Andreani, A.; Leoni, A.; Locatelli, A.; Morigi, R.; Rambaldi, M.; Pietra, C.; Villetti, G. 4-Aminopyridine derivatives with antiamnesic activity##Presented in part at the Italian–Hungarian–Polish Joint Meeting on Medicinal Chemistry, Giardini Naxos–Taormina, September 28th–October 1st 1999. Eur. J. Med. Chem. 2000, 35, 77–82. [Google Scholar] [PubMed]
- Ammar, Y.A.; Ghorab, M.M.; El-Sharief, A.M.S.; Mohamed, S.I. Naproxen in heterocyclic chemistry: Novel syntheses of triazoles, triazolothiadiazines, triazolothiadiazoles, and triazolothiadiazepine bearing an asymmetric carbon atom and radiostability of the biologically active compounds. Heteroat. Chem. 2002, 13, 199–206. [Google Scholar] [CrossRef]
- Nasr, T.; Bondock, S.; Eid, S. Design, synthesis, antimicrobial evaluation and molecular docking studies of some new thiophene, pyrazole and pyridone derivatives bearing sulfisoxazole moiety. Eur. J. Med. Chem. 2014, 84, 491–504. [Google Scholar] [CrossRef]
- Hagar, M.; Chaieb, K.; Parveen, S.; Ahmed, H.A.; Alnoman, R.B. N-alkyl 2-pyridone versus O-alkyl 2-pyridol: Ultrasonic synthesis, DFT, docking studies and their antimicrobial evaluation. J. Mol. Struct. 2020, 1199, 126926. [Google Scholar] [CrossRef]
- Arnold, M.A.; Gerasyuto, A.I.; Wang, J.; Du, W.; Gorske, Y.J.K.; Arasu, T.; Baird, J.; Almstead, N.G.; Narasimhan, J.; Peddi, S.; et al. 4-Hydroxy-2-pyridones: Discovery and evaluation of a novel class of antibacterial agents targeting DNA synthesis. Bioorg. Med. Chem. Lett. 2017, 27, 5014–5021. [Google Scholar] [CrossRef]
- Li, Q.; Mitscher, L.A.; Shen, L.L. The 2-pyridone antibacterial agents: Bacterial topoisomerase inhibitors. Med. Res. Rev. 2000, 20, 231–293. [Google Scholar] [CrossRef]
- Pfaller, M.A.; Sader, H.S.; Rhomberg, P.R.; Flamm, R.K. Activity of Delafloxacin against Contemporary Bacterial Pathogens from the United States and Europe, 2014. Antimicrob. Agents Chemother. 2017, 61, 1–15. [Google Scholar] [CrossRef] [PubMed]
- Mitscher, L.A. Bacterial topoisomerase inhibitors: Quinolone and pyridone antibacterial agents. Chem. Rev. 2005, 105, 559–592. [Google Scholar] [CrossRef]
- Ammar, Y.A.; El-Gaby, M.S.A.; Salem, M.A. Cyanoacetanilides intermediates in heterocyclic synthesis. Part 6: Preparation of some hitherto unknown 2-oxopyridine, bipyridine, isoquinoline and chromeno[3,4-c] pyridine containing sulfonamide moiety. Arab. J. Chem. 2014, 7, 615–622. [Google Scholar] [CrossRef]
- Fadda, A.A.; Bondock, S.; Rabie, R.; Etman, H.A. Cyanoacetamide derivatives as synthons in heterocyclic synthesis. Turkish J. Chem. 2008, 32, 259–286. [Google Scholar]
- Ammar, Y.A.; Farag, A.A.; Ali, A.M.; Ragab, A.; Askar, A.A.; Elsisi, D.M.; Belal, A. Design, synthesis, antimicrobial activity and molecular docking studies of some novel di-substituted sulfonylquinoxaline derivatives. Bioorg. Chem. 2020, 104, 104164. [Google Scholar] [CrossRef]
