Frontal Alpha Asymmetry and Electrodermal Activity: A Mutual Information Analysis Across Cognitive Load and Sleep Deprivation
Abstract
1. Introduction
2. Materials and Methods
2.1. Data Acquisition Protocol
2.2. Preliminaries
2.2.1. Mutual Information
2.2.2. Electrodermal Activity (EDA)
2.2.3. Electroencephalography (EEG)
Frontal Alpha Asymmetry-FAA
2.2.4. Performed Tasks
Error Awareness Task (EAT)
Ship Search
N-Back
Psychomotor Vigilance Task (PVT)
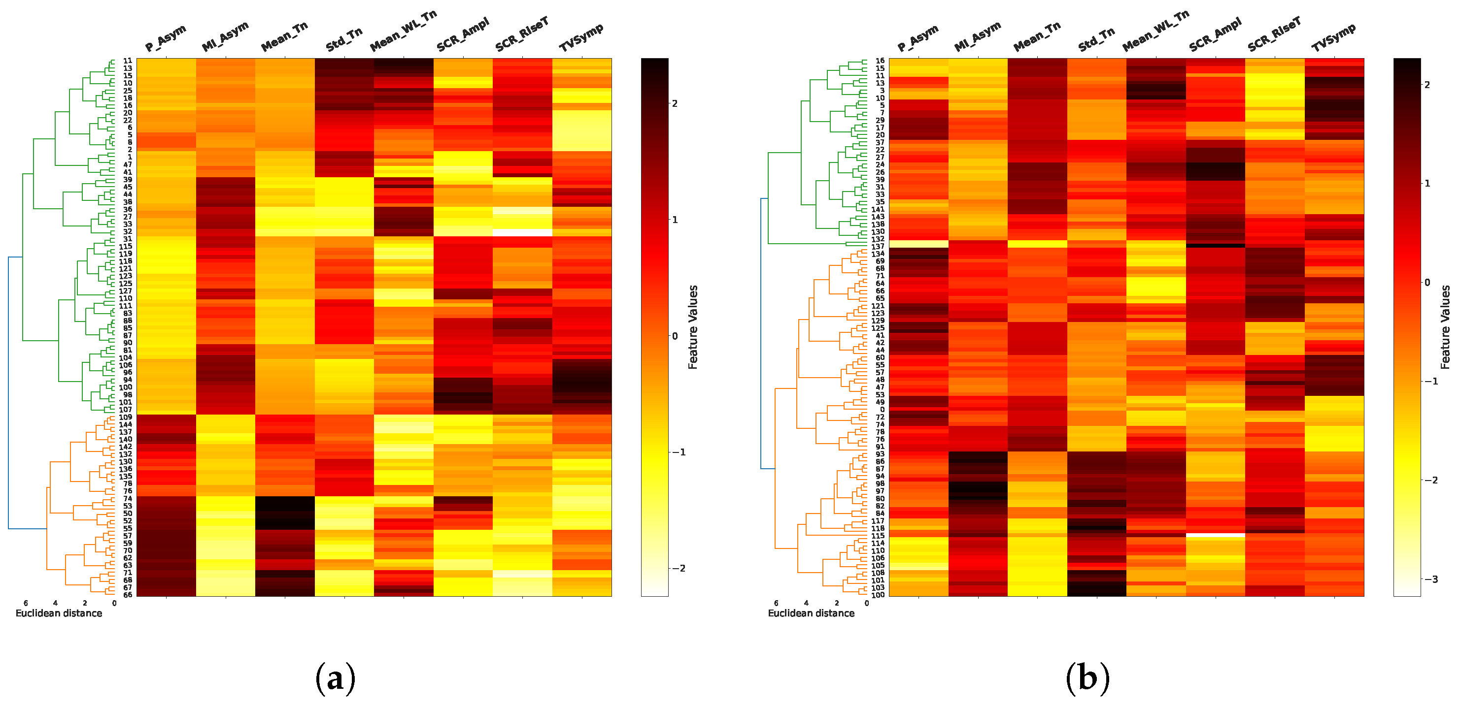
2.2.5. Hierarchical Agglomerative Clustering
2.2.6. EDA Features
Time Domain Features
Time–Frequency Domain Features
Continuous Wavelet Transform
Time-Varying Spectral Amplitudes- TVSymp
- 1.
