Electrochemical Biosensors Based on Ferroceneboronic Acid and Its Derivatives: A Review
Abstract
:1. Introduction

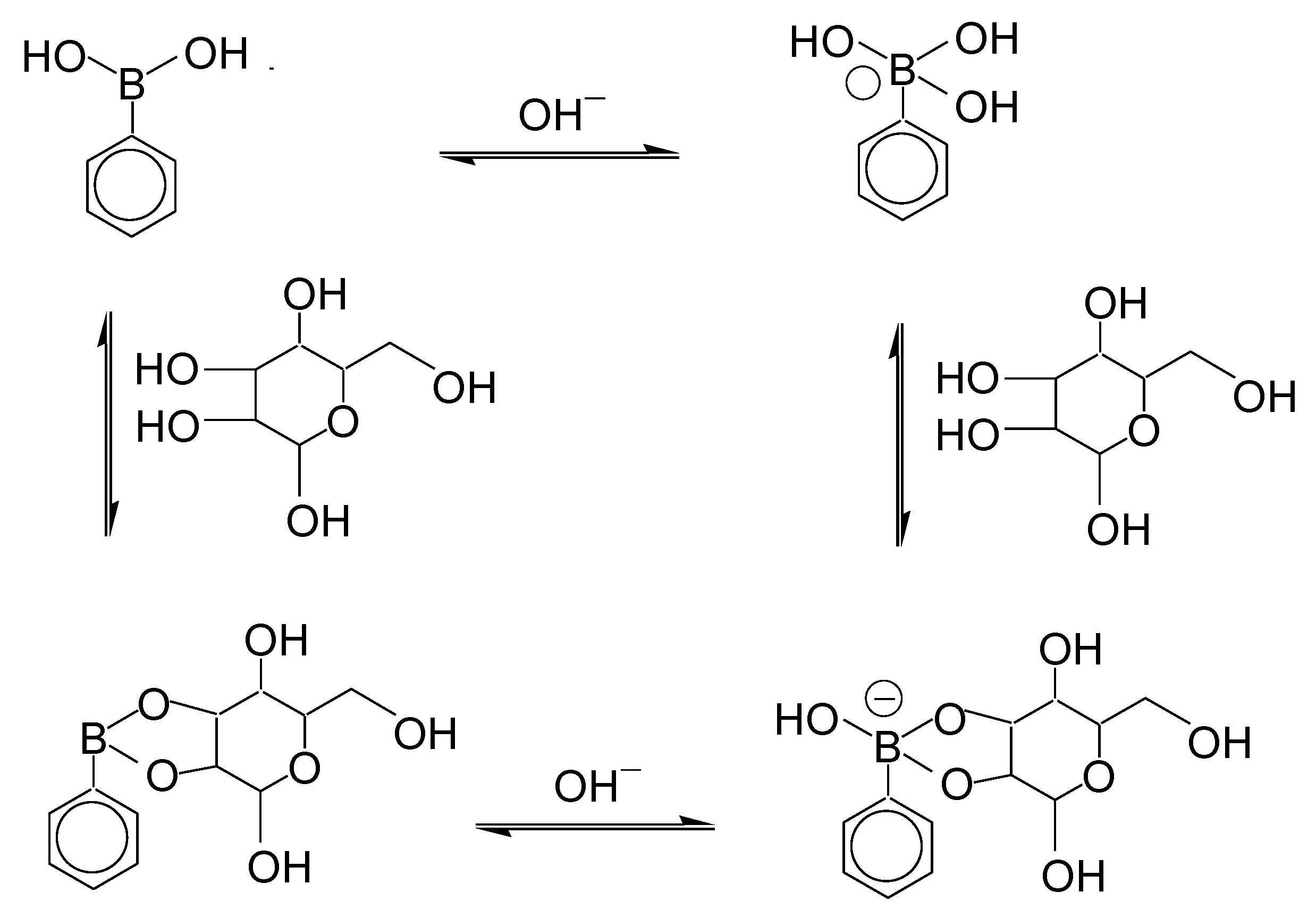
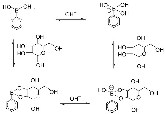
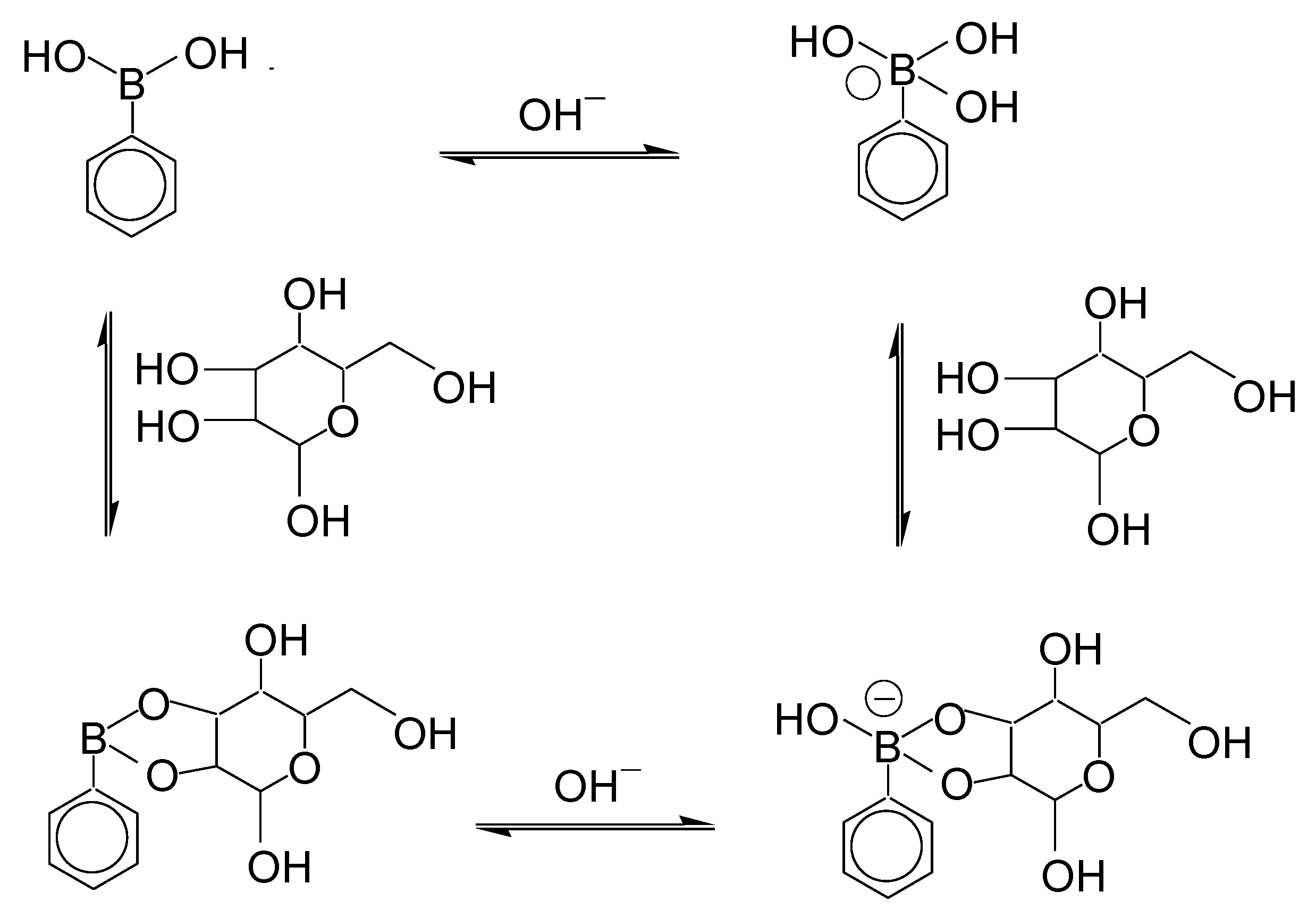
2. Sugar Sensors





3. HbA1c Sensors


4. Fluoride Ion Sensors

5. Miscellaneous

6. Conclusions
Acknowledgments
Conflicts of Interest
References
- Chen, C.; Xie, Q.; Yang, D.; Xiao, H.; Fu, Y.; Tan, Y.; Yao, S. Recent advances in electrochemical glucose biosensors: A review. RSC Adv. 2013, 3, 4473–4491. [Google Scholar] [CrossRef]
- Yan, J.; Springsteen, G.; Deeter, S.; Wang, B. The relationship among pKa, pH, and binding constants in the interactions between boronic acids and diols—It is not as simple as it appears. Tetrahedron 2004, 60, 11205–11209. [Google Scholar] [CrossRef]
- Wolfbeis, O.S. Probes, sensors, and labels: Why is real progress slow? Angew. Chem. Int. Ed. 2013, 52, 9864–9865. [Google Scholar] [CrossRef]
- Ori, A.; Shinkai, S. Electrochemical detection of saccharides by the redox cycle of a chiral ferroceneboronic acid derivative: A novel method for sugar sensing. J. Chem. Soc. Chem. Commun. 1995, 1771–1772. [Google Scholar] [CrossRef]
- Norrild, J.C.; Søtofte, I. Crystal structures of 2-(N,N-dimethylaminoalkyl)ferroceneboronic acids and their diol derivatives. The quest for a B-N intramolecular bond in the solid state. J. Chem. Soc. Perkin Trans. 2001, 2, 727–732. [Google Scholar]
- Moore, A.N.J.; Wayner, D.D.M. Redox switching of carbohydrate binding to ferrocene boronic acid. Can. J. Chem. 1999, 77, 681–686. [Google Scholar]
- Norrild, J.C.; Søtofte, I. Design, synthesis and structure of new potential electrochemically active boronic acid-based glucose sensors. J. Chem. Soc. Perkin Trans. 2002, 2, 303–311. [Google Scholar] [CrossRef]
- Arimori, S.; Ushiroda, S.; Peter, L.M.; Jenkins, A.T.A.; James, T.D. A modular electrochemical sensor for saccharides. Chem. Commun. 2002, 2368–2369. [Google Scholar] [CrossRef]
- Takahashi, S.; Abiko, N.; Haraguchi, N.; Fujita, H.; Seki, E.; Ono, T.; Yoshida, K.; Anzai, J. Voltammetric response of ferroceneboronic acid to diol and phenolic compounds as possible pollutants. J. Environ. Sci. 2011, 23, 1027–1032. [Google Scholar] [CrossRef]