- Janakiramudu, D.B.; Subba Rao, D.; Srikanth, C.; Madhusudhana, S.; Sreenivasa Murthy, P.; Nagalakshmidevamma, M.; Chalapathi, P.V.; Naga Raju, C. Sulfonamides and carbamates of 3-fluoro-4-morpholinoaniline (linezolid intermediate): Synthesis, antimicrobial activity and molecular docking study. Res. Chem. Intermed. 2018, 44, 469–489. [Google Scholar] [CrossRef]
- Hussein, E.M.; Al-Rooqi, M.M.; Abd El-Galil, S.M.; Ahmed, S.A. Design, synthesis, and biological evaluation of novel N4-substituted sulfonamides: Acetamides derivatives as dihydrofolate reductase (DHFR) inhibitors. BMC Chem. 2019, 13, 91. [Google Scholar] [CrossRef]
- He, J.; Qiao, W.; An, Q.; Yang, T.; Luo, Y. Dihydrofolate reductase inhibitors for use as antimicrobial agents. Eur. J. Med. Chem. 2020, 195, 112268. [Google Scholar] [CrossRef]
- Parham, P. The immune system. Yale J. Biol. Med. 2015, 88, 99. [Google Scholar]
- Jang, M.; Lim, T.-G.; Ahn, S.; Hong, H.-D.; Rhee, Y.K.; Kim, K.-T.; Lee, E.; Lee, J.H.; Lee, Y.J.; Jung, C.S. Immune-enhancing effects of a high molecular weight fraction of Cynanchum wilfordii Hemsley in macrophages and immunosuppressed mice. Nutrients 2016, 8, 600. [Google Scholar] [CrossRef]
- Zhang, W.-N.; Gong, L.-L.; Liu, Y.; Zhou, Z.-B.; Wan, C.-X.; Xu, J.-J.; Wu, Q.-X.; Chen, L.; Lu, Y.-M.; Chen, Y. Immunoenhancement effect of crude polysaccharides of Helvella leucopus on cyclophosphamide-induced immunosuppressive mice. J. Funct. Foods 2020, 69, 103942. [Google Scholar] [CrossRef]
- Gao, S.; Hong, H.; Zhang, C.; Wang, K.; Zhang, B.; Han, Q.; Liu, H.; Luo, Y. Immunomodulatory effects of collagen hydrolysates from yak (Bos grunniens) bone on cyclophosphamide-induced immunosuppression in BALB/c mice. J. Funct. Foods 2019, 60, 103420. [Google Scholar] [CrossRef]
- Mishra, K.P.; Padwad, Y.S.; Jain, M.; Karan, D.; Ganju, L.; Sawhney, R.C. Aqueous Extract of Rhodiola imbricata Rhizome Stimulates Proinflammatory Mediators via Phosphorylated IκB and Transcription Factor Nuclear Factor-κB. Immunopharmacol. Immunotoxicol. 2006, 28, 201–212. [Google Scholar] [CrossRef] [PubMed]
- Liu, Y.; Jiao, F.; Qiu, Y.; Li, W.; Qu, Y.; Tian, C.; Li, Y.; Bai, R.; Lao, F.; Zhao, Y. Immunostimulatory properties and enhanced TNF-α mediated cellular immunity for tumor therapy by C60 (OH) 20 nanoparticles. Nanotechnology 2009, 20, 415102. [Google Scholar] [CrossRef] [PubMed]
- Wassel, M.M.S.; Ragab, A.; Elhag Ali, G.A.M.; Mehany, A.B.M.; Ammar, Y.A. Novel adamantane-pyrazole and hydrazone hybridized: Design, synthesis, cytotoxic evaluation, SAR study and molecular docking simulation as carbonic anhydrase inhibitors. J. Mol. Struct. 2021, 1223, 128966. [Google Scholar] [CrossRef]
- M. S. Wassel, M.; M. Gamal Eldin, W.; Ragab, A.; A. M. Elhag Ali, G.; A. Ammar, Y. Antiviral Activity Of Adamantane-Pyrazole Derivatives Against Foot And Mouth Disease Virus Infection In Vivo And In Vitro With Molecular Docking Study. J. Appl. Vet. Sci. 2020, 5, 37–46. [Google Scholar] [CrossRef]