- A set of center frequencies is given by , where is the bandwidth of a LPF (FIR) with length . The bandwidth between neighboring center frequencies is and is the highest signal frequency.
- 2.
- 3.
- Decompose the signal into sinusoidal modulation components using the variable frequency approach, which leads to the expression
- 4.
- For each sinusoidal modulation component, calculate the instantaneous frequency and the instantaneous amplitude , using the Hilbert transform .
- 5.
- Finally, obtain the time–frequency representation of the signal using the estimated instantaneous frequencies and amplitudes.
2.2.7. Heart Rate Variability (HRV)
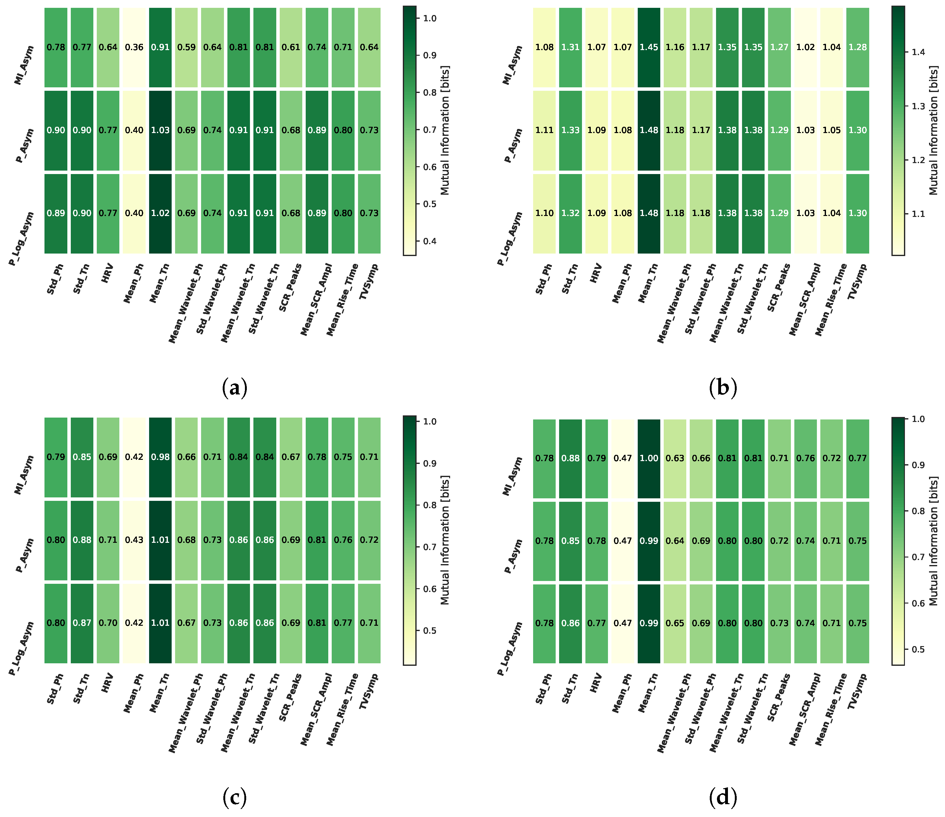
2.3. Mutual Information Between FAA and EDA-ECG Features
2.3.1. Feature Extraction
2.3.2. Mutual Information
3. Results
4. Discussion
5. Limitations and Future Directions
6. Conclusions
Author Contributions
Funding
Institutional Review Board Statement
Informed Consent Statement
Data Availability Statement
Conflicts of Interest
References
- Nusslock, R.; Harmon-Jones, E.; Alloy, L.B.; Urosevic, S.; Goldstein, K.; Abramson, L.Y. Elevated left mid-frontal cortical activity prospectively predicts conversion to bipolar I disorder. J. Abnorm. Psychol. 2012, 121, 592–601. [Google Scholar] [CrossRef]
- Sobotka, S.S.; Davidson, R.J.; Senulis, J.A. Anterior brain electrical asymmetries in response to reward and punishment. Electroencephalogr. Clin. Neurophysiol. 1992, 83, 236–247. [Google Scholar] [CrossRef]
- Schaffer, C.E.; Davidson, R.J.; Saron, C. Frontal and parietal electroencephalogram asymmetry in depressed and nondepressed subjects. Biol. Psychiatry 1983, 18, 753–762. [Google Scholar] [PubMed]
- Périard, I.A.C.; Dierolf, A.M.; Lutz, A.; Vögele, C.; Voderholzer, U.; Koch, S.; Bach, M.; Asenstorfer, C.; Michaux, G.; Mertens, V.C.; et al. Frontal alpha asymmetry is associated with chronic stress and depression, but not with somatoform disorders. Int. J. Psychophysiol. 2024, 200, 112342. [Google Scholar] [CrossRef]
- Allen, J.J.B.; Keune, P.M.; Schönenberg, M.; Nusslock, R. Frontal EEG alpha asymmetry and emotion: From neural underpinnings and methodological considerations to psychopathology and social cognition. Psychophysiology 2018, 55, e13028. [Google Scholar] [CrossRef] [PubMed]
- Stewart, J.L.; Coan, J.A.; Towers, D.N.; Allen, J.J. Frontal EEG asymmetry during emotional challenge differentiates individuals with and without lifetime major depressive disorder. J. Affect. Disord. 2011, 129, 167–174. [Google Scholar] [CrossRef]
- Gollan, J.; Hoxha, D.; Chihade, D.; Pflieger, M.; Rosebrock, L.; Cacioppo, J. Frontal alpha EEG asymmetry before and after behavioral activation treatment for depression. Biol. Psychol. 2014, 99, 198–208. [Google Scholar] [CrossRef] [PubMed]
- Ip, C.T.; Olbrich, S.; Ganz, M.; Ozenne, B.; Köhler-Forsberg, K.; Dam, V.H.; Beniczky, S.; Jørgensen, M.B.; Frokjaer, V.G.; Søgaard, B.; et al. Pretreatment qEEG biomarkers for predicting pharmacological treatment outcome in major depressive disorder: Independent validation from the NeuroPharm study. Eur. Neuropsychopharmacol. 2021, 49, 101–112. [Google Scholar] [CrossRef] [PubMed]