- Lacina, K.; Skládal, P. Ferroceneboronic acid for the electrochemical probing of interactions involving sugars. Electrochim. Acta 2011, 56, 10246–10252. [Google Scholar] [CrossRef]
- Egawa, Y.; Gotoh, R.; Seki, T.; Anzai, J. Sugar response of boronic acid-substituted azobenzene dye-modified polymer. Mater. Sci. Eng. C 2009, 29, 115–118. [Google Scholar] [CrossRef]
- Liu, L.; Xia, N.; Du, J.; He, Q.; Qin, Y.; Li, H.; Li, C. A simple and rapid method for probing of isomerization of glucose to fructose with ferroceneboronic acid. Int. J. Electrochem. Sci. 2013, 8, 9163–9170. [Google Scholar]
- Wang, X.; Zhang, L.; Gu, F.; Zhang, X.; Xia, N. Investigation of the interaction between ferroceneboronic acid and sugars and its application in probing of enzyme activity. Int. J. Electrochem. Sci. 2013, 8, 12557–12565. [Google Scholar]
- Kato, D.; Iijima, S.; Kurita, R.; Sato, Y.; Jia, J.; Yabuki, Mizutani, F.; Niwa, O. Electrochemically amplified detection for lipopolysaccharide using ferroceneboronic acid. Biosens. Bioelectron. 2007, 22, 1527–1531. [Google Scholar]
- Lacina, K.; Konhefr, M.; Novotný, J.; Potéśil, D.; Zdráhal, Z.; Skládal, P. Combining ferrocene, thiophene and a boronic acid: A hybrid ligand for reagentless electrochemical sensing of cis-diols. Tetrahedron Lett. 2014, 55, 3235–3238. [Google Scholar] [CrossRef]
- Turpeinen, U.; Karjalainen, U.; Stenman, U.H. Three assays for glycohemoglobin compared. Clin. Chem. 1995, 41, 191–195. [Google Scholar] [PubMed]
- Gallop, P.M.; Fluckiger, R.; Hanniken, A. Chemical quantitation of hemoglobin glycation: Fluorometric detection of formaldehyde released upon periodate oxidation of glycoglobin. Anal. Biochem. 1981, 117, 427–532. [Google Scholar] [CrossRef] [PubMed]
- Pundir, C.S.; Chawla, S. Determination of glycated hemoglobin with special emphasis on biosensing methods. Anal. Biochem. 2014, 444, 47–56. [Google Scholar] [CrossRef] [PubMed]
- Liu, S.; Wollenbergaer, U.; Katterle, M.; Scheller, F.W. Ferroceneboronic acid-based amperometric biosensor for glycated hemoglobin. Sens. Actuator B Chem. 2006, 113, 623–629. [Google Scholar] [CrossRef]
