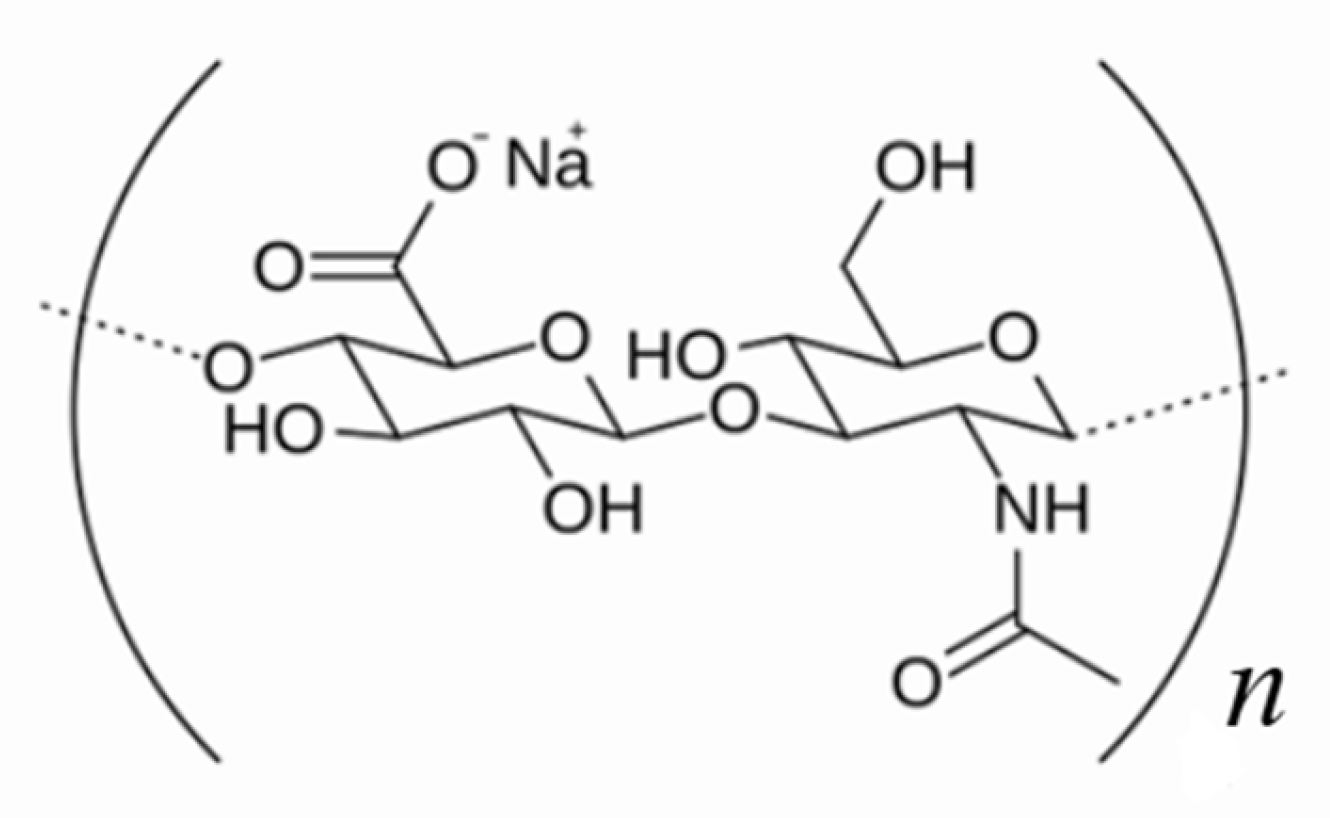
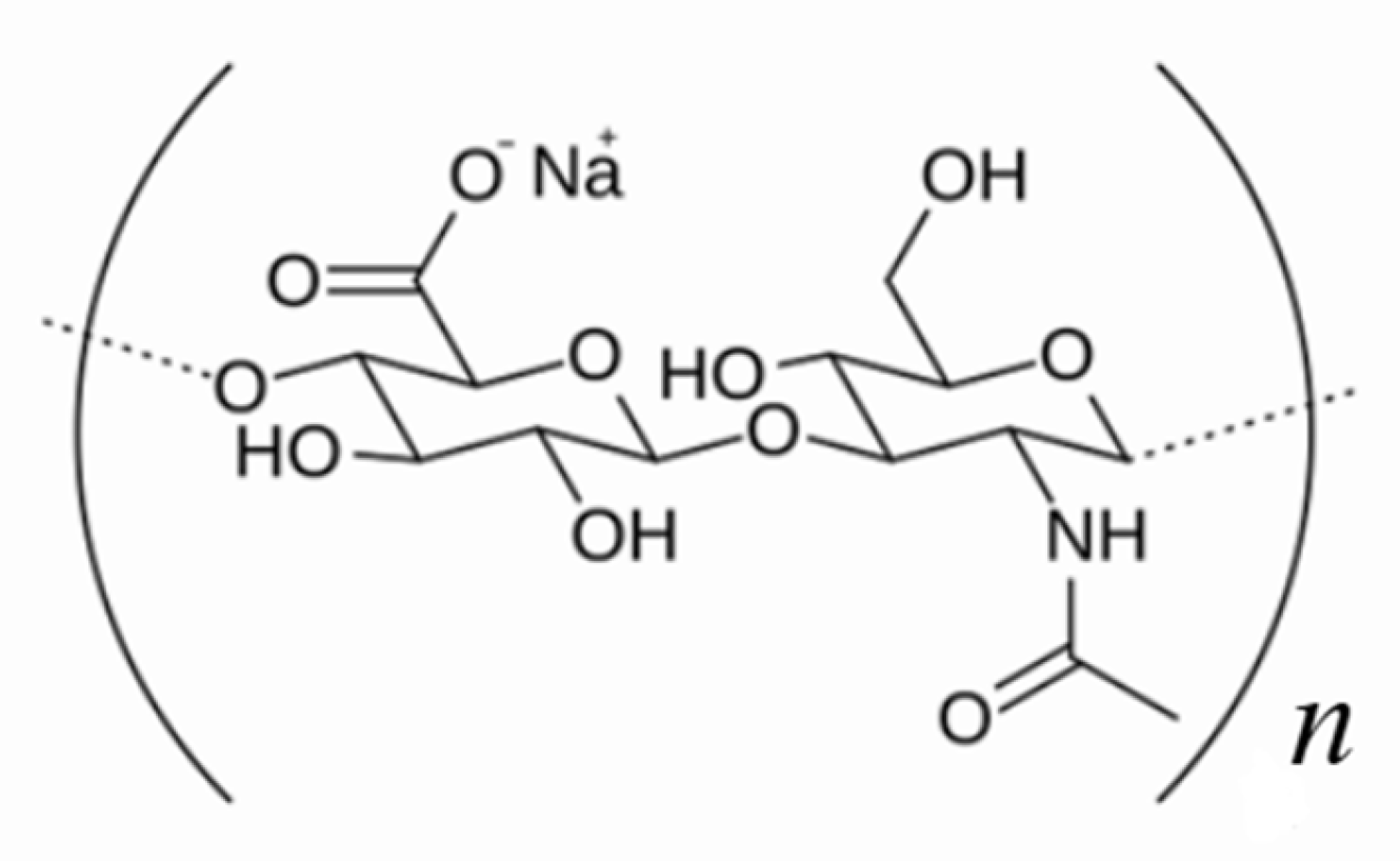
Intelligent Biosensors Based on Hyaluronic Acid Hydrogels for Monitoring Chronic Wound Healing with the Involvement of Artificial Intelligence
Abstract
Share and Cite
Nicolae, A.-M.; Badea, M.; Bucurica, S.; Rasaliu, F.; Constantinescu, E.M. Intelligent Biosensors Based on Hyaluronic Acid Hydrogels for Monitoring Chronic Wound Healing with the Involvement of Artificial Intelligence. Biosensors 2025, 15, 773. https://doi.org/10.3390/bios15120773
Nicolae A-M, Badea M, Bucurica S, Rasaliu F, Constantinescu EM. Intelligent Biosensors Based on Hyaluronic Acid Hydrogels for Monitoring Chronic Wound Healing with the Involvement of Artificial Intelligence. Biosensors. 2025; 15(12):773. https://doi.org/10.3390/bios15120773
Chicago/Turabian StyleNicolae, Antonia-Mihaela, Mihaela Badea, Sandica Bucurica, Florina Rasaliu, and Elena Mihaela Constantinescu. 2025. "Intelligent Biosensors Based on Hyaluronic Acid Hydrogels for Monitoring Chronic Wound Healing with the Involvement of Artificial Intelligence" Biosensors 15, no. 12: 773. https://doi.org/10.3390/bios15120773
APA StyleNicolae, A.-M., Badea, M., Bucurica, S., Rasaliu, F., & Constantinescu, E. M. (2025). Intelligent Biosensors Based on Hyaluronic Acid Hydrogels for Monitoring Chronic Wound Healing with the Involvement of Artificial Intelligence. Biosensors, 15(12), 773. https://doi.org/10.3390/bios15120773