- Lopez-Duran, N.L.; Nusslock, R.; George, C.; Kovacs, M. Frontal EEG asymmetry moderates the effects of stressful life events on internalizing symptoms in children at familial risk for depression. Psychophysiology 2012, 49, 510–521. [Google Scholar] [CrossRef]
- Reid, S.A.; Duke, L.M.; Allen, J.J. Resting frontal electroencephalographic asymmetry in depression: Inconsistencies suggest the need to identify mediating factors. Psychophysiology 1998, 35, 389–404. [Google Scholar] [CrossRef] [PubMed]
- Kołodziej, A.; Magnuski, M.; Ruban, A.; Brzezicka, A. No relationship between frontal alpha asymmetry and depressive disorders in a multiverse analysis of five studies. eLife 2021, 10, e60595. [Google Scholar] [CrossRef] [PubMed]
- Barros, C.; Pereira, A.; Sampaio, A.; Buján, A.; Pinal, D. Frontal Alpha Asymmetry and Negative Mood: A Cross-Sectional Study in Older and Younger Adults. Symmetry 2022, 14, 1579. [Google Scholar] [CrossRef]
- Marcu, G.; Szekely-Copîndean, R.; Radu, A.; Bucuță, M.; Fleacă, R.; Tănăsescu, C.; Roman, M.; Boicean, A.; Băcilă, C. Resting-state frontal, frontlateral, and parietal alpha asymmetry: A pilot study examining relations with depressive disorder type and severity. Front. Psychol. 2023, 14, 1087081. [Google Scholar] [CrossRef] [PubMed]
- Allen, J.J.; Reznik, S.J. Frontal EEG asymmetry as a promising marker of depression vulnerability: Summary and methodological considerations. Curr. Opin. Psychol. 2015, 4, 93–97. [Google Scholar] [CrossRef] [PubMed]
- Wills, T. Adolescent Health and Health Behaviors. In International Encyclopedia of the Social & Behavioral Sciences; Smelser, N.J., Baltes, P.B., Eds.; Pergamon: Oxford, UK, 2001; pp. 105–112. [Google Scholar] [CrossRef]
- Arabian, H.; Schmid, R.; Wagner-Hartl, V.; Moeller, K. Analysis of EDA and Heart Rate Signals for Emotional Stimuli Responses. Curr. Dir. Biomed. Eng. 2023, 9, 150–153. [Google Scholar] [CrossRef]
- Martínez Vásquez, D.A.; Posada-Quintero, H.F.; Rivera Pinzón, D.M. Mutual Information between EDA and EEG in Multiple Cognitive Tasks and Sleep Deprivation Conditions. Behav. Sci. 2023, 13, 707. [Google Scholar] [CrossRef]
- Sharma, S.; Singh, G.; Sharma, M. A comprehensive review and analysis of supervised-learning and soft computing techniques for stress diagnosis in humans. Comput. Biol. Med. 2021, 134, 104450. [Google Scholar] [CrossRef] [PubMed]
- Posada-Quintero, H.F.; Bolkhovsky, J.B. Machine Learning models for the Identification of Cognitive Tasks using Autonomic Reactions from Heart Rate Variability and Electrodermal Activity. Behav. Sci. 2019, 9, 45. [Google Scholar] [CrossRef]
- Albertetti, F.; Simalastar, A.; Rizzotti-Kaddouri, A. Stress Detection with Deep Learning Approaches Using Physiological Signals. In IoT Technologies for HealthCare; Goleva, R., Garcia, N.R.D.C., Pires, I.M., Eds.; Springer: Cham, Switzerland, 2021; pp. 95–111. [Google Scholar]