- Ammar, Y.A.; Abbas, S.Y.; Ghorab, M.M.; Al Said, M.S. Transmonocyanoacetylation of phenylenediamines: A simple and efficient synthesis of novel N-(aminophenyl)-2-cyanoacetamides and their derivatives. Tetrahedron Lett. 2016, 57, 275–277. [Google Scholar] [CrossRef]
- Ammar, Y.A.; Ali, M.M.; Mohamed, Y.A.; Thabet, H.K.; El-Gaby, M.S.A. Cyanoacetanilide intermediates in heterocyclic synthesis. Part 7: Preparation of some spiro [indoline-3, 4′-pyridine] and chromeno [3, 4-c] pyridine derivatives. Heterocycl. Commun. 2013, 19, 195–200. [Google Scholar] [CrossRef]
- Ammar, Y.A.; Ismail, M.M.F.; El-Sehrawi, H.M.; Noaman, E.; Bayomi, A.H.; Shawer, T.Z. Novel Pirfenidone Analogues: Synthesis of Pyridin-2-ones for the Treatment of Pulmonary Fibrosis. Arch. Pharm. (Weinheim). 2006, 339, 429–436. [Google Scholar] [CrossRef]
- AMMAR, Y.A.; Bondock, S.; EL-SEHMI, A.G.; EL_GABY, M.S.A.; Fouda, A.M.; Thabet, H.K. Facile and convenient synthesis of pyrimidine, 4H-3, 1-benzoxazin-4-one, pyrazolo [5, 1-b] quinazoline, pyrido [1, 2-a] quinazoline, and chromeno [3’, 4’: 4, 5] pyrido [1, 2-a] quinazoline derivatives. Turkish J. Chem. 2011, 35, 893–903. [Google Scholar]
- Rizk, H.F.; El-Borai, M.A.; Ragab, A.; Ibrahim, S.A. Design, synthesis, biological evaluation and molecular docking study based on novel fused pyrazolothiazole scaffold. J. Iran. Chem. Soc. 2020, 17, 2493–2505. [Google Scholar] [CrossRef]
- Ammar, Y.A.; Abbas, S.Y.; El-Sharief, M.A.M.S.; Salem, M.A.E.-R.; Mohamed, A.R. Synthesis and characterization of new imidazolidineiminothione and bis-imidazolidineiminothione derivatives as potential antimicrobial agents. Eur. J. Chem. 2017, 8, 76–81. [Google Scholar] [CrossRef]
- Fayed, E.A.; Ammar, Y.A.; Ragab, A.; Gohar, N.A.; Mehany, A.B.M.; Farrag, A.M. In vitro cytotoxic activity of thiazole-indenoquinoxaline hybrids as apoptotic agents, design, synthesis, physicochemical and pharmacokinetic studies. Bioorg. Chem. 2020, 100, 103951. [Google Scholar] [CrossRef]
- El-Sharief, M.A.M.S.; Abbas, S.Y.; Zahran, M.A.; Mohamed, Y.A.; Ragab, A.; Ammar, Y.A. New 1,3-diaryl-5-thioxo-imidazolidin-2,4-dione derivatives: Synthesis, reactions and evaluation of antibacterial and antifungal activities. Zeitschrift fur Naturforsch. Sect. B J. Chem. Sci. 2016, 71, 875–881. [Google Scholar] [CrossRef]
- Salem, M.A.; Ragab, A.; El-Khalafawy, A.; Makhlouf, A.H.; Askar, A.A.; Ammar, Y.A. Design, synthesis, in vitro antimicrobial evaluation and molecular docking studies of indol-2-one tagged with morpholinosulfonyl moiety as DNA gyrase inhibitors. Bioorg. Chem. 2020, 96, 103619. [Google Scholar] [CrossRef]