- Halámek, J.; Wollenberger, U.; Stöcklein, W.; Scheller, F.W. Development of a biosensor for glycated hemoglobin. Electrochim. Acta 2007, 53, 1127–1133. [Google Scholar] [CrossRef]
- Halámek, J.; Wollenberger, U.; Stöcklein, W.; Warsinke, A.; Scheller, F.W. Signal amplification in immunoassays using labeling via boronic acid binding to the sugar moiety of immunoglobulin G: Proof of concept for glycated hemoglobin. Anal. Lett. 2007, 40, 1434–1444. [Google Scholar] [CrossRef]
- Song, S.Y.; Yoon, H.C. Boronic acid-modified thin film interface for specific binding of glycated hemoglobin (HbA1c) and electrochemical biosensing. Sens. Actuator B Chem. 2009, 140, 233–239. [Google Scholar] [CrossRef]
- Song, S.Y.; Yoon, H.C. Electrochemical analysis of glycated hemoglobin based on the biospecificity and electron-transferring capability of ferroceneboronic acid. Biochip J. 2009, 2, 116–122. [Google Scholar]
- Chien, H.-C.; Chou, T.-C. A nonenzymatic amperometric method for fructosyl-valine sensing using ferroceneboronic acid. Electroanalysis 2011, 23, 402–408. [Google Scholar] [CrossRef]
- Chien, H.-C.; Chou, T.-C. Glassy carbon paste electrodes for the determination of fructosyl valine. Electroanalysis 2010, 22, 688–693. [Google Scholar] [CrossRef]
- Ogawa, K.; Stollner, D.; Scheller, F.; Warsinke, A.; Ishimura, F.; Tsugawa, W.; Ferri, S.; Sode, K. Development of a flow-injection analysis (FIA) enzyme sensor for fructosyl amine monitoring. Anal. Bioanal. Chem. 2002, 373, 211–214. [Google Scholar] [CrossRef] [PubMed]
- Fang, L.; Li, W.; Zhou, Y.; Liu, C.C. A single-use, disposable iridium-modified electrochemical biosensor for fructosyl valine for the glycated hemoglobin detection. Sens. Actuator B Chem. 2009, 137, 235–238. [Google Scholar] [CrossRef]
- Chawla, S.; Pundir, C.S. An electrochemical biosensor for fructosyl valine for glycosylated hemoglobin detection based on core-shell magnetic bionanoparticles modified gold electrode. Biosens. Bioelectron. 2011, 26, 3438–3443. [Google Scholar] [CrossRef] [PubMed]