- Posada-Quintero, H.F.; Chon, K.H. Innovations in Electrodermal Activity Data Collection and Signal Processing: A Systematic Review. Sensors 2020, 20, 479. [Google Scholar] [CrossRef] [PubMed]
- Makowski, D.; Pham, T.; Lau, Z.J.; Brammer, J.C.; Lespinasse, F.; Pham, H.; Schölzel, C.; Chen, S.H.A. NeuroKit2: A Python toolbox for neurophysiological signal processing. Behav. Res. Methods 2021, 53, 1689–1696. [Google Scholar] [CrossRef] [PubMed]
- Feng, H.; Golshan, H.M.; Mahoor, M.H. A wavelet-based approach to emotion classification using EDA signals. Expert Syst. Appl. 2018, 112, 77–86. [Google Scholar] [CrossRef]
- Sharma, V.; Prakash, N.R.; Kalra, P. EDA wavelet features as Social Anxiety Disorder (SAD) estimator in adolescent females. In Proceedings of the 2016 International Conference on Advances in Computing, Communications and Informatics (ICACCI), Jaipur, India, 21–24 September 2016; pp. 1843–1846. [Google Scholar] [CrossRef]
- Swangnetr, M.; Kaber, D.B. Emotional State Classification in Patient–Robot Interaction Using Wavelet Analysis and Statistics-Based Feature Selection. IEEE Trans.-Hum.-Mach. Syst. 2013, 43, 63–75. [Google Scholar] [CrossRef]
- Shukla, J.; Barreda-Ángeles, M.; Oliver, J.; Nandi, G.C.; Puig, D. Feature Extraction and Selection for Emotion Recognition from Electrodermal Activity. IEEE Trans. Affect. Comput. 2021, 12, 857–869. [Google Scholar] [CrossRef]
- Hjorth, B. EEG analysis based on time domain properties. Electroencephalogr. Clin. Neurophysiol. 1970, 29, 306–310. [Google Scholar] [CrossRef]
- Petrantonakis, P.C.; Hadjileontiadis, L.J. Emotion Recognition From EEG Using Higher Order Crossings. IEEE Trans. Inf. Technol. Biomed. 2010, 14, 186–197. [Google Scholar] [CrossRef] [PubMed]
- Pullano, S.A.; Kota, V.D.; Kakaraparty, K.; Fiorillo, A.S.; Mahbub, I. Optically Unobtrusive Zeolite-Based Dry Electrodes for Wearable ECG Monitoring. IEEE Sensors J. 2022, 22, 10630–10639. [Google Scholar] [CrossRef]
- Greco, A.; Valenza, G.; Lanata, A.; Scilingo, E.P.; Citi, L. cvxEDA: A Convex Optimization Approach to Electrodermal Activity Processing. IEEE Trans. Biomed. Eng. 2016, 63, 797–804. [Google Scholar] [CrossRef] [PubMed]
- Shannon, C.E. A Mathematical Theory of Communication. Bell Syst. Tech. J. 1948, 27, 379–423. [Google Scholar] [CrossRef]
- Martínez, D.; Mojica-Nava, E. Distortion based potential game for distributed coverage control. Inf. Sci. 2022, 600, 209–225. [Google Scholar] [CrossRef]
- Martínez, D.A.; Mojica-Nava, E.; Al-Sumaiti, A.S.; Rivera, S. A Distortion-Based Potential Game for Secondary Voltage Control in Micro-Grids. IEEE Access 2020, 8, 110611–110622. [Google Scholar] [CrossRef]
- Cover, T.M.; Thomas, J.A. Elements of Information Theory, 2nd ed.; Wiley Series in Telecommunications and Signal Processing; Wiley-Interscience: Hoboken, NJ, USA, 2006. [Google Scholar]
- Timme, N.M.; Lapish, C. A Tutorial for Information Theory in Neuroscience. eNeuro 2018, 5, e0052-18. [Google Scholar] [CrossRef] [PubMed]