- Hassan, A.S.; Askar, A.A.; Naglah, A.M.; Almehizia, A.A.; Ragab, A. Discovery of New Schiff Bases Tethered Pyrazole Moiety: Design, Synthesis, Biological Evaluation, and Molecular Docking Study as Dual Targeting DHFR/DNA Gyrase Inhibitors with Immunomodulatory Activity. Molecules 2020, 25, 2593. [Google Scholar] [CrossRef] [PubMed]
- Ammar, Y.A.; AM, S.; El-Sharief, M.; Ghorab, M.M.; Mohamed, Y.A.; Ragab, A.; Abbas, S.Y. New imidazolidineiminothione, imidazolidin-2-one and imidazoquinoxaline derivatives: Synthesis and evaluation of antibacterial and antifungal activities. Curr. Org. Synth. 2016, 13, 466–475. [Google Scholar] [CrossRef]
- Dias, F.R.F.; Novais, J.S.; Devillart, T.A.; da Silva, W.A.; Ferreira, M.O.; Loureiro, R.D.; Campos, V.R.; Ferreira, V.F.; de Souza, M.C.; Castro, H.C.; et al. Synthesis and antimicrobial evaluation of amino sugar-based naphthoquinones and isoquinoline-5,8-diones and their halogenated compounds. Eur. J. Med. Chem. 2018, 156, 1–12. [Google Scholar] [CrossRef]
- Salem, M.A.; Ragab, A.; Askar, A.A.; El-khalafawy, A.; Makhlouf, A.H. European Journal of Medicinal Chemistry One-pot synthesis and molecular docking of some new spiropyranindol-2-one derivatives as immunomodulatory agents and in vitro antimicrobial potential with DNA gyrase inhibitor. Eur. J. Med. Chem. 2020, 188, 111977. [Google Scholar] [CrossRef]
- Cai, S.; Yuan, W.; Li, Y.; Huang, X.; Guo, Q.; Tang, Z.; Fang, Z.; Lin, H.; Wong, W.; Wong, K.; et al. Antibacterial activity of indolyl-quinolinium derivatives and study their mode of action. Bioorg. Med. Chem. 2019, 27, 1274–1282. [Google Scholar] [CrossRef] [PubMed]
- Clinical and Laboratory Standards Institute (CLSI). M07-A10 Methods for Dilution Antimicrobial Susceptibility Tests for Bacteria That Grow Aerobically; Approved Standard—Tenth Edition. 2015. Available online: https://clsi.org/media/1632/m07a10_sample.pdf (accessed on 21 October 2020).
- Akbay, P.; Calis, I.; Ündeger, Ü.; Basaran, N.; Basaran, A.A. In vitro Immunomodulatory activity of verbascoside from Nepeta ucrainica L. Phyther. Res. 2002, 16, 593–595. [Google Scholar] [CrossRef]
- Ayeka, P.A.; Bian, Y.; Githaiga, P.M.; Zhao, Y. The immunomodulatory activities of licorice polysaccharides (Glycyrrhiza uralensis Fisch.) in CT 26 tumor-bearing mice. BMC Complement. Altern. Med. 2017, 17, 536. [Google Scholar] [CrossRef]
- Lee, K.Y.; Jeon, Y.J. Macrophage activation by polysaccharide isolated from Astragalus membranaceus. Int. Immunopharmacol. 2005, 5, 1225–1233. [Google Scholar] [CrossRef]
- Cheng, A.; Wan, F.; Wang, J.; Jin, Z.; Xu, X. Macrophage immunomodulatory activity of polysaccharides isolated from Glycyrrhiza uralensis fish. Int. Immunopharmacol. 2008, 8, 43–50. [Google Scholar] [CrossRef] [PubMed]
- Zhang, S.; Nie, S.; Huang, D.; Li, W.; Xie, M. Immunomodulatory effect of Ganoderma atrum polysaccharide on CT26 tumor-bearing mice. Food Chem. 2013, 136, 1213–1219. [Google Scholar] [CrossRef]