- Liu, J.-T.; Chen, L.-Y.; Shih, M.-C.; Chang, Y.; Chen, W.-Y. The investigation of recognition interaction between phenylboronate monolayer and glycated hemoglobin using surface plasmon resonance. Anal. Biochem. 2008, 375, 90–96. [Google Scholar] [CrossRef] [PubMed]
- Chuang, Y.-C.; Lan, K.-C.; Hsieh, K.-M.; Jang, L.-S.; Chen, M.-K. Detection of glycated hemoglobin (HbA1c) based on impedance measurement with parallel electrodes integrated into a microfluidic device. Sens. Actuator BChem. 2012, 171–172, 1222–1230. [Google Scholar]
- Hsieh, K.-M.; Lan, K.-C.; Hu, W.-L.; Chen, M.-K.; Jang, L.-S.; Wang, M.-H. Glycated hemoglobin (HbA1c) affinity biosensors with ring-shaped interdigital electrodes on impedance measurement. Biosens. Bioelectron. 2013, 49, 450–456. [Google Scholar] [CrossRef] [PubMed]
- Bian, C.; Tong, J.; Sun, J.; Zhang, H.; Xue, Q.; Xia, S. A field effect transistor (FET)-based immunosensor for detection of Hb. Biomed. Microdevices 2011, 13, 345–352. [Google Scholar] [CrossRef] [PubMed]
- Xue, Q.; Bian, C.; Tong, J.; Sun, J.; Zhang, H.; Xia, S. FET immunosensor for hemoglobin A1c using a gold nanofilm grown by a seed-mediated technique and covered with mixed self-assembled monolayers. Microchim. Acta 2012, 176, 65–72. [Google Scholar] [CrossRef]
- Yamazaki, T.; Ohta, S.; Yanai, Y.; Sode, K. Molecular imprinting catalyst based artificial enzyme sensor for fructosylamines. Anal. Lett. 2003, 36, 75–89. [Google Scholar] [CrossRef]
- Rajkumar, R.; Katterle, M.; Warsinke, A.; Möhwald, H.; Scheller, F.W. Thermometric MIP sensor for fructosyl valine. Biosens. Bioelectron. 2008, 23, 1195–1199. [Google Scholar] [CrossRef] [PubMed]
- Rajkumar, R.; Warsinke, A.; Möhwald, H.; Scheller, F.W.; Katterle, M. Analysis of recognition of fructose by imprimted polymers. Talanta 2008, 76, 1119–1123. [Google Scholar] [CrossRef] [PubMed]
- Saraoğlu, H.M.; Selvi, A.O.; Ebeoğlu, M.A.; Tşaltin, C. Electronic nose system based on quartz crystal microbalance sensor for blood glucose and HbA1c levels from exhaled breath odor. IEEE Sens. J. 2013, 13, 4229–4235. [Google Scholar] [CrossRef]
- Carton, R.J. Review of the 2006 United States national research council report: Fluoride in drinking water. Fluoride 2006, 39, 163–172. [Google Scholar]