- Fitzgerald, P.J. Frontal Alpha Asymmetry and its Modulation by Monoaminergic Neurotransmitters in Depression. Clin. Psychopharmacol. Neurosci. 2024, 22, 405–415. [Google Scholar] [CrossRef]
- Park, Y.; Jung, W.; Kim, S.; Jeon, H.; Lee, S.H. Frontal Alpha Asymmetry Correlates with Suicidal Behavior in Major Depressive Disorder. Clin. Psychopharmacol. Neurosci. 2019, 17, 377–387. [Google Scholar] [CrossRef]
- Vincent, K.M.; Xie, W.; Nelson, C.A. Using different methods for calculating frontal alpha asymmetry to study its development from infancy to 3 years of age in a large longitudinal sample. Dev. Psychobiol. 2021, 63, e22163. [Google Scholar] [CrossRef] [PubMed]
- Posada-Quintero, H.F.; Bolkhovsky, J.B.; Reljin, N.; Chon, K.H. Sleep Deprivation in Young and Healthy Subjects Is More Sensitively Identified by Higher Frequencies of Electrodermal Activity than by Skin Conductance Level Evaluated in the Time Domain. Front. Physiol. 2017, 8, 409. [Google Scholar] [CrossRef]
- Hester, R.; Foxe, J.J.; Molholm, S.; Shpaner, M.; Garavan, H. Neural mechanisms involved in error processing: A comparison of errors made with and without awareness. NeuroImage 2005, 27, 602–608. [Google Scholar] [CrossRef] [PubMed]
- Stroop, J.R. Studies of Interference in Serial Verbal Reactions. J. Exp. Psychol. 1935, 18, 643–662. [Google Scholar] [CrossRef]
- Jaeggi, S.M.; Buschkuehl, M.; Jonides, J.; Perrig, W.J. Improving fluid intelligence with training on working memory. Proc. Natl. Acad. Sci. USA 2008, 105, 6829–6833. [Google Scholar] [CrossRef]
- Reifman, J.; Kumar, K.; Khitrov, M.Y.; Liu, J.; Ramakrishnan, S. PC-PVT 2.0: An updated platform for psychomotor vigilance task testing, analysis, prediction, and visualization. J. Neurosci. Methods 2018, 304, 39–45. [Google Scholar] [CrossRef]
- Khitrov, M.; Laxminarayan, S.; Thorsley, D.; Ramakrishnan, S.; Rajaraman, S.; Wesensten, N.J.; Reifman, J. PC-PVT: A platform for psychomotor vigilance task testing, analysis, and prediction. Behav. Res. Methods 2014, 46, 140–147. [Google Scholar] [CrossRef] [PubMed]
- Raschka, S.; Liu, Y.H.; Mirjalili, V. Machine Learning with PyTorch and Scikit-Learn: Develop Machine Learning and Deep Learning Models with Python; Packt Publishing: Birmingham, UK, 2022. [Google Scholar]
- Boucsein, W. Electrodermal Activity, 2nd ed.; Springer: New York, NY, USA, 2012; p. XVIII-618. [Google Scholar] [CrossRef]
- van der Zwaag, M.D.; Janssen, J.H.; Westerink, J.H. Directing Physiology and Mood through Music: Validation of an Affective Music Player. IEEE Trans. Affect. Comput. 2013, 4, 57–68. [Google Scholar] [CrossRef]
- Posada-Quintero, H.F.; Florian, J.P.; Orjuela-Cañón, Á.D.; Chon, K.H. Highly sensitive index of sympathetic activity based on time-frequency spectral analysis of electrodermal activity. Am. J.-Physiol.-Regul. Integr. Comp. Physiol. 2016, 311, R582–R591. [Google Scholar] [CrossRef]