- Brush, J.; Mendenhall, E.; Guggenheim, A.; Chan, T.; Connelly, E.; Soumyanath, A.; Buresh, R.; Barrett, R.; Zwickey, H. The effect of Echinacea purpurea, Astragalus membranaceus and Glycyrrhiza glabra on CD69 expression and immune cell activation in humans. Phyther. Res. 2006, 20, 687–695. [Google Scholar] [CrossRef] [PubMed]
- Khan, S.A.; Asiri, A.M.; Basisi, H.M.; Asad, M.; Zayed, M.E.M.; Sharma, K.; Wani, M.Y. Synthesis and evaluation of Quinoline-3-carbonitrile derivatives as potential antibacterial agents. Bioorg. Chem. 2019, 88, 102968. [Google Scholar] [CrossRef]
- Kartsev, V.; Shikhaliev, K.S.; Geronikaki, A.; Medvedeva, S.M.; Ledenyova, I.V.; Krysin, M.Y.; Petrou, A.; Ciric, A.; Glamoclija, J.; Sokovic, M. dithioloquinolinethiones as new potential multitargeted antibacterial and antifungal agents: Synthesis, biological evaluation and molecular docking studies. Eur. J. Med. Chem. 2019, 175, 201–214. [Google Scholar] [CrossRef]
- Hassan, A.S.; Masoud, D.M.; Sroor, F.M.; Askar, A.A. Synthesis and biological evaluation of pyrazolo[1,5-a] pyrimidine-3-carboxamide as antimicrobial agents. Med. Chem. Res. 2017, 26, 2909–2919. [Google Scholar] [CrossRef]
- Zhang, H.; Liu, H.; Luo, X.; Wang, Y.; Liu, Y.; Jin, H.; Liu, Z.; Yang, W.; Yu, P.; Zhang, L.; et al. Design, synthesis and biological activities of 2,3-dihydroquinazolin-4(1H)-one derivatives as TRPM2 inhibitors. Eur. J. Med. Chem. 2018, 152, 235–252. [Google Scholar] [CrossRef]
- Sun, J.; Zhao, R.; Zeng, J.; Li, G.; Li, X. Characterization of Destrins with Different Dextrose Equivalents. Molecules 2010, 15, 5162–5173. [Google Scholar] [CrossRef]
- Alt, S.; Mitchenall, L.A.; Maxwell, A.; Heide, L. Inhibition of DNA gyrase and DNA topoisomerase IV of Staphylococcus aureus and Escherichia coli by aminocoumarin antibiotics. J. Antimicrob. Chemother. 2011, 66, 2061–2069. [Google Scholar] [CrossRef] [PubMed]
- Akbay, P.; Basaran, A.A.; Undeger, U.; Basaran, N. In vitro immunomodulatory activity of flavonoid glycosides from Urtica dioica L. Phyther. Res. 2003, 17, 34–37. [Google Scholar] [CrossRef] [PubMed]
- The Twinned 3.35A Structure of S. Aureus Gyrase Complex with Ciprofloxacin and DNA. Available online: https://www.rcsb.org/structure/2XCT (accessed on 21 October 2020).
- Methotrexate-Resistant Variants of Human Dihydrofolate Reductase with Substitution of Leucine 22: Kinetics, Crystallography and Potential as Selectable Markers. Available online: https://www.rcsb.org/structure/1DLS (accessed on 21 October 2020).
Publisher’s Note: MDPI stays neutral with regard to jurisdictional claims in published maps and institutional affiliations. |
© 2021 by the authors. Licensee MDPI, Basel, Switzerland. This article is an open access article distributed under the terms and conditions of the Creative Commons Attribution (CC BY) license (http://creativecommons.org/licenses/by/4.0/).