- Dusemund, C.; Samankumara, K.R.A.; Shinkai, S. Selective fluoride recognition with ferroceneborinic acid. J. Chem. Soc. Chem. Commun. 1995, 333–334. [Google Scholar] [CrossRef]
- Yamamoto, H.; Ori, A.; Ueda, K.; Dusemund, C.; Shinkai, S. Visual sensing of fluoride ion and saccharides utilizing a coupled redox reaction of ferroceneboronic acids and dye molecules. Chem. Commun. 1996, 3, 407–408. [Google Scholar]
- Bresner, C.; Day, J.K.; Coombs, N.D.; Fallis, I.A.; Aldridge, S.; Coles, S.J.; Hursthouse, M.B. Fluoride anion binding by cyclic boronic esters: Influence of backbone chelate on receptor integrity. Dalton Trans. 2006, 3660–3667. [Google Scholar] [CrossRef]
- Day, J.K.; Bresner, C.; Coombs, N.D.; Fallis, I.A.; Ooi, L.-L.; Aldridge, S. Colorimetric fluoride ion sensing by polyborylated ferrocenes: Structural influences on thermodynamics and kinetics. Inorg. Chem. 2008, 47, 793–804. [Google Scholar] [CrossRef] [PubMed]
- Thakur, A.; Mandal, D.; Sao, S.; Chosh, S. Catecholboryl-functionalized ferrocene based Lewis acid system: A selective probe for fluoride ion through multiple channels. J. Organomet. Chem. 2012, 715, 129–135. [Google Scholar] [CrossRef]
- Xia, N.; Wang, X.; Deng, D.; Wang, G.; Zhai, H.; Li, S.-J. Label-free electrochemical sensor for microRNAs detection with ferroceneboronic acids as redox probes. Int. J. Electrochem. Sci. 2013, 8, 9714–9722. [Google Scholar]
- Gamoh, K.; Sawamoto, H. Ferroceneboronic acid as a derivatization reagent for the determination of brassinosteroids by high-performance liquid chromatography with electrochemical detection. J. Chromatogr. 1990, 515, 227–231. [Google Scholar] [CrossRef]
- Shi, W.; Wang, J.; Zhu, L.; Cai, M.; Du, X. Electrochemical determination of catechin, protocatechuic acid and L-lactic acid based on voltammetric response of ferroceneboronic acid. J. AOAC Int. 2014, in press. [Google Scholar]
- Li, D.; Gill, R.; Freeman, R.; Willner, I. Probing of enzyme reactions by the biocatalyst-induced association or dissociation of redox labels linked to monolayer-functionalized electrodes. Chem. Commun. 2006, 5027–5029. [Google Scholar] [CrossRef]