- Torrence, C.; Compo, G.P. A Practical Guide to Wavelet Analysis. Bull. Am. Meteorol. Soc. 1998, 79, 61–78. [Google Scholar] [CrossRef]
- Teolis, A. Computational Signal Processing with Wavelets; Birkhäuser Boston: Boston, MA, USA, 1998. [Google Scholar] [CrossRef]
- Wang, H.; Siu, K.; Ju, K.; Chon, K.H. A High Resolution Approach to Estimating Time-Frequency Spectra and Their Amplitudes. Ann. Biomed. Eng. 2006, 34, 326–338. [Google Scholar] [CrossRef]
- Lathi, B.P.; Ding, Z. Modern Digital and Analog Communication Systems, 6th ed.; Oxford University Press: Oxford, UK, 2025. [Google Scholar]
- Hye-Geum, K.; Eun-Jin, C.; Dai-Seg, B.; Hwan, L.Y.; Bon-Hoon, K. Stress and Heart Rate Variability: A Meta-Analysis and Review of the Literature. Psychiatry Investig. 2018, 15, 235–245. [Google Scholar] [CrossRef]
- Lischke, A.; Jacksteit, R.; Mau-Moeller, A.; Pahnke, R.; Hamm, A.O.; Weippert, M. Heart rate variability is associated with psychosocial stress in distinct social domains. J. Psychosom. Res. 2018, 106, 56–61. [Google Scholar] [CrossRef]
- Zygmunt, A.; Stanczyk, J. Methods of evaluation of autonomic nervous system function. Arch. Med. Sci. 2010, 6, 11–18. [Google Scholar] [CrossRef]
- Baek, H.J.; Cho, C.H.; Cho, J.; Woo, J.M. Reliability of Ultra-Short-Term Analysis as a Surrogate of Standard 5-Min Analysis of Heart Rate Variability. Telemed. e-Health 2015, 21, 404–414. [Google Scholar] [CrossRef] [PubMed]
- Molugaram, K.; Rao, G.S. Chapter 12 - Analysis of Time Series. In Statistical Techniques for Transportation Engineering; Molugaram, K., Rao, G.S., Eds.; Butterworth-Heinemann: Waltham, MA, USA, 2017; pp. 463–489. [Google Scholar] [CrossRef]
- Braun, S. The synchronous (time domain) average revisited. Mech. Syst. Signal Process. 2011, 25, 1087–1102. [Google Scholar] [CrossRef]
- Paninski, L. Estimation of Entropy and Mutual Information. Neural Comput. 2003, 15, 1191–1253. [Google Scholar] [CrossRef]
- Büth, C.M.; Acharya, K.; Zanin, M. Infomeasure: A comprehensive Python package for information theory measures and estimators. Sci. Rep. 2025, 15, 29323. [Google Scholar] [CrossRef] [PubMed]
- Sánchez-Reolid, R.; Martínez-Rodrigo, A.; López, M.T.; Fernández-Caballero, A. Deep Support Vector Machines for the Identification of Stress Condition from Electrodermal Activity. Int. J. Neural Syst. 2020, 30, 2050031. [Google Scholar] [CrossRef] [PubMed]
- Russell, J.A. A circumplex model of affect. J. Personal. Soc. Psychol. 1980, 39, 1161–1178. [Google Scholar] [CrossRef]
- Bibbò, L.; Angiulli, G.; Laganà, F.; Pratticò, D.; Cotroneo, F.; La Foresta, F.; Versaci, M. MEMS and IoT in HAR: Effective Monitoring for the Health of Older People. Appl. Sci. 2025, 15, 4306. [Google Scholar] [CrossRef]












| Trial | Individual | EDA Feature | Pearson’s r | p-Value |
|---|---|---|---|---|
| 1 | 1 | SCR_Amp | −0.165 | 0.03 |
| 1 | 10 | SCR_Rise_T | −0.58 | 0.00019 |
| 1 | 9 | TVSymp | −0.65 | 0.00019 |
| 1 | 9 | SCR_Rise_T | −0.84 | 0.00019 |
| 1 | 10 | TVSymp | 0.38 | 0.00019 |
| 7 | 1 | Std_Tn | 0.0064 | 0.936 |