- Takahashi, S.; Kurosawa, S.; Anzai, J. Electrochemical determination of L-lactate using phenylboronic acid monolayer-modified electrodes. Electroanalysis 2008, 20, 816–818. [Google Scholar] [CrossRef]
- Takahashi, S.; Haraguchi, N.; Abiko, N.; Ono, T.; Yoshida, K.; Anzai, J. Voltammetric determination of salicylic acid. Sens. Lett. 2011, 9, 1845–1848. [Google Scholar] [CrossRef]
- Dechtrirat, D.; Gajovic-Eichelmann, N.; Wojcik, F.; Hartmann, L.; Bier, F.F.; Scheller, F.W. Electrochemical displacement sensor based on ferrocene boronic acid tracer and immobilized glycan for saccharide binding. Biosens. Bioelectron. 2014, 58, 1–8. [Google Scholar] [CrossRef] [PubMed]
- Mirri, G.; Bull, S.D.; Horton, P.N.; James, T.D.; Male, L.; Tucker, J.H.R. Electrochemical method for the determination of enatiomeric excess of binol using redox-active boronic acids as chiral sensors. J. Am. Chem. Soc. 2010, 132, 8903–8905. [Google Scholar] [CrossRef] [PubMed]
- Gamoh, K. Study of a highly selective and sensitive analytical method based on the molecular recognition ability of boronic acid derivatives. Bunseki Kagaku 1996, 45, 19–30. [Google Scholar] [CrossRef]
© 2014 by the authors; licensee MDPI, Basel, Switzerland. This article is an open access article distributed under the terms and conditions of the Creative Commons Attribution license (http://creativecommons.org/licenses/by/3.0/).
Share and Cite
Wang, B.; Takahashi, S.; Du, X.; Anzai, J.-i. Electrochemical Biosensors Based on Ferroceneboronic Acid and Its Derivatives: A Review. Biosensors 2014, 4, 243-256. https://doi.org/10.3390/bios4030243
Wang B, Takahashi S, Du X, Anzai J-i. Electrochemical Biosensors Based on Ferroceneboronic Acid and Its Derivatives: A Review. Biosensors. 2014; 4(3):243-256. https://doi.org/10.3390/bios4030243
Chicago/Turabian StyleWang, Baozhen, Shigehiro Takahashi, Xiaoyan Du, and Jun-ichi Anzai. 2014. "Electrochemical Biosensors Based on Ferroceneboronic Acid and Its Derivatives: A Review" Biosensors 4, no. 3: 243-256. https://doi.org/10.3390/bios4030243
APA StyleWang, B., Takahashi, S., Du, X., & Anzai, J.-i. (2014). Electrochemical Biosensors Based on Ferroceneboronic Acid and Its Derivatives: A Review. Biosensors, 4(3), 243-256. https://doi.org/10.3390/bios4030243