| 7 | 8 | Std_Tn | −0.382 | 0.00019 |
| 7 | 2 | Mean_Tn | 0.76 | 0.00019 |
| 7 | 5 | Mean_CW_Tn | −0.519 | 0.00019 |
| 7 | 5 | SCR_Amp | −0.286 | 0.00019 |
| 10 | 4 | Mean_Tn | 0.3 | 0.00019 |
| 10 | 5 | Mean_Tn | 0.916 | 0.00019 |
| 10 | 6 | Mean_CW_Tn | −0.532 | 0.00019 |
| 10 | 1 | SCR_Rise_T | 0.655 | 0.00019 |
| 10 | 8 | Std_Tn | 0.613 | 0.00019 |
| Val. Trial | EAT | Ship Search | N-Back | PVT | ||||
|---|---|---|---|---|---|---|---|---|
| Class 1 | Class 2 | Class 1 | Class 2 | Class 1 | Class 2 | Class 1 | Class 2 | |
| 1 | 97.9 | 97.7 | 74.1 | 75.3 | 100 | 100 | 71.2 | 72 |
| 2 | 97.8 | 97.8 | 78.1 | 85.3 | 100 | 100 | 91.3 | 90.6 |
| 3 | 84.2 | 83.5 | 53.3 | 55.2 | 70.8 | 58.8 | 86.7 | 89.3 |
| 4 | 95.2 | 96.1 | 92 | 89.1 | 94.1 | 94.4 | 69.2 | 75.6 |
| 5 | 92.7 | 94.3 | 72.5 | 54.5 | 88.2 | 89.5 | 91.2 | 90.8 |
| 6 | 94.9 | 96.3 | 100 | 100 | 87.5 | 90 | 91.7 | 90.2 |
| 7 | 82.1 | 80 | 61.8 | 74.8 | 100 | 100 | 90.3 | 91.5 |
| 8 | 98.8 | 99 | 77.4 | 88.5 | 100 | 100 | 88.9 | 92.4 |
| 9 | 83.2 | 84.5 | 100 | 100 | 88.9 | 88.9 | 87.1 | 86.4 |
| 10 | 88 | 89.1 | 86.3 | 85.5 | 95 | 93.3 | 76.2 | 81 |
| 11 | 72.4 | 75.7 | 94.4 | 94.8 | 85 | 82.4 | 83 | 90.9 |
| 12 | 92.6 | 92.6 | 78.1 | 81.8 | 89.5 | 88.2 | 58.2 | 41.4 |
| Average | 90.7% | 91.3% | 80.0% | 82.4% | 92.5% | 90.6% | 80.8% | 81.7% |
Disclaimer/Publisher’s Note: The statements, opinions and data contained in all publications are solely those of the individual author(s) and contributor(s) and not of MDPI and/or the editor(s). MDPI and/or the editor(s) disclaim responsibility for any injury to people or property resulting from any ideas, methods, instructions or products referred to in the content. |
© 2026 by the authors. Licensee MDPI, Basel, Switzerland. This article is an open access article distributed under the terms and conditions of the Creative Commons Attribution (CC BY) license.
Share and Cite
Martínez Vásquez, D.A.; Posada-Quintero, H.F.; Rivera Pinzón, D.M. Frontal Alpha Asymmetry and Electrodermal Activity: A Mutual Information Analysis Across Cognitive Load and Sleep Deprivation. Biosensors 2026, 16, 164. https://doi.org/10.3390/bios16030164
Martínez Vásquez DA, Posada-Quintero HF, Rivera Pinzón DM. Frontal Alpha Asymmetry and Electrodermal Activity: A Mutual Information Analysis Across Cognitive Load and Sleep Deprivation. Biosensors. 2026; 16(3):164. https://doi.org/10.3390/bios16030164
Chicago/Turabian StyleMartínez Vásquez, David Alejandro, Hugo F. Posada-Quintero, and Diego Mauricio Rivera Pinzón. 2026. "Frontal Alpha Asymmetry and Electrodermal Activity: A Mutual Information Analysis Across Cognitive Load and Sleep Deprivation" Biosensors 16, no. 3: 164. https://doi.org/10.3390/bios16030164
APA StyleMartínez Vásquez, D. A., Posada-Quintero, H. F., & Rivera Pinzón, D. M. (2026). Frontal Alpha Asymmetry and Electrodermal Activity: A Mutual Information Analysis Across Cognitive Load and Sleep Deprivation. Biosensors, 16(3), 164. https://doi.org/10.3390/bios16030164

